

1Doctoral Program in Medical Science, Faculty of Medicine, Universitas Brawijaya, East Java-65145, Indonesia. 1Department of Microbiology, Faculty of Medicine and Health Science, UIN Maulana Malik Ibrahim, Malang, East Java-65151, Indonesia. 2,7Department of Clinical Microbiology, Faculty of Medicine, Universitas Brawijaya, Malang, East Java-65145, Indonesia. 3Department of Pulmonology and Respiratory Medicine, Faculty of Medicine, Universitas Brawijaya, Malang-65145, Indonesia. 4Department of Pharmacology, Faculty of Medicine, Universitas Brawijaya, Malang, East Java-65145, Indonesia. 5Department of Pharmacy, Faculty of Medicine and Health Science, UIN Maulana Malik Ibrahim, Malang, East Java-65151, Indonesia. 6Institute of Tropical Disease, Universitas Airlangga, Surabaya, East Java-60115, Indonesia. 6Department of Microbiology, Faculty of Medicine, Universitas Airlangga, Surabaya, East Java-60131, Indonesia
*Corresponding author: Avin Ainur Fitrianingsih; Email: avinainur@kedokteran.uin-malang.ac.id
Received: 19 Nov 2023, Revised and Accepted: 12 Jan 2023
ABSTRACT
Objective: The study aims to investigate the antiviral activity of S. lappa against Severe Acute Respiratory Syndrome-Coronavirus 2 (SARS-CoV-2) in vitro.
Methods: The extracts are obtained by ultrasonic-assisted extraction (UAE) with a 96% ethanol solvent. Thin-layer chromatography (TLC) uses n-hexane: ethyl acetate and chloroform: methanol) as mobile phases. The staining outcome is subsequently examined using UV visualizers with a wavelength of 366 nm. To assess the antiviral activity of Vero E6 cells, extracts were employed at doses of 25, 50, 75, and 100 µg/ml, with remdesivir serving as the positive control. Supernatants were collected on days 1, 2, 3, and 6 for qRT-PCR testing with target genes E and ORF1ab. Time-addition experiments were conducted to determine how the extract works as antiviral. Protein expression was tested with Western blots with antibodies S and N SARS-CoV-2.
Results: TLC identifies terpenoid chemicals present in the ethanol extract of S. lappa. The ethanol extract of S. lappa exhibited antiviral effects against SARS-CoV-2, with an inhibitory concentration 50 (IC50) of 40 µg/ml, a cytotoxic concentration 50 (CC50) of 131.4 µg/ml, and a selectivity index of 3.51. The extract can potentially impact the entry-post-entry phase of SARS-CoV-2 infection in Vero cells. The immunoblotting results demonstrated a reduction in the expression of S and N proteins in the treatment group compared to the negative control.
Conclusion: S. lappa ethanol extract has antiviral activity against SARS-CoV-2 based on an in vitro study.
Keywords: Saussurea lappa, SARS-CoV-2, Antiviral activity
© 2024 The Authors. Published by Innovare Academic Sciences Pvt Ltd. This is an open access article under the CC BY license (https://creativecommons.org/licenses/by/4.0/)
DOI: https://dx.doi.org/10.22159/ijap.2024v16i2.49917 Journal homepage: https://innovareacademics.in/journals/index.php/ijap
In the last decade, there has been an increase in the prevalence of viral infections worldwide, one of which is the severe acute respiratory syndrome coronavirus-2 (SARS-CoV-2) infection [1]. The SARS-CoV-2 pandemic was officially announced by the World Health Organization (WHO) on March 11, 2020 [2]. Global research endeavors have been undertaken to discover remedies for the epidemic, resulting in novel breakthroughs in fundamental and applied research, treatment, diagnostics, vaccine development, and epidemiology [3].
Clinical research has focused on several approved antiviral drugs, including remdesivir [4], favipiravir [5], and molnupiravir [6]. Several medicinal plants have been shown to have an inhibitory effect on viral infections in vitro and in vivo, thus making them candidate for aid in the treatment of SARS-CoV-2 [7, 8]. Plants have a variety of secondary metabolites such as flavonoids, terpenoids, lignans, tannins, and alkaloids that have a range of anti-infectious activities and antioxidants [9]. Several secondary metabolites are used as antivirals, including phenolates, carotenoids, terpenoids, and alkaloids [10].
Saussurea lappa is a plant that is being considered as a potential antiviral candidate. According to literature studies, the analysis of S. lappa shows the presence of several metabolites, including sesquiterpenes, flavonoids, phytosterols, lignans, and terpenes. Some of the most important chemicals that have been isolated are costunolide lappadilactone, dihydrocostunolide, and dehydrocostus lactone [11, 12]. Myrcene is a chemical in S. lappa that can interact with the angiotensin-converting enzyme 2 (ACE2) receptor. This receptor is responsible for allowing the entry of SARS-CoV-2 into host cells. The anti-inflammatory capabilities of S. lappa can be utilized in treating COVID-19 by mitigating the levels of inflammatory cytokines such as TNF-α and IL-1β [13]. Exploration of a plant metabolite's potential in revolutionizing COVID-19 treatment offers a promising avenue for therapeutic development. Previous research focused on investigating the effects of S. lappa on SARS-CoV-2, but it was still unable to explain the mechanisms of the extract as an antiviral. This study investigates the novel impact of this natural compound on SARS-CoV-2, which has not been previously explored.
S. lappa root extraction
Saussurea lappa root was obtained as a sample in the pharmaceutical biology laboratory at the Department of Pharmacy, Faculty of Medicine and Health Sciences, UIN Maulana Malik Ibrahim, Malang, with reference number 075/212/10220-A/2022. Simplisia S. lappa is extracted using the UAE (Ultrasonic-Assisted Extraction) method with a 96% ethanol solvent. The extraction results are filtered using filtered paper and dialed with nitrogen gas, thus obtaining a concentrated extract. The extract is collected, applied in a rotary evaporator to obtain a thick extract, and then dried in the oven at a temperature of 40 °C [14].
Cells and virus
Vero E6 cells cultivated in Dulbecco’s modified Eagle’s medium (DMEM, GIBCO-INVITROGEN) containing 100 g/ml penicillin, 100 g/ml streptomycin (Sigma) and 5% Fetal Bovine Serum (FBS, GI BCO-Invitrogen), at 37 °C in a CO2 incubator of 5%, Bovine serum albumin (BSA, Roche), TritonX-100 (Promega), Formaldehyde (HCHO, Applicam), Tripsin EDTA (GIBCO-Invitrogen). A 100% confluent Vero cell will be used in this experiment. The SARS-CoV-2 isolate was obtained from the SARS-CoV-2 collection at the Institute of Tropical Diseases, Airlangga University, Surabaya, Indonesia. The variant used is B.1.470, which was the most common variant in Indonesia as of June 1, 2021 [15].
Thin layer chromatography (TLC)
The extract is dissolved in 1 ml of 96% ethanol and then infused on a silica gel plate F254 and then diluted using the motion phase of n-hexane eluent: ethyl acetate and chloroform: methanol. The emerging spots were observed using ultraviolet (UV) visualizers at wavelengths of 254 nm and 366 nm. Next, silica gel plates are sprayed with H2SO4 10% v/v, and heated to 105 °C for 5 min using a TLC plate heater. The stain outcome was subsequently examined using an UV visualizer with a wavelength of 366 nm [16].
Cytotoxicity test
The extract's cytotoxicity towards cells was assessed using the 3-(4.5-Dimethylthiazol-2-Yl)-2,5-Diphenyltetra-sodium bromide test (MTT). Vero E6 cells were cultured in 96-well plates and treated with samples of varying concentrations. The cells were then incubated for 48 h. Following incubation, the medium was extracted and subsequently supplemented with 15 μl of MTT reagent. The mixture was then incubated for an additional 4 h. Subsequently, 100 μl of dimethyl sulfoxide (DMSO) was used to dissolve the residues that had developed due to the MTT reaction. The GloMax Microplate Multidetection Reader (Promega) was used to measure absorption at 560 nm and 750 nm wavelengths. Vero cell viability percentage values are analyzed, and cytotoxicity concentration 50 (CC50) values are obtained with probit analysis [17].
Antivirus activity test
Testing was done by seeding the Vero cells on the 6-well plate. Extracts with 25; 50; 75; and 100 μg/ml concentration are prepared in ependorf, with Remdesivir 10 µM as a positive control, respectively. Then, each extract concentration was added to the virus isolate, as much as 200 TCID50. Remove the medium from the 6-well plate, then add a mixture of extract and virus, shaking the plate so that the virus and extract are even. Then put 6-well plates in a CO2 incubator at of 37 °C. Observations were performed on days 1, 2, 3, and 6 with a reverse microscope to see the percentage of cells experiencing cytopathic effects. The supernatant from each treatment is collected on days 1, 2, 3, and 6 and subsequently subjected to quantitative testing. Extracting RNA by Reverse Transcription Polymerase Chain Reaction (qRT-PCR) involves using the QIAmp Viral RNA Mini Kit (manufactured by Qiagen, Germany). The detection of viral genomic material is then carried out using the One Step TaqMan real-time RT-PCR kit (manufactured by Thunderbird, Toyobo, Japan) [18].
Time addition experiment
To determine the mechanism of the extract's inhibition against SARS-CoV-2, a time addition experiment was conducted with three mechanisms: (1) Entry-post entry mechanism is achieved by adding S. lappa extract along with viral inoculation for 1 hour and then for a 24-hour period of infection, (2) Entry step inhibition, in which the virus and test material are innoculated on the cell for 2 h, then incubated for 24 h with the added medium, (3) Post-entry inhibition is the way the virus is inoculated into the cell, then incubated for 24 h with the addition of S. lappa extract [19]. Supernatants of each treatment are harvested on days 1; 2; 3; and 6, followed by qRT-PCR and Western blot analysis [19, 20].
Immunoblotting
The infected Vero cells are injected with a RIPA buffer, then run with SDS-polyacrylamide gel electrophoresis (SDS page) and transferred to a polyvinilidene membrane (PVDF) (Milipore, Bedford, MA, USA). The membrane was then incubated with a primary monoclonal anti-spike mouse (GTX632604; GeneTex, 1:5000) and an anti-nucleocapsid monoclonal mouse. (GTX632269, GeneTex, 1:2000) [20].
Statistical analysis
Analysis of data from the cytotoxic test with the MTT method obtained absorbance data from each concentration of the test substance. Cytotoxicity concentration of 50% (CC50) is determined by probit analysis using SPSS software. Antiviral test data is obtained from the Ct value, which is analyzed with Probit using SPSS software to obtain the IC50 value. Analysis of the barrier mechanism by calculating the Ct values of each entry stage, post-entry, and entry-post-entry at a specific concentration of substance compared to the control data were obtained in the form of means and standard deviations. Statistically significant differences between groups are determined using one-way analysis of variance (ANOVA) with a p-value of less than 0.05. The expression of S and N proteins is calculated using ImageJ software.
Thin layer chromatography (TLC) analysis of extracts of Saussurea lappa
The results of the characterization of chemical compounds with TLC show that 96% of the ethanol extract from the S. lappa root contains terpenoid compounds, specifically triterpenoids, that are shown with a change in stain color to purple after heating, as shown in fig. 1.

Fig. 1: Thin layer chromatography (TLC) test results on 96% ethanol extract of S. lappa. GF254 silica gel stationary phase, the mobile phase (A) CHCl3:MeOH; (B) N-hexana: etyl acetate, and quercetine as control. (A) and (C) observed under UV 254 nm; (B) and (D) observed under UV 366 nm. Q1-Q2 = quercetin, S1-S2 = S. lappa ethanol extract
Cytotoxic test
Toxicity testing of the test material was performed on Vero E6 cells without SARS-CoV-2 administration, and then absorption measurements were performed at wavelengths of 560 nm and 750 nm. In this test, a cytotoxicity concentration of 50 (CC50) of 131.4 μg/ml was obtained.
Anti-SARS-CoV-2 activity ethanol extract (96% S. lappa)
Antiviral activity tests of 96% S. lappa ethanol extract were conducted using Vero E6 cells and SARS-CoV-2 virus variant B.1.470. Supernatants from each treatment were collected on days 1, 2, 3, and 6, then a polymerase chain reaction test with target genes E and ORF1ab was conducted to determine the Ct value. This test resulted in a 50% inhibition concentration of 40 μg/ml. The selectivity index (SI) describes the ratio of the cytotoxicity (CC50) to the antiviral activity (IC50) of a drug. A higher SI indicates how effective a drug is for a specific virus infection [21]. This means that the higher the SI, the greater the chance that the test material will developed into a product. The SI value of ethanol extract 96% root S. lappa is obtained at 3.51.
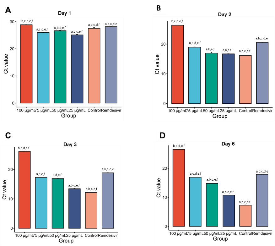
Based on fig. 2, the results of the Ct value can be seen on each day of observation in different test groups. Different test results show that the variable Ct values between the test groups have significant differences (p<0.05).
Table 1: Results of the Ct value of S. lappa ethanol extract activity against SARS-CoV-2 with target gene E
| Groups | Ct values (Average)±SD* | |||
| Day 1 | Day 2 | Day 3 | Day 6 | |
| 100 µg/ml | 28.90±0.035 | 26.38±0.021 | 26.15±0.078 | 26.54±0.042 |
| 75 µg/ml | 26.03±0.219 | 18.95±0.989 | 17.30±0.002 | 16.93±0.028 |
| 50 µg/ml | 26.70±0.085 | 17.00±0.020 | 16.93±0.028 | 14.80±0.021 |
| 25 µg/ml | 25.15±0.169 | 16.73±0.035 | 13.48±0.078 | 10.80±0.007 |
| Negative control | 27.57±0.332 | 16.21±0.014 | 12.19±0.002 | 7.29±0.113 |
| Remdesivir | 28.18±0.057 | 20.56±0.071 | 18.86±0.063 | 17.95±0.092 |
*SD value (Standard Deviation) 3 times replication

Fig. 2: Ct value of S. lappa ethanol extract against SARS-CoV-2 on days 1, 2, 3, and 6 of observations with target gene E
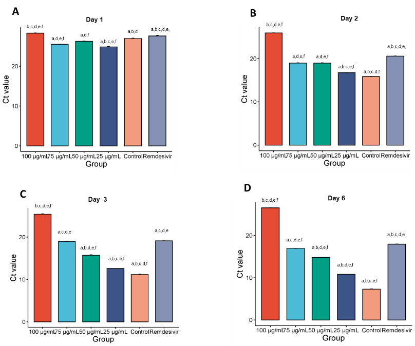
Table 2: Results of the Ct value of S. lappa ethanol extract activity against SARS-CoV-2 with target gene ORF1ab
| Groups | Ct values (Average)±SD* | |||
| Day 1 | Day 2 | Day 3 | Day 6 | |
| 100 µg/ml | 28.29±0.08 | 25.94±0.01 | 25.41±0.17 | 26.54±0.04 |
| 75 µg/ml | 25.47±0.07 | 18.95±0.10 | 18.95±0.09 | 16.93±0.03 |
| 50 µg/ml | 26.24±0.08 | 18.95±0.09 | 15.71±0.17 | 14.80±0.02 |
| 25 µg/ml | 24.85±0.19 | 16.73±0.04 | 12.62±0.00 | 10.80±0.01 |
| Negative control | 26.95±0.12 | 15.86±0.05 | 11.16±0.13 | 7.29±0.11 |
| Remdesivir | 27.59±0.20 | 20.57±0.05 | 19.13±0.05 | 17.95±0.09 |
*SD value (Standard Deviation) 3 times replication

Fig. 3: Ct value of S. lappa ethanol extract against SARS-CoV-2 on days 1, 2, 3, and 6 of observations with target gene ORF1ab
The results demonstrated that S. lappa ethanol extract has activity as an antiviral for SARS-CoV-2 by assessing the Ct value with target Gen E and ORF1ab (fig. 2 and 3). Compared to virus control, S. lappa ethanol extracts can increase Ct values significantly depending on the dose and day of observation (p-value<0.05). However, at a dose of 100 μg/ml, the extract produces toxic effects on Vero E6 cells, so from the RT-PCR results, a higher Ct-value than the positive control is obtained (Remdesivir).

Fig. 4: Observation results on day 3, with the microscope inverted to see cells experiencing cytopathic effects. (A) shows the presence of toxic effects of extracts on E6 Vero cells; (B), (C), (D), and (E) show cytopathic effects characterized by cell rounding and detachment of cells; (F) shows no occurrence of cytopathic effects
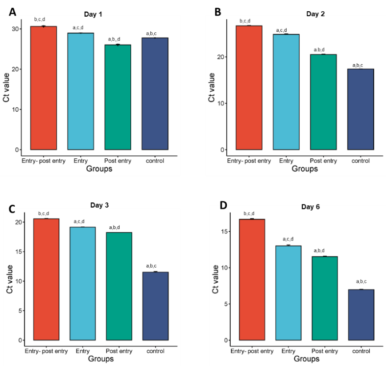
Time addition experiment
The results of the time addition experiment, as shown in fig. 5, show a difference between the result of the Ct value on each day of observation and the stage of the working mechanism of the test material. On the observation of the first day, there are significant differences between the results of Ct values in each treatment group (p<0.05), where the entry-post entry mechanism obtains the highest value. The same results were found on days 2, 3, and 6.
Table 3: Ct value of time addition experiment based on day observation with target Gene E
| Ct values (Average)±SD* | ||||
| Day | Entry-post entry (++) | Entry (+-) | Post entry (-+) | Negative control |
| 1 | 30.62±0.205 | 28.96±0.042 | 26.03±0.219 | 27.77±0.002 |
| 2 | 26.70±0.085 | 24.85±0.198 | 20.56±0.070 | 17.39±0.028 |
| 3 | 20.57±0.070 | 19.16±0.049 | 18.25±0.002 | 11.53±0.177 |
| 6 | 16.68±0.023 | 13.00±0.318 | 11.53±0.177 | 6.97±0.127 |
*SD value (Standard Deviation) 3 times replication

Fig. 5: Time addition experiment with target gene E
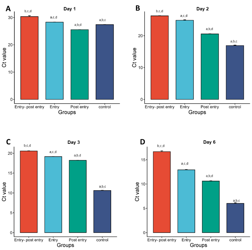
Table 4: Ct value of time addition experiment based on day observation with target Gene ORF1ab
| Ct values (Average)±SD* | ||||
| Day | Entry-post entry (++) | Entry (+-) | Post Entry (-+) | Negative control |
| 1 | 30.36±0.45 | 28.33±0.05 | 25.56±0.01 | 27.41±0.04 |
| 2 | 26.24±0.08 | 24.85±0.19 | 20.57±0.07 | 16.91±0.20 |
| 3 | 20.56±0.07 | 19.16±0.05 | 18.25±0.04 | 10.61±0.09 |
| 6 | 16.68±0.23 | 12.93±0.08 | 10.61±0.09 | 6.03±0.16 |
*SD value (Standard Deviation) 3 times replication

Fig. 6: Time addition experiment with target gene ORF1ab
Time addition experiments with target genes based on correlation tests (fig. 7) show strong negative correlations between Ct value results and observation days, both on entry-post entry and entry and post-entry mechanisms. This suggests that the longer the observation day, the lower the Ct values, both in the treatment and control groups.

Fig. 7: Correlation of Ct value result with observation day
Based on the correlation test (fig. 8), a strong positive correlation exists between the dose of S. lappa extract and the Ct value on day two observation, with a degree of significance of 0.001. Similarly, the results of Ct values on days 3 and 6 of observation show a strongly positive correlation between the extract dose and the result of the Ct value, with a degree of significance of 0.000. This indicates that the higher the dose, the higher the Ct value.
However, on day one observations, it showed a weak positive correlation, with a degree of significance of 0.272 (target gene E) and 0.267 (target gene ORF1ab).

Fig. 8: The dose correlation of the extract with the resulting Ct value on observation days 1, 2, 3, and 6

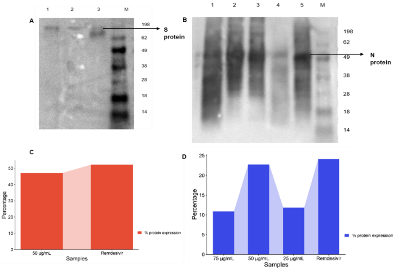
Fig. 9: Protein expression in S and N SARS-CoV-2. (A) The result of a western blot with the antibody Protein S; (1) 50 µg/ml; (2) remdesivir; (3) negative control; (B) The result of a western blot with the antibody Protein N; (1) 75 µg/ml; (2) 50 µg/ml; (3) 25 µg/ml; (4) Remdesivir; (5) negative control; (C) Protein S expression; (D) Protein N expression
Immunoblotting
In the time addition experiment, it is known that S. lappa ethanol extract is likely to work at the entry-post entry stage, so it is necessary to test the expression of proteins produced by viruses, especially proteins related to the identification stage, such as protein S, and proteins associated with virus replication, namely protein N. The result of the protein expressions S and N is shown in fig. 9.
Quantitative analysis of protein expression using ImageJ software showed a decrease in S protein expression by 52.1% in the positive control group (Remdesivir) and by 47.1% in extract concentrations of 50 μg/ml compared to the control group. Decreases in N protein expression were also shown in the remdesivir group as well as the extract groups of 25, 50, and 75 μg/ml, respectively, by 24.1%, 11.8%, 22.7%, and 10.9%.
The bioactivity of medicinal plants is affected by the chemical content. In this study, the TLC results showed that S. lappa ethanol extract includes terpenoid components. This aligns with the literature study of S. lappa, which contains various variable metabolites such as sesquiterpenes, flavonoids, phytosterols, lignans, and terpenes. Sesquiterpenes are the most abundant compounds in S. lappa, with costunolide and dehydrocostus lactone being the main active ingredients [22, 23]. Multiple investigations have demonstrated that terpenoids tend to function as inhibitors of SARS-CoV-2 [24]. The myrcene compound present in S. lappa impacts the ACE-2 receptor, hence impeding the entry of SARS-CoV-2 into the host cells [25].
The antiviral activity was analyzed to see how well the ethanol extract of S. lappa protected Vero E6 cells from infection with SARS-CoV-2. The results showed that the extract can inhibit SARS-CoV-2, with IC50 values of 40 μg/ml. Other studies have indicated that S. lappa extract has partial antiviral activity with effectiveness of 75%, 65%, and 13% against the SARS CoV-2/Wuhan strain B.1.36 at concentrations of 1/64, 1/128, and 1/256 [26]. While the toxicity test also showed that S. lappa ethanol extract had a CC50 of 131.4 μg/ml, this result was similar to previous reports that showed S. lappa ethanol extracts had a CC50 of 162.9 μg/ml [27] and 70.36±0.8 µg/ml [28]. The selectivity index (SI) for this study was 3.51 points. An ideal substance as an antiviral is one whose cytotoxic concentration is high and the inhibitory concentration of the antivirals is low [29].
This study also explains a positive correlation between the extract dose and the Ct value, where the higher the extraction dose, the higher the Ct value when compared to the control group. This study aligns with the research conducted by Ulbegi Polat et al. (2023), which discovered a positive correlation between the concentration of extracts and the percentage of antiviral activity. In other words, as the concentration of the extracts increased, the level of antiviral activity also increased [26]. An experiment was conducted to discover the specific stage of the virus cycle in which the extract exhibits antiviral action. The extract is introduced at various stages throughout the infection to achieve this objective. Fig. 5 and 6 demonstrate that the ethanol extract of S. lappa exhibits both virucidal action, preventing virus entry, and inhibitory effects on the virus once it has entered host cells. This is demonstrated by obtaining a higher Ct value at the entry-post entry level compared to the entry and post-entry levels alone. Other research suggests that a water extract from Saussurea costus can inhibit the virus once it enters the host cells [30]. There was a strong negative correlation between the results of the Ct value and the day of observation, suggesting that the longer the observation day, the lower the Ct value, which means that the extract activity against the virus will decrease.
The Western blot analysis of immunoblotting revealed a reduction in the expression of S and N proteins in the treatment group compared to the negative controls. Protein S is linked to virus recognition, whereas protein N is a structural protein (SARS-C0V-2) that facilitates the packing of genetic material, assists in the folding of RNA, transports proteins inside cells, breaks down DNA, and restricts the host's immunological response [31, 32]. Protein N, the most abundant protein in virus-infected cells, is characterized by its genetic stability, making it a promising candidate for therapeutic targeting [33].
Thin-layer chromatography results obtained terpenoid compounds from S. lappa ethanol extract. The ethanol extracts of S. lappa demonstrate antiviral properties against SARS-CoV-2, with a cytotoxic concentration (CC50) of 131.4 µg/ml and an inhibitory concentration (IC50) of 40 µg/ml. This results in a selectivity index of 3.51. It is possible that S. lappa extracts work at the entry-post entry stage against SARS-CoV-2, as well as a decrease in the expression of proteins S and N in the treatment group compared to the negative control.
This research was funded by the Project Management Unit, The Development of UIN Maulana Malik Ibrahim Malang Phase II East Java Projects under Grant Number 167/Un.03. PMU/01.6/06/2020. The researchers also thanked the Institute of Tropical Disease, Airlangga University, Surabaya, East Java, Indonesia, for providing facilities for this research.
AAF: concept and design, literature search, experimental studies, data acquisition, data analysis, manuscript preparation, manuscript editing; DS: concept and design, data acquisition, data analysis, manuscript preparation; DJAJALAKSANA: concept and design, data acquisition, data analysis, manuscript preparation; SSK: concept and design, data acquisition, data analysis, manuscript preparation; RM: concept and design, experimental studies, data acquisition, data analysis, manuscript preparation, manuscript editing; MIL: concept and design, experimental studies, data acquisition, data analysis, manuscript preparation; SRP: concept and design, data acquisition, data analysis, manuscript preparation
There is no conflict of interest among all the authors.
Vallamkondu J, John A, Wani WY, Ramadevi SP, Jella KK, Reddy PH. SARS-CoV-2 pathophysiology and assessment of coronaviruses in CNS diseases with a focus on therapeutic targets. Biochim Biophys Acta Mol Basis Dis. 2020 Oct;1866(10):165889. doi: 10.1016/j.bbadis.2020.165889, PMID 32603829.
Cucinotta D, Vanelli M. WHO declares COVID-19 a pandemic. Acta Biomed. 2020;91(1):157-60. doi: 10.23750/abm.v91i1.9397, PMID 32191675.
Harrison AG, Lin T, Wang P. Mechanisms of SARS-CoV-2 transmission and pathogenesis. Trends Immunol. 2020;41(12):1100-15. doi: 10.1016/j.it.2020.10.004, PMID 33132005.
Wang Y, Zhang D, Du G, Du R, Zhao J, Jin Y. Remdesivir in adults with severe COVID-19: a randomised, double-blind, placebo-controlled, multicentre trial. Lancet. 2020 May;395(10236):1569-78. doi: 10.1016/S0140-6736(20)31022-9, PMID 32423584.
Hassanipour S, Arab Zozani M, Amani B, Heidarzad F, Fathalipour M, Martinez-de-Hoyo R. The efficacy and safety of favipiravir in treatment of COVID-19: a systematic review and meta-analysis of clinical trials. Sci Rep. 2021 May 26;11(1):11022. doi: 10.1038/s41598-021-90551-6, PMID 34040117.
Fischer WA, Eron JJ, Holman W, Cohen MS, Fang L, Szewczyk LJ. A phase 2a clinical trial of molnupiravir in patients with COVID-19 shows accelerated SARS-CoV-2 RNA clearance and elimination of infectious virus. Sci Transl Med. 2022 Jan 19;14(628):eabl7430. doi: 10.1126/scitranslmed.abl7430, PMID 34941423.
Nikhat S, Fazil M. Overview of COVID-19; its prevention and management in the light of Unani medicine. Sci Total Environ. 2020;728:138859. doi: 10.1016/j.scitotenv.2020.138859, PMID 32334163.
Majnooni MB, Fakhri S, Bahrami G, Naseri M, Farzaei MH, Echeverría J. Alkaloids as potential phytochemicals against SARS-CoV-2: approaches to the associated pivotal mechanisms. Evid Based Complement Alternat Med. 2021;2021:6632623. doi: 10.1155/2021/6632623, PMID 34104202.
Kapoor R, Sharma B, Kanwar SS. Antiviral phytochemicals: an overview. Biochem Physiol. 2017;06(2). doi: 10.4172/2168-9652.1000220.
Da Silveira Oliveira AFC, Teixeira RR, De Oliveira AS, De Souza APM, Da Silva ML, De Paula SO. Potential antivirals: natural products targeting replication enzymes of dengue and chikungunya viruses. Molecules. 2017;22(3).
El-Far A, Shaheen H, Alsenosy A, El-Sayed Y, Al Jaouni S, Mousa S. Costus speciosus: traditional uses, phytochemistry, and therapeutic potentials. Pharmacogn Rev. 2018;12(23):1-8.
Hassan R, Masoodi MH. Saussurea lappa: a comprehensive review on its pharmacological activity and phytochemistry. Curr Tradit Med. 2020;6(1):13-23. doi: 10.2174/2215083805666190626144909.
Sukmawati S, Musfiroh I, Muchtaridi FA, Al Hindi Q. (Saussurea lappa): a narrative review of its phytochemistry and pharmacological potential against COVID-19. Int J Appl Pharm. 2022 Dec 27:1-7.
Keshavarz B, Rezaei K. Microwave- and ultrasound-assisted extraction of phenolic and flavonoid compounds from konar (Ziziphus spina-christi) fruits. Int Food Res J. 2020;27(1):47-55.
Cahyani I, Putro EW, Ridwanuloh AM, Wibowo SHB, Hariyatun H, Syahputra G. Genome profiling of SARS-CoV-2. In: Indonesia. association of southeast Asian nations, and the Neighbouring East Asian Countries: Features, Challenges, and Achievements. bioRxiv; 2021.07.06.451270. doi: 10.1101/2021.07.06.451270.
Mutiah R, Inayatin AL, Annisa R, Indrawijaya YYA, Listiyana A. Inhibition of cell cycle and induction of apoptosis y ethanol leaves extract of Chrysanthemum cinerariifolium (Trev.) in T47D breast cancer cells. Indonesian J Pharm. 2020;31(1):1-10. doi: 10.14499/indonesianjpharm31iss1pp1.
Marahatha R, Basnet S, Bhattarai BR, Budhathoki P, Aryal B, Adhikari B. Potential natural inhibitors of xanthine oxidase and HMG-CoA reductase in cholesterol regulation: in silico analysis. BMC Complement Med Ther. 2021;21(1):1. doi: 10.1186/s12906-020-03162-5, PMID 33386071.
Purniawan A, Lusida MI, Pujiyanto RW, Nastri AM, Permanasari AA, Harsono AAH. Synthesis and assessment of copper-based nanoparticles as a surface coating agent for antiviral properties against SARS-CoV-2. Sci Rep. 2022;12(1):4835. doi: 10.1038/s41598-022-08766-0, PMID 35318357.
Ohashi H, Watashi K, Saso W, Shionoya K, Iwanami S, Hirokawa T. Potential anti-COVID-19 agents, cepharanthine and nelfinavir, and their usage for combination treatment. iScience. 2021 Apr;24(4):102367. doi: 10.1016/j.isci.2021.102367, PMID 33817567.
Tang WF, Tsai HP, Chang YH, Chang TY, Hsieh CF, Lin CY. Perilla (Perilla frutescens) leaf extract inhibits SARS-CoV-2 via direct virus inactivation. Biomed J. 2021 Jun;44(3):293-303. doi: 10.1016/j.bj.2021.01.005, PMID 34119448.
Pritchetta JC, Naesens L, Montoya J. Treating HHV-6 infections: the laboratory efficacy and clinical use of anti-HHV-6 agents. In: Human herpesviruses HHV. 3rd ed. Vol. 6A, HHV-6B and HHV-7 Diagnosis and Clinical Management. Elsevier; 2014. p. 311.
Rao Vadaparthi PR, Kumar K, Sarma VU, Hussain QA, Babu KS. Estimation of costunolide and dehydrocostus lactone in Saussurea lappa and its polyherbal formulations followed by their stability studies using HPLC-DAD. Pharmacogn Mag. 2015;11(41):180-90. doi: 10.4103/0973-1296.149736, PMID 25709231.
Malhotra N, Singh M. Himalayan medicinal plants: advances in botany, production and research. Vol. 20. Academic Press; 2021. p. 202.
Quimque MTJ, Notarte KIR, de Leon VNO, Manzano JAH, Muñoz JER, Pilapil DYH. Computationally repurposed natural products targeting SARS-CoV-2 attachment and entry mechanisms. In: Frontiers of COVID-19. Berlin: Springer International Publishing; 2022. p. 505-37.
Elmaghrabi MM, Nazir T, Taha N. Saussurea costus as herbal medicines have immunomodulatory and potential nutraceutical components that may help in COVID-19 remedy. Adv J Biomed Sci. 2022;7(Jan):1-14.
Ulbegi Polat H, Serhatli M, Tas Ekiz A, Abaci I, Aksoy O, Cakirca G. Investigation of the antiviral effects of Saussurea lappa root extract against SARS-CoV-2 virus. Mol Nutr Food Res. 2023;67(14):e2200804. doi: 10.1002/mnfr.202200804, PMID 37170075.
Idriss H, Siddig B, Gonzalez-Maldonado P, Elkhair HM, Alakhras AI, Abdallah EM. Inhibitory activity of Saussurea costus extract against bacteria, candida, herpes, and SARS-CoV-2. Plants (Basel). 2023;12(3). doi: 10.3390/plants12030460, PMID 36771546.
Attallah NGM, Kabbash A, Negm WA, Elekhnawy E, Binsuwaidan R, Al-Fakhrany OM. Protective potential of Saussurea costus (Falc.) lipsch. roots against cyclophosphamide-induced pulmonary injury in rats and its in vitro antiviral effect. Pharmaceuticals (Basel). 2023 Feb 18;16(2):318. doi: 10.3390/ph16020318, PMID 37259460.
Ho YJ, Liu FC, Yeh CT, Yang CM, Lin CC, Lin TY. Micafungin is a novel anti-viral agent of chikungunya virus through multiple mechanisms. Antiviral Res. 2018 Nov;159:134-42. doi: 10.1016/j.antiviral.2018.10.005.
Idriss H, Siddig B, Maldonado PG, Elkhair HM, Alakhras AI, Abdallah EM. Phytochemical discrimination, biological activity and molecular docking of water-soluble inhibitors from Saussurea costus herb against main protease of SARS-CoV-2. Molecules. 2022 Aug 1;27(15):4908. doi: 10.3390/molecules27154908, PMID 35956858.
Khan A, Tahir Khan M, Saleem S, Junaid M, Ali A, Shujait Ali S. Structural insights into the mechanism of RNA recognition by the N-terminal RNA-binding domain of the SARS-CoV-2 nucleocapsid phosphoprotein. Comput Struct Biotechnol J. 2020;18:2174-84. doi: 10.1016/j.csbj.2020.08.006, PMID 32837710.
Poleboyina PK, Pawar SC. Comparative analysis of small molecules and natural plant compounds as therapeutic inhibitors targeting rdrp and nucleocapsid proteins of sars cov 2: an in silico approach. Asian J Pharm Clin Res. 2023;16(10):208-28. doi: 10.22159/ajpcr.2023.v16i10.48095.
Chang CK, Hou MH, Chang CF, Hsiao CD, Huang TH. The SARS coronavirus nucleocapsid protein forms and functions. Antiviral Res. 2014;103(1):39-50. doi: 10.1016/j.antiviral.2013.12.009, PMID 24418573.