
, JANESHA KRISHNAN, ASHWIN RAVICHANDRAN, RAMAN SURESHKUMAR*1Department of Pharmaceutics-Centre for Nano Engineering Science and Technology (C-NEST), JSS Academy of Higher Education and Research, JSS College of Pharmacy, Ooty, The Nilgiris-643001, Tamil Nadu, India
*Corresponding author: Raman Sureshkumar; *Email: sureshcoonoor@jssuni.edu.in
Received: 06 Dec 2023, Revised and Accepted: 24 Jan 2024
ABSTRACT
Biosurfactants are surface active agents produced by microorganisms, which help reduce surface or interfacial tension between two immiscible liquids like oil and water. In recent years, Due to their environmentally friendly nature and wide range of applications in various industries, they can act as a sustainable alternative to synthetic surfactants. This review article provides an overview of biosurfactants, emphasizing their need for biosurfactants, the production process, and their classification based on molecular weight, charge, and the microorganism they derived. The advantages include biodegradability, biocompatibility, low toxicity, surface activity, and specificity, and various areas where the biosurfactant used are emulsification, thermal stability, pH stability, wetting ability, foaming ability, and spreadability. Research on using biosurfactants in various formulations like nanoparticles, liposomes, transdermal application, nanoemulsion, and nanocapsules is also highlighted in this review to support its application in the medical field. Biosurfactants are also utilized in various fields like the pharmaceuticals, cosmetics, food, and oil industries. However, they have their drawbacks, which include high production costs, variability in production yield, sensitivity to the environment, lack of standardization, hurdles in regulatory approval, and research and development limitations. Despite certain drawbacks, biosurfactant offers a sustainable alternative to synthetic surfactants.
Keywords: Biosurfactant, Emulsification, Nanoparticles, Lipid drug delivery
© 2024 The Authors. Published by Innovare Academic Sciences Pvt Ltd. This is an open access article under the CC BY license (https://creativecommons.org/licenses/by/4.0/)
DOI: https://dx.doi.org/10.22159/ijap.2024v16i2.50061 Journal homepage: https://innovareacademics.in/journals/index.php/ijap
Surfactants also known as surface active agents [1], which is an organic compounds with amphiphilic properties that help reduce the surface and interfacial tension between liquids [2]. Surfactant finds application in various industries, including pharmaceutical and cosmetics [3], due to their ability to enhance permeation [4], act as flocculating agents [5], and serve as emulsifying agents in various formulations [6].
In pharmaceuticals, surfactants play roles in skin permeation, respiratory distress therapy [7], suppository base preparation [8], and drug absorption. They are also involved in transdermal drug delivery [9], microbiology, gene therapy [10], and drug-resistant lung cancer treatment [11]. The cosmetic industry utilizes surfactants in shampoo, lotion cleansing agents, and personal care products [12]. Furthermore, they are used in the Textile industry, genetic science, and paint industries [13].
Despite their widespread application, surfactants have drawbacks, such as influencing microorganism growth [14] and causing skin irritation [15]. Prolonged use may disturb physiological function, and some surfactants can be challenging to degrade, posing environmental risks [16].
Hence there is a need for an alternative to replace fully or partially to achieve similar characteristics/properties of the surface-active agent. In this review, an attempt has been made to review/explore the use, production, classification advantages, and disadvantages of Biocompatible surfactants i.e., biosurfactants.
This review article delves into research papers sourced from databases like PubMed, IEEE Xplore, ScienceDirect, and Google Scholar, spanning the period from 2015 to 2023. The search incorporated keywords such as Biosurfactant, Cancer, Lipid drug delivery, Emulsification, Nano particles, and Production. The emphasis was on studies exploring Production, Classification of biosurfactant, Advantages over Synthetic surfactant, Their application in various field and Future of biosurfactants in drug delivery system. This methodology highlights recent advancements in microfluidics for cancer treatment and offers a thorough overview of breakthroughs in drug discovery and development.
Need of biosurfactant
Biosurfactants are surface-active molecules derived from microbial sources, exhibiting similar mechanisms as synthetic surfactants in reducing surface and interfacial tension [17]. They are considered a promising alternative to synthetic due to lower toxicity, greater biodegradability, environmental compatibility, good foamability, and stability at different temperatures and pH levels [18]. Biosurfactants not only reduce tension but also possess therapeutic activities, including anti-bacterial, anti-fungal, anti-viral, and anti-adhesive properties. Recent studies even suggest anti-cancer activity [19].
In addition to these characteristics, biosurfactants are environmentally friendly, have low toxicity, and serve as a renewable resource for production. They find applications in various fields such as oil recovery, agricultural pesticides, pharmaceuticals, and food industries, acting as stabilization agents, foaming agents, and anti-microbial agents [20].
Table 1: Production of biosurfactant
| Biosurfactant | Microorganism | Process | MW/surface tension in water at cmc | References |
| Rhamnolipids | Pseudomonas aeruginosa, Pseudomonas putida, Pseudomonas chlororaphis, Bacillus subtilis, Renibacterium salmoninarum | Adsorption | 504-650 gmol-1/29 mN m-1 | [21-23] |
| Cellobiolipids | Ustilago maydis | Crystallization | 30 mN m-1 | [24, 25] |
| Sophorolipids | Candida bombicola, Candida sphaerica, Candida. Glabrata, Candida apicola, Torulopsis petrophilum, Torulopsis apicola | Solvent extraction | 620-720 gmol-1/33 mN m-1 | [26-28] |
| Trehalipids | Rhodococcus spp., Tsukamurella spp., Arthrobacter spp. Nocardiasp., Micrococcusluteus | Solvent extraction | 1211 gmol-1/29 mN m-1 | [29, 30] |
| Mannosylerythritol lipid | Candida Antarctica, Kurtzmanomyces spp., Pseudozyma fusifornata, Pseudozyma rugulosa, Pseudozyma aphidis, | Diafiltration and precipitation, Ultrafiltration | 643 gmol-1/28 mN m-1 | [31–33] |
| Viscosin | Pseudomonas fluorescens, Leuconostoc mesenteroides | Adsorption | 1126.4 gmol-1/26.5 mN m-1 | [34, 35] |
| Iturin | B. subtilis | Adsorption | 1043.2 gmol-1/25 mN m-1 | [36, 37] |
| Surfactin | B. subtilis | Acid precipitation, Foam separation, and precipitation | 1036.8 gmol-1/27–32 mN m-1 | [38–40] |
| Lichenysin | Bacillus licheniformis | Adsorption | 1020.7 gmol-1 | [41, 42] |
| Emulsan | Acinetobacter calcoaceticus | Ammonium sulfate precipitation | 1000 gmol-1/27mN m-1 | [43-45] |
| Alasan | Acinetobacter radioresistens | - | 1000 gmol-1 | [46, 47] |
| Liposan | Candida lipolytica, Candida tropicalis | Solvent extraction | 27mN m-1 | [48, 49] |
| Carbohydrate-lipid-protein | Debaryomyces polymorphous, Yarrowia lipolytica, Candida lipolytica | Tangential flow filtration | 27mN m-1 | [50, 51] |
| Mannoprotein | Saccharomyces cerevisiae, Kluyveromyces marxianus | Diafiltration and precipitation | - | [52] |

Fig. 1: Classification of biosurfactant
Advantages
Biocompatibility
Biosurfactants derived from biological sources demonstrate high biocompatibility with various production ingredients in industries like cosmetics, agriculture, and pharmaceuticals. Studies, including those by Maissa Dardouri et al. (2022) and J. sangeetha et al. (2013), employ methods such as in vitro direct assay, in vitro indirect assay, and in vivo subcutaneous implantation in a rabbit model to assess biocompatibility. Results indicate that medical devices coated with biosurfactants, specifically rhamnolipids, exhibit lower toxicity compared to those without biosurfactants [53]. However, some studies, such as J. sangeetha et al. (2013), suggest that while biosurfactants are generally biocompatible, there may still be instances of biocompatibility [54].
Functionalizing with biosurfactants may reduce biocompatibility, with alternatives like PEG and natural polymer dextran proving to be more biocompatible.



(a) (b) (c)



(d) (e) (f)
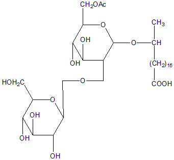
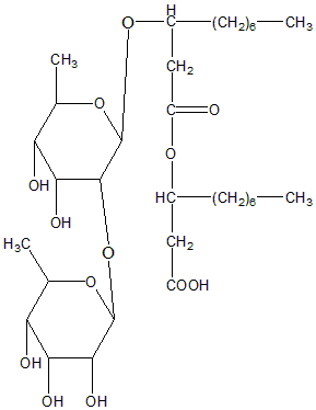
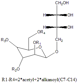
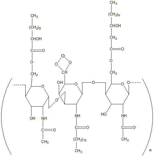
Fig. 2: (a) Rhamnolipid (b) Sophoprolipids (c) Mannosylerythritol lipids (d) Iturin (e) Surfactin (f) Emulsan
Biodegradation
Biosurfactants derived from renewable sources are characterized by their biodegradability and minimal harm to natural environments [55]. Francisco Rios et al. (2019) conducted a study on biodegradation under various pH, temperature, and time conditions, revealing an 80.7% degradation of biosurfactants at pH 7 and 25 ° Cover 15 d [56]. Prasanna K. Mohan et al. (2005) compared the biodegradation of biosurfactants (Rhamnolipids) and synthetic surfactants (Triton X-100) across aerobic, anaerobic, and anoxic conditions. The results showed that rhamnolipids exhibited 74% degradation after 10 d under aerobic conditions, while Triton X-100 degraded 47.1%. However, under anaerobic and anoxic conditions, rhamnolipids had less than 50% degradation, and Triton X-100 was not biodegradable under anaerobic conditions, with only slight degradation under nitrate-reducing conditions [57]. While biosurfactants are generally biodegradable, certain conditions, such as anaerobic environments, may pose challenges, with optimal degradation occurring within 15 to 20 d under aerobic conditions.
Low toxicity
Biosurfactants exhibit significantly lower toxicity compared to synthetic surfactants. For instance, glycolipid biosurfactants were found to be 50% less toxic than synthetic surfactants like Tween 80 [58]. Studies by Poremba et al. (1981) and Edward et al. (2003) further support this, demonstrating that biosurfactants, particularly rhamnolipids and emulsan, showed 10 times less toxicity than chemical surfactants (e. g., Corexit) [59] and were less toxic than specific synthetic surfactants (e. g., PSE-61) [60]. The natural origin of biosurfactants is believed to contribute to their lower toxicity, as they are derived from sources that do not produce harmful effects, unlike synthetic surfactants that originate from toxic synthetic chemicals.
Surface and interfacial activity
Biosurfactants demonstrate significant surface and interfacial activity, effectively reducing tension levels. For instance, surfactin, a biosurfactant, reduces the surface tension of water to 25 newton/meter, compared to synthetic surfactants that lower it to 35 newton/meter [61]. Cooper et al. (1981) used surfactin to reduce water surface tension from 72 to 25 mN/m and interfacial tension from 40 mN/m to 1 mN/m [62]. In another study, Rhamnolipids, a biosurfactant, was utilized by Zulfiqar A. Raza et al. (2011) to create an emulsion of n-hexane and water, resulting in a reduction of interfacial tension from 50 mN/m to 29.0 mN/m [63]. Although biosurfactants generally outperform synthetic surfactants in reducing surface and interfacial tension, some, like liposan, may lack the ability to reduce interfacial tension, unlike all synthetic surfactants.
Specificity
Biosurfactants possess complex organic molecules with specific functionalities, allowing for site-specific actions. This specificity contributes to the creation of tailored cosmetics and diverse pharmaceutical applications [64]. Reetz et al. (2013) identified the wild-type gene, known as rhl-genes, in rhamnolipids and through laboratory evaluation methods, modified the DNA sequence for specific targeting [65]. Wittgens et al. (2018) focused on rhamnolipids, optimizing the RhlA acyltransferase responsible for HAA synthesis. They developed a hybrid model (rhlAB) with P. aeruginosa and B. glumae to synthesize acyltransferase for specific fatty acid chain selection [66]. Their findings confirmed that biosurfactants can bind to specific fatty acid chains with higher specificity through slight modifications in DNA sequencing. This specificity enhances their utility in various applications.
Where it's used
Emulsification
Biosurfactants exhibit effective emulsification activity, forming metastable oil-in-water (O/W) and water-in-oil (W/O) emulsions. Examples like rhamnolipid and surfactin demonstrate emulsification indices exceeding 50% [67]. Marcia Nitschke et al. (2005) studied lipopeptide emulsification with various hydrocarbons, finding emulsification activities ranging from 66.6% to 74%, with soybean oil displaying the highest stability at 74%[68]. However, biosurfactants such as sophorolipids from Torulopsis bombicola, as produced by D G Cooper et al. (1984), may exhibit low emulsification activity despite reducing surface and interfacial tension [69]. The variation in emulsification activity among biosurfactants could be attributed to their molecular mass, with higher molecular mass biosurfactants generally demonstrating better emulsification. In comparison, lower molecular mass biosurfactants may exhibit reduced emulsification activity.
Thermal stability/pH stability
Biosurfactants exhibit notable thermal stability, allowing their use in processes requiring high temperatures. This stability is crucial for formulations subjected to elevated temperatures. Additionally, the ionization state of the polar head group in biosurfactants influences their stability, with pH-stable biosurfactants ensuring the stability of cosmetic formulations such as emulsions and foams[70]. Mahmoud Abouseoud et al. (2008) conducted a thermal/pH stability study on biosurfactants from Pseudomonas fluorescence, demonstrating stability up to 120 °C for 15 min across pH 4-9 [71]. Deepansh Sharma et al. (2015) conducted similar stability studies on glycolipid biosurfactants, subjecting them to temperatures from 0 °C to 125 °C and pH levels from 4-12 [72]. Their findings confirmed that changes in temperature and pH did not significantly affect the surface tension and emulsification index of the biosurfactants, affirming their robust stability under varied conditions.
Wetting ability
The amphiphilic nature of biosurfactants, containing both water-attracting and water-repelling components, enhances wetting ability by lowering surface tension and improving the interaction between solid and liquid phases. This property is valuable for cleaning and coating various formulations [73]. G. Ozdemir et al. (2004) compared the wettability of rhamnolipid biosurfactants with sodium dodecyl sulfate on different surfaces. The biosurfactants demonstrated reduced contact angles and adhesion tension on hydrophobic surfaces compared to sodium dodecyl sulfate [74]. Yutaka Ishigami et al. (1992) evaluated the wetting action of rhamnolipid B (RB-Na) and its methyl ester (RB-Me) on real rat skin and artificial biomembrane surfaces. At certain concentrations, RB-Me showed better wetting effects, while RB-Na exhibited superior wetting at lower concentrations [75]. Their conclusion suggests that modifying the carboxylic moiety enhances the biosurfactant's activity in lowering interfacial tension and improving wetting action. From the results, biosurfactants demonstrate superior wetting abilities compared to synthetic surfactants.
Foaming ability
Biosurfactants can generate stable foams by reducing interfacial tension and the formation and stability of foam structures and bubbles. In a study by Hary Razafindralambo et al. (1996), the foaming properties of surfactin biosurfactant were compared with sodium dodecyl sulfate (SDS) and bovine serum albumin (BSA) at various concentrations. At the lowest concentration of 0.05 mg/ml, surfactin demonstrated higher foaming capacity and maximum foam density compared to SDS and BSA. The foam produced by surfactin was more stable, while SDS and BSA resulted in unstable foam with insufficient volume [76]. This study confirms the superior ability of biosurfactants to form stable foam even at lower concentrations, in contrast to synthetic surfactants that often require higher concentrations for foam stability.
Spreadability
Biosurfactants enhance spreadability by reducing interfacial tension, a crucial parameter in various industries. This improved spreadability is especially significant in cosmetic formulations like creams and lotions, as well as in surface cleaning agents for effective dirt removal [77]. In a study by Sonam Gupta et al. (2017), the development of a glycolipid-containing ointment demonstrated notable spreadability with an area of 11.52 cm² [78]. This finding confirms that biosurfactants exhibit good spreadability, comparable to synthetic surfactants, making them valuable in the preparation of various products across different industries.
Biosurfactant-based research work in drug delivery
Biosurfactant finds its value in many of the research and in drug delivery systems viz., Nanoparticles, Silver/CuO nanoparticles, liposomes, Transdermal application, Nanoemulsion, and Nanocapsules/encapsulation.
Nanoparticles
In studies conducted by Gawon Yi and colleagues, they investigated the use of biosurfactants in in vivo drug delivery to tumors. In the 2018 study, emulsan, a biosurfactant, was used to prepare nanoparticles loaded with pheophorbide a (Pba) as a model drug. The characterized nanoparticles had a size of 165.7 nm, a zeta potential of -29.4 mV, and exhibited a spherical shape. The nanoparticles remained stable with a size below 200 nm after one week of storage. In vivo experiments showed promising results, with a faster uptake of emulsan-based nanoparticles by tumor cells compared to free Pba. The concentration of nanoparticles in the blood circulation and accumulation in the tumor were 3.04-fold higher than free Pba, suggesting emulsan's potential in tumor drug delivery [79].
In the 2019 study, rhamnolipid, another biosurfactant, was used to prepare nanoparticles loaded with Pba. The characterized nanoparticles had a size of 136.1 nm and a zeta potential of -34.5mV. These nanoparticles exhibited high stability at pH 7, with no significant changes in size after storing for 5 d. In vivo experiments demonstrated a suppression in the growth of tumors within 14 d using rhamnolipid nanoparticles in photodynamic therapy. The accumulation of nanoparticles in the tumor was 4.7-fold higher than free Pba, indicating that rhamnolipids are promising candidates for drug delivery and biomedical applications [80]. Comparing the two studies, both emulsan and rhamnolipid were effective in reducing tumor size, but rhamnolipid nanoparticles showed a higher effect, possibly due to the photodynamic therapy or inherent anti-tumor activity of rhamnolipids. These findings collectively suggest that biosurfactants are excellent candidates for tumor targeting in drug delivery applications.
Silver/cuo nanoparticles
In a study by Ana Maria Salazar-Bryam et al. (2021), rhamnolipid-stabilized silver nanoparticles were synthesized using a top-down approach. Rhamnolipids significantly reduced the surface tension of water to one-third of the original surface tension. At different pH levels (5.0 to 9.0), there was no significant effect on surface tension. The particle size ranged from 56 to 190 nm, and the zeta potential varied from-14.33 mV to-36.8 mV at pH 3.0 to 9.0. Field emission gun scanning electron microscopy confirmed the round shape of the nanoparticles. The study concluded that the presence of rhamnolipids in the formulation directly impacted the size and stability of silver nanoparticles [81].
In another study by K. Athira et al. (2021), CuO nanoparticles were biosynthesized using rhamnolipids via a hydrothermal method. Characterization was conducted through FTIR, TGA, XRD, SEM, and TEM. The antimicrobial activity of the nanoparticles was assessed using the resazurin assay, with the morphology identified as spherical by FE-SEM. The nanoparticles exhibited excellent antimicrobial activity against both bacteria and fungi, with a minimum inhibition concentration (MIC) of 7.8 µg/ml. The findings suggest that rhamnolipids can be beneficial in formulating antimicrobial and antiviral formulations [82]. The collective results from these studies indicate that rhamnolipids play a crucial role in the synthesis and stabilization of metal nanoparticles. Different pH conditions can affect the particle size and zeta potential of silver nanoparticles, possibly due to the influence of pH on the surface activity of rhamnolipids. Additionally, the CuO nanoparticles synthesized with rhamnolipids showed enhanced antimicrobial activity, suggesting the potential use of rhamnolipids in formulating effective antimicrobial and antiviral formulations.
Liposomes
In a study by Yoshie Maitani et al. (2006), a biosurfactant-based gene delivery system using liposomes was developed for herpes simplex virus. Two different biosurfactants, β-sitosterol β-D-glucoside (sit-G) and mannosyl erythritol lipid A (MEL), were used to formulate liposomes. Three types of liposomes were prepared: control, sit-G, and MEL. The particle sizes of the control, sit-G, and MEL liposomes were 120±1.3 nm, 163±3.0 nm, and 85.7±9.7 nm, respectively. The cytotoxicity of the liposomes indicated a cell viability of 70% for sit-G lipoplex and 30% for MEL lipoplex. Sit-G showed an effect in reducing tumor size within 30 d [83].
In another study by Ce Cheng et al. (2019), liposomes containing curcumin were developed using rhamnolipids to enhance stability, loading capacity, and sustained release. Liposomes were prepared with different ratios of phospholipids and rhamnolipids. The particle sizes for various ratios were 251 nm (10:1), 206 nm (5:1), 97.7 nm (2:1), and 46.4 nm (1:1). The stability of liposomes at different pH levels showed minimal sedimentation, with a particle size ranging from 207 to 213 nm after 7 d. The study demonstrated 71.5% curcumin retention after 60 min and a 59% in vitro release in 72 h [84]. Comparing the studies, both Yoshie Maitani et al. (2006) and Ce Cheng et al. (2019) focused on developing liposomes using different biosurfactants or their combination. The liposomes with mannosyl erythritol lipid A showed a particle size below 100 nm, indicating good size control. In the case of Ce Cheng et al. (2019), a combination of phospholipids and rhamnolipids demonstrated better thermal stability, higher loading capacity, and sustained release compared to the use of a single biosurfactant. Therefore, combining biosurfactants appears to be a more effective strategy for liposome formulation
Transdermal application
In a study by Agnieszka Lewinska et al. (2022), surfactin-stabilized polymeric (D, L-lactide) nanoparticles were developed for transdermal application. The nanoparticles, prepared by nanoprecipitation, were quasi-spherical in shape, with particle sizes ranging from 114±3 to 168±8 nm at different surfactin concentrations (0.1% to 2%). After 90 d of storage, the particle size varied between 102±2 to 197±9 nm. The polydispersity index (PDI) values ranged from 0.074 to 0.154 initially and between 0.80 to 0.264 after 90 d. Zeta potential ranged from-86 to-60mV initially and between-73 to-42mV after 90 d. The safe concentration of surfactin was identified as 0.25%, showing 80% cell survival even after 48 h of incubation. The nanoparticles permeated into the deeper skin layers, indicating their potential for transdermal application [85].
In another study by Balakrishnan Muthukumar et al. (2023), a nano herbal ointment loaded with tridax procumbens for wound healing was developed using rhamnolipid biosurfactants. The ointment, composed of 30% water and 70% oil, demonstrated long-term stability with an average particle size of 120 nm and a zeta potential of-0.4mV. Minimum inhibitory concentration was 256µg/ml, minimum bacterial concentration was 100µg/ml, and cytotoxicity studies showed cell viability within the range of 92 to 99%. The wound scratch assay indicated significant cell migration (44%, 64%, and 90%) at different periods of 24, 48, and 72 h, respectively. The herbal ointment facilitated the rapid disappearance of scratch areas within 3 d [86]. Comparing both studies, Agnieszka Lewinska et al. (2022) and Balakrishnan Muthukumar et al. (2023) used biosurfactants (surfactin and rhamnolipids) for topical applications, demonstrating particle sizes between 100 to 200 nm. Both biosurfactants exhibited high stability properties over time. Additionally, the transdermal applications showed good permeation to deeper skin layers and wound healing properties without causing cytotoxicity.
Nanoemulsion
In a study by Ali Sedaghat Doost et al. (2018), nanoemulsion was developed using essential oil (oregano) and quillaja saponin biosurfactant. The comparison was made with three different surfactants: quillaja saponins (QS), sucrose monopalmitate (SMP), and octyl-modified starch (OMS). The nanoemulsion with QS with the particle size of 146 nm and SMP had 171 nm at a lower concentration. After 48 h of storage, the QS nanoemulsion was unstable, with an increased particle size, while the SMP nanoemulsion showed a slight increase. After 20 d of storage, the particle size of SMP increased to 250 nm, and QS increased to 330 nm. Stress conditions revealed phase separation for SMP, while QS remained stable. The minimum inhibitory concentration (MIC) of the nanoemulsion was 0.5 mg/ml, and QS was considered a good candidate for nanoemulsion formulations in food and cosmetic products [87].
In another study by Feride Hande Kural et al. (2011), a self-micro emulsifying drug delivery system was formulated using surfactin. The formulation stability was studied in different regions of the ternary phase diagram, with the formulation being more stable at region A, unstable at region B, and leading to coarse emulsion at region C. The blank formulation had an average particle size of 8.80±0.03 nm, while the surfactin formulation had an average particle size of 9.46±0.02 nm. The successful production of a pharmaceutical dosage form using surfactin was demonstrated [88].
Agnieszka Lewinska et al. (2020) developed a nanoemulsion with a multifunctional and custom-designed smart delivery system using surfactin. The nanoemulsion, formulated with a phase diagram, encapsulated active substances like vitamin C, vitamin E, and curcumin. The nanoemulsion without active substances had a particle size of 69.3±1.4 nm, and with vitamin C, vitamin E, and curcumin, the particle sizes were 176.46±0.50 nm, 183.9±7.64 nm, and 89.18±1.35 nm, respectively. The nanoemulsions remained stable for 6 mo and demonstrated penetration of actives into the skin, indicating potential applications in the cosmetic industry [89].
In a study by Rushikesh Fopase et al. (2020), controlled drug delivery using lipopeptide (surfactin) and essential oil (eucalyptus)-based nanoemulsion was developed. The nanoemulsion, loaded with doxorubicin, was characterized by FTIR and DLS, showing particle sizes ranging from 145 to 200 nm. The stability of the nanoemulsion was confirmed under external shear and various pH conditions. The drug release of doxorubicin from the nanoemulsion was slower compared to other formulations, and the nanoemulsion exhibited broad-spectrum antibiotic activity [90]. Overall, these studies highlight the versatility of surfactin in nanoemulsion formulations for various applications, including food and cosmetic products, pharmaceutical dosage forms, and controlled drug delivery systems with anti-tumor and anti-bacterial activities.
Nanocapsules/encapsulation
In a study by Sameer S. Katiyar et al. (2020), nanocapsules with high-loading capacity were developed for breast cancer using lipids and biosurfactants. The nanocapsules, prepared by the antisolvent precipitation technique, utilized various lipids such as capmul, peceol, captex, acconon, precious, and compritol, with paclitaxel (PTX) as the loaded drug. Among the lipids tested, Acconon exhibited a high loading capacity, resulting in nanocapsules with a particle size of 253 nm, PDI of 0.224, and drug loading of 19.24%. The nanocapsules demonstrated a controlled release profile, reducing cell viability in MCF cell lines compared to free PTX. In tumor inhibition studies, nanocapsules with PTX showed a significant reduction in tumor volume compared to other anti-cancer drugs, indicating increased therapeutic efficacy and reduced toxicity [91].
Maria A. Azevedo et al. (2023) developed nanostructured lipid carriers (NLCs) to encapsulate vitamin D3 using rhamnolipids as biosurfactants. The NLCs were formulated with a solid lipid (glycerol monostearate), liquid lipid (medium-chain triglycerides with 2.75% vitamin D3 [MCT+VD3]), and rhamnolipids. Different formulations with varying ratios of solid lipid to liquid lipid were studied. The particle size increased with a decrease in the concentration of solid lipids, ranging from 92.07 nm to 108 nm. The NLCs exhibited good stability, and the lower concentration of solid lipids resulted in greater stability. Cytotoxicity studies in the caco-2 cell line showed no cytotoxicity at concentrations below 0.25 mg/ml. Bioaccessibility studies indicated the influence of the solid-to-liquid ratio on the encapsulated vitamin D3's release during the intestinal phase. The NLCs with rhamnolipids were identified as promising candidates for vitamin D3 encapsulation [92]. Both studies demonstrate the potential of biosurfactants, such as rhamnolipids, in the development of nanocapsules and NLCs for drug delivery applications. These formulations offer controlled release, enhanced stability, and reduced cytotoxicity, making them promising candidates for various therapeutic applications.
Comparison of biosurfactant with synthetic surfactant
In a study by Zhenbao Zhu et al. (2018), a comparison was made between natural biosurfactants (tea saponin [TS], quillaja saponin [QS]) and a synthetic surfactant (Tween 80 [T80]) based on their interfacial and emulsification properties. Nanoemulsions (NE) were prepared using medium-chain triglyceride (MCT) oil through high-shear homogenization, with an oil phase concentration of 10% and an aqueous phase concentration of 90%. The interfacial tension in the absence of surfactant was reduced to 4.8 mN/m, 2.8 mN/m, and 6.4 mN/m for TS, QS, and T80, respectively. Tea saponin exhibited the highest affinity for emulsion formation with excellent interfacial properties. It resulted in the smallest droplet size (186 nm) and a loading capacity of 3.1 mg m^-2. The stability of TS and QS NE was evaluated at different pH levels, showing stability from pH 3 to 9, with only TS NE exhibiting coalescence and flocculation at pH 2. Both TS and QS NE demonstrated long-term stability at 5, 37, and 55 °C for 30 d, with no phase separation and minimal changes in droplet size. However, T80 NE was unstable at 55 °C [93]. The study concluded that tea saponin, a natural biosurfactant, was more effective than the synthetic surfactant Tween 80. The biosurfactant showed superior results across various temperatures and pH levels, with long-term stability, indicating its potential as a more efficient and stable surfactant compared to the synthetic counterpart.
Table 2: Industrial application
| Biosurfactant | Application | References |
| Rhamnolipids | Antimicrobial activity, Antiadhesive activity, Uptake of hydrophobic substrates, Thickener, Bioremediation agent, Emulsification | [94–96] |
| Trehalolipids | Increase the bioavailability of hydrocarbons, Anti-adhesive activity against several bacteria and yeast, and Activity in extreme conditions. | [97, 98] |
| Sophorolipids | Enhancement of oil recovery, Heavy metal removal, Emulsifiers In various personnel care products and cosmetics. | [99–101] |
| surfactin | Antiviral antibiotics, Antifungal activity, Enhanced oil recovery, Inhibition of fibrin clots, Antitumor activity, and antimicrobial activity | [102, 103] |
| Iturin | Potential antifungal, Enzyme inhibitor, Antifungal agent, Non-toxic and non-pyrogenic immunological adjuvants. | [104, 105] |
| Emulsan | Stabilization of hydrocarbon in water emulsion, Potent Emulsifier and Structural tailoring | [106, 107] |
| Liposan | Solubilization, Emulsification, and Stabilization of hydrocarbon in water emulsion In the cosmetic and food industry. | [108–110] |
Drawbacks
High production cost
Biosurfactants are naturally occurring surfactants produced by microorganisms and some plants. Their production is a complex and expensive process compared to chemical surfactants [111].
Variability in production yield
Achieving consistent and high production of biosurfactants is challenging due to various factors, including strain selection, growth conditions, purification methods, and fermentation techniques [112].
Sensitivity to environment
Biosurfactants are sensitive to environmental factors like temperature, pH, and salinity, which can affect their performance and stability [113].
Lack of standardization
Biosurfactants are still in the development stage, lacking standardized production, characterization, quality control, and regulatory approval processes, hindering their commercialization and adoption across industries [114].
Hurdles in regulatory approval
Limited data on biosurfactants' safety, environmental impact, and efficacy compared to synthetic surfactants poses challenges in their regulatory approval and adoption across industries [115].
Research and development limitations
Despite potential applications, biosurfactant RandD is hampered by microbial complexity, scale-up challenges, funding limitations, market competition, knowledge gaps, and resource-intensive production [116].
Future perspectives
The use of biosurfactants in the future has n-number of opportunities and possibilities as it has been proven to be better than synthetic surfactants, especially in the Targeted Drug Delivery System. In the Targeted Drug Delivery System, Biosurfactants can be used as it can bind with the specific receptors on the cell, thereby reducing the adverse effects. Biosurfactants improve the bioavailability, which leads to lowering the dose and side effects. It also has the ability to form nanovesicles, leading to the delivery of fragile genetic material for gene therapy. Biosurfactants can also disrupt the biofilm, which enhances the antibiotic activity of antibiotics, and it can also be used for formulating new antibacterial and antifungal agents for multi-drug resistant pathogens. As it has wound healing and tissue regeneration properties, it could promote tissue regeneration and promote wound healing. It can be used as a vaccine adjuvant, which leads to boosting immune response and lowering the dosage.
Overall, biosurfactant is a promising excipient in the pharmaceutical industry with being biocompatible, biodegradable, and versatile in nature. With further research and development, these could be the most sustainable and effective future for medicine.
There is always demand for surfactants not only in the pharmaceutical industry but also in cosmetics and food. At the same time, surfactants are often more toxic, and non-biodegradable, allergic reactions, skin sensitivities (or) irritation, and biocompatibility issues. To overcome all these problems, biosurfactants can be used as an alternative to chemical surfactants, which are composed of lipids, proteins, and carbohydrates. Biosurfactants have good biocompatibility, are more biodegradable, less toxic, and with good stability. There is certain scope for further research for formulation, more specifically in nanotechnology (nanoemulsion, liposomes, nanocapsules, nanostructured lipid carrier, nano herbal ointment, gene delivery, nanoparticles, etc.). These formulations could show excellent stability, with less particle size, Polydispersity index (PDI), and zeta potential within the range. The biosurfactant has its own antibacterial, antifungal activity, anti-viral activity, and cytotoxicity activity, which acts as an aid for certain formulations, especially in anticancer formulations (because of its intrinsic anticancer activity with which they can also enhance the anticancer activity of active constituents). So biosurfactants can be a promising alternative to the chemical surfactants with less toxicity.
The authors would like to thank the Centre for Nano Engineering Science and Technology (C-NEST) Department of Science and Technology-Fund for Improvement of Science and Technology Infrastructure (DST-FIST) and Promotion of University Research and Scientific Excellence (DST-PURSE) for the facilities provided in our department.
All authors have contributed equally.
The authors declare no conflict of interest
Rosen MJ. Surfactants and interfacial phenomena. 3rd ed. New York: John Wiley & Sons. Inc; 2004.
Pandey A. Role of surfactants as penetration enhancer in transdermal drug delivery system. J Mol Pharm Org Process Res. 2014 May 15;02(2). doi: 10.4172/2329-9053.1000113.
Shaban SM, Kang J, Kim DH. Surfactants: recent advances and their applications. Compos Commun. 2020;22. doi: 10.1016/j.coco.2020.100537.
Choi EC, Choi WS, Hong B. The variation of surface contact angles according to the diameter of carbon nanotubes. J Nanosci Nanotechnol. 2009;9(6):3805-9. doi: 10.1166/jnn.2009.ns71, PMID 19504923.
Qiu Y, Chen Y, Zhang GG, Yu L, Mantri RV. Developing solid oral dosage forms: pharmaceutical theory and practice. Academic press; 2016.
Vold RD. Emulsions: Theory and Practice. Paul: Becher. ACS Publications; 1965 Available from: https://pubs.acs.org/doi/pdf/10.1021/ed042p692.2. [Last accessed on 11 Oct 2023]
Logan JW, Moya FR. Animal-derived surfactants for the treatment and prevention of neonatal respiratory distress syndrome: summary of clinical trials. Ther Clin Risk Manag. 2009;5(1):251-60. doi: 10.2147/tcrm.s4029, PMID 19436610.
Gelderblom H, Verweij J, Nooter K, Sparreboom A. Cremophor EL: the drawbacks and advantages of vehicle selection for drug formulation. Eur J Cancer. 2001;37(13):1590-8. doi: 10.1016/s0959-8049(01)00171-x, PMID 11527683.
Sinko PJ. Martin’s physical pharmacy and pharmaceutical sciences. Lippincott Williams & Wilkins; 2023.
Wang C, Li X, Wettig SD, Badea I, Foldvari M, Verrall RE. Investigation of complexes formed by interaction of cationic gemini surfactants with deoxyribonucleic acid. Phys Chem Chem Phys. 2007;9(13):1616-28. doi: 10.1039/b618579g, PMID 17429555.
Kaur P, Garg T, Rath G, Murthy RSR, Goyal AK. Surfactant-based drug delivery systems for treating drug-resistant lung cancer. Drug Deliv. 2016;23(3):727-38. doi: 10.3109/10717544.2014.935530, PMID 25013959.
Kumar N, Tyagi R. Dimeric surfactants: promising ingredients of cosmetics and toiletries. Cosmetics. 2013;1(1):3-13. doi: 10.3390/cosmetics1010003.
Holmberg K. Novel surfactants: preparation applications and biodegradability, revised and expanded. Crc Press. 2003;114. doi: 10.1201/9780203911730.
Islam MA, Sarker S, Nasrin MS, Hoque MA, Islam MS, Islam MN. Vermicompost for mitigation of surfactant contamination in surface water. J Sci Res. 2020 May 1;12(3):411-7. doi: 10.3329/jsr.v12i3.45220.
Lewis MA. Are laboratory-derived toxicity data for freshwater algae worth the effort? Enviro Toxic and Chemistry. 1990;9(10):1279-84. doi: 10.1002/etc.5620091006.
Bazel YaR, Antal IP, Lavra VM, Kormosh ZhA. Methods for the determination of anionic surfactants. J Anal Chem. 2014 Mar 1;69(3):211-36. doi: 10.1134/S1061934814010043.
Abouseoud M, Maachi R, Amrane A, Boudergua S, Nabi A. Evaluation of different carbon and nitrogen sources in production of biosurfactant by Pseudomonas fluorescens. Desalination. 2008;223(1-3):143-51. doi: 10.1016/j.desal.2007.01.198.
Bhattacharyya S, Ghosh M, Bhattacharyya DK. Pseudomonas strains as source of microbial surface-active molecules. J Oleo Sci. 2003;52(4):221-4. doi: 10.5650/JOS.52.221.
Joshi S, Bharucha C, Desai AJ. Production of biosurfactant and antifungal compound by fermented food isolate bacillus subtilis 20B. Bioresour Technol. 2008;99(11):4603-8. doi: 10.1016/j.biortech.2007.07.030, PMID 17855083.
Banat IM, Franzetti A, Gandolfi I, Bestetti G, Martinotti MG, Fracchia L. Microbial biosurfactants production, applications and future potential. Appl Microbiol Biotechnol. 2010;87(2):427-44. doi: 10.1007/s00253-010-2589-0, PMID 20424836.
Müller MM, Kugler JH, Henkel M, Gerlitzki M, Hormann B, Pohnlein M. Rhamnolipids–next generation surfactants? J Biotechnol. 2012;162(4):366-80. doi: 10.1016/j.jbiotec.2012.05.022, PMID 22728388.
Kłosowska Chomiczewska IE, Mędrzycka K, Hallmann E, Karpenko E, Pokynbroda T, Macierzanka A. Rhamnolipid CMC prediction. J Colloid Interface Sci. 2017;488:10-9. doi: 10.1016/j.jcis.2016.10.055, PMID 27816634.
Rodrigues LR, Banat IM, Van der Mei HC, Teixeira JA, Oliveira R. Interference in adhesion of bacteria and yeasts isolated from explanted voice prostheses to silicone rubber by rhamnolipid biosurfactants. J Appl Microbiol. 2006;100(3):470-80. doi: 10.1111/j.1365-2672.2005.02826.x, PMID 16478486.
Spencer JFT, Spencer DM, Tulloch AP. Extracellular glycolipids of yeasts. Econ Microbiol. 1979;3:523-40. doi: 10.1139/V64-123.
Boothroyd B, Thorn JA, Haskins RH. Biochemistry of the ustilaginales. XII. Characterization of extracellular glycolipids produced by Ustilago sp. Can J Biochem Physiol. 1956;34(1):10-4. doi: 10.1139/o56-003, PMID 13276861.
Gobbert U, Lang S, Wagner F. Sophorose lipid formation by resting cells of Torulopsis bombicola. Biotechnol Lett. 1984;6(4):225-30. doi: 10.1007/BF00140041.
Myla J, Chandrasekaran R, Muthu RS. Screening optimization and production of biosurfactant from bacillus and pseudomonas sp. Biomed Pharmacol J. 2010;3(1). Available from: http://biomedpharmajournal.org/?p=1283.
Solaiman DKY, Ashby R, Birbir M, Caglayan P. Antibacterial activity of sophorolipids produced by candida bombicola on gram-positive and gram-negative bacteria isolated from salted hides. JALCA. 2020;111:358-64.
Cooper DG, Goldenberg BG. Surface-active agents from two Bacillus species. Appl Environ Microbiol. 1987;53(2):224-9. doi: 10.1128/aem.53.2.224-229.1987, PMID 16347271.
White DA, Hird LC, Ali ST. Production and characterization of a trehalolipid biosurfactant produced by the novel marine bacterium Rhodococcus sp., strain PML026. J Appl Microbiol. 2013;115(3):744-55. doi: 10.1111/jam.12287, PMID 23789786.
Rau U, Nguyen LA, Schulz S, Wray V, Nimtz M, Roeper H. Formation and analysis of mannosyl erythritol lipids secreted by Pseudozyma aphidis. Appl Microbiol Biotechnol. 2005 Feb;66(5):551-9. doi: 10.1007/s00253-004-1672-9, PMID 15248042.
Fan L, Li H, Niu Y, Chen Q. Characterization and inducing melanoma cell apoptosis activity of mannosyl erythritol lipids-a produced from Pseudozyma aphidis. Plos One. 2016;11(2):e0148198. doi: 10.1371/journal.pone.0148198, PMID 26828792.
Kitamoto D, Isoda H, Nakahara T. Functions and potential applications of glycolipid biosurfactants energy-saving materials to gene delivery carriers. Journal of Bioscience and Bioengineering. 2002;94(3):187-201. doi: 10.1016/S1389-1723(02)80149-9.
Laycock MV, Hildebrand PD, Thibault P, Walter JA, Wright JLC. Viscosin, a potent peptidolipid biosurfactant and phytopathogenic mediator produced by a pectolytic strain of pseudomonas fluorescens. J Agric Food Chem. 1991;39(3):483-9. doi: 10.1021/jf00003a011.
Saini HS, Barragan Huerta BE, Lebron Paler A, Pemberton JE, Vazquez RR, Burns AM. Efficient purification of the biosurfactant viscosin from Pseudomonas libanensis Strain M9-3 and its physicochemical and biological properties. J Nat Prod. 2008;71(6):1011-5. doi: 10.1021/np800069u, PMID 18471020.
Geissler M, Heravi KM, Henkel M, Hausmann R. Lipopeptide biosurfactants from Bacillus species. In: Elsevier; 2019. p. 205-40. doi: 10.1016/B978-0-12-812705-6.00006-X.
Thimon L, Peypoux F, Maget Dana R, Roux B, Michel G. Interactions of bioactive lipopeptides, iturin a and surfactin from bacillus subtilis. Biotechnol Appl Biochem. 1992;16(2):144-51. doi: 10.1111/j.1470-8744.1992.tb00218.x, PMID 1457050.
Arima K, Kakinuma A, Tamura G. Surfactin, a crystalline peptide-lipid surfactant produced by bacillussubtilis: isolation, characterization and its inhibition of fibrin clot formation. Biochem Biophys Res Commun. 1968;31(3):488-94. doi: 10.1016/0006-291X(68)90503-2.
Jahan R, Bodratti AM, Tsianou M, Alexandridis P. Biosurfactants, natural alternatives to synthetic surfactants: physicochemical properties and applications. Adv Colloid Interface Sci. 2020;275:102061. doi: 10.1016/j.cis.2019.102061, PMID 31767119.
Seydlova G, Svobodova J. Review of surfactin chemical properties and the potential biomedical applications. Open Med. 2008;3(2):123-33. doi: 10.2478/s11536-008-0002-5.
Jenny K, Koppeli O, Fiechter A. Biosurfactants from bacillus licheniformis: structural analysis and characterization. Appl Microbiol Biotechnol. 1991;36(1):5-13. doi: 10.1007/BF00164690.
Grangemard I, Wallach J, Maget Dana R, Peypoux F. Lichenysin: a more efficient cation chelator than surfactin. Appl Biochem Biotechnol. 2001;90(3):199-210. doi: 10.1385/abab:90:3:199, PMID 11318033.
Rosenberg E, Ron EZ. Bioemulsans: microbial polymeric emulsifiers. Curr Opin Biotechnol. 1997;8(3):313-6. doi: 10.1016/s0958-1669(97)80009-2, PMID 9206012.
Rosenberg E, Zuckerberg A, Rubinovitz C, Gutnick DL. Emulsifier of arthrobacter RAG-1: isolation and emulsifying properties. Appl Environ Microbiol. 1979;37(3):402-8. doi: 10.1128/aem.37.3.402-408.1979, PMID 36840.
Zosim Z, Gutnick D, Rosenberg E. Properties of hydrocarbon-in-water emulsions stabilized by acinetobacter RAG-1 emulsan. Biotechnol Bioeng. 1982;24(2):281-92. doi: 10.1002/bit.260240203, PMID 18546302.
Christofi N, Ivshina IB. Microbial surfactants and their use in field studies of soil remediation. J Appl Microbiol. 2002;93(6):915-29. doi: 10.1046/j.1365-2672.2002.01774.x, PMID 12452947.
Wittgens A, Rosenau F. On the road towards tailor-made rhamnolipids: current state and perspectives. Appl Microbiol Biotechnol. 2018;102(19):8175-85. doi: 10.1007/s00253-018-9240-x, PMID 30032436.
Cirigliano MC, Carman GM. Purification and characterization of Liposan, a bioemulsifier from Candida lipolytica. Appl Environ Microbiol. 1985;50(4):846-50. doi: 10.1128/aem.50.4.846-850.1985, PMID 16346917.
Cirigliano MC, Carman GM. Isolation of a bioemulsifier from candida lipolytica. Appl Environ Microbiol. 1984;48(4):747-50. doi: 10.1128/aem.48.4.747-750.1984, PMID 6439118.
Singh M, Desai JD. Hydrocarbon emulsification by Candida tropicalis and Debaryomyces polymorphus. Indian J Exp Biol. 1989 Mar;27(3):224-6. PMID 2606530.
Lotfabad TB, Shourian M, Roostaazad R, Najafabadi AR, Adelzadeh MR, Noghabi KA. An efficient biosurfactant-producing bacterium Pseudomonas aeruginosa MR01, isolated from oil excavation areas in south of Iran. Colloids Surf B Biointerfaces. 2009;69(2):183-93. doi: 10.1016/j.colsurfb.2008.11.018, PMID 19131218.
Santos DKF, Rufino RD, Luna JM, Santos VA, Sarubbo LA. Biosurfactants: multifunctional biomolecules of the 21st century. Int J Mol Sci. 2016;17(3):401. doi: 10.3390/ijms17030401, PMID 26999123.
Dardouri M, Bettencourt A, Martin V, Carvalho FA, Colaço B, Gama A. Assuring the biofunctionalization of silicone covalently bonded to rhamnolipids: antibiofilm activity and biocompatibility. Pharmaceutics. 2022;14(9):1836. doi: 10.3390/pharmaceutics14091836, PMID 36145584.
Sangeetha J, Thomas S, Arutchelvi J, Doble M, Philip J. Functionalization of iron oxide nanoparticles with biosurfactants and biocompatibility studies. J Biomed Nanotechnol. 2013;9(5):751-64. doi: 10.1166/jbn.2013.1590, PMID 23802405.
Rodrigues LR, Teixeira JA. Biomedical and therapeutic applications of biosurfactants. Biosurfactants; 2010. p. 75-87. doi: 10.1007/978-1-4419-5979-9_6.
Rios F, Lechuga M, Fernandez Serrano M, Fernandez Arteaga A. Aerobic biodegradation of amphoteric amine-oxide-based surfactants: effect of molecular structure, initial surfactant concentration and pH. Chemosphere. 2017;171:324-31. doi: 10.1016/j.chemosphere.2016.12.070, PMID 28027477.
Mohan PK, Nakhla G, Yanful EK. Biokinetics of biodegradation of surfactants under aerobic, anoxic and anaerobic conditions. Water Res. 2006;40(3):533-40. doi: 10.1016/j.watres.2005.11.030, PMID 16405945.
Kanga SA, Bonner JS, Page CA, Mills MA, Autenrieth RL. Solubilization of naphthalene and methyl-substituted naphthalenes from crude oil using biosurfactants. Environ Sci Technol. 1997;31(2):556-61. doi: 10.1021/ES9604370.
Poremba K, Gunkel W, Lang S, Wagner F. Marine biosurfactants, III. Toxicity testing with marine microorganisms and comparison with synthetic surfactants. Z Naturforsch C J Biosci. 1991;46(3-4):210-6. doi: 10.1515/znc-1991-3-409, PMID 1878108.
Edwards KR, Lepo JE, Lewis MA. Toxicity comparison of biosurfactants and synthetic surfactants used in oil spill remediation to two estuarine species. Mar Pollut Bull. 2003;46(10):1309-16. doi: 10.1016/S0025-326X(03)00238-8, PMID 14550343.
Md F. Biosurfactant: Production and Application. J Pet Environ Biotechnol 2012;3(4). doi: 10.4172/2157-7463.1000124.
Cooper DG, Macdonald CR, Duff SJB, Kosaric N. Enhanced production of surfactin from Bacillus subtilis by continuous product removal and metal cation additions. Appl Environ Microbiol. 1981;42(3):408-12. doi: 10.1128/aem.42.3.408-412.1981, PMID 16345840.
Raza ZA, Khan MS, Khalid ZM. Physicochemical and surface-active properties of biosurfactant produced using molasses by a Pseudomonas aeruginosa mutant. J Environ Sci Health A Tox Hazard Subst Environ Eng. 2007;42(1):73-80. doi: 10.1080/10934520601015784, PMID 17129951.
De S, Malik S, Ghosh A, Saha R, Saha B. A review on natural surfactants. RSC Adv. 2015;5(81):65757-67, doi: 10.1039/C5RA11101C.
Reetz MT. Directed evolution of selective enzymes: catalysts for organic chemistry and biotechnology. John Wiley & Sons; 2016. doi: 10.1002/9783527655465.
Wittgens A, Santiago Schuebel B, Henkel M, Tiso T, Blank LM, Hausmann R. Heterologous production of long-chain rhamnolipids from burkholderia glumae in pseudomonas putida-a step forward to tailor-made rhamnolipids. Appl Microbiol Biotechnol. 2018;102(3):1229-39. doi: 10.1007/s00253-017-8702-x, PMID 29264775.
Rodrigues LR, Teixeira JA, Oliveira R. Low-cost fermentative medium for biosurfactant production by probiotic bacteria. Biochem Eng J. 2006;32(3):135-42. doi: 10.1016/j.bej.2006.09.012.
Nitschke M, Pastore GM. Production and properties of a surfactant obtained from bacillus subtilis grown on cassava wastewater. Bioresour Technol. 2006;97(2):336-41. doi: 10.1016/j.biortech.2005.02.044, PMID 16171690.
Cooper DG, Paddock DA. Production of a biosurfactant from Torulopsis bombicola. Appl Environ Microbiol. 1984;47(1):173-6. doi: 10.1128/aem.47.1.173-176.1984, PMID 16346455.
Makkar RS, Cameotra SS. An update on the use of unconventional substrates for biosurfactant production and their new applications. Appl Microbiol Biotechnol. 2002;58(4):428-34. doi: 10.1007/s00253-001-0924-1, PMID 11954787.
Abouseoud M, Yataghene A, Amrane A, Maachi R. Biosurfactant production by free and alginate entrapped cells of Pseudomonas fluorescens. J Ind Microbiol Biotechnol. 2008;35(11):1303-8. doi: 10.1007/s10295-008-0411-0, PMID 18712561.
Sharma D, Saharan BS, Chauhan N, Procha S, Lal S. Isolation and functional characterization of novel biosurfactant produced by Enterococcus faecium. Springer Plus. 2015 Dec;4(1):4. doi: 10.1186/2193-1801-4-4, PMID 25674491.
Espinosa-Urgel M, Ramos JL. Cell density-dependent gene contributes to efficient seed colonization by pseudomonas putida KT2440. Appl Environ Microbiol. 2004;70(9):5190-8. doi: 10.1128/AEM.70.9.5190-5198.2004, PMID 15345399.
Ozdemir G, Malayoglu U. Wetting characteristics of aqueous rhamnolipids solutions. Colloids Surf B Biointerfaces. 2004;39(1-2):1-7. doi: 10.1016/j.colsurfb.2004.08.006, PMID 15542333.
Ishigami Y, Gama Y, Ishii F, Choi YK. Colloid chemical effect of polar head moieties of a rhamnolipid-type biosurfactant. Langmuir. 1993;9(7):1634-6. doi: 10.1021/la00031a006.
Razafindralambo H, Paquot M, Baniel A, Popineau Y, Hbid C, Jacques P. Foaming properties of surfactin, a lipopeptide biosurfactant from Bacillus subtilis. J Americ Oil Chem Soc. 1996;73(1):149-51. doi: 10.1007/BF02523463.
Makkar RS, Cameotra SS, Banat IM. Advances in utilization of renewable substrates for biosurfactant production. AMB Express. 2011;1(1):5. doi: 10.1186/2191-0855-1-5, PMID 21906330.
Gupta S, Raghuwanshi N, Varshney R, Banat IM, Srivastava AK, Pruthi PA. Accelerated in vivo wound healing evaluation of microbial glycolipid-containing ointment as a transdermal substitute. Biomed Pharmacother. 2017;94:1186-96. doi: 10.1016/j.biopha.2017.08.010, PMID 28830069.
Yi G, Son J, Yoo J, Park C, Koo H. Emulsan-based nanoparticles for in vivo drug delivery to tumors. Biochem Biophys Res Commun. 2019;508(1):326-31. doi: 10.1016/j.bbrc.2018.11.106, PMID 30502086.
Yi G, Son J, Yoo J, Park C, Koo H. Rhamnolipid nanoparticles for in vivo drug delivery and photodynamic therapy. Nanomedicine. 2019;19:12-21. doi: 10.1016/j.nano.2019.03.015, PMID 30981820.
Salazar Bryam AM, Yoshimura I, Santos LP, Moura CC, Santos CC, Silva VL. Silver nanoparticles stabilized by ramnolipids: effect of pH. Colloids Surf B Biointerfaces. 2021;205:111883. doi: 10.1016/j.colsurfb.2021.111883, PMID 34102528.
Athira K, Gurrala L, Kumar DVR. Biosurfactant-mediated biosynthesis of CuO nanoparticles and their antimicrobial activity. Appl Nanosci. 2021 Apr;11(4):1447-57. doi: 10.1007/s13204-021-01766-y.
Maitani Y, Yano S, Hattori Y, Furuhata M, Hayashi K. Liposome vector containing biosurfactant-complexed DNA as herpes simplex virus thymidine kinase gene delivery system. J Liposome Res. 2006;16(4):359-72. doi: 10.1080/08982100600992443, PMID 17162578.
Cheng C, Wu Z, McClements DJ, Zou L, Peng S, Zhou W. Improvement on stability, loading capacity and sustained release of rhamnolipids modified curcumin liposomes. Colloids Surf B Biointerfaces. 2019;183:110460. doi: 10.1016/j.colsurfb.2019.110460, PMID 31473408.
Lewinska A, Domza l-Kedzia M, Wojtowicz K, Bazylinska U. Surfactin-stabilized poly (D, L-lactide) nanoparticles for potential skin application. Colloids Surf A Physicochem Eng Aspects. 2022;648:129216. doi: 10.1016/j.colsurfa.2022.129216.
Muthukumar B, Nandini MS, Elumalai P, Balakrishnan M, Satheeshkumar A, AlSalhi MS. Enhancement of cell migration and wound healing by nano-herb ointment formulated with biosurfactant, silver nanoparticles and Tridax procumbens. Front Microbiol. 2023;14:1225769. doi: 10.3389/fmicb.2023.1225769, PMID 37601383.
Sedaghat Doost A, Devlieghere F, Dirckx A, Van Der Meeren P. Fabrication of Origanum compactum essential oil nanoemulsions stabilized using quillaja saponin biosurfactant. J Food Process Preserv. 2018;42(7):e13668. doi: 10.1111/jfpp.13668.
Kural F, Gursoy RN. Formulation and characterization of surfactin-containing self-microemulsifying drug delivery systems (SF-SMEDDS); 2011. p. 171-86.
Lewinska A, Domżał Kędzia M, Jaromin A, Łukaszewicz M. Nanoemulsion stabilized by safe surfactin from Bacillus subtilis as a multifunctional, custom-designed smart delivery system. Pharmaceutics. 2020;12(10):953. doi: 10.3390/pharmaceutics12100953, PMID 33050380.
Barradas TN, de Holanda e Silva KG. Nanoemulsions of essential oils to improve solubility, stability and permeability: a review. Environ Chem Lett. 2021;19(2):1153-71. doi: 10.1007/s10311-020-01142-2.
Katiyar SS, Ghadi R, Kushwah V, Dora CP, Jain S. Lipid and biosurfactant based core–shell-type nanocapsules having high drug loading of paclitaxel for improved breast cancer therapy. ACS Biomater Sci Eng. 2020;6(12):6760-9. doi: 10.1021/acsbiomaterials.0c01290, PMID 33320604.
Azevedo MA, Cerqueira MA, Gonçalves C, Amado IR, Teixeira JA, Pastrana L. Encapsulation of vitamin D3 using rhamnolipids-based nanostructured lipid carriers. Food Chem. 2023;427:136654. doi: 10.1016/j.foodchem.2023.136654, PMID 37399642.
Zhu Z, Wen Y, Yi J, Cao Y, Liu F, McClements DJ. Comparison of natural and synthetic surfactants at forming and stabilizing nanoemulsions: tea saponin, Quillaja saponin, and Tween 80. J Colloid Interface Sci. 2019;536:80-7. doi: 10.1016/j.jcis.2018.10.024, PMID 30359887.
Seghal Kiran G, Thajuddin N, Hema TA, Idhayadhulla A, Surendar Kumar R, Selvin J. Optimization and characterization of rhamnolipid biosurfactant from sponge-associated marine fungi Aspergillus sp. MSF1. Desalin Water Treat. 2010;24(1-3):257-65. doi: 10.5004/DWT.2010.1569.
Gaur VK, Tripathi V, Gupta P, Dhiman N, Regar RK, Gautam K. Rhamnolipids from planococcus spp. and their mechanism of action against pathogenic bacteria. Bioresour Technol. 2020;307:123206. doi: 10.1016/j.biortech.2020.123206, PMID 32240926.
Miao S, Dashtbozorg SS, Callow NV, Ju LK. Rhamnolipids as platform molecules for the production of potential anti-zoospore agrochemicals. J Agric Food Chem. 2015;63(13):3367-76. doi: 10.1021/acs.jafc.5b00033, PMID 25790115.
Bages Estopa S, White DA, Winterburn JB, Webb C, Martin PJ. Production and separation of a trehalolipid biosurfactant. Biochem Eng J. 2018;139:85-94. doi: 10.1016/j.bej.2018.07.006.
Saravanakumari P, Mani K. Structural characterization of a novel xylolipid biosurfactant from Lactococcus lactis and analysis of antibacterial activity against multi-drug resistant pathogens. Bioresour Technol. 2010;101(22):8851-4. doi: 10.1016/j.biortech.2010.06.104, PMID 20637606.
Kim JH, Oh YR, Hwang J, Jang YA, Lee SS, Hong SH. Value-added conversion of biodiesel into the versatile biosurfactant sophorolipid using starmerella bombicola. Cleaner Eng Technol. 2020;1:100027. doi: 10.1016/j.clet.2020.100027.
Jamal P. Microbial surface tension-active compounds: production and industrial application perspectives: a review. IJBB. 2017;3(8):273-92. doi: 10.25141/2475-3432-2017-8.0273.
Dubey P, Raina P, Prabhune A, Kaul Ghanekar R. Cetyl alcohol and oleic acid sophorolipids exhibit anticancer activity. Int J Pharm Pharm Sci. 2016 Mar 1:399-402.
Andrade CJd, Andrade LMd, Bution ML, Heidi Dolder MA, Cavalcante Barros FF, Pastore GM. Optimizing alternative substrate for simultaneous production of surfactin and 2,3-butanediol by bacillus subtilis LB5a. Biocatal Agric Biotechnol. 2016;6:209-18. doi: 10.1016/j.bcab.2016.04.004.
Chitra B, Vijayakumar ABS. Assessment on antimicrobial properties of surfactin from bacillus subtilis on protoplasts and spheroplasts of pathogenic bacteria. Int J Curr Pharm Sci 2017;9(1). doi: 10.22159/ijcpr.2017v9i1.16612.
Sharma R, Oberoi HS. Biosurfactant-aided bioprocessing: Industrial applications and environmental impact. Recent advances in applied microbiology 2017. doi: 10.1007/978-981-10-527503.
Yaraguppi DA, Bagewadi ZK, Patil NR, Mantri N. Iturin: a promising cyclic lipopeptide with diverse applications. Biomolecules. 2023;13(10):1515. doi: 10.3390/biom13101515, PMID 37892197.
Castro GR, Panilaitis B, Kaplan DL. Emulsan, a tailorable biopolymer for controlled release. Bioresour Technol. 2008;99(11):4566-71. doi: 10.1016/j.biortech.2007.06.059, PMID 17937982.
Esmaeili H, Mousavi SM, Hashemi SA, Lai CW. Application of biosurfactants in the removal of oil from emulsion. In: Elsevier. Green Sustainable Process for Chemical and Environmental Engineering and Science; 2021. p. 107-27. doi: 10.1016/B978-0-12-822696-4.00008-5.
Sondhi S. Application of biosurfactant as an emulsifying agent. In: Elsevier. Applications of Next Generation Biosurfactants in the Food Sector; 2023. doi: 10.1016/B978-0-12-824283-4.00025-3.
Kumari V. 7 biosurfactant as an antimicrobial and biodegradable agent a review. Microbial surfactants. Appl Environ Reclam Biorem. 2022;3:1932. doi: 10.1201/9781003260165-7.
Franzetti A, Tamburini E, Banat IM. Applications of biological surface-active compounds in remediation technologies. Biosurfactants; 2010. doi: 10.1007/978-1-4419-5979-9_9.
Singh P, Patil Y, Rale V. Biosurfactant production: emerging trends and promising strategies. J Appl Microbiol. 2019;126(1):2-13. doi: 10.1111/jam.14057, PMID 30066414.
Muthusamy KK, Gopalakrishnan S, Ravi T, Sivachidambaram P. Biosurfactants: properties, commercial production and application. Curr Sci. 2008;94:736-47.
Mulligan CN. Environmental applications for biosurfactants. Environ Pollut. 2005;133(2):183-98. doi: 10.1016/j.envpol.2004.06.009, PMID 15519450.
Varjani SJ, Upasani VN. Critical review on biosurfactant analysis, purification and characterization using rhamnolipid as a model biosurfactant. Bioresour Technol. 2017;232:389-97. doi: 10.1016/j.biortech.2017.02.047, PMID 28238638.
Ismail R, Baaity Z, Csoka I. Regulatory status quo and prospects for biosurfactants in pharmaceutical applications. Drug Discov Today. 2021;26(8):1929-35. doi: 10.1016/j.drudis.2021.03.029, PMID 33831583.
Mgbechidinma CL, Akan OD, Zhang C, Huang M, Linus N, Zhu H. Integration of green economy concepts for sustainable biosurfactant production-a review. Bioresour Technol. 2022;364:128021. doi: 10.1016/j.biortech.2022.128021, PMID 36167175.