
1Freshmen Engineering Department, NRI Institute of Technology, Andhra Pradesh-521212, India. 2Department of Chemistry, University College of Science, Telangana-500004, India. 3Department of Humanities and Sciences, VNR Vignana Jyothi Institute of Engineering and Technology, Telangana-500090, India. 4Department of Chemistry, Acharya Nagarjuna University, Guntur-522510, India
*Corresponding author: Mannam Subba Rao; *Email: mannamsubbarao39@gmail.com
Received: 07 Jan 2024, Revised and Accepted: 16 Feb 2024
ABSTRACT
Objective: A seven-day regimen consisting of vonoprazan (VNP), amoxicillin (AXC) and clarithromycin (CRC), administered twice daily, has been permitted and reimbursed by health coverage as initial therapy. No technique has been implemented yet to determine the quantities of VNP, AXC, and CRC combination. This work effectively aimed at estimating these medications (VNP, AXC, and CRC) at the same time by developing an HPLC technique that saves money and time.
Methods: The VNP, AXC, and CRC were separated in a “Waters” column (C18 nature; 250 mm sized length; 4.6 mm sized internal diameter; 5 µm sized particle; 25 °C temperature). Phosphoric acid (0.1% in water; pH 4.2) and absolute methanol (50:50, v/v) comprise the mobile phase. The drug product, Voqueznatripak, was subjected to hydrolysis, oxidation, photolysis, and thermal stressors with the intent to cause enforced degradation. The suggested "HPLC conditions" were verified in compliance with ICH guidance.
Results: The measurements had a linear range of 10–20 µg/ml for VNP and 250–750 µg/ml for AXC and CRC. The AXC, CRC, and VNP had LOQ’s 5.302 µg/ml, 5.487 µg/ml and 0.523 µg/ml, respectively. Precision measurements were<0.2% RSD and accuracy ranges were 99.40% to 101.46%. The newly devised “HPLC conditions” specificity attribute and stability-indicating quality were also validated by forced degradation tests.
Conclusion: The newly devised “HPLC conditions” for analysing AXC, CRC, and VNP in formulation dosage form and stability samples might be adapted by quality control laboratories. The devised “HPLC conditions” is qualified and consistent to reveal and detect any probable change in the drug product assessments throughout stability experiments.
Keywords: Helicobacter pylori, Triple combination, Quality control, Voquezna, RP-HPLC, Stability-indicating
© 2024 The Authors. Published by Innovare Academic Sciences Pvt Ltd. This is an open access article under the CC BY license (https://creativecommons.org/licenses/by/4.0/)
DOI: https://dx.doi.org/10.22159/ijap.2024v16i3.50320 Journal homepage: https://innovareacademics.in/journals/index.php/ijap
Using drugs along with one another to treat a medical condition is recognised as combination drug therapy. Combination therapy is recommended over mono-drug therapy as a means of reducing treatment time, preventing medication resistance, and improving treatment performance [1]. Although combination therapy was originally suggested in 1950, it has picked up popularity in recent years due to notable advancements regarding the management of conditions such as cancer, diabetes, neurological, metabolic, asthma, cardiovascular, HIV, malaria, and others [2-5].
The bacterium Helicobacter pylori causes stomach ailments. It may result in ulcers as well as inflammation in the top portions of small intestine or the inner layer of stomach. Stomach cancer can arise from an infection in certain individuals [6]. World Health Organisation concluded that Helicobacter pylori remains carcinogenic in humans after studying the connection between the bacteria and stomach cancer in between 1991 and 1994 [7]. This conclusion was reaffirmed in 2009 based on epidemiological data. Inhibitors of proton pumps and antibiotics are typically used in conjunction to manage Helicobacter pylori ulcers. In Japan, a seven-day regimen consisting of vonoprazan (20 mg), amoxicillin (750 mg) and clarithromycin (200 mg or 400 mg), administered twice daily, has been permitted and reimbursed by health coverage as initial therapy since 2015 [8]. Vonoprazan (fig. 1) functions through minimising the stomach's production of acid. Amoxicillin (fig. 1) and clarithromycin (fig. 1) operate by suppressing the development of Helicobacter pylori that can trigger ulcers [9].
The only component of a whole dose form that has the ability to treat, cure, or prevent disease is API [10]. The amount of API ought to be constantly measured precisely since it serves as the pharmacological agent [11]. Vonoprazan (VNP), Amoxicillin (AXC), and clarithromycin (CRC) are APIs in Voquezna Triple Pak. Stomach discomfort, nausea, diarrhoea, vomiting, and trouble urinating can result from a VNP, AXC, and CRC overdose. Determining the proper amounts of CRC, AXC, and VNP in formulations is therefore essential.

Fig. 1: Structures of investigational drugs
Through the use of capillary electrophoresis [12], UPLC-MS [13, 14], LC-MS [15], UV Spectrophotometry [16], and HPLC [17-19], AXC has already been investigated in various pharmaceutical preparations as well biological samples in conjunction along with other drugs. Applying LC-MS [20] and HPLC [21] methods, assessment of CRC in combination with different drugs and occasionally with distinct components has been accomplished. There are currently publications on HPLC approaches for simultaneous determination of the combination of AXC and CRC in formulations [22, 23].
Nevertheless, no technique has been implemented yet to determine the quantities of VNP, AXC, and CRC combination. Thus, it is imperative to create more feasible technique that will allow for quicker analysis of VNP, AXC, and CRC combination while maintaining a high enough threshold for detection and determination. This work successfully attempted to estimate these drugs (VNP, AXC, and CRC) simultaneously with a time-and money-saving HPLC approach.
Employed materials
The working reference standards of VNP, AXC, and CRC was offered from “Ven Life Sciences Ltd” (India). The “Merck Lifesciences Ltd”, (India) supplied NaOH, H2O2, phosphoric acid, HCl and methanol. Each chemical is of HPLC (phosphoric acid and methanol) or analytical (NaOH, H2O2, HCl) quality. The water that was HPLC-grade and ultra-pure was obtained making use of the "Milli-Q®" device. In the present research, the commercial product “Voquezna Triple Pak” (labelled claim: VNP–20 mg; AXC and CRC–500 mg each) marketed by Pathom Pharmaceuticals was obtained and utilised.
HPLC conditions
Using a "Waters" HPLC system and a "Waters" PDA detector, the VNP, AXC, and CRC contents of raw bulk and formulation specimens were investigated by HPLC. Phosphoric acid (0.1% in water; pH 4.2) and absolute methanol (50:50, v/v) comprise the mobile phase. The same will also comprise the diluent. VNP, AXC, and CRC were separated in a “Waters” column (C18 nature; 250 mm sized length; 4.6 mm sized internal diameter; 5 µm sized particle; 25 °C temperature). With the injection volumes set at 10 µl, the flow rate in the isocratic mode through “Waters” column remained 1.0 ml/min. The analytical run took seven minutes in total for one analysis.
Standard solutions
A volumetric flask measuring 100 ml was added with precisely weighed reference standards of 20 mg VNP, 500 mg of AXC, and 500 mg of CRC. The contents were then adjusted with diluent [phosphoric acid (0.1% in water; pH 4.2) and absolute methanol (50:50, v/v)] to volume to produce a stock normal solution of VNP (200 µg/ml), AXC (5000 µg/ml), and CRC (5000 µg/ml). Subsequently, a 100 ml volumetric flask was then filled with 10 ml of stock normal solution, and the diluent was added to bring the solution to its final volume. This is working normal solution of VNP (20 µg/ml), AXC (500 µg/ml), and CRC (500 µg/ml).
Calibration curves
Aliquots of stock normal solutions containing VNP (200 µg/ml), AXC (250–750 μg/ml), and CRC (250–750 μg/ml) were diluted accordingly to generate calibration normal solutions of VNP(10–30 μg/ml), AXC (250–750 μg/ml), and CRC (5000 µg/ml). Using the “HPLC conditions” previously described, the peak areas of VNP, AXC, and CRC were measured for all calibration normal solutions at 242 nm. The calibration standard curves were generated between peak areas and respective concentrations for VNP, AXC, and CRC.
Analysis of opted drugs in voqueznatripak solution
The commercial product "Voquezna Triple Pak" contains labelled claim of VNP–20 mg per tablet, AXC–500 mg per capsule and CRC–500 mg per tablet. Ten tablets of VNP and ten tablets of CRC were weighed up and grounded to powder. Similarly emptied contents of AXC capsules were weighed up. Weighed and placed into the same volumetric flask (100 ml capacity) were the tablet powder that equalled 20 mg VNP and 500 mg of CRC, as well as capsule content that equated to 500 mg of AXC. The VNP, AXC, and CRC from formulation samples were extracted by sonicating the flask with 50 ml of diluent [phosphoric acid (0.1% in water; pH 4.2) and absolute methanol (50:50, v/v)] for thirty minutes. The contents were then adjusted with diluent to volume to produce a stock normal Voqueznatripak solution (VNP-200 µg/ml; AXC-5000 µg/ml; CRC-5000 µg/ml) for analysis; subsequently, a 100 ml volumetric flask was then filled with 10 ml of stock normal Voqueznatripak solution, and the diluent was added to bring the solution to its final volume (VNP-20 µg/ml; AXC-500 µg/ml; CRC-500 µg/ml). Finally, the concentration of VNP, AXC, and CRC in a working normal Voqueznatripak solution was evaluated exercising the "HPLC conditions" previously described.
Degradation studies
The drug product samples (stock normal Voqueznatripak solution, 10 ml) were subjected to hydrolysis (with acid; alkali; neutral), oxidation (with peroxide), photolysis (in sunlight), and thermal (80 °C in oven) stress conditions with the intent to cause enforced degradation [24]. The duration and conditions were:
Acid hydrolysis: Voqueznatripak sample was boiled in a water bath at 60 °C for 30 min along with 0.1 N HCl (10 ml).
Alkali hydrolysis: Voqueznatripak sample was boiled in a water bath at 60 °C for 30 min along with 0.1N NaOH (10 ml).
Neutral hydrolysis: Voqueznatripak sample was boiled in a water bath at 60 °C for 30 min along with Milli Q water (10 ml).
Oxidation: Voqueznatripak sample was boiled in a water bath at 60 °C for 30 min along with 3% H2O2 (10 ml).
Thermal: Voqueznatripak samples had been warmed to 80 °C over a total of 6 h.
Photolysis: Voqueznatripak samples had been warmed under sun light over a total of 6 h.
Stressed Voqueznatripak samples were evaluated employing earlier stated "HPLC conditions". Retention durations, peak interference, spectra pureness, stability, and assay of the drugs (VNP, AXC, and CRC) under study were all examined for related peaks.
Different stationary phases with mobile phase mixes were examined in preliminary assessments to find out the most effective manner to separate VNP, AXC, and CRC. Testing the “Aligent”, “Sunsil”, “Kromasil” and “Waters” columns, which are four reversed-stationary phases, was the very first step in developing a method. All columns are of C18 nature, 250 mm sized length, 4.6 mm sized internal diameter, 5 µm sized particle, and 25 °C temperature except “Kromasil” with 150 mm sized length. Except for "Aligent," which displays the retention of just one analyte, each of the three analytes had retention utilising all of these phases. Static phase "Waters" column have proven to be most suitable for optimal separation, allowing for good enough separation of the three analysts as revealed in fig. 2.
In terms of the mobile phase, isocratic elution was adopted to examine a combination of methanol with 0.1 M NaH2PO4, 0.1 M NaHSO4, and 0.1% orthophosphoric acid in different proportions. phosphoric acid (0.1% in water; pH 4.2) and absolute methanol (50:50, v/v) proved to be the most effective as it provided superior separation for VNP, AXC, and CRC (fig. 2). For best VNP, AXC, and CRC separation, room temperature, an operative flow rate of 1.0 ml every minute, and 10 µl of injection performed well; therefore, these specifications were adopted throughout the entire analysis process. The wavelength of 242 nm, that yields a significant peak area for all three analytes, is thought to be the appropriate wavelength for ultraviolet detection of VNP, AXC, and CRC.
Validation
System suitability
They serve as an authenticator to confirm that the suggested "HPLC conditions" in terms of resolution, performance, and repeatability are suitable for use in genuine quality control measurements of CRC, AXC, and VNP. Various characteristics were computed for the peaks of CRC, AXC, and VNP, including retention duration, symmetry factor, plate counts number, and resolution (table 1).

Fig. 2: Chromatogram of CRC, AXC, and VNP with clearly distinct peaks
Table 1: AXC, CRC and VNP findings concerning system suitability
| Drug | Retention time | Plate count number | Symmetry factor | Resolution |
AXC (500 µg/ml)* |
2.516 | 4757.6 | 1.334 | - |
| ±0.0082/0.324% | ±105.3319/0.214% | ±0.0055/0.411% | - | |
CRC (500 µg/ml)** |
3.466 | 5866.6 | 1.238 | 5.682 |
| ±0.0159/0.459% | ±106.6879/1.189% | ±0.0045/0.361% | ±0.0356/0.627% | |
VNP (20.0 µg/ml)* |
5.7334 | 5271.8 | 1.1540 | 8.946 |
| ±0.0453/0.790% | ±46.7729/0.887% | ±0.0055/0.475% | ±0.0182/0.203% |
*Results are expressed as mean±SD. **Results are given as mean. No. of experiments = 5; SD–deviation calculated for 5 found values; RSD–calculated relative standard deviation, AXC-Amoxicillin, CRC-Clarithromycin, VNP-Vonoprazan.
Selectivity
Through analysing the interference from constituents engaged in mobile phase and excipients engaged in pharmaceutical dosing, the selectivity of the suggested "HPLC conditions" was evaluated. When formulations comprising CRC, AXC, and VNP were tested, it was discovered from the sample run of the working normal Voqueznatripak solution that no interfering peak (fig. 3) was seen at the peak retention durations of either medications (CRC, AXC, and VNP). Likewise, no extra peaks (fig. 3) showed up when diluent [phosphoric acid (0.1% in water; pH 4.2) and absolute methanol (50:50, v/v)] was tested.

Fig. 3: Chromatograms of CRC, AXC, and VNP assessing selectivity. AXC-Amoxicillin, CRC-Clarithromycin, VNP-Vonoprazan
Linearity
The AXC, CRC, and VNP linear calibration curves were acquired over five varying concentration ranging points. Five distinct concentrations serve as the basis to assess linearity: 250–750 µg/ml for AXC and CRC and 10–20 µg/ml for VNP. Regression line computation using the least squares approach for AXC, CRC, and VNP was performed (fig. 4).

Fig. 4: Regression lines and calibration curves of CRC, AXC, and VNP. AXC-Amoxicillin, CRC-Clarithromycin, VNP-Vonoprazan
Sensitivity
The lowest detectable quantities within a sampling matrix that have a signal-to-noise (S/N) ratio three or ten, correspondingly, were designated as the LOD and LOQ. The AXC, CRC, and VNP had LOD’s of 1.591 µg/ml, 1.646 µg/ml and 0.157 µg/ml, respectively. The AXC, CRC, and VNP had LOQ’s of 5.302 µg/ml, 5.487 µg/ml and 0.523 µg/ml, respectively. In fig. 5, the associated chromatograms were displayed.

Fig. 5: CRC, AXC, and VNP chromatograms assessing sensitivity. AXC-Amoxicillin, CRC-Clarithromycin, VNP-Vonoprazan
Precision
Relative standard variations for the peak areas of AXC, CRC, and VNP were computed as a measure of the recommended “HPLC conditions” precision. Every precision experiment was run six times. The RSD% readings displayed high repeatability, ranging from 0.211% to 0.433% (table 2).
Table 2: AXC, CRC and VNP findings concerning precision and accuracy
| Experiment | AXC (500 µg/ml) | CRC (500 µg/ml) | VNP (20 µg/ml) | |||
| Precision (peak area) | Accuracy (assay %) | Precision (peak area) |
Accuracy (assay %) | Precision (peak area) |
Accuracy (assay %) | |
| † test 1 | 1920058 | 98.44 | 2265168 | 98.99 | 1638979 | 98.55 |
| † test 2 | 1925752 | 98.73 | 2267436 | 99.09 | 1620282 | 97.42 |
| † test 3 | 1916645 | 98.26 | 2269558 | 99.18 | 1626698 | 97.81 |
| † test 4 | 1914707 | 98.16 | 2261947 | 98.85 | 1626884 | 97.82 |
| † test 5 | 1922905 | 98.58 | 2271421 | 99.26 | 1632177 | 98.14 |
| † test 6 | 1928155 | 98.85 | 2275534 | 99.44 | 1636904 | 98.42 |
| Mean (n=6 findings) | 1921370 | 98.50 | 2268511 | 99.14 | 1630321 | 98.03 |
| Found±SD/RSD% | ±5216.0696/0.271% | ±0.2678/0.272% | ±4781.3012/0.211% | ±0.2073/0.209% | ±7035.0865/0.432% | ±0.4241/0.433% |
No. of experiments = 6; SD–deviation calculated for 6 found values; RSD–calculated relative standard deviation. AXC-Amoxicillin, CRC-Clarithromycin, VNP-Vonoprazan.
Accuracy
The percentage on assay for AXC, CRC, and VNP was taken into account to assess accuracy. Every accuracy experiment was run six times. The accuracy of the recommended “HPLC conditions” for the quantitative measurements of AXC, CRC, and VNP was shown by the significant readings of the assay percentages ranging from 98.03% to 99.14% (table 2).
Recovery
In this test, the working normal Voqueznatripak solution is admixed with known quantities of AXC (247.50, 495.00 and 742.50 µg/ml), CRC (247.50, 495.00 and 742.50 µg/ml) and VNP (9.80, 19.60 and 29.40 µg/ml). The amount of each analyte recovered is then measured. Every recovery experiment was run three times. The analysis's findings, which appear in tables 3-5, show that the strategy has a significant level of accuracy, with recovery frequencies that vary between 99.40% and 101.46% for AXC, CRC, and VNP.
Robustness
To test the durability of the devised “HPLC conditions”, deliberate modifications to the chromatographic setting were made, including modifications to the methanol proportion (50-5% vol and 50+5% vol, 50% vol is optimized), mobile phase's pH (4.2-0.2 units and 4.2+0.2 units, 4.2 units is optimized), flow rate (1.0-0.1 and 1.0+0.1 ml/min, 1.0 ml/min is optimized), temperature (25-2˚C and 25+2 ˚C, 25˚C is optimized) as well as wavelength (242–2 nm and 242+2 nm, 242 nm is optimized). For the purpose of determining robustness, the analyte within investigation's 100% dosage level (AXC–500 µg/ml; CRC–500 µg/ml; and VNP 20 µg/ml) was used. Table 3 unveils the main findings of the robustness investigation. The results (tailing factor, area and plate count number) for AXC, CRC, and VNP have demonstrated that minor modifications in the circumstances had little effect on the AXC, CRC, and VNP analysis of pharmaceuticals (table 3).
Table 3: AXC recoveries
| Experiment | AXC peak area | Added AXN (µg/ml) |
Found AXC (µg/ml) | Recovered AXC (%) | Mean (n=3 findings) |
Found ±SD/RSD% |
| † test 1 | 970134 | 247.50 | 248.68 | 100.48 | 100.56 | ±0.1464/ 0.055% |
| † test 2 | 970563 | 247.50 | 248.79 | 100.52 | ||
| † test 3 | 971275 | 247.50 | 248.97 | 100.59 | ||
| † test 1 | 1925309 | 495.00 | 493.52 | 99.70 | 99.40 | ±0.3265/ 0.329% |
| † test 2 | 1913984 | 495.00 | 490.62 | 99.12 | ||
| † test 3 | 1924607 | 495.00 | 493.34 | 99.67 | ||
| † test 1 | 2894634 | 742.50 | 741.99 | 99.93 | 100.13 | ±0.1350/ 0.135% |
| † test 2 | 2898493 | 742.50 | 742.98 | 100.06 | ||
| † test 3 | 2902340 | 742.50 | 743.97 | 100.20 |
No. of experiments = 3; SD–deviation calculated for 3 found values; RSD–calculated relative standard deviation. AXC-Amoxicillin
Table 4: CRC recoveries
| Experiment | CRC peak area | Added CRC (µg/ml) | Found CRC (µg/ml) | Recovered CRC (%) | Mean (n=3 findings) | Found ±SD/RSD% |
| † test 1 | 1128530 | 247.50 | 246.58 | 99.63 | 99.53 | ±0.5356/ 0.538% |
| † test 2 | 1121939 | 247.50 | 245.14 | 99.05 | ||
| † test 3 | 1134058 | 247.50 | 247.79 | 100.12 | ||
| † test 1 | 2270403 | 495.00 | 496.08 | 100.22 | 100.02 | ±0.1528/ 0.153% |
| † test 2 | 2263609 | 495.00 | 494.60 | 99.92 | ||
| † test 3 | 2268105 | 495.00 | 495.58 | 100.12 | ||
| † test 1 | 3403484 | 742.50 | 743.66 | 100.16 | 100.42 | ±0.1931/ 0.192% |
| † test 2 | 3407873 | 742.50 | 744.62 | 100.29 | ||
| † test 3 | 3416599 | 742.50 | 746.53 | 100.54 |
No. of experiments = 3; SD–deviation calculated for 3 found values; RSD–calculated relative standard deviation. CRC-Clarithromycin
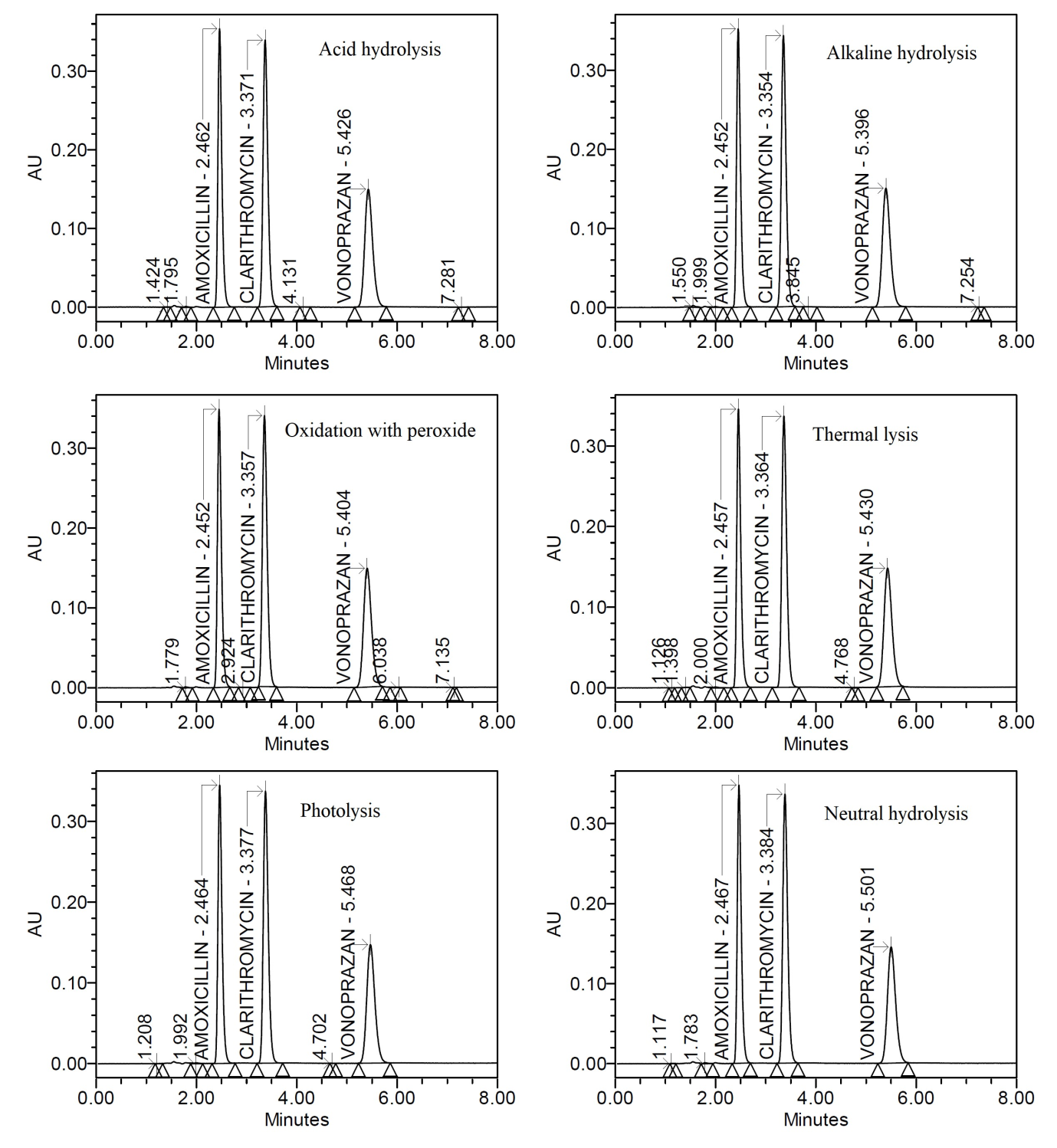
Degradation study
The drug product samples (stock normal Voqueznatripak solution, 10 ml) were subjected to hydrolysis (with acid; alkali; neutral), oxidation (with peroxide), photolysis (in sun light), and thermal (80 °C in oven) stress conditions. This was done to assess the devised “HPLC conditions” stability-indicating qualities and specificity. The stabilities of AXC, CRC, and VNP under imposed stress will also be shown by doing this.
The assay loss for AXC, CRC, and VNP was around 9.14%, 11.69%, and 9.77%, respectively, as a result of the Voqueznatripak sample being subjected to an acidic (0.1N HCl) environment for 30 min. There was an evidence of assay loss of 7.95%, 8.34% and 4.66% for AXC, CRC, and VNP, respectively, when exposed Voqueznatripak sample to 30 min alkaline (0.1N NaOH) type stress. The Voqueznatripak sample underwent oxidation (30% peroxide) for 30 min, which caused AXC, CRC, and VNP to hydrolyze. This resulted in assay losses of around 5.40%, 6.33%, and 6.19%, respectively. The assay loss for AXC, CRC, and VNP was around 11.78%, 9.73%, and 10.55%, respectively, as a result of the Voqueznatripak sample being subjected to a dry heat environment for 6 hr. There was evidence of assay loss of 4.16% (for AXC), 3.93% (for CRC) and 5.61% (for VNP) when exposed Voqueznatripak sample to 6 hr photolysis (sunlight) type stress. Upon 30 min of neutral hydrolysis, the Voqueznatripak sample only showed a very slight assay loss (AXC–1.05%; CRC–0.18%; and VNP–1.33%).
After degradation, fig. 6 depicts the chromatograms of the Voqueznatripak sample. The peaks of stress degradants have retention durations that are entirely different from those of peaks of AXC, CRC, and VNP. Checking the peak purities of AXC, CRC, and VNP following compelled degradation investigations allowed for an additional evaluation of the specificity attribute along with stability-indicating quality. The spectral measurements report generated by the photodiode array detection technique was applied to analyse the chromatographic peak purity information. For the degradation samples of AXC, CRC, and VNP, the peak purity angles ranged from 0.233 to 0.358 in acid degradation, 0.265 to 0.349 in base degradation, 0.269 to 0.465 in oxidation, 0.255 to 0.452 in dry heat lysis, 0.337 to 0.482 in photolysis, and 0.277 to 0.474 in neutral hydrolysis. The peak threshold values were varied from 0.566 to 0.779 (in acid degradation), 0.596 to 0.676 (in base degradation), 0.679 to 0.896 (in oxidation), 0.665 to 0.873 (in dry heat lysis), 0.776 to 0.866 (in photolysis) and 0.472 to 0.796 (in neutral hydrolysis) for AXC, CRC, and VNP.
Table 5: VNP recoveries
| Experiment | VNP peak area |
Added VNP (µg/ml) |
Found VNP (µg/ml) |
Recovered VNP (%) | Mean (n=3 findings) |
Found ±SD/RSD% |
| † test 1 | 827909 | 9.80 | 9.96 | 101.59 | 101.46 | ±0.0902/ 0.089% |
| † test 2 | 826447 | 9.80 | 9.94 | 101.41 | ||
| † test 3 | 827229 | 9.80 | 9.95 | 101.51 | ||
| † test 1 | 1632725 | 19.60 | 19.63 | 100.17 | 100.80 | ±0.4652/ 0.461% |
| † test 2 | 1638196 | 19.60 | 19.70 | 100.51 | ||
| † test 3 | 1647715 | 19.60 | 19.81 | 101.09 | ||
| † test 1 | 2461364 | 29.40 | 29.60 | 100.68 | 100.81 | ±0.2079/ 0.206% |
| † test 2 | 2459734 | 29.40 | 29.58 | 100.61 | ||
| † test 3 | 2469355 | 29.40 | 29.70 | 101.00 |
No. of experiments = 3; SD–deviation calculated for 3 found values; RSD–calculated relative standard deviation. VNP-Vonoprazan.
Table 3: AXC, CRC and VNP findings concerning robustness
| Drug with quantity | Parameter changed | Value | Tailing | Area | Plate count number |
| AXC (500 µg/ml) | Temperature | Mean (n=3 findings) | 1.4 | 1952126.3 | 4511.0 |
| ±SD/RSD% | ±0.04/0.4% | ±3325.1/1.7% | ±69.3/1.5% | ||
| Wavelength | Mean (n=3 findings) | 1.3 | 1966907.3 | 4598.3 | |
| ±SD/RSD% | ±0.01/0.4% | ±35502.5/1.8% | ±43.1/0.9% | ||
| Flow rate | Mean (n=3 findings) | 1.3 | 1956975.7 | 4603.7 | |
| ±SD/RSD% | ±0.02/0.9% | ±34228.0/1.7% | ±58.6/1.3% | ||
| pH | Mean (n=3 findings) | 1.4 | 1920579.8 | 4486.4 | |
| ±SD/RSD% | ±0.02/0.4% | ±30745.5/1.6% | ±77.5/1.7% | ||
| Methanol ratio | Mean (n=3 findings) | 1.4 | 1961569.0 | 4595.0 | |
| ±SD/RSD% | ±0.01/0.4% | ±37644.2/1.9% | ±68.5/1.5% | ||
| CRC (500 µg/ml) | Temperature | Mean (n=3 findings) | 1.3 | 2316600.7 | 5669.0 |
| ±SD/RSD% | ±0.1/0.9% | ±38106.9/1.6% | ±64.4/1.1% | ||
| Wavelength | Mean (n=3 findings) | 1.3 | 2315138.0 | 5735.0 | |
| ±SD/RSD% | ±0.01/1.2% | ±39696.8/1.7% | ±93.4/1.6% | ||
| Flow rate | Mean (n=3 findings) | 1.2 | 2319132.0 | 5624.7 | |
| ±SD/RSD% | ±0.01/0.8% | ±30341.0/1.3% | ±60.1/1.1% | ||
| pH | Mean (n=3 findings) | 1.3 | 2272969.2 | 5626.9 | |
| ±SD/RSD% | ±0.02/0.2% | ±38026.7/1.7% | ±59.0/1.0% | ||
| Methanol ratio | Mean (n=3 findings) | 1.3 | 2321911.7 | 5596.7 | |
| ±SD/RSD% | ±0.02/0.5% | ±36397.7/1.6% | ±98.6/1.8% | ||
| VNP (20.0 µg/ml) | Temperature | Mean (n=3 findings) | 1.2 | 1677099.3 | 5235.0 |
| ±SD/RSD% | ±0.02/1.0% | ±29106.6/1.7% | ±76.0/1.5% | ||
| Wavelength | Mean (n=3 findings) | 1.2 | 1674060.3 | 5279.0 | |
| ±SD/RSD% | ±0.01/0.5% | ±21045.4/1.3% | ±66.5/1.3% | ||
| Flow rate | Mean (n=3 findings) | 1.2 | 1674327.3 | 5257.3 | |
| ±SD/RSD% | ±0.01/1.5% | ±32130.0/1.9% | ±64.7/1.2% | ||
| pH | Mean (n=3 findings) | 1.2 | 1664830.0 | 5257.7 | |
| ±SD/RSD% | ±0.01/0.9% | ±22529.7/1.4% | ±69.9/1.3% | ||
| Methanol ratio | Mean (n=3 findings) | 1.2 | 1676733.0 | 5243.7 | |
| ±SD/RSD% | ±0.02/1.3% | ±28541.7/1.7% | ±86.8/1.7% |
No. of experiments = 3; SD–deviation calculated for 3 found values; RSD–calculated relative standard deviation. AXC-Amoxicillin, CRC-Clarithromycin, VNP-Vonoprazan.

Fig. 6: CRC, AXC, and VNP chromatograms assessing stability-indicating feature, AXC-Amoxicillin, CRC-Clarithromycin, VNP-Vonoprazan
The suggested "HPLC conditions" were established in compliance with ICH guidance [25-28]. It became clear that the system suitability features fell between the recognised ranges for retention duration, symmetry factor, plate counts number, and resolution [29]. The non-interference from constituents engaged in mobile phase and excipients engaged in pharmaceutical dosing suggested the "HPLC conditions" proposed could be applied selectively in estimating AXC, CRC and VNP in formulations [30]. This also strengthened the selectivity conclusions. The generated linear regression formulae along with correlations for AXC, VNP, and CRC demonstrated enhanced linearity (fig. 4).
The recommended "HPLC conditions" demonstrated greater sensitivity to VNP compared to AXC and CRC, considering LOD and LOQ readings [30]. When every factor is considered, the method's sensitivity makes it feasible to measure low quantities of AXC, CRC, and VNP. The precisions and accuracies (table 2) that were acquired were enough for evaluating quality control of AXC, CRC, and VNP [31]. According to the recovery findings (99.40% to 100.56% for AXC, table 3; 99.53% to 100.42% for CRC, table 4; 100.80% to 101.46% for VNP, table 5), one may apply the recommended “HPLC conditions” with assurance and get analytical results that are reliable and accurate [31].
From robustness findings, it became clear that the system suitability features fell between the recognised ranges for symmetry factor, plate counts number, and area when modifications to the methanol proportion (50-5% vol and 50+5% vol, 50% vol is optimized), mobile phase's pH (4.2-0.2 units and 4.2+0.2 units, 4.2 units is optimized), flow rate (1.0-0.1 and 1.0+0.1 ml/min, 1.0 ml/min is optimized), temperature (25-2 ˚C and 25+2 ˚C, 25˚C is optimized) as well as wavelength (242–2 nm and 242+2 nm, 242 nm is optimized) were made [32].
The HPLC peaks of AXC, CRC, and VNP weren't interfering with the degradation compounds under every one of the stress settings, according to the information gathered (fig. 6), which ascertains the devised “HPLC conditions” specificity attribute and stability-indicating quality [33-36]. Almost all peak purities value for AXC, CRC, and VNP peaks in chromatograms of stressed Voqueznatripak sample were beyond peak threshold. In the stressed Voqueznatripak sample, homogenous peaks of AXC, CRC, and VNP are indicated by peak purity angles readings bigger than peak threshold ranges. This also ascertains the devised “HPLC conditions” specificity attribute and stability-indicating quality.
The only investigation that offers a verified HPLC-supported stability-indicating technique for analysing AXC, CRC, and VNP in formulation dose form is this one. The procedure that was established was quick (runtime is just 7 min) and easy (easy preparation associated with mobile phase and no need for derivitization procedures). The outcomes were sensitive enough, adequately precise, and amply accurate. Quality control labs could adapt the newly established HPLC-supported analytical technique for analysing AXC, CRC, and VNP in formulation dose form and stability samples.
Nil
All the authors have contributed equally
Declare none
Mohammad KI, Sadaf S, Aiswarya C, Ashif I, Jasjeet KN, Javed A. Combination therapy: past, present, and future. Nanocarriers for the delivery of combination drugs. Micro Nano Techn. 2021;1:1-46. doi: 10.1016/B978-0-12-820779-6.00010-4.
Wang Y, Minden A. Current molecular combination therapies used for the treatment of breast cancer. Int J Mol Sci. 2022;23(19):11046. doi: 10.3390/ijms231911046, PMID 36232349.
Karki N, Kandel K, Shah K, Prasad P, Khanal J. Combination therapy in diabetes mellitus patients attending outpatient department in a tertiary care centre: a descriptive cross-sectional study. JNMA J Nepal Med Assoc. 2022;60(256):1016-20. doi: 10.31729/jnma.7642, PMID 36705114.
Silva JPN, Pinto B, Monteiro L, Silva PMA, Bousbaa H. Combination therapy as a promising way to fight oral cancer. Pharmaceutics. 2023;15(6):1653. doi: 10.3390/pharmaceutics15061653, PMID 37376101.
He B, Lu C, Zheng G, He X, Wang M, Chen G. Combination therapeutics in complex diseases. J Cell Mol Med. 2016;20(12):2231-40. doi: 10.1111/jcmm.12930, PMID 27605177.
de Brito BB, da Silva FAF, Soares AS, Pereira VA, Santos MLC, Sampaio MM. Pathogenesis and clinical management of Helicobacter pylori gastric infection. World J Gastroenterol. 2019;25(37):5578-89. doi: 10.3748/wjg.v25.i37.5578, PMID 31602159.
Oztekin M, Yılmaz B, Agagunduz D, Capasso R. Overview of helicobacter pylori infection: clinical features, treatment, and nutritional aspects. Diseases. 2021;9(4):66. doi: 10.3390/diseases9040066, PMID 34698140.
Akazawa Y, Fukuda D, Fukuda Y. Vonoprazan-based therapy for Helicobacter pylori eradication: experience and clinical evidence. Therap Adv Gastroenterol. 2016;9(6):845-52. doi: 10.1177/1756283X16668093, PMID 27803739.
Liu L, Nahata MC. Vonoprazan with amoxicillin or amoxicillin and clarithromycin for the treatment of helicobacter pylori infection. Ann Pharmacother. 2023;57(10):1185-97. doi: 10.1177/10600280221149708, PMID 36688309.
Kumar V, Bansal V, Madhavan A, Kumar M, Sindhu R, Awasthi MK. Active pharmaceutical ingredient (API) chemicals: a critical review of current biotechnological approaches. Bioengineered. 2022;13(2):4309-27. doi: 10.1080/21655979.2022.2031412, PMID 35135435.
Ozawa S, Chen HH, Lee YA, Higgins CR, Yemeke TT. Characterizing medicine quality by active pharmaceutical ingredient levels: a systematic review and meta-analysis across low- and middle-income countries. Am J Trop Med Hyg. 2022;106(6):1778-90. doi: 10.4269/ajtmh.21-1123, PMID 35895431.
Marra MC, Cunha RR, Munoz RAA, Batista AD, Richter EM. Single-run capillary electrophoresis method for the fast simultaneous determination of amoxicillin, clavulanate, and potassium. J Sep Sci. 2017;40(17):3557-62. doi: 10.1002/jssc.201700478, PMID 28681987.
Magreault S, Leroux S, Touati J, Storme T, Jacqz-Aigrain E. UPLC/MS/MS assay for the simultaneous determination of seven antibiotics in human serum-Application to pediatric studies. J Pharm Biomed Anal. 2019;174:256-62. doi: 10.1016/j.jpba.2019.03.004, PMID 31181488.
Rigo Bonnin R, Ribera A, Arbiol Roca A, Cobo Sacristan S, Padulles A, Murillo O. Development and validation of a measurement procedure based on ultra-high performance liquid chromatography-tandem mass spectrometry for simultaneous measurement of β-lactam antibiotic concentration in human plasma. Clin Chim Acta. 2017;468:215-24. doi: 10.1016/j.cca.2017.03.009, PMID 28288784.
Kathriarachchi UL, Vidhate SS, Al-Tannak N, Thomson AH, da Silva Neto MJJ, Watson DG. Development of a LC-MS method for simultaneous determination of amoxicillin and metronidazole in human serum using hydrophilic interaction chromatography (HILIC). J Chromatogr B Analyt Technol Biomed Life Sci. 2018;1089:78-83. doi: 10.1016/j.jchromb.2018.05.012, PMID 29775840.
do Giang T, Hoang VD. Comparative study of RP-HPLC and UV spectrophotometric techniques for the simultaneous determination of amoxicillin and cloxacillin in capsules. J Young Pharm. 2010;2(2):190-5. doi: 10.4103/0975-1483.63168, PMID 21264124.
Tavakoli N, Varshosaz J, Dorkoosh F, Zargarzadeh MR. Development and validation of a simple HPLC method for simultaneous in vitro determination of amoxicillin and metronidazole at a single wavelength. J Pharm Biomed Anal. 2007;43(1):325-9. doi: 10.1016/j.jpba.2006.06.002, PMID 16859857.
Batrawi N, Wahdan S, Al-Rimawi F. A validated stability-indicating HPLC method for simultaneous determination of amoxicillin and enrofloxacin combination in an injectable suspension. Sci Pharm. 2017;85(1):6. doi: 10.3390/scipharm85010006, PMID 28212319.
Hassib ST, Taha EA, Sharf MG, Mostafa EA. RP-HPLC-DAD method development and validation for simultaneous determination of lansoprazole, tinidazole, amoxicillin, and naproxen in their raw materials and combined dosage form: DOE approach for optimization of the proposed method. J AOAC Int. 2022;105(3):675-87. doi: 10.1093/jaoacint/qsab159, PMID 34918094.
Vu DH, Koster RA, Bolhuis MS, Greijdanus B, Altena RV, Nguyen DH. Simultaneous determination of rifampicin, clarithromycin and their metabolites in dried blood spots using LC-MS/MS. Talanta. 2014;121:9-17. doi: 10.1016/j.talanta.2013.12.043, PMID 24607103.
Ahmed S, Atia NN. Simultaneous determination of triple therapy for Helicobacter pylori in human plasma by reversed phase chromatography with online wavelength switching. Spectrochim Acta A Mol Biomol Spectrosc. 2015;136(C):1380-7. doi: 10.1016/j.saa.2014.10.024, PMID 25459696.
Aktas AH, Saridag AM. Liquid chromatographic-chemometric techniques for the simultaneous HPLC determination of lansoprazole, amoxicillin and clarithromycin in commercial preparation. J Chromatogr Sci. 2017;55(8):798-804. doi: 10.1093/chromsci/bmx039, PMID 28449104.
Sobhy M El-Adl, Mohamed El, Hossinny El Sadek, Marwa Hamdy Hassan. HPLC determination of two cephalosporines with one macrolide in bulk and dosage forms. Asian J Pharm Res. 2014;4(4):180-5.
International conference on the harmonization. ICH Stability testing of new drug substances and products. Vol. Q1A(R2); 2003.
International conference on the harmonization. ICH harmonized tripartite guideline. Validation of analytical procedures: Text and methodology Q2(R1); 2005.
Borman P, Elder D. Q2 (R1) Validation of analytical procedures. ICH Quality Guidelines: an Implementation Guide. 2017;5:127-66.
Naresh P, Kumar KV. Leflunomide tablet formulation: development and validation of an RP-HPLC technique. Int J Pharm Pharm Sci. 2023;15(1):16-21. doi: 10.22159/ijpps.2023v15i1.46505.
Sharma S, Goyal S, Chauhan K. A review on analytical method development and validation. Int J App Pharm. 2018;10(6):8-15. doi: 10.22159/ijap.2018v10i6.28279.
Epshtein NA. System suitability requirements for liquid chromatography methods: controlled parameters and their recommended values. Pharm Chem J. 2020;54(5):518-25. doi: 10.1007/s11094-020-02231-w.
Locatelli M, Melucci D, Carlucci G, Locatelli C. Recent HPLC strategies to improve sensitivity and selectivity for the analysis of complex matrices. Instrum Sci Technol. 2012;40(2-3):112-37. doi: 10.1080/10739149.2011.651668.
Betz JM, Brown PN, Roman MC. Accuracy, precision, and reliability of chemical measurements in natural products research. Fitoterapia. 2011;82(1):44-52. doi: 10.1016/j.fitote.2010.09.011, PMID 20884340.
Ferreira SLC, Caires AO, Borges TdS, Lima AMDS, Silva LOB, dos Santos WNL. Robustness evaluation in analytical methods optimized using experimental designs. Microchem J. 2017;131:163-9. doi: 10.1016/j.microc.2016.12.004.
Vyas AJ, Jadav CD, Patel AI, Patel AB, Shah SR, Sheth D. Review on stability-indicating assay method or forced degradation study: strategy and regulatory consideration. Asian J Pharm Anal. 2023;13(2):131-9. doi: 10.52711/2231-5675.2023.00022.
Lakshmi AJ, Abhishek K, Priyanka YL, Balaji PV, Ashritha N. Development and validation of stability indicating RP-HPLC method for the simultaneous estimation of aclidinium bromide and formoterol fumarate in bulk and inhaler formulation. Int J Curr Pharm Sci. 2022;14(5):13-9. doi: 10.22159/ijcpr.2022v14i5.1973.
Nandre DS, Ahmed A, Gj K. Stability indicating HPLC method development and validation for simultaneous estimation of dapagliflozin and metformin tablet dosage form. Asian J Pharm Clin Res 2022;15(10):109-14. doi: 10.22159/ajpcr.2022.v15i10.45616.
Damle MC, Pardeshi RR, Bidkar SR. Development and validation of stability indicating HPTLC method for pimavanserin tartrate. Int J Pharm Pharm Sci. 2023;15(10):17-23. doi: 10.22159/ijpps.2023v15i10.48820.