
Departamento Sistemas Biologicos, Universidad Autonoma Metropolitana Xochimilco, Mexico City, Mexico
*Corresponding author: Jose Raul Medina Lopez; *Email: rmlopez@correo.xoc.uam.mx
Received: 15 Jan 2024, Revised and Accepted: 09 Mar 2024
ABSTRACT
Objective: To estimate plasma concentrations-time profiles of Sulfamethoxazole (SMZ) and Trimethoprim (TMP) from fixed-dose combination formulations through in vitro data of dissolution media of physiological relevance and a convolution model.
Methods: Dissolution profiles of SMZ/TMP tablets (400/80 mg) were obtained with USP paddle apparatus at 100 rpm and 900 ml of 0.1 N HCl, pH 4.5 acetate buffer, and pH 6.8 phosphate buffer. The reference drug product and two generic formulations were tested. Drugs were quantified by a derivative method. Dissolution profiles were compared with model-dependent and independent methods. SMZ/TMP plasma levels were simulated with dissolution data and published in vivo information. Percent of prediction error (PE) for peak plasma concentration (Cmax) and area under the curve from zero time to infinity (AUC0-inf) at each condition were calculated.
Results: In all used conditions, similar dissolution profiles were found excepting for TMP at pH 1.2 (f2<50). The in vitro release performance for reference and generic formulations was explained by the Weibull function only for SMZ at pH 6.8 and TMP at pH 4.5. Values of PE>19% for both generic formulations were found with TMP at pH 1.2.
Conclusion: Significant differences in TMP dissolution profiles of generic formulations at pH 1.2 reflect the subsequent differences found in predicted Cmax and AUC0-inf.
Keywords: Convolution, Fixed-dose formulations, Sulfamethoxazole, Trimethoprim, Prediction error
© 2024 The Authors. Published by Innovare Academic Sciences Pvt Ltd. This is an open access article under the CC BY license (https://creativecommons.org/licenses/by/4.0/)
DOI: https://dx.doi.org/10.22159/ijap.2024v16i3.50409 Journal homepage: https://innovareacademics.in/journals/index.php/ijap
Sulfamethoxazole (SMZ) and Trimethoprim (TMP) inhibit bacterial synthesis of tetrahydrofolic acid, the physiologically active form of folic acid and a necessary cofactor in the synthesis of thymidine, purines, and bacterial DNA [1]. SMZ and TMP have low solubility/high permeability and according to Biopharmaceutical Classification System (BCS) both drugs are classified as Class II drugs [2]. Pharmacopeial dissolution test for SMZ/TMP tablets suggests USP Apparatus 2 (paddle) at 75 rpm with 900 ml of 0.1 N HCl at 37.0±0.5 °C. Considering these conditions, not less than 70% of the labeled amount of SMZ and TMP is dissolved in 60 min [3].
In vitro dissolution tests are carried out for several reasons: 1. To guide drug development and select formulations for further in vivo studies; 2. To evaluate comparability between products before and after changes in formulation and/or manufacturing; 3. To serve as surrogate for in vivo bioequivalence studies, with suitable in vitro/in vivo correlations (IVIVC) and/or use of the BCS approach; and 4. To ensure batch-to-batch consistency for product performance [4].
Some authors have studied fixed-dose combination formulations of SMZ/TMP (tablets) in 0.1 M HCl as dissolution medium and differences in release characteristics have been found [5]. The influence of dose and USP apparatus in the release performance of SMZ and TMP from commercial tablets has been reported and significant differences between reference and generic formulations have also been found. [6]. Given the in vitro release conditions in which all formulations were tested these differences could be of clinical implication.
On the other hand, and based on the superposition principle, convolution is a model-independent method for computing in vivo absorption and modeling in vitro-in vivo data. The in vivo pharmacokinetic parameters are predicted by using drug release profiles as input functions and pharmacokinetic parameters of reference formulation as a weighted function [7]. Significant advantages of this technique have been observed: 1. The procedure does not require an in vivo study as common pharmacokinetic parameters are available in the authentic literature and that can be used; 2. The procedure is independent of the product type; 3. It is not necessary to purchase sophisticated computer software since simple spreadsheet software (MS Excel) may be used; and 4. The technique is quite easy to automate so that when dissolution results are entered, one can see the outcome immediately [8].
The aim of this work was to predict the SMZ and TMP plasma concentrations-time profiles through in vitro data obtained with dissolution media of physiological relevance and pharmacokinetic published information. An adjustment in time scale of dissolution profiles and a convolution approach were used to estimate the in vivo behavior. The results may be important for the evaluation of fixed-dose combination formulations manufactured with SMZ and TMP.
Reagents and chemicals
SMZ/TMP fixed-dose reference tablets (coded as R formulation) (Bactrim® 400/80 mg respectively, Produtos Roche Químicos e Farmaceuticos S. A., Brasil) and two generic formulations (coded as A and B drug products) with same doses were tested. Mexican health authorities have established the fixed-dose combination formulation Bactrim® as the reference drug product [9]. HCl, sodium acetate, and phosphate monobasic and dibasic salts were acquired from J. T. Baker-Mexico (Xalostoc, Mexico). SMZ and TMP standard were acquired from Sigma-Aldrich Co. (St. Louis MO, USA).
In vitro release studies
Dissolution profiles of SMZ and TMP were obtained using an USP paddle apparatus at 100 rpm (Sotax AT7-Smart, Sotax AG, Switzerland). Vessels were filled with 900 ml of 0.1 N HCl, pH 4.5 acetate buffer, and pH 6.8 phosphate buffer at 37.0±0.5 °C as dissolution media. To document the in vitro release performance of each drug, dissolution samples were taken at 15-, 20-, 30-, 45-, and 60-min using fiberglass filters (n=12). Several analytical methods have been published to quantify SMZ and TMP [10-12] however, the amount of each dissolved drug was determined by a spectrophotometric derivative method previously developed by our research group [13]. Standard calibration curves in each dissolution medium were prepared (SMZ: 250-350 µg/ml and TMP: 10-50 µg/ml).
Dissolution data analysis
To compare dissolution profiles (generic drug product vs. reference formulation) by a model-independent approach the f2 similarity factor was calculated (f2 50-100 = similar dissolution profiles). Additionally, the percent of dissolved drug at 60 min (Q60), dissolution efficiency (DE), and mean dissolution time (MDT) were calculated and statistically compared (univariate one-way ANOVA followed by a Dunnett’s multiple comparison test). The values of DE and MDT were determined with the Excel add-in DDSolver program [14]. To compare dissolution profiles by a model-dependent approach dissolution data were adjusted with Higuchi, Korsmeyer-Peppas, Hixson-Crowell, and Weibull model. The model with the highest adjusted determination coefficient (R2adjusted) and lower Akaike Information Criterion (AIC) was chosen as the best-fit model [15].
Prediction of SMZ and TMP plasma levels
SMZ and TMP plasma concentrations were predicted using in vitro dissolution data, a simple numerical convolution method previously described [8, 16] and in vivo information of both drugs [17, 18]. SMZ and TMP plasma levels were simulated with the Inverse Release Function approach [19]. This methodology allows and adjustment in the time scale of the dissolution profile. Once the new time scale was calculated, predicted plasma concentrations were obtained, and data were adjusted with a non-compartment model using the Excel add-in PKSolver program [20]. Values of predicted Cmax and AUC0-inf were compared with in vivo data by the calculation of %PE ([observed parameter ˗ predicted parameter/observed parameter] × 100). The PE should not exceed 15% [21-23].
In vitro release studies
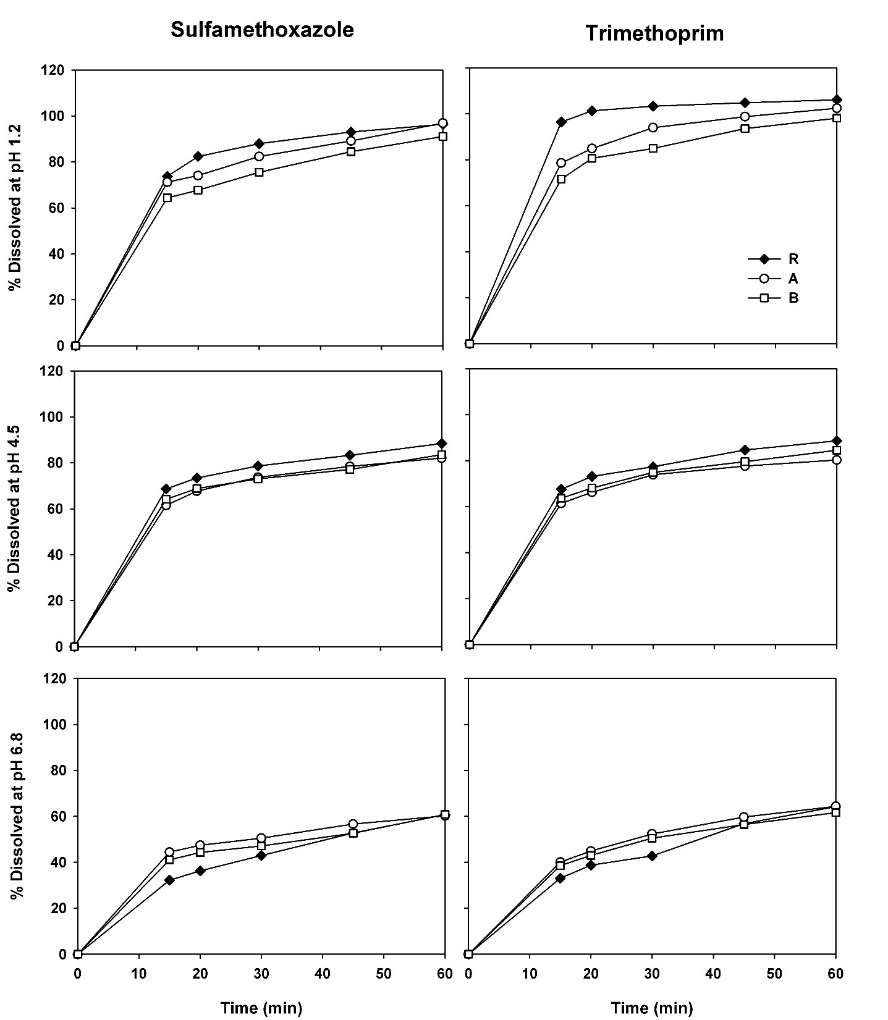
Dissolution profiles of SMZ and TMP of all used fixed-dose combination formulations are shown in fig. 1. A decrease in drug release proportional to decreasing acidity of the dissolution medium was observed. Considering the physicochemical characteristics of both drugs it was expected; however, in vitro release studies in dissolution media of physiological relevance are requested by international regulations, especially in media of pH 1.2, 4.5, and 6.8 [24]. Values of f2 similarity factors are shown in table 1. Dissolution profiles of both generic formulations and reference drug product were similar (f2 50-100) excepting for TMP at pH 1.2 (f2<50).

Fig. 1: Dissolution profiles of sulfamethoxazole/trimethoprim reference tablets (R) and generic formulations (A and B), results are given as mean, n=12
Table 1: Values of f2 similarity factor calculated to compare dissolution profiles
| pH | Sulfamethoxazole | Trimethoprim | ||
| A | B | A | B | |
| 1.2 | 66 | 50 | 47 | 39 |
| 4.5 | 63 | 65 | 60 | 69 |
| 6.8 | 55 | 63 | 62 | 67 |
Values of model-independent parameters Q60, DE, and MDT calculated to compare dissolution profiles (generic drug products vs. reference formulation) are shown in table 2. In almost all comparisons significant differences were found (*P<0.05).
Values of R2adjusted and AIC calculated to fit in vitro data to mathematical equations are shown in table 3. Considering results diversity, in vitro release of SMZ and TMP of all formulations, in all dissolution media can be mathematically explained by different equations. Only SMZ at pH 6.8 and TMP at pH 4.5 of reference and both generic formulations were explained by Weibull function.
Table 2: Model-independent parameters calculated to compare dissolution profiles
| Code | Sulfamethoxazole | Trimethoprim | ||||
| R | A | B | R | A | B | |
| pH 1.2 | ||||||
| Q60 (min) | 96.37±0.43 | 96.90±0.97 | 91.05±0.42* | 106.16±0.38 | 102.50±0.41* | 98.12±0.24* |
| DE (%) | 76.23±0.50 | 72.70±0.39* | 67.41±0.27* | 89.76±0.37 | 80.83±0.33* | 75.39±0.22* |
| MDT (min) | 12.54±0.30 | 14.96±0.29* | 15.57±0.12* | 9.27±0.08 | 12.68±0.19* | 13.90±0.14* |
| pH 4.5 | ||||||
| Q60 (min) | 88.43±0.31 | 82.09±0.58* | 83.59±0.37* | 88.72±0.47 | 80.37±0.87* | 84.55±0.46* |
| DE (%) | 68.88±0.40 | 63.94±0.41* | 64.25±0.24* | 68.82±0.29 | 63.40±0.55* | 65.22±0.25* |
| MDT (min) | 13.26±0.24 | 13.26±0.19 | 13.88±0.11 | 13.45±0.16 | 12.65±0.17* | 13.71±0.09* |
| pH 6.8 | ||||||
| Q60 (min) | 60.72±0.42 | 60.17±0.22 | 60.81±0.15 | 64.18±0.47 | 64.32±0.44 | 61.61±0.21* |
| DE (%) | 39.62±0.14 | 45.53±0.13* | 42.95±0.08* | 41.49±0.36 | 46.15±0.23* | 44.12±0.14* |
| MDT (min) | 20.83±0.35 | 14.60±0.12* | 17.62±0.12* | 21.19±0.44 | 16.94±0.25* | 17.03±0.12* |
Results are given as mean±SEM; n=12, *P<0.05; Q60: dissolved drug at 60 min; DE: dissolution efficiency; MDT: mean dissolution time. Reference tablets (R) and generic formulations (A and B).
Table 3: Adjusted determination coefficient and akaike information criterion (R2adjusted/AIC) calculated to choose the best-fit model
| Code | Sulfamethoxazole | Trimethoprim | ||||
| R | A | B | R | A | B | |
| pH 1.2 | ||||||
| Higuchi | -2.33/36.32 | -0.54/34.00 | 0.17/32.04 | -42.07/40.95 | -1.76/36.59 | -0.69/34.96 |
| Korsmeyer-Peppas | 0.87/19.57 | 0.97/12.94 | 0.98/11.22 | - | 0.92/18.14 | 0.95/15.69 |
| Hixson-Crowell | 0.36/27.95 | 0.24/30.18 | 0.15/32.07 | -11.29/34.70 | 0.76/23.02 | 0.62/27.41 |
| Weibull | 0.96/11.43 | 0.95/16.70 | 0.98/10.73 | - | 0.93/18.06 | 0.94/16.94 |
| pH 4.5 | ||||||
| Higuchi | -2.30/35.21 | -1.22/33.83 | -1.94/34.43 | -1.47/34.72 | 1.49/34.06 | -1.09/33.90 |
| Korsmeyer-Peppas | 0.97/10.65 | 0.96/13.79 | 0.97/11.41 | 0.97/11.71 | 0.93/15.81 | 0.98/8.44 |
| Hixson-Crowell | -1.36/33.67 | -1.90/35.09 | -2.79/35.68 | -0.87/33.28 | -2.37/35.47 | -1.46/34.67 |
| Weibull | 0.97/10.33 | 0.98/4.17 | 0.96/12.96 | 0.97/11.32 | 0.96/9.53 | 0.98/7.40 |
| pH 6.8 | ||||||
| Higuchi | 0.98/13.01 | -0.48/29.51 | 0.36/27.05 | 0.95/16.91 | 0.75/24.54 | 0.75/24.32 |
| Korsmeyer-Peppas | 0.98/12.42 | 0.98/6.49 | 0.93/15.92 | 0.94/18.23 | 0.97/13.75 | 0.98/10.32 |
| Hixson-Crowell | 0.55/29.41 | -4.11/35.75 | -1.78/34.50 | 0.65/29.11 | -0.32/33.22 | -0.45/33.25 |
| Weibull | 0.99/9.87 | 0.98/5.48 | 0.95/13.22 | 0.93/18.11 | 0.97/12.75 | 0.98/7.37 |
Results are given as mean, n=12. Reference tablets (R) and generic formulations (A and B).
Prediction of SMZ and TMP plasma levels
Considering in vitro release data of SMZ and TMP obtained with the USP paddle apparatus and dissolution media of physiological relevance (pH 1.2–6.8) as well as pharmacokinetic information, previously published simulated plasma profiles were calculated and pharmacokinetic parameters Cmax and AUC0-inf were predicted. Results were compared with real pharmacokinetic data and PE values were calculated. Values are shown in table 4.
Table 4: Prediction error for Cmax and AUC0-inf calculated with simulated SMZ and TMP plasma concentrations and published in vivo data
| Sulfamethoxazole | Trimethoprim | |||||
| R | A | B | R | A | B | |
| pH 1.2 | ||||||
| Cmax (µg/ml) | -1.62 | -0.55 | 1.63 | 1.56 | 19.75 | 22.61 |
| AUC0-inf (µgh/ml) | -8.42 | -8.11 | -0.90 | 13.42 | 29.56 | 32.11 |
| pH 4.5 | ||||||
| Cmax (µg/ml) | 0.19 | 3.33 | 2.12 | 23.73 | 26.10 | 24.59 |
| AUC0-inf (µgh/ml) | 1.51 | 9.52 | 7.50 | 38.86 | 45.13 | 42.48 |
| pH 6.8 | ||||||
| Cmax (µg/ml) | 24.85 | 24.88 | 24.38 | 38.67 | 38.38 | 40.66 |
| AUC0-inf (µgh/ml) | 34.59 | 34.74 | 34.19 | 57.28 | 57.08 | 58.90 |
Reference tablets (R) and generic formulations (A and B).
PE<15% for Cmax and AUC0-inf were achieved with SMZ of all used drug products at pH 1.2 and 4.5 as well as with TMP only from reference formulation at pH 1.2. In the remaining conditions, PE>15% were found. Apparently, of the used conditions in the present work, the USP paddle apparatus and dissolution media of pH 1.2 was the best option to predict the in vivo performance of SMZ and TMP given that PE values for Cmax and AUC0-inf of reference formulation showed PE values<15%. It is important to note that differences in TMP dissolution profiles of generic formulations at pH 1.2 (f2<50) reflect the subsequent differences found in the prediction of both pharmacokinetic parameters (PE>15%).
The IVIVC is the establishment of a relationship between a biological property, or a parameter derived from a biological property produced by a dosage form, and physicochemical characteristics of same dosage form. Typically, the parameter derived from the biological property is AUC0-inf or Cmax, while the physicochemical property is the in vitro dissolution profile [25]. For class II drugs an IVIVC is expected if in vitro dissolution rate is like in vivo dissolution rate, unless dose is very high [26]. Some authors have been discussed the use of IVIVC to optimize the development of generic drug formulations [27, 28]. Others have established that to guide fixed-dose combination formulations designs, biorelevant in vitro dissolution testing coupled with pharmacokinetic modeling and simulations can provide a quantitative assessment on probability of success for bioequivalence [29].
About, virtual bioequivalence is a pharmaceutical concept that uses computational modelling and simulation techniques to assess the equivalence of generic drugs to their reference or innovator counterparts [30]. The so-called in vitro-in silico-in vivo approach has been widely adopted by generic and brand companies to evaluate the impact of formulation, manufacturing process, and manufacturing site changes on bioavailability and bioequivalence. Some authors have demonstrated that this strategy has the potential to be the third common approach to assess the likelihood of bioequivalence between test and reference products via a combination of in silico tools with appropriate dissolutions testing [31].
This is the first work that simulate SMZ and TMP plasma concentrations from fixed-dose combination formulations using the USP paddle apparatus, media of physiological relevance, published pharmacokinetic information, and a convolution approach. PE values of SMZ for all drug products were found within international criteria (˂15%) only at pH 1.2 and 4.5, while for TMP these results were found only for reference formulation at pH 1.2. It is important to carry out more research in this regard since fixed-dose generic formulations should estimate pharmacokinetic parameters within the established limits for the two drugs involved and not only for one of them. These kind of drug products must adequately release both drugs to achieve this goal.
Results suggest that dissolution conditions to test the in vitro release performance of SMZ/TMP tablets (USP paddle apparatus and 0.1 N HCl as dissolution medium) may be a suitable option to predict Cmax and AUC0-inf of generic formulations since differences in dissolution profiles found for TMP match with differences in simulated pharmacokinetic parameters. It is important to carry out bioavailability studies with the used fixed-dose combination formulations to corroborate the obtained results.
Authors thanks to QFB Arturo Ríos López for his technical assistance.
Nil
JM Ríos-Rodríguez and JR Medina-López conceived and planned the experiments. JM Ríos-Rodríguez and FD Reyes-Ramírez carried out the experiments. JC Ruiz-Segura and JR Medina-López planned and carried out the simulations. FD Reyes-Ramírez contributed to the sample preparation. JC Ruiz-Segura and JR Medina-López contributed to the interpretation of the results. JM Ríos-Rodríguez took the lead in writing the manuscript. All authors provided critical feedback and helped shape the research, analysis and manuscript.
The authors declare no conflict of interest.
Masters PA, O’Bryan TA, Zurlo J, Miller DQ, Joshi N. Trimethoprim-sulfamethoxazole revisited. Arch Intern Med. 2003;163(4):402-10. doi: 10.1001/archinte.163.4.402, PMID 12588198.
Lindenberg M, Kopp S, Dressman JB. Classification of orally administered drugs on the World Health Organization model list of essential medicines according to the biopharmaceutics classification system. Eur J Pharm Biopharm. 2004;58(2):265-78. doi: 10.1016/j.ejpb.2004.03.001, PMID 15296954.
United States Pharmacopeia. USP 44. NF 39. The United States of America Pharmacopeial Convention. Rockville, MD: Inc; 2021.
Uddin R, Saffoon N, Sutradhar B. Dissolution and dissolution apparatus: a review. Int J Curr Biomed Pharm Res. 2011;1(4):201-7.
Fuerte V, Maldonado M, Rees GD. The multicomponent automated dissolution system: an alternative in the development and pharmaceutical analysis of generic polydrugs. J Pharm Biomed Anal. 1999;21(2):267-72. doi: 10.1016/s0731-7085(99)00122-3, PMID 10703981.
Medina R, Miranda M, Hurtado M, Dominguez Ramirez AM, Reyes O, Ruiz Segura JC. In vitro evaluation of trimethoprim and sulfamethoxazole from fixed-dose combination generic drugs using spectrophotometry: comparison of flow-through cell and USP paddle methods. Trop J Pharm Res. 2015;14(11):2061-9. doi: 10.4314/tjpr.v14i11.16.
Hassan HA, Charoo NA, Ali AA, Alkhatem SS. Establishment of a bioequivalence-indicating dissolution specification for candesartan cilexetil tablets using a convolution model. Dissolut Technol. 2015;22(1):36-43. doi: 10.14227/DT220115P36.
Rastogi V, Yadav P, Lal N, Rastogi P, Singh BK, Verma N. Mathematical prediction of pharmacokinetic parameters-an in vitro approach for investigating pharmaceutical products for IVIVC. Future J Pharm Sci. 2018;4(2):175-84. doi: 10.1016/j.fjps.2018.03.001.
Listado actualizado de Medicamentos de Referencia 2023/01. Cofepris. Mexico. Available from: https://www.gob.mx/cms/uploads/attachment/file/869172/lMR_2023-02_actualizaci_n_18_octubre_2023.pdf. [Last accessed on 18 Jan 2024]
Calaça GN, Pessoa CA, Wohnrath K, Nagata N. Simultaneous determination of sulfamethoxazole and trimethoprim in pharmaceutical formulations by square wave voltammetry. Int J Pharm Pharm Sci. 2014;6(9):438-42.
Swetha G, Kumar KP, Sirisha K. New validated method development for the estimation of sulfamethoxazole and trimethoprim in bulk form by visible spectroscopy. Int J Pharm Pharm Sci. 2018;10(12):50-7. doi: 10.22159/ijpps.2018v10i12.26650.
Muchlisyam M, Tr P, RS. Determination of simultaneous sulfamethoxazole and trimethoprim by ultraviolet spectrophotometry with mean centering of ratio spectra. Asian J Pharm Clin Res. 2018;11(13). doi: 10.22159/ajpcr.2018.v11s1.26569.
Medina JR, Miranda M, Hurtado M, Dominguez Ramírez AM, Ruiz Segura JC. Simultaneous determination of trimethoprim and sulfamethoxazole in immediate-release oral dosage forms by first-order derivative spectroscopy: application to dissolution studies. Int J Pharm Pharm Sci. 2013;5(4):505-10.
Zhang Y, Huo M, Zhou J, Zou A, Li W, Yao C. DDSolver: an add-in program for modeling and comparison of drug dissolution profiles. AAPS J. 2010;12(3):263-71. doi: 10.1208/s12248-010-9185-1, PMID 20373062.
Yuksel N, Kanik AE, Baykara T. Comparison of in vitro dissolution profiles by ANOVA-based, model-dependent and -independent methods. Int J Pharm. 2000;209(1-2):57-67. doi: 10.1016/s0378-5173(00)00554-8, PMID 11084246.
Hassan HA, Charoo NA, Ali AA, Alkhatem SS. Establishment of a bioequivalence indicating dissolution specification for candesartan cilexetil tablets using a convolution model. Dissolution Technol. 2015;22(1):36-43. doi: 10.14227/DT220115P36.
Amini H, Ahmadiani A. Rapid and simultaneous determination of sulfamethoxazole and trimethoprim in human plasma by high-performance liquid chromatography. J Pharm Biomed Anal. 2007;43(3):1146-50. doi: 10.1016/j.jpba.2006.09.004, PMID 17034977.
Stevens RC, Rodman JH. Pharmacokinetics of antimicrobial therapy. Semin Pediatr Infect Dis. 1998;9(4):273-80. doi: 10.1016/S1045-1870(98)80016-2.
Cardot JM, Lukas JC, Muniz P. Time scaling for in vitro-in vivo correlation: the inverse release function (IRF) approach. AAPS J. 2018;20(6):95. doi: 10.1208/s12248-018-0250-5, PMID 30159772.
Zhang Y, Huo M, Zhou J, Xie S. PKSolver: an add-in program for pharmacokinetic and pharmacodynamic data analysis in Microsoft Excel. Comput Methods Programs Biomed. 2010;99(3):306-14. doi: 10.1016/j.cmpb.2010.01.007. PMID 20176408.
Food and Drug Administration. Guidance for Industry: extended release oral dosage forms: development, evaluation, and application of in vitro/in vivo correlations; 1997. Available from: https://www.fda.gov/media/70939/download [Last accessed on 18 Jan 2024]
Bendas ER. Two different approaches for the prediction of in vivo plasma concentration-time profile from in vitro release data of once daily formulations of diltiazem hydrochloride. Arch Pharm Res. 2009;32(9):1317-29. doi: 10.1007/s12272-009-1918-2, PMID 19784589.
El-Masry SM, Helmy SA. Hydrogel-based matrices for controlled drug delivery of etamsylate: prediction of in vivo plasma profiles. Saudi Pharm J. 2020;28(12):1704-18. doi: 10.1016/j.jsps.2020.10.016, PMID 33424262.
Food and Drug Administration. Guidance for Industry: waiver on in vivo bioavailability and bioequivalence studies for immediate-release solid oral dosage forms based on a biopharmaceutics classification system; 2017. Available from: https://collections.nlm.nih.gov/catalog/nlm:nlmuid-101720038-pdf. [Last accessed on 18 Jan 2024]
Demirturk E, Oner L. In vitro-in vivo correlations. Fabad J Pharm Sci. 2003;28:215-24.
Nainar S, Rajiah K, Angamuthu S, Prabakaran D, Kasibhatta R. Biopharmaceutical classification system in in vitro/in vivo correlation: concept and development strategies in drug delivery. Trop J Pharm Res. 2012;11(2):319-29. doi: 10.4314/tjpr.v11i2.20.
Cardot JM, Garrait G, Beyssac E. Use of IVIVC to optimize generic development. Dissolut Technol. 2015;22(2):44-8. doi: 10.14227/DT220215P44.
Marroum P. Role of in vitro-in vivo correlations in drug development. Dissolut Technol. 2015;22(2):50-6. doi: 10.14227/DT220215P50.
Mitra A, Wu Y. Challenges and opportunities in achieving bioequivalence for fixed-dose combination products. AAPS J. 2012;14(3):646-55. doi: 10.1208/s12248-012-9378-x, PMID 22684403.
Sowmya C, Abrar Ahmed H, Suriya Prakaash KK. Virtual bioequivalence in pharmaceuticals: current status and future prospects. Int J App Pharm. 2023;15(5):1-9. doi: 10.22159/ijap.2023v15i5.48589.
Xu J, Zhang L, Shao X. Applications of bio-predictive dissolution tools for the development of solid oral dosage forms: current industry experience. Drug Dev Ind Pharm. 2022;48(3):79-97. doi: 10.1080/03639045.2022.2098315, PMID 35786119.