
1Oral Medicine Residency Program, Faculty of Dentistry, Universitas Padjadjaran, Jl. Sekeloa Selatan 1, Bandung, West Java-40132, Indonesia. 2Department of Oral Medicine, Faculty of Dentistry, Universitas Padjadjaran, Jl. Sekeloa Selatan 1, Bandung, West Java-40132, Indonesia. 3Department of Oral Pathology and Microbiology, Faculty of Dentistry, Jamia Millia Islamia, New Delhi, India
*Corresponding author: Irna Sufiawati; *Email: irna.sufiawati@fkg.unpad.ac.id
Received: 11 Jan 2024, Revised and Accepted: 02 May 2024
ABSTRACT
This study aimed to evaluate the effectiveness of herbal and synthetic mucoadhesive formulations and mouthwashes to reduce the grade and pain of Oral Mucositis (OM) through a systematic review and meta-analysis. Selection of articles published between 2014 and 2023 using Preferred Reporting Items for Systematic Reviews and Meta-Analyses (PRISMA) with specific keywords and through electronic databases (PubMed, Cochrane, Scopus, and Google Scholar) was carried out. Inclusion and exclusion criteria were established to limit the search for articles. The quality assessment of the articles used the Oxford Quality Scoring System. All 22 articles could be assessed by systematic review, but only 16 articles could be meta-analysis. The meta-analysis assessment used Jeffreys's Amazing Statistics Program (JASP) software. The mucoadhesive formulations of 1% Satureja hortensis extract gel, phenytoin tablets, 3% Chamomile topical gel and the mouthwash consisting morphine 2%, povidone-iodine 10 ml, turmeric, dentoxol, zinc chloride, sodium bicarbonate had affected to reduce the degree and pain of OM. Meta-analysis showed mucoadhesive had a mean effect size of -0.06 on the grade and -0.12 on the pain of the OM, while mouthwash had a mean effect size of -1.27 on the grade and -1.64 on the pain of the OM. To conclude, mucoadhesive formulations and mouthwashes have the potential to reduce the grade and pain of OM.
Keywords: Oral mucositis, Mucoadhesive, Mouthwash, Pain, Therapy
© 2024 The Authors. Published by Innovare Academic Sciences Pvt Ltd. This is an open access article under the CC BY license (https://creativecommons.org/licenses/by/4.0/)
DOI: https://dx.doi.org/10.22159/ijap.2024v16i4.50345 Journal homepage: https://innovareacademics.in/journals/index.php/ijap
Oral Mucositis (OM) is damage to the oral mucosa as a complication of cancer treatment that is characterized by extensive swelling and ulceration, as well as redness and pain [1-3]. The prevalence of OM in head and neck cancer is over 20% with chemotherapy and 91% with radiotherapy. The onset of OM is usually 5–14 d after treatment [2]. The clinical effect of OM is severe pain with severe oral lesions that cause discomfort and disrupt swallowing function. This leads to impaired nutritional intake in head and neck cancer patients, which affects their quality of life. For this reason, the prevention and treatment of OM is an important part of cancer therapy [1]. OM therapy is divided into two categories, namely pharmacotherapy and non-pharmacotherapy. Pharmacotherapy for OM is the use drugs, both synthetic and herbal [4].
One of the pharmacological therapies for OM is the use of mouthwashes containing both synthetic and herbal ingredients. Many previous studies have discussed the effectiveness of mouthwashes containing both synthetic and herbal ingredients. These include mouthwashes containing analgesics such as opioids, as well as magic mouthwashes such as benzocaine, thick lidocaine, kaolin-pectin, milk of magnesia, diphenhydramine, or chlorhexidine, and herbal ingredients such as Curcuma xanthorriza [2, 3]. Many studies have been conducted and there is strong evidence for the effective use of mouthwashes in OM. However, research and statistical analyses on the use of mucoadhesive formulations in OM, both synthetic and herbal, are still limited. Similarly, statistical analyses looking at both as OM therapies are lacking. This systematic review and meta-analysis was conducted to try to provide statistical information on the effectiveness of mucoadhesives and mouthwashes in reducing the grade and pain of OM.
This systematic review and meta-analysis used the standard PRISMA protocol. PICO in this review consists of population, patient, or problem: head and neck cancer patients with OM due to chemotherapy, radiotherapy, or chemoradiotherapy; intervention was the use of different mucoadhesive formulations and mouthwash; comparison was a placebo or other active ingredients; outcome was the effectiveness of ingredients in reducing the grade and pain of OM and the safety of the ingredients used. Articles use were published between 2014 and 2023, and the searches were conducted electronically using Pubmed, Cochrane, Google Scholar, and Scopus without manual searching. The keywords used were mucoadhesive, mouthwash, gargle, mouth rinse, and OM, which were combined using Boolean operators in the form of AND/OR.
Inclusion criteria were randomized control trials (RCTs) or prospective clinical trials conducted in humans and their efficacy in reducing the grade and/or pain of OM, articles were written in English, not systematic reviews, literature reviews, or case reports, had a Scopus index, and the text had to be complete. Exclusion criteria were duplicate research articles that were not relevant to the topic.
All selected articles were quality-rated using the Oxford Quality Rating System or the Jadad scale, which consists of question that have different answers. These questions have the lowest and highest scores, as shown in table 1. The authors assessed the quality of the articles discussed and agreed to keep low-quality articles included in the inclusion criteria. An overview of the selected articles can be seen in table 2.
OM grade and pain variables were assessed using systematic review (descriptive/qualitative analysis) and then meta-analysis/quantitative analysis. Data were categorised using the criteria of mean, standard deviation (SD), and sample or population size (N). JASP software was used for statistical analysis to asses heterogeneity, mean effect, and bias. Tests of heterogeneity were performed at 95% intervals, with significance determined according to the rules for p-values (*p-value>0.05).
Forest plot analysis was used to assess the mean effect of the articles, which was estimated using the random effect (RE) value model. A distribution of values below zero on the forest plot indicates a small or no significant effect, while values above zero indicate the significance of the results in the meta-analysis. Funnel plots were used to detect bias in this data analysis.
In this review, 22 articles were systematic reviews (meta-syntheses or descriptive), and only 16 articles included criteria for meta-analysis. A detailed summary is provided in fig. 1 quality assessment was carried out on 22 articles, with the results of six low-quality articles and the remaining high-quality articles shown in table 1.

Fig. 1: PRISMA flowchart
Table 1: Eligibility (quality assessment for all articles)
| Reference | Question No. | Result | |||||
| 1 | 2 | 3 | 4 | 5 | Skor | Description | |
| Pakravan, et al., 2019, Iran [5] | 1 | -1 | 1 | 1 | 1 | 4 | High range of quality |
| Ghalayani P, et al., 2014, Iran [6] | 1 | -1 | 1 | 1 | 1 | 4 | High range of quality |
| Rezazadeh F, et al., 2019, Iran [7] | 1 | 1 | 0 | -1 | 1 | 2 | Low range of quality |
| Allison, et al., 2014, USA [8] | 1 | -1 | 1 | 1 | 1 | 3 | High range of quality |
| Giralt et al., 2019, Germany [9] | 1 | 1 | 1 | 1 | 0 | 4 | High range of quality |
| Lozano, et al., 2021, Spanyol [10] | 1 | 1 | 1 | 1 | 0 | 4 | High range of quality |
| Arshadi et al., 2018, Iran [11] | 1 | 1 | 1 | 1 | 1 | 5 | High range of quality |
| Elhadad, et al., 2022, Mesir [12] | 1 | 1 | 0 | -1 | 1 | 2 | Low range of quality |
| Sahebjamee, et al., 2015, Iran [13] | 1 | 1 | 1 | 1 | 0 | 4 | High range of quality |
| Jyothi, et al., 2021, India [14] | 1 | 1 | 0 | -1 | 1 | 2 | Low range of quality |
| Mohammadi, et al., 2021, Iran [15] | 1 | 1 | 1 | 1 | 1 | 5 | High range of quality |
| P. Ruban David and K. Timple Shree, 2019, India [16] | 1 | -1 | 0 | -1 | 1 | 0 | Low range of quality |
| Oshvandi, et al., 2021, Iran [17] | 1 | 1 | 1 | 1 | 1 | 5 | High range of quality |
| Sun, et al., 2019, China [18] | 1 | -1 | 1 | 1 | 0 | 2 | Low range of quality |
| Lalla, et al., 2020, Chile [4] | 1 | 1 | 1 | 1 | 1 | 5 | High range of quality |
| Dastan F, et al., 2020, Iran [19] | 1 | 1 | 1 | 1 | 1 | 5 | High range of quality |
| Agha-Hosseini, et al., 2021, Italy [20] | 1 | -1 | 1 | 1 | 1 | 3 | High range of quality |
| Akhavan-Karbassi MH, et al., 2015, Iran [21] | 1 | -1 | 1 | 1 | 1 | 3 | High range of quality |
| Chaitanya B, et al., 2017, India [22] | 1 | -1 | 1 | 1 | 0 | 2 | Low range of quality |
| Sarvizadeh, et al., 2015, Iran [23] | 1 | 1 | 1 | 1 | 1 | 5 | High range of quality |
| Charalambous et al., 2018, Cyprus [24] | 1 | 1 | 1 | 1 | 1 | 5 | High range of quality |
| Aghamohammadi A, et al., 2021, Iran [25] | 1 | 1 | 1 | 1 | 1 | 5 | High range of quality |
Notes: Questions consist of: Was there search random? (Yes=1, Not=0); Was the described and adequate randomization process used? (Yes=1, Not=-1); Would you classify this study as double-blind? (Yes=1, Not=0); Was it appropriate to use a double-blind procedure? (Yes =1, Not=-1); Was there area son why he dropped and withdrew? (Yes=1, Not=0)
The results of this review were that mucoadhesive therapy showed significant results for Triamcinolone Acetonide (TA) film 0.5 mg, phenytoin tablet, melatonin 3% oral gel, Satureja hortensis extract 1% gel, and topical Chamomile 3% oral gel with p<0.00-0.005. licorice film 0.18 mg was more effective than TA 0.5 mg, but not significantly (p = 0.875 for grade and p = 0.640 for pain). Mu Gard 5 ml was significant for preventing the occurrence of OM (p = 0.038), but not significant for reducing the grade and pain of OM. Clonidine buccal tablets at the different doses were not significant compared with benzydamine (p = 0.064). The use of mouthwashes showed only the grade of OM was significantly reduced, such as povidone-iodine (p<0.001), zinc chloride and sodium bicarbonate 5% (p = 0.001), turmeric (p = 0.001), zinc chloride (p = 0.001), honey (p between groups = 0.001), and propolis in both articles (p = 0.00 and p = 0.00262). Five mouthwash articles are significant for reducing the grade and pain of OM, including vitamin B combined with Gene Time® (p between groups<0.001), a combination of 0.1% TA, 0.2% vitamin E, and 0.2% HA (between groups<0.001), rebamipide (p between groups = 0.001), morphine with p<0.001, and Zataria multiflora (p between groups = 0.001). Dentoxol is not significant for pain severity (p = 0.502). Aloe vera, compared with benzydamine, is not significant in reducing the grade of OM (p = 0.98).
Meta-analysis assessment could be based on five mucoadhesive articles (five articles for the grade four articles for pain of OM). Mouthwash was eleven articles (eleven articles for the grade and four articles for pain of OM). Statistical evaluation showed homogeneous data on mucoadhesive for grade OM, Q = 0.672 with p-value = 0.880>0.05 (α) while pain OM with Q = 0.472 and p-value = 0.976>0.05 (α). The mouthwash data for grade OM showed heterogeneous results, Q= 27.710 with a p-value of 0.002<0.05 (α), while for pain the data presented were homogeneous, Q = 4.664 with p-value = 0.198>0.05(α).
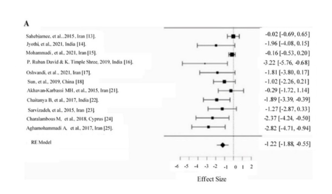
Forest plots (fig. 2a and 2b) explain the effectiveness of mucoadhesive formulations seen in reducing the grade severity of OM with a mean effect was-0,12. The effectiveness of the mouthwash (fig. 3a and 3b) showed a mean effect of -1.64 for pain, while the effect grade of OM was -1.22. These results show that the efficacy of the mucoadhesive formulations and mouthwashes were not significant in reducing the grade and pain of OM.
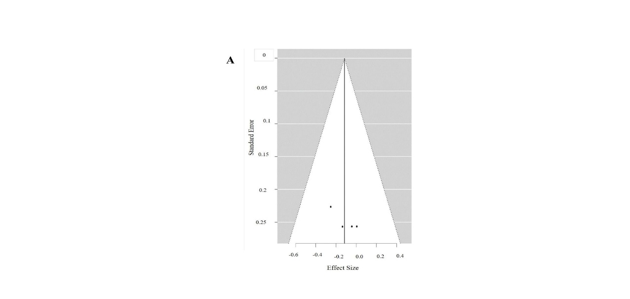
The funnel plot showed that there was no bias in the articles about mucoadhesive formulations in reducing the grade and pain of OM, and mouthwashes in reducing the pain of OM (fig. 4a, 4b, and 5b). At the same time, there was a bias in articles about mouthwashes reducing the degree of OM (fig. 5a).
Adverse effects (AE) were reported for some of the ingredients, such as of mucoadhesive clonidine tablets, which caused xerostomia, and melatonin 3% oral gel, which affected the gastrointestinal tract (GIT). The AE of Dentoxol mouthwash caused nausea and morphine mouthwash caused a burning sensation.


Fig. 2: Mucoadhesive forest plots for the grade (A) and pain (B) of OM


Fig. 3: Mouthwashes forest plots for the grade (A) and pain (B) of OM


Fig. 4: Mucoadhesive funnel plots for the grade (A) and pain (B) of OM
Table 2: General article descriptions
| No | Authours, years and countries | Research design | Population (Patients) | Cancer therapy | Ages (Years) | Intervention | Control | Duration | Assessment tools | Outcome |
| Efficacy | ||||||||||
| 1 | Pakravan, et al., 2019, Iran [5] | RCT | 60 | Radiotherapy | >18 | 30 patients: TA 0,5 mg film | 30 patients: placebo | 4 w | VAS and WHO | Significant (pain and grade) |
| 2 | Ghalayani P, et al., 2014, Iran [6] | RCT | 60 | Radiotherapy | >18 | 30 patients: TA 0,5 mg film | 30 patients: licorice film (polyphenol 0,18 mg) | 4 w | VAS and WHO | No significant (pain and grade) |
| 3 | Rezazadeh F, et al., 2019, Iran [7] | RCT | 22 | Chemotherapy | 20-63 | 11 patients: tablet phenytoin | 11 patients: phenytoin 0,5% mouthwash | 2 w | VAS and WHO | Significant (pain and grade) |
| 4 | Allison, et al., 2014, USA [8] | RCT | 78 | Irradiation | >18 | 37 Patients: Mu Gard 5 ml | 41 patients: sham-control (SC) 5 ml | 4 w | VAS and WHO | Significant (pain and grade) |
| 5 | Giralt, et al., 2019, Germany [9] | RCT | 118 | Radiotherapy or chemotherapy | >18 | 65 and 62 patients: tablet clonidine 50µg and100 µg | 56 patients: benzydamine+fluconazole | 5 w | VAS and WHO | No significant (pain and grade) |
| 6 | Lozano, et al., 2021, Spanyol [10] | RCT | 84 | Radiotherapy | >18 | 42 patients: melatonin 3% oral gel | 42 patients: placebo gel | 7 w | RTOG-NCI | Significant (pain and grade) |
| 7 | Arshadi, et al., 2018, Iran [11] | RCT | 60 | Chemotherapy | 3-14 | 30 patients: Satureja hortensis extract 1% gel | 30 patients: placebo 1% gel | 5 d | VAS and WHO | Significant (pain and grade) |
| 8 | Elhadad, et al., 2022, Mesir [12] | RCT | 45 | Chemotherapy | >30 | 15 patients: Group II: topical Chamomile 3% oral gel Group III and Group II plus conventional therapy |
15 patients: Group I conventional of therapy symptomatic and miconazole oral gel | 3 w | NRS and WHO | Significant group I and II No significant to group III and II (pain and grade) |
| 9 | Sahebjamee, et al., 2015, Iran [13] | RCT | 26 | Radiotherapy | 26-80 | 13 patients: Aloe vera mouthwash |
13 patients: benzydamine 0.15% mouthwash | 8 w | WHO | No significant (grade) |
| 10 | Jyothi, et al., 2021, India [14] | Prospective observational study | 50 | Radiotherapy/Chemotherapy | 25-65 | 25 patients: povidone-iodine 10 ml | 25 patients: chlorhexidine gluconate10 ml | 7 d | WHO | Significant (grade) |
| 11 | Mohammadi, et al., 2021, Iran [15] | RCT | 144 | Radiotherapy | >18 | 48 patients: zinc chloride 0,2% and sodium bicarbonate 5% mouthwash | 48 patients: placebo | 3 w | WHO | Significant (grade) |
| 12 | P. Ruban David and K. Timple Shree, 2019, India [16] | True-experimental comparative design | 60 | Radiotherapy | >18 | 30 patients: turmeric mouthwash | 30 patients: sodium bicarbonate mouthwash | 1 w | RTOG | Significant (grade) |
| 13 | Oshvandi, et al., 2021, Iran [17] | RCT | 96 | Chemotherapy | >18 | 48 patients: zinc chloride mouthwash | 48 patients: placebo mouthwash | 3 w | WHO and NCI-CTC | Significant (grade) |
| 14 | Sun, et al., 2019, China [18] | RCT | 100 | Radiotherapy | 24-67 | 50 patients: vitamin B plus Gene Time® mouthwash | 50 patients: vitamin B mouthwash | 3 w | VAS and WHO | Significant (grade and pain) |
| 15 | Lalla, et al., 2020, Chile [4] | RCT | 109 | Radiotherapy | >18 | 55 patients: dentoxol mouthwash | 54 patients: control | 2 w | RTOC, OMDQ and WHO | Significant (grade) No significant (pain) |
| 16 | Dastan F, et al., 2020, Iran [19] | Prospective, RCT | 37 | Chemotherapy | >18 | 18 patients: propolis mouthwash | 19 patients: placebo | 4 w | WHO and NCI-CTC | Significant (grade) |
| 17 | Agha-Hosseini, et al., 2021, Italy [20] | RCT | 59 | Radiotherapy | 18 | 29 patients: combinations of TA0.1%, vit. E 0.2%, and HA0.2% mouthwash | 30 patients: TA0.1% mouthwash | 4 w | WHO and VAS | Significant (pain and grade) |
| 18 | Akhavan-Karbassi MH, et al., 2015, Iran [21] | RCT | 40 | Chemotherapy | >18 | 20 patients: propolis mouthwash | 20 patients: placebo | l7 d | WHO | Significant (grade) |
| 19 | Chaitanya B, et al., 2017, India [22] | RCT | 60 | Chemo-radiotherapy | 34-75 | 30 patients: rebamipide 20 ml. | 30 patients: placebo | 16 d | NRS and RTOG | Significant (pain and grade) |
| 20 | Sarvizadeh, et al., 2015, Iran [23] | RCT | 28 | Chemotherapy, radiotherapy, and Chemo-radio-therapy |
>18 | 15 patients: morphine 10 ml | 13 patients: magic mouthwash 10 ml | 6 d | WHO | Significant (pain and grade) |
| 21 | Charalambous M, et al., 2018, Cyprus [24] | RCT | 72 | Radiotherapy | >18 | 36 patients: honey 20 ml. | 36 patients: normal saline 20 ml. | 7 w, repeated 6 months | OMWQ and RTOG | Significant (grade) No significant (pain) |
| 22 | Aghamohammadi A, et al., 2017, Iran [25] | RCT | 63 | Radiotherapy/Chemotherapy | 18-70 | 30 patients: Zataria multiflora extract 2,72% mouthwash | 33 patients: placebo | 6 w | VAS, WHO and OMAS | Significant (pain and grade) |
Notes: TA: triamcinolone acetonide; HA: hyaluronic acid; WHO: World Health Organization; VAS: visual analog scale; RTOG-NCI: radiation therapy oncology group-national cancer institute; NRS: numeric rating scale; NCI-CTC: national cancer institute-common toxicity criteria; OMWQ: oral mucositis weekly questionnaire; OMAS: oral mucositis assessment scale.
Table 3: list of active ingredients in mucoadhesive formulations for the management of OM
| Various intervention form | References | Active ingredients | Mucoadhesive vehicle (Polymer) |
| FILM | [5] | TA | PEG (polyethylene glycol) |
| FILM | [6] | TA Licorice |
PEG (polyethylene glycol) Polyphenol |
| TABLET | [7] | Phenytoin | HPMC: Chitosan; Na-CMC |
| VISCOUS lIQUID | [8] | Mu-Gard | Hydrogel (MAH) |
| TABLET | [9] | Clonidine | α2-adrenoceptor clonidine hydrochloride |
| GEL | [10] | Melatonin | PLA, PLGA-PEG Nano-particles |
| GEL | [11] | Satureja hortensis | Sodium carboxymethyl cellulose |
| GEL | [12] | Matricaria chamomilla l (Chamomile) | Hydrogels (Carbopol® 945), HPMC |
Notes: HPMC: hydroxypropyl methylcellulose, Na-CMC: carboxymethyl cellulose sodium salt, MAH: mucoadhesive hydrogel, PLA: Polylactic acid, PLGA-PEG: poly lactic-co-glycolic acid-PEG: polyethylene glycol
Fig. 5: Mouthwashes funnel plots for the grade (A) and pain (B) of OM
Mucoadhesives and mouthwashes were found to be important in reducing the severity and pain of OM in the results of the systematic review in this paper. The mucoadhesive formulations discussed consisted of different shapes, such as a film, a tablet, a gel, and a viscous liquid. The thin mucoadhesive film, approximately 20 cm2, is flexible, elastic, and soft, making it more comfortable for patients to use. The advantage of this form is that it is easily soluble, stable, and has a stronger bond to the oral mucosa [26]. The disadvantage of the film form is that it must be stored in a dry place with special packaging, as it is easily broken and hygroscopic [27–29]. Mucoadhesive tablets are small, flat, or oval, with a diameter of about 5-8 mm. This form has the advantages of controlled drug release, long release times, and continuity so that the drug is consumed less but remains in contact with the oral mucosa for longer. The disadvantage is that the form is not flexible, which reduces patient compliance with long-term use [27, 30]. The gel has the advantage of being easy to spread over the oral mucosa and easily absorbs fluid. Disadvantages include short mucosal bond, poor salivary solubility, instability, and poor accuracy [27, 31, 32]. Viscous fluid has the advantage of controlled and sustained drug release and can cover all parts of the oral cavity. The weakness is that it is susceptible to bacterial contamination, and the bond between the drug and the oral mucosa is easily broken, so contact with the oral mucosa is very low [33].
The active ingredients used are TA, phenytoin, melatonin, Satureja hortensis, licorice (Glycyrrhiza glabra), clonidine, and Matricaria chamomilla l (chamomile). TA works by reducing the expression of the nuclear factor-kappa beta (NFκβ) or P65 gene and by reducing the levels of pro-inflammatory cytokines, namely tumor necrosis factor-alpha (TNF-α) and interleukin (IL)-6, resulting in a reduction in ulceration and inflammation in the OM. TA has been shown to have anti-inflammatory effects by Boddupalli et al., Xia et al., Abbasi et al., and Kim et al. [5, 34, 35].
Phenytoin has the property of accelerating wound tissue repair by increasing fibroblast release, stimulating collagen deposition, reducing wound exudate formation and blocking the sodium channel, thereby reducing inflammation in the OM. This significant reduction inflammation is consistent with the study by Baharvand et al. However, a different opinion was expressed by Hamian et al. Phenytoin is also antibacterial (reduces bacterial contamination) and may be analgesic, reducing pain in the OM [7, 36, 37]. Melatonin is a sleep aid and antioxidant that prevents and reduces mitochondrial deoxyribonucleic acid (DNA) damage, inhibits reactive oxygen species (ROS) and cell death, and inactivates inflammatory cytokines [10]. Its anti-inflammatory effects are mediated by inhibiting the expression of pro-inflammatory cytokines such as IL-1 or TNF-α, inducible nitric oxide synthase (i-NOS)/inducible mitochondrial nitric oxide synthase (i-mtNOS) and cyclooxygenase-2 (COX-2), inhibition of NF-κβ, which activates the innate immune system, and reduction of nucleotide-binding and oligomerization domain-like receptor family pyrin domain-containing 3 (NLRP3). It may, therefore play a role in the treatment and prevention OM within a few weeks, as suggested by Abdel M. et al. [38].
Satureja hortensis has antioxidant, anti-inflammatory, analgesic, antispasmodic, anti-diarrhoeal, sedative, and anti-microbial properties [11, 39]. It is an alternative analgesic to the opioid class (morphine) in the treatment of OM, supported by the opinion of Delfan et al. The antioxidant mechanism through polyphenols can successfully stop the metabolism of phospholipids. It initiates intracellular pro-oxidative pathways, blocks ROS, and reduces oxidative stress leading to lipid oxidation [40].
Licorice (Glycyrrhiza glabra) inhibits the enzymatic pathways of 5-cyclooxygenase and lipoxygenase and can prevent the production of ROS and cell migration, leading to inhibition of arachidonic acid metabolism and vascular permeability, thereby reducing inflammation and providing antiviral and antibacterial effects. In a previous study, Ismail et al. used licorice in a mouthwash preparation before chemotherapy [6, 41, 42].
Clonidine is an anti-hypertensive agent that can reduce pro-inflammatory cytokines by binding between receptors and leukocytes in macrophages. According to Pulito et al., Clonidine lauria mucoadhesive tablets can reduce the grade of OM by up to 45% [9].
Matricaria chamomilla l. (Chamomile) has anti-inflammatory and analgesic effects, according to a study by Mahood et al. According to Natarajan et al., the anti-inflammatory effect is caused by inhibition nitric oxide (NO) synthesis and i-NOS. According to Avallone et al., the analgesic and anti-inflammatory effects are due to the presence of flavonoids and apigenin. According to longo et al. Chamomile can heal wounds, which is supported by Klaschka and Modiano’s opinion that Chamomile reduces the grade and duration of OM [12, 43].
Active ingredients in mucoadhesive formulations can adhere to the oral mucosa because they use polymers. The polymers used in this review are PEG, HPMC, chitosan, and Na-CMC. PEG, a non-ionic, water-soluble, and biocompatible polymer, can be combined with other polymers, such as PAA to prolong adhesion and with PLGA to increase contact time with the oral cavity [44–46]. HPMC, a hydrophilic cellulose ether polymer, swells on contact with water, dissolves in water, organic solvents or both, has a controlled drug release mechanism, and adheres strongly lo the oral cavity. Chitosan is a natural polymer derived from chitin, insoluble in water but soluble in dilute weak acids. It is a polycation whose solubility is pH dependent; at high pH this polymer precipitates and binds strongly to mucosa membranes, except for the oral mucosa. Na-CMC, a water-soluble anionic polymer derived from cellulose, has higher mucoadhesive properties than HPMC but depends on the pH of the medium [46].
The polymers used in this paper are hydrogel, PLA, and PLGA. Hydrogel is a polymer with a very high level of hydrophilic and hydrophobic bonds that are lost on contact with water, swells easily, has a high level mucosal adhesion, is biocompatible, and can form gel layers [33, 47, 48]. PLA and PLGA are synthetic polymers that degrade naturally, and have good biocompatibility and biodegradability, as well as good mucosal adhesion [49]. PLA polymer is a nanoparticle copolymer synthesized from PLA and PGA, a drug delivery system used for targeted drug release. PGA has better mucoadhesive properties than PLA [10, 33].
The significance of the effect of mucoadhesive formulations for OM in this systematic review was dependent on the drug, as the polymer is only the vehicle for drug delivery. Polymers can be combined and adapted to dosage forms, and the properties of the active ingredients are complementary. This is the same as described in previous systematic reviews where herbal ingredients were combined with mucoadhesive formulations for the treatment of recurrent aphthous stomatitis. In addition to the mucoadhesive formulations in this paper, mouthwashes were also evaluated for their efficacy against OM using active ingredients such as Aloe vera, benzydamine, morphine, povidone-iodine, turmeric, dentoxol, zinc chloride, sodium bicarbonate, multivitamin Bplus gene time®, propolis, combination (TA, vitamin E, and hyaluronic acid), rebamipide, and honey, as well as Zataria multiflora. Each of these ingredients, both mucoadhesive formulations and mouthwashes, has properties that have a significant effect on grade and pain of OM [11, 18, 22, 50–53].
According to a previous systematic review by Manharan et al., mouthwashes has efficacy in reducing the grade and pain of oral OM based on the properties of each active ingredient; however, supporting evidence is still limited [54]. Both herbal and synthetic agents were used in this review to investigate their efficacy against OM. The meta-analysis written by Yu et al. showed that herbal ingredients healed OM faster than synthetic ingredients [55]. Herbal mouthwashes are an excellent way to maintain healthy oral hygiene in general [56]. Meanwhile, in this paper, the synthetic materials that have the fastest effect on OM are synthetic materials with theoretical explanations that still need to be explored. All of the synthetic materials in this systematic review and meta-analysis can be used to prevent OM. This has been confirmed by several researchers, such as Akagi et al. and Kuo et al., and the results significantly reduced the severity of OM [50, 57].
This review complements the previous review on mucoadhesive formulations and mouthwashes. They are designed to prolong drug retention on the oral mucosa, control drug release and hopefully reduce the duration of drug administration and improve patient compliance. However, the form and method of use of mucoadhesive formulations is sometimes not acceptable to patients, so the use of mouthwash is preferred. When preparing mucoadhesive formulations, molecular weight, flexibility, cross-linking, hydration, polymer loading, and concentration need to be considered [7, 27, 30, 32]. In the opinion of the authors, these factors are not important for meta-analysis in this review. In the future, this article can be used as a protocol in the selection and administration of therapy for the prevention and/or treatment for OM.
The limitations of this study arise from issues such as the heterogeneity of the included articles, an insufficient number of articles, variations in analytical data between articles, the use of different measurement tools, and the lack of differentiation in the variables measured for herbal or synthetic ingredients. These challenges make it difficult to collect data, compare results, analysis results and draw conclusions.
Mucoadhesive formulations and mouthwashes have the potential to effectively reduce the severity and pain associated with OM. The use of mucoadhesive formulations, particularly those containing herbal ingredients, shows a faster response. On the other hand, mouthwashes containing synthetic ingredients tend to produce faster results. The available evidence supports the use of both of these agents as complementary treatments for the prevention and management of oral mucositis.
We extend our gratitude to H. Bernik Maskun, Drs., M. Stat, for his valuable contribution in data analysis using JAPS software. Moreover, the authors would like to express their gratitude for the financial support provided by Padjadjaran University for the publication of this work.
Dhini Karina: literature review, Data curation and Writing-original draft; Irna Sufiawati: Conceptualization, Review and editing, Supervision, Critical Evaluation, and Visualization; Vatchala Rani Ramamoorthy: Review and editing, Evaluation, Visualization, and Proofreading.
Declare none
Michael G. Greenber St Martin, Lockhart peter B C stphen J. Burket’s Oral Medicine. Thirteenth. John Wiley & Sons, Inc. Edition; 2021. p. 264-6.
Brown TJ, Gupta A. Management of cancer therapy–associated oral mucositis. JCO Oncology Practice. 2020;16(3):103-9. doi: 10.1200/JOP.19.00652.
Gunawan I, Wijaya I, Rusdiana T, Subarnas A, Sufiawati I. Reduction of salivary tumor necrosis factor-alpha levels in response to magic mouthwash with Curcuma xanthorriza in cancer patients undergoing chemotherapy. JRP. 2018;23(1):55-61. doi: 10.12991/jrp.2018.108.
Lalla RV, Sole S, Becerra S, Carvajal C, Bettoli P, Letelier H. Efficacy and safety of Dentoxol® in the prevention of radiation-induced oral mucositis in head and neck cancer patients (ESDOM): a randomized, multicenter, double-blind, placebo-controlled, phase II trial. Support Care Cancer. 2020;28(12):5871-9. doi: 10.1007/s00520-020-05358-4, PMID 32266567.
Pakravan F, Ghalayani P, Emami H, Isfahani MN, Noorshargh P. A novel formulation for radiotherapy-induced oral mucositis: triamcinolone acetonide mucoadhesive film. J Res Med Sci. 2019;24:63. doi: 10.4103/jrms.JRMS_456_18, PMID 31523249.
Ghalayani P, Emami H, Pakravan F, Nasr Isfahani M. Comparison of triamcinolone acetonide mucoadhesive film with licorice mucoadhesive film on radiotherapy-induced oral mucositis: a randomized double-blinded clinical trial. Asia Pac J Clin Oncol. 2017;13(2):e48-56. doi: 10.1111/ajco.12295, PMID 25347930.
Rezazadeh F, Mohammadi Samani S, Talei F, Ramzi M, Ashrafi H, Emami Z. Efficacy of phenytoin mucoadhesive tablet versus mouthwash on chemotherapy-induced oral mucositis: a randomized clinical trial. Middle East J Cancer. 2019;10(4):341-9.
Allison RR, Ambrad AA, Arshoun Y, Carmel RJ, Ciuba DF, Feldman E. Multi-institutional, randomized, double-blind, placebo-controlled trial to assess the efficacy of a mucoadhesive hydrogel (MuGard) in mitigating oral mucositis symptoms in patients being treated with chemoradiation therapy for cancers of the head and neck. Cancer. 2014;120(9):1433-40. doi: 10.1002/cncr.28553, PMID 24877167.
Giralt J, Tao Y, Kortmann RD, Zasadny X, Contreras Martinez J, Ceruse P. Randomized phase 2 trial of a novel clonidine mucoadhesive buccal tablet for the amelioration of oral mucositis in patients treated with concomitant chemoradiation therapy for head and neck cancer. Int J Radiat Oncol Biol Phys. 2020;106(2):320-8. doi: 10.1016/j.ijrobp.2019.10.023, PMID 31669562.
lozano A, Marruecos J, Rubio J, Farre N, Gomez Millan J, Morera R. Randomized placebo-controlled phase II trial of high-dose melatonin mucoadhesive oral gel for the prevention and treatment of oral mucositis in patients with head and neck cancer undergoing radiation therapy concurrent with systemic treatment. Clin Transl Oncol. 2021;23(9):1801-10. doi: 10.1007/s12094-021-02586-w, PMID 33738704.
Arshadi Bostanabad M, Hiradfar A, Mohammadpoorasl A, Javadzadeh Y, Khalvati B, Alvandnezhad T. The effect of mucoadhesive gel containing Satureja hortensis extract 1% on severity of chemotherapy-induced mucositis pain in children: a randomized clinical trial. Int J Pediatr. 2018;6(5):7605-14.
Elhadad MA, El-Negoumy E, Taalab MR, Ibrahim RS, Elsaka RO. The effect of topical chamomile in the prevention of chemotherapy-induced oral mucositis: a randomized clinical trial. Oral Dis. 2022;28(1):164-72. doi: 10.1111/odi.13749, PMID 33290635.
Sahebjamee M, Mansourian A, Hajimirzamohammad M, Zadeh MT, Bekhradi R, Kazemian A. Comparative efficacy of Aloe vera and Benzydamine mouthwashes on radiation-induced oral mucositis: a triple-blind, randomised, controlled clinical trial. Oral Health Prev Dent. 2015;13(4):309-15. doi: 10.3290/j.ohpd.a33091, PMID 25431805.
Jyothi, latha S, Pavithra K, Nalini M, Rao SJ, Mamatha B. Effect of povidone-iodine versus chlorhexidine mouthwash on oral mucositis among cancer patients. J Clin Diagn Res. 2021:10-3. doi: 10.7860/JCDR/2021/46216.15429.
Mohammadi F, Oshvandi K, Kamallan SR, Khazaei S, Ranjbar H, Ahmadi-Motamayel F. Effectiveness of sodium bicarbonate and zinc chloride mouthwashes in the treatment of oral mucositis and quality of life in patients with cancer under chemotherapy. Nurs Open. 2022;9(3):1602-11. doi: 10.1002/nop2.1168, PMID 35170247.
Ruban David P, Timple Shree K. Effectiveness of turmeric mouthwash and sodium bicarbonate mouthwash to reduce oral mucositis among patient undergoing radiation therapy. SIJTCM. 2019;02(7):124-7. doi: 10.36348/SIJTCM.2019.v02i07.001.
Oshvandi K, Vafaei SY, Kamallan SR, Khazaei S, Ranjbar H, Mohammadi F. Effectiveness of zinc chloride mouthwashes on oral mucositis and weight of patients with cancer undergoing chemotherapy. BMC Oral Health. 2021;21(1):364. doi: 10.1186/s12903-021-01706-w, PMID 34294072.
Sun H, Zhu X, Li D, Cheng T. Effects of a compound vitamin B mixture in combination with GeneTime® on radiation-induced oral mucositis. J Int Med Res. 2019;47(5):2126-34. doi: 10.1177/0300060519831171, PMID 30938568.
Dastan F, Ameri A, Dodge S, Hamidi Shishvan H, Pirsalehi A, Abbasinazari M. Efficacy and safety of propolis mouthwash in management of radiotherapy-induced oral mucositis; a randomized, double-blind clinical trial. Rep Pract Oncol Radiother. 2020;25(6):969-73. doi: 10.1016/j.rpor.2020.09.012, PMID 33100913.
Agha Hosseini F, Pourpasha M, Amanlou M, Moosavi MS. Mouthwash containing vitamin E, triamcinolon, and hyaluronic acid compared to triamcinolone mouthwash alone in patients with radiotherapy-induced oral mucositis: randomized clinical trial. Front Oncol. 2021;11(3):614877. doi: 10.3389/fonc.2021.614877, PMID 33777752.
Akhavan Karbassi MH, Yazdi MF, Ahadian H, Sadr-Abad MJ. Randomized double-blind placebo-controlled trial of propolis for oral mucositis in patients receiving chemotherapy for head and neck cancer. Asian Pac J Cancer Prev. 2016;17(7):3611-4.
Chaitanya B, Pai KM, Yathiraj PH, Fernandes D, Chhaparwal Y. Rebamipide gargle in preventive management of chemo-radiotherapy induced oral mucositis. Oral Oncol. 2017;72:179-82. doi: 10.1016/j.oraloncology.2017.07.024, PMID 28797456.
Sarvizadeh M, Hemati S, Meidani M, Ashouri M, Roayaei M, Shahsanai A. Morphine mouthwash for the management of oral mucositis in patients with head and neck cancer. Adv Biomed Res. 2015;4(1):44. doi: 10.4103/2277-9175.151254, PMID 25789270.
Charalambous M, Raftopoulos V, Paikousis L, Katodritis N, lambrinou E, Vomvas D. The effect of the use of thyme honey in minimizing radiation-induced oral mucositis in head and neck cancer patients: a randomized controlled trial. Eur J Oncol Nurs. 2018;34(4):89-97. doi: 10.1016/j.ejon.2018.04.003, PMID 29784145.
Aghamohammadi A, Moslemi D, Akbari J, Ghasemi A, Azadbakht M, Asgharpour A. The effectiveness of Zataria extract mouthwash for the management of radiation-induced oral mucositis in patients: a randomized placebo-controlled double-blind study. Clin Oral Investig. 2018;22(6):2263-72. doi: 10.1007/s00784-017-2324-7, PMID 29313134.
Kawale KA, Autade NB, Narhare HS, Mhetrea RL. A review on the fast-dissolving oral film. Asian J Pharm Clin Res. 2023;16(10):7-17. doi: 10.22159/ajpcr.2023.v16i10.48099.
Haju S, Yadav S, Baig R, Sawant G. Buccal film: a novel approach for oral mucosal drug delivery system. Asian J Pharm Clin Res. 2021;14(1):27-35. doi: 10.22159/ajpcr.2021.v14i1.39687.
Sharma M, Sheeba FR, Yadav RP, Patel AK, Kumar Y. Mucoadhesive polymers for buccal drug delivery system: an overview. Asian J Pharm Res Dev. 2021;9(2):57-64. doi: 10.22270/ajprd.v9i2.938.
Sindhu GD, Nallaguntla l, Kulkarni GS. Buccal mucoadhesive films. Int J Curr Pharm Res. 2021;13(4):14-20.
Nogueira NC, Filho EC, Figueiras A. Design of buccal mucoadhesive tablets: understanding and development. De Sa lLF. J Appl Pharm Sci. 2018;8(2):150-63.
Rathod HJ, Mehta DP. A review on pharmaceutical gel. Int J Pharm Sci. 2015;1(1):33-47.
Sosnik A, Das Neves J, Sarmento B. Mucoadhesive polymers in the design of nano-drug delivery systems for administration by non-parenteral routes: a review. Prog Polym Sci. 2014;39(12):2030-75. doi: 10.1016/j.progpolymsci.2014.07.010.
Velez I, Spielholz NI, Siegel MA, Gonzalez T. MuGard, an oral mucoadhesive hydrogel, reduces the signs and symptoms of oral mucositis in patients with lichen planus: a double-blind, randomized, placebo-controlled pilot study. Oral Surg Oral Med Oral Pathol Oral Radiol. 2014;118(6):657-64.e2. doi: 10.1016/j.oooo.2014.07.007, PMID 25306258.
Hamishehkar H, Nokhodchi A, Ghanbarzadeh S, Kouhsoltani M. Triamcinolone acetonide oromucoadhesive paste for treatment of aphthous stomatitis. Adv Pharm Bull. 2015;5(2):277-82. doi: 10.15171/apb.2015.038, PMID 26236668.
Williams DM. Clinical pharmacology of corticosteroids. Respir Care. 2018;63(6):655-70. doi: 10.4187/respcare.06314, PMID 29794202.
Baharvand M, Mortazavi A, Mortazavi H, Yaseri M. Re-evaluation of the first phenytoin paste healing effects on oral biopsy ulcers. Ann Med Health Sci Res. 2014;4(6):858-62. doi: 10.4103/2141-9248.144877, PMID 25506476.
Mortazavi H, Mashhadiabbas F, Mortazavi SA, Rezaeifar K, Farhangi M. Formulation of a jasmine grandiflorum containing mucoadhesive and evaluation of its healing effect on oral biopsy ulcers. Clin Oral Investig. 2020;24(4):1591-7. doi: 10.1007/s00784-019-03171-w, PMID 31916035.
Esmat A, Moneim A, Guerra librero A, Florido J, Shen Y Qiang, Fern B. Oral mucositis: melatonin gel an effective new treatment. Int J Mol Sci Rev. 2017;18(5):1-20.
Hagh LG, Arefian A, Farajzade A, Dibazar S, Samiea N. The antibacterial activity of “Satureja hortensis” extract and essential oil against oral bacteria. Dent Res J (Isfahan). 2019;16(3):153-9. PMID 31040870.
Bimbirait K, Stankevi M, Agnieszka G, Barsteigien Z. Evaluation of chemical composition, radical scavenging and antitumor activities of Satureja hortensis l. herb extracts. Antioxidants. 2021;10(53):1-15.
Akbari N, Asadimehr N, Kiani Z. The effects of licorice containing diphenhydramine solution on recurrent aphthous stomatitis: a double-blind, randomized clinical trial. Complement Ther Med. 2020;50(4):102401. doi: 10.1016/j.ctim.2020.102401, PMID 32444056.
Hasanah NT, Hidayat W. Clinical efficacy and safety of herbal medicine therapy in recurrent aphthous stomatitis: a systematic review. Int J Appl Pharm. 2021;13Special Issue 4:14-20.
Pourdeghatkar F, Motaghi M, Darbandi B, Baghersalimi A. The effect of chamomile mouthwash on the prevention of oral mucositis caused by chemotherapy in children with acute lymphoblastic leukemia. IJBC. 2017;7:76-81.
Bakhrushina E, Anurova M, Demina N, Kashperko A, Rastopchina O, Bardakov A. Comparative study of the mucoadhesive properties of polymers for pharmaceutical use. Open Access Maced J Med Sci. 2020;8(A):639-45. doi: 10.3889/oamjms.2020.4930.
Srisuntorn P, Bhalang K, Arirachakaran P. HPMC based mucoadhesive for delivery of triamcinolone acetonide: mucoadhesion and drug release properties, an in vitro study. J Dent Assoc Thai. 2018;68(2):121-31.
Chatterjee B, Amalina N, Sengupta P, Mandal UK. Mucoadhesive polymers and their mode of action: a recent update. J Appl Pharm Sci. 2017;7(5):195-203.
Hanafy N, Leporatti S, El-Kemary M. Mucoadhesive hydrogel nanoparticles as smart biomedical drug delivery system. Appl Sci. 2019;9(5):825. doi: 10.3390/app9050825.
Bhattacharya S, Paul B, Biswas GR. Development and evaluation of hydrogel of an anti-fungal drug. Int J Pharm Pharm Sci. 2023;15(10):29-33. doi: 10.22159/ijpps.2023v15i10.48728.
Teo SY, Lee SY, Rathbone MJ, Gan SN. Polymeric materials as platforms for topical drug delivery: a review. Int J Pharm Pharm Sci. 2017;9(1):14-20. doi: 10.22159/ijpps.2017v9i1.13306.
Chaitanya B, Pai KM, Yathiraj PH, Fernandes D, Chhaparwal Y. Rebamipide gargle in preventive management of chemo-radiotherapy induced oral mucositis. Oral Oncol. 2017;72:179-82. doi: 10.1016/j.oraloncology.2017.07.024, PMID 28797456.
Akagi S, Fujiwara T, Nishida M, Okuda A, Nagao Y, Okuda T. The effectiveness of rebamipide mouthwash therapy for radiotherapy and chemoradiotherapy-induced oral mucositis in patients with head and neck cancer: a systematic review and meta-analysis. J Pharm Health Care Sci. 2019;5:16. doi: 10.1186/s40780-019-0146-2, PMID 31367460.
Zhao K, Xie Y, Lin X, Xu W. The mucoadhesive nanoparticle-based delivery system in the development of mucosal vaccines. Int J Nanomedicine. 2022;17(9):4579-98. doi: 10.2147/IJN.S359118, PMID 36199476.
Amtha R, Kanagalingam J. Povidone-iodine in dental and oral health: a narrative review. J Int Oral Health. 2020;12(5):407-12. doi: 10.4103/jioh.jioh_89_20.
Manoharan V, Fareed N, Battur H, Khanagar S, Praveena J. Effectiveness of mouth rinses in prevention and treatment of radiation-induced mucositis: a systematic review. J Cancer Res Ther. 2020;16(1)Suppl:S1-S10. doi: 10.4103/jcrt.JCRT_176_18, PMID 33380645.
Yu YT, Deng JL, Jin XR, Zhang ZZ, Zhang XH, Zhou X. Effects of 9 oral care solutions on the prevention of oral mucositis: a network meta-analysis of randomized controlled trials. Med. 2020;99(16):e19661. doi: 10.1097/MD.0000000000019661, PMID 32311938.
Selvakumar R, Np M. Comparison in benefits of herbal mouthwashes with chlorhexidine mouthwash: a review. Asian J Pharm Clin Res. 2017;10(2):3-7. doi: 10.22159/ajpcr.2017.v10i2.13304.
Kuo CC, Wang RH, Wang HH, Li CH. Meta-analysis of randomized controlled trials of the efficacy of propolis mouthwash in cancer therapy-induced oral mucositis. Support Care Cancer. 2018;26(12):4001-9. doi: 10.1007/s00520-018-4344-5, PMID 30022350.