
Department of Applied science, Faculty of Aqaba college, Al-Balqa Applied University, P. O. Box 206, Salt-19117, Jordan
*Corresponding author: Aya M. Ghanem; *Email: aya.ghanem@bau.edu.jo
Received: 17 Nov 2023, Revised and Accepted: 06 Jan 2024
ABSTRACT
Tamsulosin is a highly selective α1-adrenoreceptor antagonist. It has been developed to treat signs and symptoms of benign prostatic hyperplasia. Tamsulosin is absorbed quickly and completely in intestinal mucosa and is eliminated gradually after oral administration, which might generate some side effects as postural hypotension in number of patients. Transdermal drug delivery systems were developed for prolonged tamsulosin delivery in order to control its bioavailability and minimize its side effects. Hence, the present review aims to discuss thoroughly the various transdermal drug delivery systems of tamsulosin investigated in recent years. This review also discusses the skin as a route of drug administration, technologies in transdermal drug delivery along with different techniques used in the preparation of transdermal delivery systems of tamsulosin and their effects on its release and permeation.
Keywords: Tamsulosin, Skin, Transdermal, Matrix system, Reservoir system, Nanotransfersomes
© 2024 The Authors. Published by Innovare Academic Sciences Pvt Ltd. This is an open access article under the CC BY license (https://creativecommons.org/licenses/by/4.0/)
DOI: https://dx.doi.org/10.22159/ijap.2024v16i2.49950 Journal homepage: https://innovareacademics.in/journals/index.php/ijap
Tamsulosin is a selective α1 adrenoreceptor antagonist that is commonly used to treat signs and symptoms of prostatic gland is enlargement disorder. This condition is known as benign prostatic hyperplasia. Mainly, it affects men. The enlarged gland presses and compresses the urethra and ultimately the bladder might weaken and fail to empty completely. The urinary retention and narrowing of the urethra are responsible for symptoms related with benign prostatic hyperplasia. Tamsulosin role is to relax smooth muscles of the prostate and bladder thus, urine can flow easily. Therefore, benign prostatic hyperplasia symptoms will be decreased [1].
Tamsulosin is a white to slightly yellowish crystalline powder that is freely soluble in methanol, sparingly soluble in water, slightly soluble in glacial acetic acid and in ethanol and practically insoluble in ether [2]. Tamsulosin has an empirical formula of C20H29ClN2O5S and a molecular weight of 444.971 g/mol. Tamsulosin HCl has a melting point of 226-228 °C [3].
The metabolism of tamsulosin is taken up by Cytochromes P450 liver enzymes. It is eliminated through urine (76%) and feces (21%). The half-life of tamsulosin in the rate-controlled dosage form is about 14-15 h in BPH patients [4]. The penetration of tamsulosin after oral administration is rapid and the maximum levels are reached within 1.0-1.8 h. In addition, tamsulosin HCl is highly bound to plasma protein (98.9-99.1%) [5].
The absorption of tamsulosin is widely depend on food. Area under the curve and maximum plasma concentration are lower in the fed state compared to the fasting state. For that reason, it is suggested to administer tamsulosin on empty stomach and at the same time every day. Lack of patient compliance will result in a flocculation in tamsulosin blood concentration, which would increase tamsulosin side effects. tamsulosin side effects include sinus and nasal congestion, hoarseness of voice, headache, dizziness, palpitation, orthostatic hypotension and tachycardia. Enhancement and offering more controlled tamsulosin plasma concentration will lead to an increase its efficacy and decrease its side effects [6].
Tamsulosin is supplied as oral capsules under the trade name Flomax® (strength 0.4 mg; Boehringer Ingelheim). Oral tamsulosin is given in 0.4 mg/day or 0.8 mg/day doses half an hour after meal at the same time once daily [7].
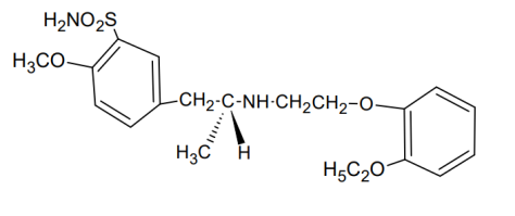
Tamsulosin (fig. 1) is 5-[(2 R)-2-[[2-(2-ethoxy phenoxy) ethyl] amino] propyl]-2-methoxy benzene sulfonamide hydrochloride [8].

Fig. 1: Structure of tamsulosin [9]
Diverse dosage forms of tamsulosin are available in order to avoid the side effects associated with high peaks concentrations.
For this review article, the key phrases employed in the literature search were ‘Tamsulosin’, ‘Tamsulosin dosage form’, ‘the skin’, ‘Transdermal drug delivery system’, ‘Technologies in Transdermal Drug Delivery’ and ‘Transdermal drug delivery systems of tamsulosin’ using ‘Google search engine’, ‘Pubmed’, ‘Science direct’, ‘Cross references’, ‘Google Scholar’, and ‘Scopus’. Since 1998 and by initial peer-review of the articles some papers that contained the stated keywords have been involved in this study.
Tamsulosin oral dosage form
Oral-controlled Absorption system (OCAS®) is an advanced matrix drug delivery system for tamsulosin. OCAS® is constructed using gel-enhancing and gel-forming agents, which promoted stable drug release, independent of food or fluid intake and lower incidence of some side effects [10].
Kumar et al. formulated and evaluated oral extended-released pellets of tamsulosin utilizing a combination of Eudragit L-100® and ethyl cellulose N-50 as coating substances. The pellets were optimized and compared with the innovator product Flomax® capsule. The pellets showed comparable dissolution rate to Flomax® but their release was more controlled [11].
Wang et al. prepared and evaluated oral pellets of tamsulosin with a sustained-release profile by using a two-layered membrane technique. Eudragit®L30D55 and Eudragit® NE 30D were used as coating material at different proportions and coating weight. Sustained-release tamsulosin pellets were successfully manufactured and good release was attained [12].
Transdermal drug delivery system
For many years, the skin has been used for administration of many dermatological agents to treat skin diseases. In this case, the drug molecules are considered to penetrate through the skin to the target tissue within the skin and make their effect before reaching the blood circulation. The skin could also provide a site for administration of drugs that are commonly used for systemic purposes. Here, the topically applied drug would be absorbed through the skin to the blood circulation, which will then be transported to the target tissue to perform its clinical action [13].
Transdermal drug delivery as a route of drug administration has many advantages (table 1) [14].
Table 1: Advantages of transdermal drug delivery
| Advantages of transdermal drug delivery [14] |
| Accessible and noninvasive |
| Avoids GI side effects |
| Protects drugs from the acidic media in the stomach and the enzymes that present in the intestines. |
| keeps the drugs safe from being metabolized by liver enzymes. |
| Easy to apply and remove. |
| Provides sustained drug-plasma profile over long duration without any possibility of dose dumping |
| Could be terminated, if necessary, simply by removing the delivery system. |
| Needs less frequent dosing so patient compliance will be enhanced |
Nevertheless, because of the characteristic barrier function of the skin and slow drugs transport through the skin, drug delivery through transdermal route is restricted to potent drugs of low doses (less than 10-25 mg/day and if possible less than 5 mg/day) and drugs with low molecular weight (less than 1000 Dalton and if possible less than 500 Dalton). Moreover, as a result of long application periods of transdermal delivery systems, skin pores may be blocked, which could lead to several problems and skin irritation [15].
The skin as a route of drug administration
The skin is the largest organ of the body; it approximately accounts for 16% of body mass with a surface area of about 2 m2. It is considered as a barrier between humans and their environment. It regulates the passageway of water, electrolytes and different substances to the body and out of it. It saves the body from toxic agents, micro-organisms and ultraviolet radiation and controls the temperature of the body [16].
The skin (fig. 2) is composed of three layers; the epidermis, the dermis and an underlying subcutaneous fatty layer. The epidermis is an avascular, stratified, squamous epithelium layer that is accountable for rigidity and integrity of the skin. The stratum corneum comprises the outer layer of the epidermis, which is composed of dead, flattened, dehydrated keratinized cells. The stratum corneum is composed of lipid, protein and water. It contains 20% water compared to 70% water in normal cells. It is actually the layer responsible for the impermeability of the skin [16].

Fig. 2: Layers of the skin by Fore et al., 2006 [16]
Drug penetration through the skin is affected by many physiological factors (as age, temperature, site of application, disease and race) and physicochemical factors (as drug molecular size, partition coefficient, solubility, concentration and degree of ionization) [17].
Drug transport through the skin is mainly a passive transport which can be classified into either epidermal route (across the intact stratum corneum layer, which is either transcellular or paracellular) or transfollicular penetration (through the skin appendages) [18].
The most important factors that influence the pathway of drug transportation are its physicochemical properties and the type of formulation. The partition coefficient (log k) of the drug is the main property that governs the pathway that will be taken by the drug; it is defined as a particular concentrations ratio of a solute between two solvents. Hydrophilic drugs partition into the paracellular route, whereas lipophilic drugs use the transcellular route to transverse the stratum corneum [19].
Understanding the skin permeation kinetics is essential to the successful transdermal system development. Kinetics of drug penetration through the skin involves drug dissolution and release from the formulation, drug sorption into the outermost layer of the skin, diffusion of the drug through the stratum corneum and consequent layers, and taking up of the drug into the local capillary network and eventually the systemic circulation [20].
The skin is composed of multilayer tissue and the concentration gradient in percutaneous penetration is developed through several layers (barriers in series) and drug penetration occurs through different channels (barriers in parallel). Therefore, a complex model for drug penetration through the skin presents. However, drug diffusion through the skin is simplified and the rate of permeation across the skin (dQ/dt) could be obtained from the following equation:
…. (1)
Where Cd is the concentration of the penetrant in the donor compartment and Ps is the overall permeability of the skin tissue to the penetrant molecule, which could be defined by the following equation:
…. (2)
Where Ks is the partition coefficient of the penetrant molecule from a transdermal system to the stratum corneum, Dss is the apparent diffusivity for the steady state diffusion of the penetrant molecule through the skin tissues and hs is the overall skin thickness [20].
The major considered challenge in transdermal drug delivery is improving percutaneous drug penetration because of the role of the skin as a barrier. Improving the penetrability through the stratum corneum enables more control to transdermal drug delivery, diminishes the intersubject differences and enlarges the number of drugs that can be formulated for transdermal delivery. Different physical, biochemical and chemical approaches are effectively available to improve percutaneous penetration. Physical approach includes hydration of the stratum corneum, stripping of the stratum corneum, application of heat, iontophoresis, sonophorosis, electroporation, laser energy, microneedles and needless injections [21].
Technologies in transdermal drug delivery
Different technologies (fig. 3) have been effectively developed to design and formulate transdermal therapeutic patches, which are able to control the rate of release and permeation of transdermal delivered drugs. Reservoir systems, matrix diffusion, adhesive dispersion and micro reservoir systems are the most commonly used in the development of transdermal therapeutic systems [22].

Fig. 3: Representative designs of transdermal drug delivery systems by Kandavilli et al., 2002 [22]
The reservoir system, the drug is contained in a distinct compartment which is made from a drug-impermeable laminate and a releasing control polymeric membrane and it is usually present in the form of gel or liquid (solution or suspension). The rate-limiting polymeric membrane controls drug release from the device. An adhesive layer may be added over the control membrane as a basal surface for better skin contact. The main advantage of the reservoir patch is that it affords a constant drug release rate (zero-order kinetic). In addition, the drug in the reservoir system, over time or during storage, tends to diffuse and equilibrates with the control membrane, providing a priming dose or a burst release upon skin application, which is advantageous for drugs having a long lag time between application and the beginning of the therapeutic effect [23]. A major limitation of this patch system is the potential for drug leakage from the liquid reservoir that could arise as a result of any damage to the control membrane during storage or during application. This will result in an uncontrolled drug release and drug overdosing, leading to a potential toxicity [24].
The matrix system, the drug is mixed with an inert polymer matrix that controls its release from the system. The drug is homogenously dispersed in the polymeric matrix. The matrix diffusion system also contains an impermeable backing layer. Drug release occurs from one side through the matrix into the skin. Matrix patches can be applied to the skin directly or an adhesive layer may be added on the matrix for better skin contact. Drug release rates from matrix patches encounters a slight drop over time as a result of continuous increase in distance of the diffusion pathway as the drug is progressively depleted from the patch. However, in a well-designed matrix system, this decline is insignificant and a pseudo zero-order or seemingly constant drug release rate can be achieved over the designated period of use [25].
The Peripheral adhesive design, recently designed, simply incorporates the drug in PSA polymeric layer. This design, which is a matrix type in principle, resembles the simplest transdermal patch design. The drug is entirely included in the adhesive polymer matrix that plays an adhesion function and at the same time confines the drug and controls its permeation rate. The patches produced are thinner, lighter, more flexible, and thus are more convenient to wear and provide better patient acceptability [26].
The micro reservoir system is a combination of the matrix and reservoir systems [27].
Lipid-based systems (fig. 4) have an important role in bioavailability enhancement of drugs through the transdermal route. Mainly due to the lipophilic nature of the skin constituents. Nowadays, the popularity and advance in lipid-based nano-drug delivery systems were very great. Particularly, the vesicular delivery systems were the most prominent for the transdermal route.

Fig. 4: Some of the available lipid-based systems by Sguizzato et al. 2021 [28]
Liposome was a major revolution. And later, other liposome-based derivatives as niosomes, ethosomes, and nanotransfersomes, were prepared by the modification on liposomes [28].
Liposomes were considered as an effective tool for transdermal drug delivery of bioactive medications. Liposomes are safe and biocompatible. They are formed from phospholipids and cholesterol. Liposomes properties could be modified by altering the composition of lipid. They offer numerous advantages for transdermal delivery [29]. Nevertheless, liposomes have a major problem, which is the accumulation in the stratum corneum. This drawback limits their effectiveness as a transdermal delivery system. In order to overcome this problem, a surfactant was added to the system to replace the cholesterol. This new technology was named transfersomes.
Nanotransfersomes (fig. 5) get their advantages over liposomes from their elasticity, ultra-deformability and flexibility of their membranes. These characteristics help the nanotransfersomes to improved their penetration through the skin layers. Sodium deoxycholate, sodium cholate, Span, Tween, etc. are used as surfactants [30].

Fig. 5: The structure of transfersome by Pola et al., 2023 [30]
In general, the design of all transdermal patches is described by a multi-layered construction composed most frequently of the following basic constituents: an impermeable backing layer, a preparation formula containing the drug together with the excipients embedded within a liquid or gel formula or within a polymeric matrix, an optional rate controlling membrane, an optional adhesive layer for better skin adhesion, and a protective release liner which is removed before applying the patch on the skin [31].
Excipients for transdermal drug delivery systems
Transdermal patch delivery systems are basically composed of polymer matrix or matrices, therapeutic agents, penetration enhancers, and other excipients. The design and selection of these additives are critical since they have clear impact on drug release, elasticity, permeability, and stability of the transdermal delivery system. The selection of polymers and other additives should be based on biocompatibility.
Polymers
Polymers are considered a backbone in the development of transdermal patches. Polymer selection is important to meet the specific aims that are intended from the development of the transdermal drug delivery system. The chemical compatibility of the polymers with other components of the transdermal system as drugs, penetration enhancers and plasticizers, must be considered when the polymers are selected. Polymers also play an important role in providing consistent and effective drug release throughout the delivery period. There is a huge diversity of polymers which are commonly used in the development and formulation of transdermal patches. They could be used as backing layers, matrix formers, pressure-sensitive adhesives, rate-controlling layers and release liners. Polymers used in transdermal drug delivery include Ethylcellulose, hydroxypropyl methylcellulose, polyvinyl pyrrolidone, Eudragit® and ethylene vinyl acetate (EVA) [33].
Plasticizers
Plasticizers are used in transdermal delivery systems to improve the characteristic and the appearance of the polymeric film, affect the glass transition temperature of the polymer, avoid film fracture and increase film flexibility. Plasticizers could be also used to control the rate of drug release which could be optimized by the selection of the plasticizer and its appropriate concentration in the formulation [34].
The action of the plasticizers came from its role in causing a reduction in the cohesive intermolecular force along the polymer chainsso resulting in different changes in the polymer properties such as enhancing elongation property of the polymer, reduction in tensile strength, increase the flexibility, and reduction in transition temperature of polymer [35].
Plasticizers used in polymeric delivery systems include triacetin, propylene glycol and polyethylene glycol, dibutyl phthalate and triethyl citrate [35].
Penetration enhancers
Penetration enhancers used in drug delivery should be nontoxic, compatible with other ingredients in formulation and suitable for the intended use. They should be stable, available and relatively inexpensive and provide immediate and reversible action. Examples of chemical penetration enhancers include azone (1-dodecylazacycloheptan-2-one or laurocapram), sulphoxides and similar chemicals, alcohols, fatty alcohols, glycols, essential oils, and terpenoids [36].
Other excipients
Various solvents such as methanol, chloroform, isopropanol, acetone and dichloromethane are usually used to prepare drug matrix or reservoir. Thickening agents, viscosity stabilizers, buffers, pH regulators, anti-oxidants, and preservatives may also be added as required [37].
Table 2: Summary of transdermal delivery system studies of tamsulosin
| Study title | Preparation technique | Polymers used | Duration of tamsulosin delivery | Reference |
| Transdermal drug delivery system for the administration of tamsulosin and related compositions and methods of use. | Reservoir system | silicones, polyisobutylene, block co-polymers of polystyrene and polybutadiene/polyisoprene). | 6 d | [39] |
| Tamsulosin-containing transdermal patch. | Drug-in-adhesive patch | (meth)acrylic acid ester copolymer | 2 d | [40] |
| Transdermal administration of tamsulosin. | Drug-in-adhesive patch | polyisobutylene adhesive and hydrophobic synthetic rubber adhesive. | 7 d | [41] |
| Design and evaluation of transdermal delivery system containing tamsulosin hydrochloride. | Matrix system | EVA, Eudragit RS and Eudragit RL | 4 d | [42] |
| Formulation and Evaluation of Eudragit® RL Polymeric Double Layer Films for Prolonged‑Release Transdermal Delivery of Tamsulosin Hydrochloride. | Matrix system | EVA and Eudragit RL | 14 d | [38] |
Transdermal delivery systems of tamsulosin
Tamsulosin is considered as a good candidate for transdermal drug delivery; it has moderate lipophilicity so it can bypass the lipophilic SC and diffuse down through the hydrophilic layers of the skin to finally reach the systemic circulation, it has an intermediate molecular weight that is considered desirable for skin delivery, it’s low daily dose, its’ long half-life, and long term therapy that makes it more convenient to take the drug by the transdermal route that reduces the number of the desired doses, and so increasing the patient compliance [38].
Different Transdermal delivery systems of tamsulosin (table 2) have been developed and evaluated.
Reservoir system
Ma et al. prepared tamsulosin-containing patches to be applied to the skin or mucosal tissue. Transdermal patches were prepared for controlled delivery of tamsulosin, which would provide a non-invasive method of administration, controlled dosage of the drug and improved patient compliance. Each patch was composed of a backing layer and a reservoir layer with at least one polymeric material, which contains the drug particles and a skin penetration enhancer. They also establish a low-temperature technique for preparation a transdermal drug delivery system composed of volatile enhancer materials [39].
Drug-in-adhesive patch
Kawahara et al. prepared transdermal patches for tamsulosin base. Each patch was composed of a backing layer and an adhesive layer. The adhesive layer was composed of either acrylic or rubber adhesive, different ratios of tamsulosin (1-20% by mass), polyoxyethylene alkyl ether as solubility enhancer, as needed, and propylene glycol fatty acid ester as penetration enhancer. The roles of additives on the preparation were examined. Different cross-linkers were also added into the adhesive layer to improve the consistency of the acrylic adhesive. The release of tamsulosin from the adhesive layer was extended for a long period so that a continuous administration could be achieved [40].
Transdermal drug-in-adhesive patches for the delivery of tamsulosin were also prepared by Singh et al. The patches contained the drug, at least 40% polyisobutylene or rubber adhesive, an aprotic solvent in which tamsulosin could be dissolved in and a permeation enhancer. The drug in adhesive transdermal patches provided a controlled release of tamsulosin [41].
Matrix system
Assaf et al. prepared, designed and optimized a transdermal delivery system of a matrix type for the controlled release of tamsulosin. It was prepared by solution casting method, using of EVA as a backing layer and Eudragit RL medicated layers with 30% weight per polymer weight of triethyl citrate as a plasticizer and a 1:1 mixture of propylene glycol monocaprylate and coco-caprylate/caprate as penetration enhancers.
The prepared patch showed good adhesiveness and the desired in vitro drug permeation, which could afford the daily needed dose of tamsulosin for about 4 d [42].
However, an extended sustained tamsulosin delivery was achieved successfully over 1 to 2 w by using a double-layer matrix patch strategy. Transdermal patches of tamsulosin were prepared using one or two eudragit RL medicated layers. Assaf et al. demonstrated that the increase in the incorporated concentration of drug resulted in a rapid drug release rate; a linear relationship was achieved over the studied concentration range. Double patches exhibited a more prolonged release duration with improved sustainability than single-layer patches. The transdermal double-layer patches, which composed of 20% of a 1:1 mixture of propylene glycol monocaprylate and coco-caprylate/caprate per layer of the patch, revealed an ability to sustain tamsulosin delivery for two weeks and highest utilization of the incorporated drug compared to other prepared patches [38].
Nanotransfersomes
Almehmady et. al aimed to improve the bioavailability and permeability of tamsulosin by preparing it as nanotransfersomes. The optimum nanotransfersomes formulation was composed of 0.4664 mg of tamsulosin, 59.30 mg lipoid S100 and 58.96 mg of sodium deoxycholate. This formula has good percentage of drug entrapment and appeared uniform and spherical in The Transmission Electron Microscope image. Moreover, the bioavailability enhancement was well significant compared with the marketed tablet. Generally, the nanotransfersomes have demonstrated as an effective transdermal delivery system for tamsulosin [43].
Transdermal drug delivery system is a valuable technology for drug delivery with numerous advantages over other routes of delivery. Transdermal patches can bypass digestive system enzymes and avoid first-pass metabolism and it can afford controlled dosing of drugs over a prolonged period of time. Nowadays, they are frequently used to deliver medications for different indications as hormone replacement therapy, chronic pain and motion sickness.
Tamsulosin is an approved drug for the management of benign prostatic hyperplasia signs and symptoms. However, the pharmacokinetics of oral tamsulosin formulations suffer from an extensive food effect. As well as, some patients may have postural hypotension after administration of tamsulosin, like other α1 antagonist’s drugs. Because of that there is a need for improving a transdermal drug delivery system of tamsulosin, which can offer an effective and convenient means of drug administration, control the delivery of tamsulosin and avoid high peak concentrations. All of this permits further development and research to optimize the efficacy and safety of this delivery system.
Nil
All the authors have contributed equally.
Declared none
Retnayyan A, Sreedharan S, Rethinaswamy FP, Narayan Nampoothiri HK, Mathew B. Comparison of efficacy of tamsulosin, alfuzosin, and silodosin in the management of benign prostatic hyperplasia. Asian J Pharm Clin Res. 2023;16:138-42. doi: 10.22159/ajpcr.2023.v16i2.46439.
USP pharmacopeia; 2005.
Siddartha B, Sudheer BI, Ravichandra GC, Parthiban C. Analytical method development and validation for simultaneous estimation of tamsulosin and tolterdoine in bulk and pharmaceutical dosage form by rp-hplc method. Asian J Pharm Clin Res. 2014 Apr 1;7(2):156-60.
Soeishi Y, Matsushima H, Watanabe T, Higuchi S, Cornelissen K, Ward J. Absorption, metabolism and excretion of tamsulosin hydrochloride in man. Xenobiotica. 1996;26(6):637-45. doi: 10.3109/00498259609046739, PMID 8810034.
Franco-Salinas G, de la Rosette JJ, Michel MC. Pharmacokinetics and pharmacodynamics of tamsulosin in its modified-release and oral controlled absorption system formulations. Clin Pharmacokinet. 2010 Mar;49(3):177-88. doi: 10.2165/11317580-000000000-00000, PMID 20170206.
Narayan P, Tunuguntla HS. Long-term efficacy and safety of tamsulosin for benign prostatic hyperplasia. Rev Urol. 2005;7Suppl 4:S42-8. PMID 16986054.
Lowe FC. Summary of clinical experiences with tamsulosin for the treatment of benign prostatic hyperplasia. Rev Urol. 2005;7Suppl 4:S13-21. PMID 16986050.
Shrivastava A, Saxena P, Gupta VB. Spectrophotometric estimation of tamsulosin hydrochloride by acid-dye method. Pharm Methods. 2011;2(1):53-60. doi: 10.4103/2229-4708.81089, PMID 23781431.
Reddy KGS, Kumar AS, Debnath M, Kumar RV. Stability indicating rp-hplc method development and validation for simultaneous determination of dutasteride and tamsulosin in bulk as well as in pharmaceutical dosage form by using pda detector. Asian J Pharm Clin Res. 2014;7:105-13.
Neill MG, Shahani R, Zlotta AR. Tamsulosin oral controlled absorption system (OCAS) in the treatment of benign prostatic hypertrophy. Ther Clin Risk Manag. 2008;4(1):11-8. doi: 10.2147/tcrm.s86, PMID 18728700.
Kumar MA, Lakshmi DPK, Balasubramanium DJ. Formulation development and in vitro evaluation of tamsulosin Hcl extended-release pellets. Int J PharmTech Res. 2011;3(2):968-79.
Wang J, Sun Y, Li B, Fan R, Li B, Yin T. Preparation and evaluation of tamsulosin hydrochloride sustained-release pellets modified by two-layered membrane techniques. Asian J Pharm Sci. 2015;10(1):31-9. doi: 10.1016/j.ajps.2014.08.009.
Sachan R, Bajpai M. Transdermal drug delivery system: a review. Int J Res Dev Pharm Life Sci. 2013;3(1):748-65.
Valeveti SK, Pashikanti S. Design, development, and evaluation of transdermal patches containing memantine hydrochloride. Int J App Pharm. 2023;15:181-97. doi: 10.22159/ijap.2023v15i5.48481.
Waghule T, Singhvi G, Dubey SK, Pandey MM, Gupta G, Singh M. Microneedles: a smart approach and increasing potential for transdermal drug delivery system. Biomed Pharmacother. 2019 Jan;109:1249-58. doi: 10.1016/j.biopha.2018.10.078, PMID 30551375.
https://my.clevelandclinic.org/Health/Body/21901-Epidermis. [Last assessed on 20 Nov 2023]
Supe SM, Takudage PJ. Methods for evaluating penetration of drug into the skin: a review. Skin Res Technol. 2021;27(3):299-308. doi: 10.1111/srt.12968, PMID 33095948.
Jhawat V, Kamboj S, Maggon N. Transdermal drug delivery systems: approaches and advancements in drug penetration through skin. Int J Pharm Sci Rev Res. 2013;20(1):47-56.
Souto EB, Fangueiro JF, Fernandes AR, Cano A, Sanchez-Lopez E, Garcia ML. Physicochemical and biopharmaceutical aspects influencing skin permeation and role of SLN and NLC for skin drug delivery. Heliyon. 2022 Feb 11;8(2):e08938. doi: 10.1016/j.heliyon.2022.e08938, PMID 35198788.
Iyer A, Jyothi VGSS, Agrawal A, Khatri DK, Srivastava S, Singh SB. Does skin permeation kinetics influence efficacy of topical dermal drug delivery system?: assessment, prediction, utilization, and integration of chitosan biomacromolecule for augmenting topical dermal drug delivery in skin. J Adv Pharm Technol Res. 2021 Oct-Dec;12(4):345-55. doi: 10.4103/japtr.japtr_82_21, PMID 34820308.
Kovacik A, Kopecna M, Vavrova K. Permeation enhancers in transdermal drug delivery: benefits and limitations. Expert Opin Drug Deliv. 2020 Feb;17(2):145-55. doi: 10.1080/17425247.2020.1713087, PMID 31910342.
Kandavilli S, Nair VB, Panchagnula R. Polymers in transdermal drug delivery systems. Pharm Technol. 2002;26:62-80.
Phatale V, Vaiphei KK, Jha S, Patil D, Agrawal M, Alexander A. Overcoming skin barriers through advanced transdermal drug delivery approaches. J Control Release. 2022 Nov;351:361-80. doi: 10.1016/j.jconrel.2022.09.025, PMID 36169040.
Sabbagh F, Kim BS. Recent advances in polymeric transdermal drug delivery systems. J Control Release. 2022 Jan;341:132-46. doi: 10.1016/j.jconrel.2021.11.025, PMID 34813879.
Al Hanbali OA, Khan HMS, Sarfraz M, Arafat M, Ijaz S, Hameed A. Transdermal patches: design and current approaches to painless drug delivery. Acta Pharm. 2019 Jun 1;69(2):197-215. doi: 10.2478/acph-2019-0016, PMID 31259729.
Nasrollahzadeh M, Ganji F, Taghizadeh SM, Vasheghani Farahani E, Mohiti Asli M. Drug in adhesive transdermal patch containing antibiotic-loaded solid lipid nanoparticles. J Biosci Bioeng. 2022 Nov;134(5):471-6. doi: 10.1016/j.jbiosc.2022.08.003, PMID 36151004.
Martins NI, Sousa MP, Custodio CA, Pinto VC, Sousa PJ, Minas G. Multilayered membranes with tuned well arrays to be used as regenerative patches. Acta Biomater. 2017 Jul 15;57:313-23. doi: 10.1016/j.actbio.2017.04.021, PMID 28438703.
Sguizzato M, Esposito E, Cortesi R. Lipid-based nanosystems as a tool to overcome skin barrier. Int J Mol Sci. 2021;22(15):8319. doi: 10.3390/ijms22158319, PMID 34361084.
Carita AC, Eloy JO, Chorilli M, Lee RJ, Leonardi GR. Recent advances and perspectives in liposomes for cutaneous drug delivery. Curr Med Chem. 2018 Feb 13;25(5):606-35. doi: 10.2174/0929867324666171009120154, PMID 28990515.
Pola KK, Kumar Rada S. An overview on ultra deformable vesicular drug delivery systems in transdermal drug delivery. Int J App Pharm. 2023;15:28-34. doi: 10.22159/ijap.2023v15i3.46785.
Al Hanbali OA, Khan HMS, Sarfraz M, Arafat M, Ijaz S, Hameed A. Transdermal patches: design and current approaches to painless drug delivery. Acta Pharm. 2019 Jun 1;69(2):197-215. doi: 10.2478/acph-2019-0016, PMID 31259729.
Vashishth R, Chuong MC, Duarte JC, Gharat Y, Kerr SG. Two sustained-release membranes used in formulating low strength testosterone reservoir transdermal patches. Curr Drug Deliv. 2024;21(3):438-50. doi: 10.2174/1567201820666230316115921, PMID 36927432.
Sabbagh F, Kim BS. Recent advances in polymeric transdermal drug delivery systems. J Control Release. 2022 Jan;341:132-46. doi: 10.1016/j.jconrel.2021.11.025, PMID 34813879.
Aggarwal G, Dhawan S, Hari Kumar SL. Formulation, in vitro and in vivo evaluation of transdermal patches containing risperidone. Drug Dev Ind Pharm. 2013 Jan;39(1):39-50. doi: 10.3109/03639045.2012.657643, PMID 22335586.
Al Hanbali OA, Khan HMS, Sarfraz M, Arafat M, Ijaz S, Hameed A. Transdermal patches: design and current approaches to painless drug delivery. Acta Pharm. 2019 Jun 1;69(2):197-215. doi: 10.2478/acph-2019-0016, PMID 31259729.
Pan Y, Li ZH, Qian DW, Liu P, Zhang Y, Shang EX. [Effects of different penetration enhancers on pharmacokinetics of active components in Xiangfu Siwu transdermal patches]. Zhongguo Zhong Yao Za Zhi. 2016 Jan;41(2):294-302. doi: 10.4268/cjcmm20160221, PMID 28861976.
Vashishth R, Chuong MC, Duarte JC, Gharat Y, Kerr SG. Two sustained release membranes used in formulating low-strength testosterone reservoir transdermal patches. Curr Drug Deliv. 2024;21(3):438-50. doi: 10.2174/1567201820666230316115921, PMID 36927432.
Assaf SM, Ghanem AM, Alhaj SA, Khalil EA, Sallam AA. Formulation and evaluation of Eudragit® RL polymeric double layer films for prolonged-release transdermal delivery of tamsulosin hydrochloride. AAPS PharmSciTech. 2022 Jul 29;23(6):210. doi: 10.1208/s12249-022-02358-x, PMID 35902492.
Ma X, Audett J, Soni PL, Singh N, Bailey SE, Leandro S. Transdermal drug delivery system for the administration of tamsulosin, and related compositions and methods of use. Patent No US. 1998;5(843):472 A.
Kawahara K, Nakao K, Yamaki H. Tamsulosin-containing transdermal patch. Patent application number; 2009.
Singh P, Lee ES, Jain AK. Transdermal administration of tamsulosin, pub. No.: US 2010/0291186; 2009. p. A1.
Assaf SM, Sallam ASA, Ghanem AM. Design and evaluation of transdermal delivery system containing tamsulosin hydrochloride. Journal of Drug Delivery Science and Technology. 2019;51:524-34. doi: 10.1016/j.jddst.2019.03.023.
Almehmady AM, Elsisi AM. Development, optimization, and evaluation of tamsulosin nanotransfersomes to enhance its permeation and bioavailability. J Drug Deliv Sci Technol. 2020;57:101667. doi: 10.1016/j.jddst.2020.101667.