
Department of Pharmaceutics, SRM College of Pharmacy, SRM Institute of Science and Technology, Kattankulathur, Tamil Nadu, India
*Corresponding author: T. S. Saraswathi; *Email: saraswas1@srmist.edu.in
Received: 26 Jan 2024, Revised and Accepted: 06 May 2024
ABSTRACT
Objective: Terbinafine is a poorly water-soluble and highly permeable allylamine antifungal (BCS-II) drug. In this study, we looked at the possibility of using ethosomes as vesicular lipid nanocarriers to enhance the transdermal delivery of terbinafine.
Methods: Using a 32 full factorial design, the ethosomal formulation with different soya lecithin and cholesterol concentrations was improved and optimized. The influence of independent variables, namely soya lecithin and cholesterol concentration in ethosomes was determined by estimating dependent variable including the particle size, polydispersity index, zeta potential, entrapment efficiency, and in vitro drug release. To improve the residence time of ethosomes on the topical application, the ethosomes were incorporated into the carbopol gel. 1% w/v of Carbopol 934 P gel-imgded Terbinafine ethosomes were used to study medication release and skin interactions.
Results: Optimized ratios of soya lecithin and cholestrol was used to prepare vesicles. Formulation had a particle size of 1207.39±2.71 nm, entrapment efficiency of 94.46±0.47%, and in vitro diffusion of 51.27±0.16%. It was found that the growth of fungus Aspergillus niger and Candida albicans were inhibited by Ethosomal Gel. However, ethosomal gel had more inhibitory activity on Apergillus niger compared to positive control.
Conclusion: The current study suggests that ethosomal vesicles may improve transdermal dispersion without causing skin irritation. Terbinafine-loaded ethosomes have the potential to be one of the most important transdermal application techniques for the treatment of fungi-related disorders.
Keywords: Ethosomes, Terbinafine hydrochloride, Optimization, Anti-fungal, Transdermal enhancement
© 2024 The Authors. Published by Innovare Academic Sciences Pvt Ltd. This is an open access article under the CC BY license (https://creativecommons.org/licenses/by/4.0/)
DOI: https://dx.doi.org/10.22159/ijap.2024v16i4.50460 Journal homepage: https://innovareacademics.in/journals/index.php/ijap
Onychomycosis, specifically DLSO (Distal Subungual Onychomycosis), is the most common nail disease worldwide, causing nail discoloration, thickening, and onycholysis, and often affecting the adjacent skin. Risk factors include persistent nail trauma, psoriasis, diabetes, poor circulation, HIV, immune suppression, and smoking [1]. Environmental factors like humid environments, occlusive footwear, and genetic predisposition can be a triggering factor for the disease, and recurrence after treatment is common. Onychomycosis is clinically classified into different types. Treatment involves the use of antifungal medications, either topical or oral, depending on the severity and type of infection. However, antifungal medications can have side effects, and it's important to follow prescribed dosage and duration of treatment. In some cases, a combination of topical and oral antifungal medications may be needed for effective treatment [2, 3].
Oral and topical medications are both effective in treating fungus nail infections. Microscopy and culture have shown that the main objective of treatment is to completely get rid of the organism. Almost all the well-conducted studies define this as the primary endpoint [4]. Clinical cure and improvement are secondary objectives that are measured using a rigid scoring system based on clinical abnormalities in the nail apparatus. Side effects are unavoidable with all dosage forms. To avoid side effects, a transdermal drug delivery system can be used [5]. This can also have direct action on the affected area and also helps in overcoming the side effects caused by conventional methods.
Transdermal medication delivery has been widely studied for its potential benefits, including reduced adverse effects and avoidance of first-pass hepatic clearance and intestinal breakdown. However, the epidermis acts as a barrier, limiting the transport of most molecules through the skin. Various methods to enhance skin permeation have been proposed, such as penetration enhancers, vesicles, iontophoresis, and microneedles [6]. Ethosomes, which are soft lipid vesicles made primarily of phospholipids, alcohol, and water, have shown promise in transdermal drug delivery due to their high flexibility and capacity to pass through the skin. Phospholipids with different compositions are used in varying amounts in ethosomal formulations. Ethosomes offer a potential solution to improve skin permeability and enhance transdermal drug delivery [7, 8].
Ethosomes are a novel and non-invasive drug transport system that allows drugs to penetrate the epidermal layers and reach systemic circulation. They are suitable for drugs with low membrane penetration and can incorporate hydrophilic, lipophilic, or amphiphilic drugs as shown in fig. 1. Ethosomes are soft vesicles made of phospholipids, water, and 20-45% ethanol and can be unilamellar or multilamellar [9, 10]. They act as a reservoir for drug delivery and provide sustained release. Ethosomes containing more ethanol have increased topical drug delivery, as ethanol is an effective penetration enhancer. Ethosomes are efficient transdermal and dermal drug delivery systems that allow drugs to enter deep skin layers or the systemic circulation. Ethosomes can improve drug delivery in both non-occlusive and occlusive conditions. Ethosomes have shown promise for the delivery of various proteins and peptides, making them a preferable option for delivery of these molecules [11, 12].
This is almost universally regarded as the main endpoint in adequately conducted studies [13]. Clinical cure and improvement are secondary objectives that are measured using a rigid scoring system based on clinical abnormalities in the nail apparatus. This therapy was time-consuming and costly, but it had a 90% success rate. As a result, in addition to oral administration, an alternative delivery method for Terbinafine that is effective against a variety of fungal illnesses is required. Transdermal application is one of the most popular methods for overcoming the disadvantages of oral delivery and delivering both systemic and topical benefits [14]. Except for lipophilic medications with a molecular weight of less than 500 Da, the stratum corneum serves as the main barrier in the transdermal route for drug distribution through the skin.
The skin's lipid bilayer can be disrupted by phospholipids and Ethosomes' high alcohol concentrations, which can make drugs more permeable to the stratum corneum barrier. Ethosomes' unique ability to entrap weakly water-soluble medicines is employed to increase skin penetration. The goal of the current work was to entrap Terbinafine in vesicles to localise its distribution, enhance its solubility and availability at the application site for a systemic effect, and lower the dose and GI side effects. The idea is that encapsulating Terbinafine in vesicles could be important for transdermal delivery of medication against fungi while simultaneously getting around oral delivery restrictions and reducing skin rashes [15, 16].

Fig. 1: Structure of ethosomes
In the current work, we have used a cold method procedure and a 32-factorial design to optimise the various excipient concentrations in Terbinafine ethosomes. Soy lecithin and cholesterol concentrations were optimised using a 32-factorial design to establish transdermal efficacy, and optimised Terbinafine ethosomes were integrated into the gel base and their characteristics were examined. Additionally, the stability, permeability, and in vivo permeability of terbinafine ethosomal gel were examined.
Materials
Terbinafine was purchased from Max Med laboratories Pvt ltd. in Tamilnadu, India. SRL Chemicals provides soya lecithin, cholesterol, propylene glycol, carbopol 934P, and triethanolamine. Methanol was provided by Advent Chem Bio Pvt. ltd., and ethanol was provided by Changshu Hongsheng Fine Chemical. All of the other chemicals used in this study are of analytical standard.
Method of preparation
Several formulations with varying compositions were created and used to optimise Terbinafine-loaded Ethosomes. The ethosomes was prepared using the cold method, followed by the ultrasonication method, as shown in fig. 2. Calculated amount of Soya lecithin, Cholesterol and Terbinafine was added to 10 ml ethanol in a covered vessel and was stirred using magnetic stirrer at 100-150 rpm at room temperature until all components dissolve and merge together to form a solution. At about 30 °C, 5 ml of Propylene glycol was added and after some time water was added dropwise for about 30-40 min to obtain a milky white suspension. Size reduction was done by using ultrasonication for 20 min [17, 18].

Fig. 2: Cold method preparation of ethosome
Optimization and design of experiments
Terbinafine-loaded Ethosomes were created using design-expert 12 software and a 32-full factorial design. In this design, the best experimental performance with the fewest recurrences among nine experimental runs was determined by combining three dependent variables-EE% (Entrapment Efficiency) (Y1), Particle size (Y2) and in vitro diffusion (Y3)-with two independent variables-Soy lecithin (X1) and Cholesterol (X2).
Characterization of a drug-loaded ethosomal formulation
Entrapment efficiency
Using the ultracentrifugation method, the entrapment efficiency of Terbinafine ethosomes suspension kept overnight at 4 °C was evaluated. To Eppendorf tubes containing PBS (Phosphate Buffer Solution), pH 7.4, the ethosomes formulation containing 1 ml of terbinafine was added. Samples were centrifuged for two hours at 15,000 rpm with a fixed-angle rotor. After being separated, the top clear layer was diluted with PBS pH 7.4 and examined with a UV-Visible spectrophotometer to determine absorbance at 223 nm.
Entrapment efficiency % = 
Particle size
The laser diffraction method and a particle size analyser (DTS Version 5.03, Malvern) were used to determine the average diameter of sonicated vesicles.
SEM (Scanning Electron Microscopy)
The Ethosome vesicles were viewed through Quanta FEG. Images were captured on a scanning electron microscope after the materials were fully dried. (Thermoscientific Apreo S)
TEM (Transmission electron microscopy)
Terbinafine 1% aqueous solution was used to stain the samples negatively. Ethosomal solutions were dried on a tiny carbon-coated grid before staining. The excess solution was blotted away. After drying, the specimen was seen under a microscope at 10-100-fold enlargement (JEOL Japan's JEM-2100 Plus).
Zeta potential
The repulsion or attraction of charges between particles is quantified by the zeta potential. A Zeta potential analyzer (DTS Version 5.03, Malvern) was used to find the zeta potential at 25 °C. The mean zeta potential and electrophoretic mobility values were acquired directly from the measurement.
DSC (Differential Scanning Calorimetry)
Using a differential scanning calorimeter, terbinafine differential scanning calorimetric studies were conducted (Perkin Elmer). In the sample and control compartments of the furnace, 10 mg of the sample was added to an aluminium pan. Samples were heated to 400 °C while being continuously flushed with nitrogen gas at a rate of 5 °C/min and flow rate of 50 ml/min.
XRD (X-ray diffraction study)
An X-ray diffraction was used to conduct XRD study of terbinafine formulation. The samples were kept in a sample container, and the powder X-ray diffraction pattern was captured using an X-ray tube and a source of two 10-90° 2.2 KW copper anodes. The sample was checked with a lynx-eyed detector before being filtered with a Ni filter (Bruker D8Advance).
In vitro release study
In vitro drug release study was carried out using Dialysis bag diffusion technique (110 bag with a molecular weight cut-off of 3500 Da). The dialysis bag included a tightly sealed suspension of 2 ml (10 mg TH) customised ethosomes in 250 ml of phosphate buffer pH 7.4. On a hot plate digital magnetic stirrer, the entire diffusion cell setup was kept at 37 °C±0.5 °C with constant stirring at 100 rpm. Precise 5 ml aliquots of the samples were taken out of the media at intervals of 1h, 2h, 3h, and 8h and replaced with an equivalent volume of fresh medium. The absorbance of all the samples were measured by using UV Spectrophotometer at 223 nm and the drug release was calculated with the help of a calibration curve [19, 20].
Preparation of ethosomal gel
Three distinct batches of carbapol 940; 0.25g, 0.50g, and 0.75g, were placed in a beaker with 50 ml of distilled water. Solution was stirred using a magnetic stirrer for 2 h. 1 drop of triethanolamine was added to the above solution and made up to 100 ml with purified water; further, the solution was continuously stirred using magnetic stirrer in order to ensure that it is free of bubbles. The ethosomal formulation with high entrapment effectiveness and decreased vesicular size was centrifuged for 30 min at 4 °C at 12000 rpm to separate the ethosomal vesicles. The ethosomal sediment containing only the entrapped drug was collected and dispersed in the gel. Carbapol gel base was gently mixed to produce a total medication corresponding to 1%w/w Terbinafine [21, 22].
Characterization of formulation of ethosomal gel
Table 13 shows the results for gelling time, gelling capacity, and viscosity. For gelling ability, the grade++ was superior. Finally, it was decided that the ideal research vehicle would be 0.2 percent Carbopol 934 P/0.6 % HPMC.
In vitro permeation studies
Franz diffusion cell was used to conduct in vitro skin permeation studies. In this case, the dialysis membrane (in order to mimic the skin) was kept in between the donor compartment and the receptor compartment. Further 1g of the gel (equivalent to 2 mg of medication) was added to the dialysis membrane. Phosphate buffer 7.4 was used as a medium and magnetic stirrer was used in order to ensure the temperature maintenance and uniform distribution of the drug. Around 1 ml of the samples were collected from the receptor compartment at 0.5h, 1h, 2h, 3h, 4h, 5h, 6h, 7h and 8h, which was then replaced with equal volumes of medium [23, 24].
Total amount of the drug permeated through the dialysis membrane was calculated in mg/cm2. The permeability coefficient was calculated by dividing the steady-state drug flux (mg/h/cm2) by the slope of the linear part of the curve.
Antifungal activity
Preparation of potato dextrose agar medium
The potato dextrose agar medium was prepared by dissolving 20 gm of potato infusion, 2 gm of dextrose and 1.5 gm of agar in 100 ml of distilled water. The dissolved medium was autoclaved at 15 lbs pressure at 121 °C for 15 min. The autoclaved medium was mixed well and poured onto 100 mm petri plates (25-30 ml/plate) while still molten [25].
Petri plates containing 20 ml potato dextrose agar medium was seeded with 72 hr culture of fungal strain (Candida albicans and Aspergillus niger). Agar medium was drilled with holes and different concentration of gel (50, 100, 250 and 500 μg/ml) was added. The plates were then incubated at 28 °C for 72 h. The anti-fungal activity was assayed by measuring the diameter of the inhibition zone formed around the wells. Amphotericin B was used as a positive control. The values were calculated using Graph Pad Prism 6.0 software (USA) [26, 27].
Material selection for the ethosomal formulation
The amounts of cholesterol and soy lecithin, which are essential building blocks for ethosomal vesicles, can affect particle size and entrapment effectiveness. Phospholipids are the primary components of the ethosomal membrane and contribute to the vesicle's stability and fluidity. Soybean phosphatidylcholine is a common ingredient. Soy lecithin can operate as a surfactant, lowering vesicle surface tension and enhancing their capacity to fuse with cell membranes, improving medication absorption. Soy lecithin has been extensively investigated in ethosomes and has shown promising results in improving drug delivery, particularly for topical and transdermal applications [28, 29].
Cholesterol is a type of lipid that can be used as a component of ethosomes, which are lipid-based vesicles used for drug delivery. Cholesterol is a key component of cell membranes and can improve the stability and integrity of ethosomes. Cholesterol can help to modulate the fluidity of the vesicle membrane, which can influence drug release and absorption. It can also enhance the stability of the vesicles. Surfactants can be used to stabilize the vesicles and improve their size distribution. Examples of surfactants commonly used in ethosomal formulations include Tween 80, Span 80, and sodium cholate [30, 31].
Overall, the selection of materials for ethosomal formulation depends on the specific application and properties of the active substance being delivered. A detailed understanding of the materials' physicochemical properties is required to assure the ethosomal carrier system's stability and efficiency.
Analysis of factorial design
To prepare an ethosomes suspension, extensive literature research and formulation trials are required. The quantity, concentration, and amount of soy lecithin used can all change the characteristics of the ethosomes formed, therefore, these are all regarded as essential elements in creating a stable and effective ethosomal system. Using a 32-factorial experimental approach, the physicochemical characteristics of ethosomes loaded with terbinafine were ascertained.
Design of experiments
The following statistical model, which included interactive and polynomial terms, was used to evaluate the responses:
Y= β0+β1 A+β2 A+β3 AB+β4 A2+β5 B2+β6 AB+β7 AB2
In this scenario, Y is the dependent variable, ß0 represents the arithmetic mean response across the nine runs, and ß1 represents the computed coefficient for factor A. The primary effects of the amounts of A and B demonstrate the average result when the components were altered one at a time from low to high values. The answer changes when two factors are adjusted at once, as shown by the interaction terms (AB). The results demonstrate a considerable influence of the independent factors on particle size and entrapment efficiency [32].
The 32 full factorial design offered 9 runs for two independent variables, soy lecithin and cholesterol, each at three different levels (high, medium, and low), in the experimental design. The results of the ANOVA are shown in tables 10, 11, and 12, and they show that each model was significant (p 0.05) overall. Non-significant terms (p>0.05) were removed from equations to simplify models, resulting in:
The relationship between the response model equation and particle size:
Y1= β0+β1 (A)+β2 (B)+β3 (AB)
Particle size (nm) =-182.85000 * (A)+197.78333 * (B)-254.87500 * (AB)
As a result, the model equation for %EE changed to:
Y2= = β0+β1 (A)+β2 (B)
Entrapment Efficiency = 77.14111-7.86500 * (A)+18.97000 * (B)
The following was the model equation that related the percent maximum drug release as a reaction at the eighth hour:
Y3= β0+β1 (A)+β2 (B)+β3 (AB)
% Drug Release Maximum at 8th hour =+49.16667-6.53000* (A)+4.56667*(B)
According to the model equation above, a positive sign for a factor denotes a positive correlation or synergistic interaction with the responses, whereas a negative sign for a factor denotes a negative correlation or antagonistic interaction with the answers.
Table 1: Factors that influence formulation design
| Factors | Coded values | Actual values (×10-2 M) |
| Cholesterol (A) | -1 | 1 |
| 0 | 2.5 | |
| 1 | 4 | |
| Soya lecithin (B) | -1 | 0.5 |
| 0 | 1.25 | |
| 1 | 2 |
Characterization of terbinafine ethosomal formulation
Particle size
The particle size and zeta potential of ethosomes were examined using a zeta sizer, and the results are displayed in table 2. All experimental trials had particle sizes that ranged from 706 nm to 1433 nm.
Composition of the 32-factorial terbinafine-loaded Ethosome
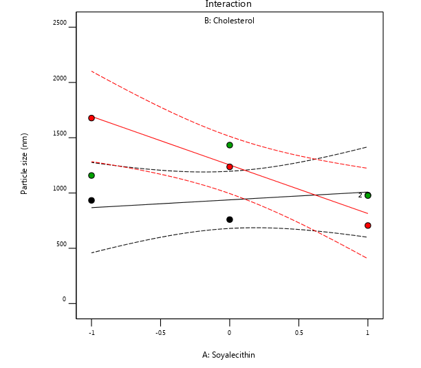
Response parameters based on the outcomes of the forecast profiler, the values for cholesterol and soy lecithin have been set at low 706.1 and high 1433.6, respectively. Cholesterol and soy lecithin are combined in a 2:1 ratio for the run that results in the lowest vesicle size. The interaction graph shows that the independent variables (A and B) interact strongly. In ANOVA table 3, the model's f-value of 5.619 suggests that it is significant. P-values for significant model variables are 0.0468 or below or less than 0.0500. The significance of the model term AB in this circumstance is therefore established, as well as the relationship between independent variables and the response (particle size) (fig. 3).
Entrapment efficiency
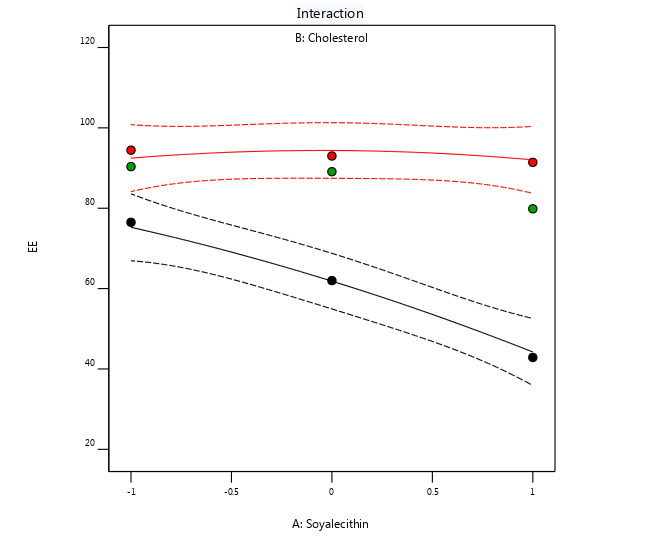
The formulations' entrapment effectiveness was assessed using the centrifuge technique. With an estimated 94.46% entrapment efficiency, batch NET 3 achieved the best performance. The low and high values for soy lecithin and cholesterol are 62 and 94.46, respectively.
Model f-value of 56.768 in ANOVA table 4 indicates that the model is significant. The fact that the p-value was 0.0037-less than 0.0500-shows the importance of the model's parameters. In this case, the model term B is essential. It was developed by predicting how individuals will react to low (-1) and high (+) concentrations of a component.
According to the interaction graph, the significant interactions between Span 60 (A) and Cholesterol (B) account for the major response disparities. When viewed as response contours (two elements at once), the contour lines represent lines of equal response (fig. 4).
In vitro drug release studies
Terbinafine release from the formulations was studied using a Franz diffusion cell at 37 °C, and the amount of the drug released was quantified using a UV spectrophotometer. The drug release studies were completed for every trial run. Soya lecithin and cholesterol were established at 35.41 and 68.94, respectively, based on the predicted profiler's results.
Table 2: Composition of the 32-factorial terbinafine-loaded Ethosome
| Formulations | Particle size (nm) (Y1) | Entrapment efficiency (Y2) | In vitro studies (at 8th h) (Y3) |
| NET1 | 933.4±0.23 | 76.5±0.23 | 68.94±0.26 |
| NET2 | 1158.8±0.14 | 90.37±0.14 | 54.31±0.14 |
| NET3 | 1678±0.31 | 94.46±0.43 | 51.27±0.16 |
| NET4 | 759.7±0.66 | 62±0.15 | 58.24±0.66 |
| NET5 | 1433.6±0.54 | 89.09±0.42 | 43.21±0.28 |
| NET6 | 1236.7±0.48 | 93±0.28 | 52.78±0.21 |
| NET7 | 981±0.36 | 42.86±0.43 | 35.41±0.34 |
| NET8 | 977±0.87 | 79.85±0.16 | 46.21±0.36 |
| NET9 | 706.1±0.94 | 91.43±0.18 | 54.72±0.22 |
Data are expressed as mean±SD (n=3)
Table 3: ANOVA results for particle size
| Source | Sum of | df | mean | F-value | p-value |
| Particle size (nm) (2FI) | |||||
| Model | 6.131E+05 | 3 | 231719.8 | 5.61918 | 0.0468* |
| A-Soyalecithin | 2.309E+05 | 1 | 200604.7 | 5.59492 | 0.0643 |
| B-Cholesterol | 1.494E+05 | 1 | 234709.5 | 4.10104 | 0.0998 |
| AB | 2.598E+05 | 1 | 259845.1 | 2.59801 | 0.0444 |
| *Significance | |||||
| R2 Value – 0.7 |

Fig. 3: Effect of factor A and B on particle size
Table 4: ANOVA results for entrapment efficiency
| Source | Sum of | df | Mean | F-value | p-value |
| EE (Linear) | |||||
| Model | 2389.315 | 5 | 477.80 | 56.76816 | 0.0037* |
| A-Soyalecithin | 371.1494 | 1 | 371.1494 | 43.61897 | 0.0071 |
| B-Cholesterol | 1585.165 | 1 | 1585.165 | 186.26734 | 0.0009 |
| * Significance | |||||
| R2 Value – 0.98 |

Fig. 4: Effect of factor A and B on entrapment efficiency
The ANOVA table 5 demonstrated that the model was significant and that the model terms were significant with a model f-value of 7.11 and a p-value of 0.0297. The interaction graph showed that the AB interaction was a major model term in particular. The three factors were visualised simultaneously by the response contours, which were represented by the contour lines (fig. 5).
Table 5: ANOVA results of percentage drug release at 8th h
| Source | Sum of | df | Mean | F-value | p-value |
| % DR Max at 8th h (Linear) | |||||
| Model | 587.26 | 2 | 195.75 | 7.11033 | 0.0297* |
| A-Soyalecithin | 242.954 | 1 | 242.95 | 8.83226 | 0.0311 |
| B-Cholesterol | 2.43 | 1 | 2.43 | 1.688406 | 0.7782 |
| *Significance | |||||
| R2 Value – 0.81 |

Fig. 5: Effect of factor A and B on in vitro drug release
Outcome of soya lecithin and cholesterol
Effect of soya lecithin concentration on entrapment efficiency and particle size
The particle size and entrapment effectiveness of a product can be greatly affected by soy lecithin. Soy lecithin functions as an emulsifying agent, lowering the surface tension between immiscible phases to enhance the stability and homogeneity of emulsions and dispersions. Soy lecithin can influence the particle size by affecting the rate of nucleation and growth of particles during production. Higher concentrations of soy lecithin can lead to smaller particle sizes due to increased surface activity and better stabilization of the emulsion or dispersion. This is seen when soy lecithin content is changed from level 1 to level 0. Soy lecithin can also alter entrapment effectiveness or the proportion of active chemicals that are contained within the particle. The presence of soy lecithin can create a lipid bilayer around the active ingredient, which can improve the solubility and stability of the active ingredient and prevent its degradation or release during storage or administration [33].
However, the effect of soy lecithin on particle size and entrapment efficiency can be influenced by other factors such as the type and concentration of active ingredient, the manufacturing process, and the formulation conditions. Therefore, it is important to carefully consider the specific application and requirements of the product when using soy lecithin as an emulsifying agent [34].
Influence of cholesterol levels on particle size and entrapment effectiveness
When creating ethosomes, which are lipid-based nanoparticles used for drug delivery, cholesterol is frequently used as a structural component. The efficiency of ethosome entrapment and the particle size are both influenced by the amount of cholesterol in the formulation [35].
The size and stability of the particles may be impacted by cholesterol's effects on the ethosomes lipid bilayer's packing and fluidity. Due to the lipid bilayer's greater stiffness, higher cholesterol concentrations can cause a reduction in particle size. The efficacy of drug increased as cholesterol concentration was raised from-1 to 0 levels. Highcholesterol levels make it difficult for a gel to go into a liquid phase, making the resulting bilayers more rigid. The phase transition temperature can be eliminated, stable vesicles can be formed, and medication leakage can be stopped by using a low concentration of cholesterol at level 1 [36].
Based on the observations, it was determined that the chosen ethosomal formulation, which was optimised (Soya lecithin: Cholesterol 5:1), had high drug EE%, tiny particle size, and a higher percentage of drug release at eight hours, as well as having spherical shaped vesicles.
Optimized formulation Soya lecithin (A): Cholesterol (B) 5:1-EE%: 62%; Particle Size: 759.7%; Maximum drug release at 8h: 58.24%.
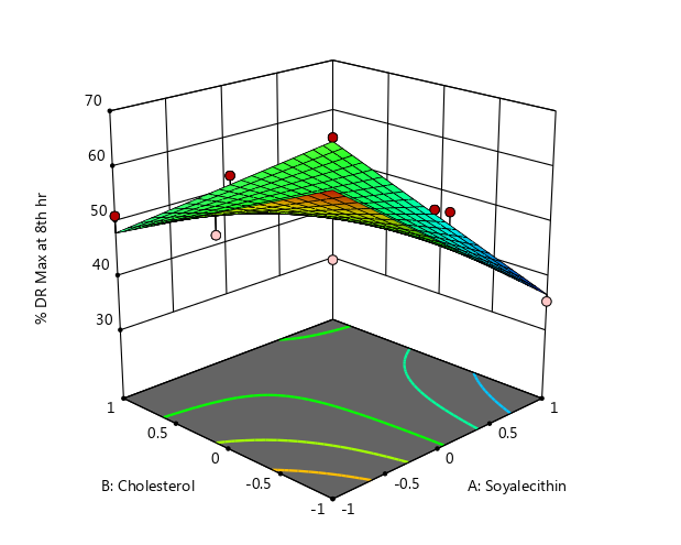
The hypothesised regression model was real and statistically significant according to ANOVA performed at significance level of 5%, as shown in table 3 and 10. The EE% of Terbinafine Ethosome, particle size, and drug release at the eighth hour were all significantly impacted by the type of Soy lecithin cholesterol ratio and its interaction, it was also discovered. Fig. 6,7, and 8's surface response curve depicts the proportional impact of various process parameters on particle size, entrapment effectiveness, and drug release at the 8th h.
Optimization of formulation of terbinafine loaded ethosome
In the current study, a desirability function was used to maximize both responses at the same time using numerical optimization approach in the Design-Expert software. As a result, a comprehensive grid search over the domain was used to identify the optimum desirability value using Design-Expert software. The final optimized formula was obtained after evaluating all the parameters as seen in table 6.

Fig. 6: Three-dimensional surface response plot demonstrating the relative effect of distinct process parameters on particle size

Fig. 7: A plot in three dimensions shows the relative impact of different process parameters on %EE

Fig. 8: Three-dimensional surface response plot illustrating the relative impact of several process parameters on drug release at 8 h
Table 6: Optimized ethosome factors
| Ethosome factors | Level | Actual value (×10-2 M) |
| Soya lecithin | 0.3092 | 2.5 |
| Cholesterol | 0.8615 | 0.5 |
Table 7: Validation of the predicted optimized ethosomes
| Response | Predicted Mean | Observed Mean |
| Entrapment Efficiency | 94.0365 | 94.46 ± 0.43 |
| % Drug Release at 8th hour | 51.6233 | 51.27 ± 0.16 |
| Particle Size (nm) | 1107.7 | 1207 ± 0.14 |
| Data are expressed as mean ±SD (n=3) |
The optimised ethosomal formulation's particle size and zeta potential are evaluated using a zeta sizer. The Zeta potential was discovered to be 1.18mV, while the particle size was measured to be 1207 nm (fig. 9 and 10).

Fig. 9: Zeta potential of the optimized formulation

Fig. 10: Particle size of the optimized formulation
SEM and TEM analysis
The optimized formulation micrographs by scanning electronic microscopy revealed spherical droplets at the nanometre scale. The findings show that the particles had a spherical shape and that no drug crystals were found inside of them (fig. 11).
Transmission electron microscopy has been used to identify the size, morphology, and form of ethosomes (TEM).
According to the image it indicates that Terbinafine is distributed fairly and primarily spherical (fig. 12).
Differential scanning calorimetry and X-ray diffraction study
A method known as DSC (differential scanning calorimetry) is used to analyse a drug's physical condition, thermal behaviour, and potential interactions with other substances. Terbinafine was found to have a melting point of 199.32 °C and an endothermic peak of 208.68 °C. Terbinafine, cholesterol, and soya lecithin's physical mixture had an endothermic peak at 201.48 °C. Based on the findings, it was determined that all other excipients, including soy lecithin and cholesterol, were optimally suitable due to their compatibility with the medication, as seen in (fig. 13).
When compared to the improved formulation, Terbinafine’ s XRD pattern was strong, distinct, and consistent with crystalline powder, as opposed to the improved formulation's peak loss and more diffuse peaks (fig. 14). This illustrates the transition from Terbinafine’s crystalline form to its amorphous form.
In vitro drug release kinetics
The ethosomal formulations NET1–NET9's cumulative % release was displayed in the table 2. The range of ethosomal formulations' cumulative percentage drug release was 35.41% to 68.94%. The modified formulation has zero-order kinetics for release.
The drug release is proportional to the square root of time, as shown by Higuchi's correlation coefficient, showing that the release of terbinafine is diffusion-controlled. The n value for the ethosomal formulation of terbinafine in the Korsmeyer Peppas model was 0.9, which is consistent with anomalous or non-fickian diffusion. (table 8).

Fig. 11: SEM analysis of optimized terbinafine formulation

Fig. 12: TEM analysis of optimized formulation of terbinafine
(a) |
(b) |
Fig. 13: DSC thermograms of a) Terbinafine b) Terbinafine, soya lecithin and cholesterol
(a) |
(b) |
Fig. 14: XRD of a) Terbinafine b) Optimized formulation
Table 8: Optimised terbinafine loaded ethosomal formula release kinetics
| Formulation | Higuchi | Korsemeyer peppas | Zero order | First order | Hixson-crowell |
| r2 | n | r2 | r2 | r2 | |
| Optimized formulation | 0.9791 | 0.9 | 0.9982 | 0.9978 | 0.973 |
Formulation and characterization of terbinafine loaded carbopol gel
The pH, Spreadability, and viscosity of F8 ethosomal formulation were examined in EG1, EG2, and EG3 gel formulations with various Carbopol 934P concentrations. The developed gel showed pH 6.8 non-irritancy at room temperature and Spreadability of 14.5 g cm/sec, which is an indication of a simple gel spreading with the application of light shearing force. At 25 rpm, the prepared gel had the appropriate viscosity of 3.37±0.21 PaS. The ethosome-loaded gel had the desired properties, according to a comprehensive investigation [37, 38].
Table 9: Evaluation parameters of ethosomal gel
| Terbinafine gel formulation | pH | Gelling capacity | Viscosity PaS |
| EG1 | 6.7 ±0.6 | + | 3.02 ±0.03 |
| EG2 | 7.0 ±0.3 | +++ | 3.37±0.21 |
| EG3 | 6.9 ±1.1 | ++ | 3.11 ±0.14 |
Data are expressed as mean±SD (n=3)
In vitro permeation study
The developed optimised ethosomal terbinafine loaded gel EG2, which contains 0.5g of Carbopol 934 P, was selected as the optimised formulation since it has an acceptable viscosity gelling ability.
The Terbinafine gel, which was based on carbopol 934 P, constituted a straightforward aqueous solution with terbinafine scattered throughout the matrix. Through permeation studies using a straightforward drug-loaded gel, the permeability capabilities of terbinafine are ascertained.
The total amount of medication absorbed over the duration of 1 to 8 hours is displayed in the table 10. The flux as well as the permeability coefficient of the samples is given in table 11. It was discovered that the flux Jss for the gel was 0.0018 (mg/cm2/min). The enhanced gel's permeability coefficient was discovered to be 0.0009 cm2/min. It was discovered that the formulation had higher flux and permeability coefficients, showing that ethosome gel with Carbopol had increased drug release and permeability coefficient [39, 40].
Table 10: Cumulative % drug permeation
| Time (h) | Cumulative % drug permeation |
| 1 | 9.32 ±0.78 |
| 2 | 17.42 ±0.18 |
| 3 | 22.5 ±0.34 |
| 4 | 31.43 ±0.48 |
| 5 | 40.12 ±0.86 |
| 6 | 48.32 ±0.15 |
| 7 | 52.8 ±0.87 |
| 8 | 60.74 ±1.36 |
Data are expressed as mean±SD (n=3)
Table 11: Optimised terbinafine-oaded ethosomal gel formulation's total drug permeation
| Formulation | Flux (Jss) mg/cm2/h | Permeability coefficient (Kp) cm2/h |
| Optimized Formulation | 0.0018 | 0.0009 |

Fig. 15: Amount of drug permeation of terbinafine optimised gel formulation
Anti-fungal activity
By using the well diffusion technique, the in vitro antifungal efficacy of the Terbinafine-loaded ethosomal formulation is examined. As a positive control, amphotericin B is utilised. The table shows the zone of inhibition of Gel sample in two different fungal strains. The fungal strains used are Aspergillus niger and Candida albicans. The formation of the zone of inhibition is observed clearly around the wells containing the Terbinafine-loaded ethosomal gel. Terbinafine loaded ethosomal gel shows better activity when compared to that of the Positive control. The values of the Terbinafine-loaded ethosomal gel's zone of inhibition against fungi are listed in the table 12 and shown in the fig. 15 and 16.
Table 12: Mean zone of inhibition obtained by sample gel against Candida albicans and Aspergillus niger
| S. No | Name of the test organism | Name of the test sample | Zone of inhibition (mm) | ||||
| 500 µg/ml | 250 µg/ml | 100 µg/ml | 50 µg/ml | Positive control (10-20μg/ml) | |||
| Aspergillus niger | Gel | 23.5±0.7 | 21.5±0.7 | 19.5±0.7 | 15.5±0.7 | 21.5±0.7 | |
| Candida albicans | 15.5±0.7 | 12.5±0.7 | 11.5±0.7 | 5.5±0.7 | 22.5±0.7 | ||
Data are expressed as mean±SD (n=3)


Fig. 16: Effect of sample gel against Aspergillus niger


Fig. 17: Effect of sample gel against Candida albicans
Stability studies
When the ethosomal vesicle formulations were tested three months later, it was discovered that they had greater drug retention than formulations kept at room temperature. A detailed examination revealed that as temperature rises, the lipid bilayer becomes more fluid, leading to vesicle leakage. When kept at room temperature, Ethosomal gel was significantly more stable than Ethosomal solution, as evidenced by the drug entrapment estimation results in table 13.
According to the aforementioned findings, ethosomal suspension's size and entrapment effectiveness showed negligible changes at refrigeration temperature, whereas vesicle size did not change significantly at 25 °C [41].
Table 13: Stability studies data for optimized Terbinafine loaded Ethosome
| Storage conditions | Duration (Month) | Particle size (nm) | Entrapment efficiency (%) |
| 4 °C ± 1 °C | 1 | 1207 ±1.24 | 93.23 ±0.03 |
| 2 | 1219 ±2.18 | 92.03 ±0.09 | |
| 3 | 1227 ±3.08 | 91.87 ±0.11 | |
| 25 °C±2 °C/60+5% RH | 1 | 1191 ±3.60 | 88.21 ±0.26 |
| 2 | 1188 ±4.02 | 87.96 ±0.31 | |
| 3 | 1187 ±5.88 | 86.21 ±0.34 |
Data are expressed as mean±SD (n=3)
Table 14: Stability studies for terbinafine loaded ethosomal gel
| Storage conditions | Duration (Month) | pH | Viscosity (Pa. S) |
| 4 °C± 1 °C | 1 | 6.6 ±0.29 | 3.23 ±0.31 |
| 2 | 6.4 ±0.12 | 3.00 ±1.20 | |
| 3 | 6.3 ±0.16 | 2.98 ±0.79 | |
| 25 °C±2 °C/60+5% RH | 1 | 6.0 ±3.60 | 3.37 ±0.21 |
| 2 | 5.7 ±0.39 | 3.00 ±0.49 | |
| 3 | 5.0 ±0.49 | 2.98 ±0.34 |
Data are expressed as mean±SD (n=3)
The Terbinafine loaded ethosome was prepared using the cold method, focusing on soy lecithin and cholesterol variables to determine particle size and entrapment effectiveness. The ethosome was then confirmed through SEM and TEM analysis, revealing stable formulations with better percentage entrapment efficiency. The optimal soya lecithin and cholesterol ratio resulted in high entrapment efficiency. The particle size ranged from 706 to 1433 nm. Statistical analysis using ANOVA and regression model was used to create a mathematical model. The optimized formulation underwent in vitro antifungal experiments, showing improved activity against fungal strains. The well diffusion technique was used, with the gel showing the highest activity against Aspergillus niger. The optimization approach 32 factorial design proved helpful in determining developmental goals and evaluating variables' effects by pre-determining the ratios of soya lecithin and cholestrol. The research findings suggest Terbinafine Ethosomal gel could be used as an anti-fungal delivery system in the future. However, further studies are required to prove the same.
The authors are thankful to SRM College of Pharmacy, SRMIST, Kattankulathur, Tamilnadu, for providing their facilities and support for carrying out this research work and Dean, SRM College of Pharmacy, SRMIST for providing their services and support to complete the studies.
The authors are thankful for providing the help and support rendered at SIF NIT Tiruchirappalli for the DSC analysis and for the interpretation used in this work.
The authors are thankful for providing the help and support rendered at Trichy Research Institute of Biotechnology Pvt. ltd, Trichy for the Anti-fungal analysis and for the interpretation used in this work.
This research did not receive any specific grant from funding agencies in the public, commercial, or not-for-profit sectors.
All authors have contributed equally
The authors declare no conflict of interest
Alkhalidi HM, Hosny KM, Rizg WY. Oral gel loaded by fluconazole-sesame oil nanotransfersomes: development, optimization, and assessment of antifungal activity. Pharmaceutics. 2020;13(1):1-23. doi: 10.3390/pharmaceutics13010027. doi: 10.3390/pharmaceutics13010027, PMID 33375740.
Saifee M, Atre M, Toshniwal R. Formulation and in vitro evaluation of ethosomal gel of repaglinide for transdermal delivery. Int J Pharm Phytopharm Res. 2021;11(4):11-7. doi: 10.51847/lQKgwgUi1l.
Akhtar N, Akhtar N, Menaa F, Alharbi W, Alaryani FS, Alqahtani AM. Fabrication of ethosomes containing tocopherol acetate to enhance transdermal permeation: in vitro and ex vivo characterizations. Gels. 2022;8(6):1-18. doi: 10.3390/gels8060335, PMID 35735679.
Ivaturi Bala T, Sireesha K, Malavika B. Development of efinaconazole nail gel for the treatment of onchomycosis. Int J Appl Pharm. 2024;16(2):1-11. doi: 10.17605/OSF. IO/9P4S6.
Agarwal S, Gautam G. Formulation development and characterization of ethosomes of atorvastatin. Int Res J Pharm. 2019;10(7):131-6. doi: 10.7897/2230-8407.1007232.
Hassan DH, Shohdy JN, El-Nabarawi MA, El-Setouhy DA, Abdellatif MM. Nanostructured lipid carriers for transdermal drug delivery. Int J App Pharm. 2022;14(4):88-93. doi: 10.22159/ijap.2022v14i4.44564.
Nainwal N, Jawla S, Singh R, Saharan VA. Transdermal applications of ethosomes-a detailed review. J Liposome Res. 2019;29(2):103-13. doi: 10.1080/08982104.2018.1517160, PMID 30156120.
Giri M, Bhalke R. Formulation and evaluation of topical anti-inflammatory herbal gel. Asi J Pharm Clin Res. 2019;12(7):252-5. doi: 10.22159/ajpcr.2019.v12i7.33859.
Nainwal N, Jawla S, Singh R, Saharan VA. Transdermal applications of ethosomes-a detailed review. J Liposome Res. 2019;29(2):103-13. doi: 10.1080/08982104.2018.1517160, PMID 30156120.
Ansari SA, Qadir A, Warsi MH, Mujeeb M, Aqil M, Mir SR. Ethosomes-based gel formulation of karanjin for treatment of acne vulgaris: in vitro investigations and preclinical assessment. 3 Biotech. 2021;11(11):456. doi: 10.1007/s13205-021-02978-3, PMID 34631355.
Zahid SR, Upmanyu N, Dangi S, Ray SK, Jain P, Parkhe G. Ethosome: a novel vesicular carrier for transdermal drug delivery. J Drug Delivery Ther. 2018;8(6):318-26. doi: 10.22270/jddt.v8i6.2028.
Garg BJ, Garg NK, Beg S, Singh B, Katare OP. Nanosized ethosomes-based hydrogel formulations of methoxsalen for enhanced topical delivery against vitiligo: formulation optimization, in vitro evaluation and preclinical assessment. J Drug Target. 2016;24(3):233-46. doi: 10.3109/1061186X.2015.1070855, PMID 26267289.
Akhtar N, Pathak K. Cavamax W7 composite ethosomal gel of clotrimazole for improved topical delivery: development and comparison with ethosomal gel. AAPS PharmSciTech. 2012;13(1):344-55. doi: 10.1208/s12249-012-9754-y, PMID 22282041.
Bolla PK, Clark BA, Juluri A, Cheruvu HS, Renukuntla J. Evaluation of formulation parameters on permeation of ibuprofen from topical formulations using Strat-M® membrane. Pharmaceutics. 2020;12(2):151-70. doi: 10.3390/pharmaceutics12020151, PMID 32069850.
Thavva V, Baratam SR. Formulation and evaluation of terbinafine hydrochloride microsponge gel. Int J App Pharm. 2019;11(6):78-85. doi: 10.22159/ijap.2019v11i6.32502.
Jeong WY, Kwon M, Choi HE, Kim KS. Recent advances in transdermal drug delivery systems: a review. Biomater Res. 2021;25(1):24. doi: 10.1186/s40824-021-00226-6, PMID 34321111.
El-Shenawy AA, Abdelhafez WA, Ismail A, Kassem AA. Formulation and characterization of nanosized ethosomal formulations of antigout model drug (febuxostat) prepared by cold method: in vitro/ex vivo and in vivo assessment. AAPS PharmSciTech. 2019;21(1):31. doi: 10.1208/s12249-019-1556-z, PMID 31858305.
Eng N Supraja, Krishna Sailaja A. Formulation of mefenamic acid loaded ethosomal gel by hot and cold methods. Nano Biomed Eng. 2017;9:27-35. doi: 10.5101/nbe.v9i1.
Shaghlil L, Alshishani A, Sa’aleek AA, Abdelkader H, Al-ebini Y. Formulation and evaluation of nasal insert for nose-to-brain drug delivery of rivastigmine tartrate. J Drug Deliv Sci Technol. 2022;76. doi: 10.1016/j.jddst.2022.103736.
Jain PS, Chaudhari AJ, Patel SA, Patel ZN, Patel DT. Development and validation of the UV-spectrophotometric method for determination of terbinafine hydrochloride in bulk and in formulation. Pharm Methods. 2011;2(3):198-202. doi: 10.4103/2229-4708.90364, PMID 23781456.
Anju K, Priya S, Sandeep DS, Nayak P, Kumar P, Kumar A. Formulation and optimization of zaltoprofen loaded ethosomal gel by using 23 full factorial designs. J Pharm Res Int. 2021;33(24B):30-44. doi: 10.9734/jpri/2021/v33i24B31439.
Jain S, Tiwary AK, Sapra B, Jain NK. Formulation and evaluation of ethosomes for transdermal delivery of lamivudine. AAPS PharmSciTech. 2007;8(4):E111. doi: 10.1208/pt0804111, PMID 18181532.
Peram MR, Jalalpure S, Kumbar V, Patil S, Joshi S, Bhat K. Factorial design based curcumin ethosomal nanocarriers for the skin cancer delivery: in vitro evaluation. J Liposome Res. 2019;29(3):291-311. doi: 10.1080/08982104.2018.1556292, PMID 30526186.
Hajare A, Dol H, Patil K. Design and development of terbinafine hydrochloride ethosomal gel for enhancement of transdermal delivery: in vitro, in vivo, molecular docking, and stability study. J Drug Deliv Sci Technol. 2021;61. doi: 10.1016/j.jddst.2020.102280.
Celebi N, Ermis S, Ozkan S. Development of topical hydrogels of terbinafine hydrochloride and evaluation of their antifungal activity. Drug Dev Ind Pharm. 2015;41(4):631-9. doi: 10.3109/03639045.2014.891129, PMID 24576265.
Alastruey Izquierdo A, Melhem MS, Bonfietti LX, Rodriguez Tudela JL. Susceptibility test for fungi: clinical and laboratorial correlations in medical mycology. Rev Inst Med Trop S Paulo. 2015;57Suppl 19:57-64. doi: 10.1590/S0036-46652015000700011.
Ramage G, lopez Rib JL. Techniques for antifungal susceptibility testing of candida albicans biofilms. In: Ernst EJ, Rogers PD, editors. Antifungal agents. Methods in molecular Medicine™. Humana Press; 2005;118. doi: 10.1385/1-59259-943-5:071.
Niu XQ, Zhang DP, Bian Q, Feng XF, Li H, Rao YF. Mechanism investigation of ethosomes transdermal permeation. Int J Pharm X. 2019;1:100027. doi: 10.1016/j.ijpx.2019.100027, PMID 31517292.
Paolino D, lucania G, Mardente D, Alhaique F, Fresta M. Ethosomes for skin delivery of ammonium glycyrrhizinate: in vitro percutaneous permeation through human skin and in vivo anti-inflammatory activity on human volunteers. J Control Release. 2005;106(1-2):99-110. doi: 10.1016/j.jconrel.2005.04.007, PMID 15935505.
Kaur M, Singh K, Jain SK. Luliconazole vesicular-based gel formulations for its enhanced topical delivery. J Liposome Res. 2020;30(4):388-406. doi: 10.1080/08982104.2019.1682602, PMID 31631734.
Sinico C, Fadda AM. Vesicular carriers for dermal drug delivery. Expert Opin Drug Deliv. 2009;6(8):813-25. doi: 10.1517/17425240903071029, PMID 19569979.
Pathan IB, Jaware BP, Shelke S, Ambekar W. Curcumin loaded ethosomes for transdermal application: formulation, optimization, in vitro and in vivo study. J Drug Deliv Sci Technol. 2018;44:49-57. doi: 10.1016/j.jddst.2017.11.005.
Selvamuthukumar R, Murali R, Srinivasan N, Mohankumar A, Panicker N. Formulation development and evaluation of immediate release tablet of terbinafine hydrochloride. Res J Pharm Technol. 2020;13(10):4648-54. doi: 10.5958/0974-360X.2020.00818.5.
Anggraini YE, Trisnowati N, Martien R, Danarti R. A randomised clinical trial study assessing the efficacy of 5% losartan potassium loaded in ethosomal gel to treat human keloids: a trial protocol. Trials. 2024;25(1):12. doi: 10.1186/s13063-023-07880-2, PMID 38167064.
Mahaparale PR, Ikam SA, Chavan MS. Development and evaluation of terbinafine hydrochloride polymeric microsponges for topical drug delivery. Ind J Pharm Sci. 2018;80(6). doi: 10.4172/pharmaceutical-sciences.1000459.
Shamma RN, Elsayed I. Transfersomal lyophilized gel of buspirone HCl: formulation, evaluation and statistical optimization. J Liposome Res. 2013;23(3):244-54. doi: 10.3109/08982104.2013.801489, PMID 23713516.
Maha HL, Sinaga KR, Sinaga KR, Masfria M, Masfria M. Formulation and evaluation of miconazole nitrate nanoemulsion and cream. Asian J Pharm Clin Res. 2018;11(3). doi: 10.22159/ajpcr.2018.v11i3.22056.
Pawar HA, Attarde VB, Parag Subhash G. Optimization of bifonazole-loaded nisomal formulation using plackett-burman design and 2 factorial design. Open Pharmaceutical Sciences J. 2016;3(1):31-48. doi: 10.2174/1874844901603010031.
Vaghasiya H, Kumar A, Sawant K. Development of solid lipid nanoparticles based controlled release system for topical delivery of terbinafine hydrochloride. Eur J Pharm Sci. 2013;49(2):311-22. doi: 10.1016/j.ejps.2013.03.013, PMID 23557842.
Khan R, Saif Dr, Naureen H, Sarwar A, Shahbaz M, Arif M. Formulation and evaluation of metronidazole loaded nanosponges for topical delivery. Pharm Com. 2022;1:71-87. doi: 10.55627/pharma.001.001.0185.
Shen LN, Zhang YT, Wang Q, Xu L, Feng NP. Enhanced in vitro and in vivo skin deposition of apigenin delivered using ethosomes. Int J Pharm. 2014;460(1-2):280-8. doi: 10.1016/j.ijpharm.2013.11.017, PMID 24269286.