
1Department of Chemistry, Government Degree College, Chebrole, Guntur District, AP-522212, India. *2Department of Chemistry, P B Siddhartha College of Arts and Science, Mogalraj Puram, Vijayawada, AP, India. 3Department of Chemistry, Sri ABR Government Degree College, Repalle, Bapatla District, AP-522265, India
*Corresponding author: David Raju Medepalli; *Email: mdavidraju40@gmail.com
Received: 13 Mar 2024, Revised and Accepted: 21 Jun 2024
ABSTRACT
Objective: An easy, quick, precise, active and reproducible LC-MS/MS (Liquid Chromatography Tandem Mass Spectrometry) technique was developed for the bio-analytical method of Finasteride and Tadalafil using Avanafil as internal standard (IS).
Methods: This article summarizes the recent progress on bioanalytical liquid Chromatography Tandem Mass Spectrometry (LC-MS/MS) methods using waters Symmetry C18 column (150x4.6 mm, 3.5µ) column and mobile phase of 0.1% Perchloric acid and Acetonitrile (ACN) in 60:40.
Results: The calibration curve was linear in the range of 12.5-100 ng/ml for Finasteride and 12.5-100 ng/ml Tadalafil. The recovery results of Accuracy and Precision of Finasteride and Tadalafil were 95.10, 96.85, 98.76, 98.81% and 95.77, 97.46, 97.99, 97.01% at different QC (Quality Control) concentration levels. Matrix effect results were within the acceptable limit. An electro-spray ionization source was used to study of Finasteride and Tadalafil at m/z 373.5497→142.0085, m/z 390.4047→128.1138 for Finasteride and Tadalafil, m/z 484.9516→104.5326 for Avanafil were ion pairs of mass analysis.
Conclusion: The application denotes all the parameters of system suitability, specificity, linearity and accuracy are in good agreement with USFDA (United States of Food and Drug Administration) guidelines and applied effectively for the investigation of pharmacokinetic studies in rat.
Keywords: Finasteride, Tadalafil, LC-MS/MS, USFDA guidelines, Rat plasma
© 2024 The Authors. Published by Innovare Academic Sciences Pvt Ltd. This is an open access article under the CC BY license (https://creativecommons.org/licenses/by/4.0/)
DOI: https://dx.doi.org/10.22159/ijap.2024v16i5.50858 Journal homepage: https://innovareacademics.in/journals/index.php/ijap
Finasteride, sold under the brand names Proscar and Propecia among others, is a medication used to treat pattern hair loss and Benign Prostatic Hyperplasia (BPH) [1-4] in men. It can also be used to treat excessive hair growth in women. [5] It is usually taken orally but there are topical formulations for patients with hair loss [6, 7], designed to minimize systemic exposure by acting specifically on hair follicles [8, 9]. Finasteride is a 5α-reductase inhibitor and, therefore, an antiandrogen [10]. It works by decreasing the production of DHT (Di Hydro Testosterone) by about 70%. In addition to DHT, finasteride also inhibits the production of several anticonvulsant neurosteroids [11, 12], including allopregnanolone, [13] androstanediol, and THDOC (Tetra Hydro De Oxy Corticosterone). Adverse effects from finasteride are rare; however, some men experience sexual dysfunction, depression, and breast enlargement. In some men, sexual dysfunction may persist after stopping the medication. It may also hide the early symptoms of certain forms of prostate cancer.
Tadalafil [14], sold under the brand name Cialis among others, is a medication [15] used to treat erectile dysfunction, benign prostatic hyperplasia, and pulmonary arterial hypertension [16-18]. It is taken by mouth. Onset is typically within half an hour and the duration is up to 36 h. Common side effects include headache, muscle pain, flushed skin, and nausea. Caution is advised in those with cardiovascular disease [19, 20]. Rare but serious side effects include a prolonged erection that can lead to damage to the penis, vision problems, and hearing loss. Tadalafil is not recommended in people taking nitrovasodilators such as nitroglycerin, as this may result in a serious drop in blood pressure [21, 22]. Tadalafil is a PDE5 (Phospho Di Esterase type 5) inhibitor which increases blood flow to the penis. It also dilates blood vessels in the lungs, which lowers the pulmonary artery pressure.
There are two spectrophotometric methods [23, 24] and one HPLC/MS (High-Pressure liquid Chromatography-Mass Spectrometry) [25] method were reported in the literature, but these methods are developed only for routine analysis of the selected drugs in bulk and formulation studies. The developed lCMS (Liquid Chromatography Mass Spectrometry) method was utilized for the estimation of the combined drugs by in vitro method.
Chemicals and reagents
Acetonitrile and Perchloric acid water (HPLC grade) were purchased from Merck (India) ltd, Worli, Mumbai, India. All APIs of Finasteride, Tadalafil and Avanafil as reference standards were procured from Glenmark Pharmaceuticals Pvt ltd, Mumbai. (HPLC-High Pressure liquid Chromatography).
Instrument and conditions
The HPLC system (Waters Alliance model) and the mass spectrometer QTRAP 5500 triple quadrupole instrument (SCIEX) [26, 27] were used to construct the bio-analytical assay. Chromatographic separation was performed at room temperature using an isocratic mode and Symmetry C18 (150x4.6 mm x 3.5 µm) column. The mobile phase consisted of acetonitrile and perchloric acid at a ratio of 40:60 (by volume) at a flow rate of 1.0 ml/min. Ten micro litres of liquid were injected, and the entire cycle lasted five minutes. For this study, we employed a QTRAP 5500 triple quadrupole mass spectrometer equipped with a positive ion electrospray ionisation interface. Mass ion pair monitoring using MRM mode: m/z 373.5497→142.0085, m/z 390.4047→128.1138 for Finasteride and Tadalafil, m/z 484.9516→104.5326 for Avanafil (Internal standard). Ion spray voltage 5500V; source temperature 550 °C; drying gas temperature 120-250 °C; collision gas nitrogen; pressure 55psi; drying gas flow rate 5 ml/min; declustering potential 40V; entrance potential 45V; exit potential 15V; capillary voltage 5500V; dwell time 1Sec. Table 1 lays forth all the necessary information on Instrumentation.
Pharmacokinetic study
Selection of animals
In vivo pharmacokinetic studies, 6 healthy rats (app. 250 g) [28, 29] were obtained from Biological E limited, Hyderabad, India. The protocol of animal study was approved by institute of animal ethics committee (Reg. No: 1074/PO/Re/S/21/CPCSEA). The animals are housed in similar laboratory conditions with access to endive, carrots, fresh corn (few amount only); the animal feed should be kept at temperature of 21-24ᵒC and humidity was 50-55%. Before experimentation, all animals was fasted overnight and had water adlibitum [30, 31].
Chromatographic conditions
Chromatographic separation, using symmetry C18 (150 x 4.6 mm, 3.5 micron) column, was administered in isocratic mode at room temperature. As a mobile phase, a mix of 0.1 percent perchloric acid and acetonitrile at 60:40 v/v with a flow of 1.0 ml/min was used. 10µl was the injection rate and the run time was 5 min.
Preparation of standard and internal control samples
Preparation of standard stock solution
Accurately weigh 5 mg of Finasteride, 5 mg of Tadalafil working standards and taken into a 100 ml volumetric flask and 70 ml of diluents and sonicate for 10 min to dissolve the contents completely and make up to the mark with diluent. Further dilution by taking 0.4 ml into 10 ml volumetric flask. From the above solution, 1 ml of the solution is taken into the 10 ml volumetric flask and make up to the mark with the diluent.
Preparation of internal standard stock solution
Accurately weigh 6 mg internal standard (Avanafil) into a 100 ml volumetric flask and make up to the mark with diluent and sonicate for ten minutes to dissolve the contents completely. From this solution take 0.1 ml of solution into 10 ml volumetric flask. From the above solution 1 ml is taken into the 10 ml volumetric flask and make up to the mark with the diluent.
Preparation of standard solution
For standard preparation 200µl of plasma was taken and 300µl of ACN into a 2 ml centrifuge tube and 500µl of standard stock solutions and 500µl of IS stock and 500 µl of diluents were added and vortexed for 10 min. These samples further subjected for centrifuge at 5000rpm for 20 min. Collect the solution and filter through 0.45µ nylon syringe filter and the clear solution was transferred into vial and injected into a system.
Bio-analytical method validation
The method was validated [32-36] in selective, sensitive, linearity, accuracy and precise, matrix condition, recovery study, re-injection reproducibility and stability.
Selectivity
The retention times of Finasteride, Tadalafil, and IS were measured, and interference from untested samples was tested by analysing rat plasma samples from six distinct rats to assess selectivity [37, 38].
Matrix effect
By comparing the peak zone fraction in the post-extract plasma sample of six separate plasma samples devoid of medicine and slick recovery samples, we were able to assess the Effect matrix [39, 40] for Finasteride and Tadalafil. Six different lots of plasma were tested at MQC (Middle-Quality Control) levels in duplicate, with satisfactory accuracy (% Coefficient of variation (CV) 15%).
Recovery
The recovery [41, 42] was calculated by comparing the peak areas of standards that had not been extracted with those of the extracted Finasteride and Tadalafil (6 replicates per QC (Quality Control) concentration).
Dilution integrity
A matrix with an analyte concentration over the ULOQC (Upper limit of Quality Control) must be injected, and the test must be diluted using a blank matrix to prove that the dilution was done correctly [43, 44].
Carryover
The retention of an analyte in the chromatographic system after the injection of a sample is referred to as carry-over [45, 46], and can be identified in subsequent blank or unknown samples.
Precision and accuracy
Quality control replication study was performed on a total of six samples to determine the results at four different quality control levels: low, medium, and high [47-50]. Except for the LLOQ (Lower limit of Quality Control), which should be less than 20%, the %CV level should be less than 15%.
Stability
Comparing the area response of the analyte in the stability samples [51, 52] with the region response of the sample obtained from the fresh stock solution allowed us to draw conclusions about the stock solution's stability. The effects of LQC (Lower Quality Control) and HQC (Higher Quality Control) concentrations on plasma stability were tested using six dose replicates. The US Food and Drug Administration (USFDA) defines stability as a coefficient of variation (CV) of less than 15% for an analyte. Injected rat plasma samples were tested for 24 h of shelf life (bench top stability) after being kept at room temperature. The auto-sampler stability of increased rat plasma was measured over a period of 24 h at 2-8 °C. Extract plasma samples were injected immediately or stored in the autosampler at 2-8 °C for 24 h to assess the stability of the auto sampler. Freeze-thaw stability was evaluated by contrasting newly infused quality control samples with those that had been frozen at-30 °C and thawed three times. Six aliquots were utilized to test the freeze-thaw stability of both the low-and high-quality control concentrations. To evaluate the long-term stability, the 24-hour concentration was compared to the starting concentration.
Pharmacokinetic study
Before experimentation, all animals are starved overnight and had water ad-libitum. Topical anesthetic procedure was used. Pharmacokinetic evaluation was performed for Finasteride and Tadalafil formulations. The samples were administered to each rat under fasting conditions. After oral administration of Finasteride and Tadalafil, blood samples were collected from rat marginal ear vein using a 25-guage, 5/8 inch needle by clipping the marginal ear vein with a paper clip with volume of 0.5 ml to 1.0 ml at 0.5, 1, 2, 4, 8, 12, 16 and 20 h. The blood was collected in Eppendorf containing 10% EDTA (Ethylene Diamine Tetra Acetic acid) solution. Blood was centrifuged at 5000 rpm for 30 min at 2-8 °C temperature. The clear supernatant plasma were collected and stored at-30 °C till its analysis. The plasma samples were treated for liquid-liquid phase extraction and analyzed for drug content with developed analytical method. After the study, the animals were returned to animal house for rehabilitation.
The pharmacokinetic parameters [53, 54] for Finasteride and Tadalafil oral administration were determined from plasma concentration data. Pharmacokinetic parameters like AUC (Area under the curve), Cmax (Maximum Concentration), Tmax (Time to reach peak concentration) the time at which Cmax occurred. Data was measured by the trapezoidal rule method from time zero to infinity of concentration-time curve. Cmax and Tmax were obtained from the graph. All values are expressed in mean±SD. (SD – Standard Deviation).
The maximum response on air pressure chemical ionization mode selected in this method is by having the electrospray ionization. The mobile phase flow of 1 ml/min Finasteride and Tadalafil are highly responsive in the positive ion mode to offer sensitivity and signal stability with continuous flow to electro spray ion.

A

B

C
Fig. 1: MS Spectras of (A) Finasteride, (B) Tadalafil and (C) Avanafil
Specificity
The specificity of the method to research Finasteride and tadalafil simultaneously is proved. The chromatograms of blank and standard as shown in fig. 2, 3. The chromatograms of blank rat plasma and standard having no interference peaks were observed [55, 56].
Matrix effect
Percent RSD (Relative Standard Deviation) for within the signal, ion suppression/enhancement was observed as 1.0 percent for Finasteride and Tadalafil in LC-MS/MS, suggesting that under these circumstances, the matrix effect on analyte ionization is within an acceptable range of ionization [57, 58]. In matrix effect, LQC (Low Quality Control) and HQC (High Quality Control) of Finasteride were 96.1 and 97.9 and tadalafil were 97.6, 97.6%. %CV of both drugs at LQC level were 0.73, 1.28 and HQC level is 0.22, 1.26 respectively. It indicates that the matrix effect on the ionization of the analyte is within the suitable limit.
Linearity
The peak area ratio of calibration standards was proportional to the concentration. The concentration range of Finasteride is 12.5-100 ng/ml and Tadalafil is 12.5-100 ng/ml. linearity results of Finasteride and Tadalafil were shown in following table 1 and their calibration plots were shown in fig. 4. The calibration curves were appeared linear and the coefficient of correlation was found to be 0.999 for Finasteride and Tadalafil [59, 60].

Fig. 2: Chromatogram of blank

Fig. 3: Chromatogram of standard

A

B
Fig. 4: Calibration plots of (A) Finasteride and (B) Tadalafil
Table 1: Results of linearity
| Linearity | Finasteride | Tadalafil | ||
| Conc.(ng/ml) | Area response ratio | Conc. (ng/ml) | Area response ratio | |
| 1 | 12.50 | 1.080 | 12.50 | 0.988 |
| 2 | 25.00 | 2.098 | 25.00 | 1.913 |
| 3 | 37.50 | 3.203 | 37.50 | 2.927 |
| 4 | 50.00 | 4.282 | 50.00 | 3.884 |
| 5 | 62.50 | 5.222 | 62.50 | 4.761 |
| 6 | 75.00 | 6.351 | 75.00 | 5.770 |
| 7 | 100.00 | 8.334 | 100.00 | 7.661 |
| Slope | 0.0838 | Slope | 0.0764 | |
| Intercept | 0.02995 | Intercept | 0.02969 | |
| CC | 0.99967 | CC | 0.99984 | |
Precision and accuracy
By pooling all individual assay results of different internal control samples, the accuracy and precision were calculated. It was obvious, based on the data provided, that the strategy was precise and effective. The precision results of Finasteride and Tadalafil was shown in table 2, 3. Finasteride accuracy results in quality control samples 95.1-98.8 and Tadalafil accuracy results in quality control samples 95.1-99.8. Half of Finasteride and Tadalafil CV (Coefficient Variance) is<5% of total internal control samples [61, 62].
Table 2: Precision and accuracy of finasteride
| QC name | LLQC | LQC | MQC | HQC |
| Conc.(ng/ml) | 5 | 25 | 50 | 75 |
| QC sample-1 | 0.254 | 1.335 | 2.713 | 4.052 |
| QC sample-2 | 0.267 | 1.326 | 2.709 | 4.063 |
| QC sample-3 | 0.261 | 1.318 | 2.689 | 4.042 |
| QC sample-4 | 0.254 | 1.325 | 2.702 | 4.051 |
| QC sample-5 | 0.271 | 1.319 | 2.705 | 4.065 |
| QC sample-6 | 0.253 | 1.321 | 2.684 | 4.041 |
| Mean | 0.260 | 1.324 | 2.700 | 4.052 |
| SD | 0.00764 | 0.00626 | 0.01145 | 0.01011 |
| %CV | 2.94 | 0.47 | 0.42 | 0.25 |
| Accuracy | 95.10 | 96.85 | 98.76 | 98.81 |
n=6
Table 3: Precision and accuracy of tadalafil
| Qc name | LLQC | LQC | MQC | HQC |
| Conc.(ng/ml) | 5 | 25 | 50 | 75 |
| QC sample-1 | 0.232 | 1.202 | 2.435 | 3.623 |
| QC sample-2 | 0.228 | 1.211 | 2.428 | 3.613 |
| QC sample-3 | 0.241 | 1.207 | 2.447 | 3.622 |
| QC sample-4 | 0.238 | 1.224 | 2.422 | 3.605 |
| QC sample-5 | 0.251 | 1.216 | 2.444 | 3.613 |
| QC sample-6 | 0.235 | 1.203 | 2.431 | 3.618 |
| mean | 0.238 | 1.211 | 2.435 | 3.616 |
| Stddev | 0.00802 | 0.00841 | 0.00957 | 0.00674 |
| %CV | 3.38 | 0.69 | 0.39 | 0.19 |
| Accuracy % | 95.77 | 97.46 | 97.99 | 97.01 |
n=6
Recovery
The recoveries for Finasteride and Tadalafil at LQC, MQC (Medium Quality Control) and HQC levels the results demonstrated that the bioanalytical method had good extraction efficiency. This also showed that the recovery wasn’t hooked into concentration. The recoveries for Finasteride (97.25%-98.74%) and Tadalafil (96.86%-98.23%) at LQC, MQC and HQC levels and % CV ranged from 0.35-0.84 for Finasteride and 0.97-1.26 for Tadalafil. the results demonstrated that the bioanalytical method had good extraction efficiency [63-65].
Ruggedness
The percent recoveries and percent CV of Finasteride and Tadalafil determined with two different analysts and on two different columns were within acceptable criteria in HQC, LQC, MQC and LLQC samples [66, 67]. The results proved method is ruggedness. The percent recoveries ranged from 95.49 – 98.73% for Finasteride and 95.11%-98.74% for Tadalafil. The %CV values ranged from 0.19-0.86 for Finasteride and 0.55-1.34 for Tadalafil. The results proved method is ruggedness.
Autosampler carryover
Peak area response of Finasteride and Tadalafil, wasn’t observed within the blank rat plasma samples after successive injections of LLQC and ULQC at the retention times of Finasteride and Tadalafil. In auto sampler carryover this method doesn’t exhibit auto sampler carryover.
Stability
Finasteride and Tadalafil solutions were prepared with diluents for solution stability analysis and placed in a refrigerator at 2-8 °C [68, 69]. Fresh stock solutions were associated with stock solutions that were prepared 24 h earlier. The plasma stability of the bench top and autosampler was stable for twenty-four hours and 24 h at 20 °C in the autosampler. It became apparent from future stability that Finasteride and Tadalafil were stable at a storage temperature of-30 °C for up to 24 h [70, 71]. The overall stability results of Finasteride and Tadalafil have been stated in the below table 4, 5.
Table 4: Stability results of finasteride
| Stability experiment spiked plasma | Spiked plasma conc. (n=6,ng/ml) | Mean conc. measured (n=6, ng/ml) | Std dev | %CV |
| Benchtop stability | LQC | 25 | 24.135 | 3.025 |
| MQC | 50 | 49.257 | 2.541 | |
| HQC | 75 | 74.458 | 5.527 | |
| Autosampler stability | LQC | 25 | 24.897 | 1.658 |
| MQC | 50 | 49.589 | 2.748 | |
| HQC | 75 | 74.124 | 3.625 | |
| Long term(Day28) stability | LQC | 25 | 24.368 | 0.984 |
| MQC | 50 | 49.354 | 5.428 | |
| HQC | 75 | 74.126 | 7.486 | |
| Wet extract stability | LQC | 25 | 24.328 | 3.741 |
| MQC | 50 | 49.856 | 2.487 | |
| HQC | 75 | 74.175 | 6.859 | |
| Dry extract stability | LQC | 25 | 24.689 | 5.201 |
| MQC | 50 | 49.657 | 7.629 | |
| HQC | 75 | 74.821 | 3.458 | |
| Freeze thaw stability | LQC | 25 | 24.628 | 2.246 |
| MQC | 50 | 49.145 | 3.485 | |
| HQC | 75 | 74.286 | 2.749 | |
| Short term stability | LQC | 25 | 24.369 | 1.623 |
| MQC | 50 | 49.486 | 2.485 | |
| HQC | 75 | 74.289 | 8.795 |
Table 5: Stability results of tadalafil
| Stability experiment spiked plasma | Spiked plasma conc. (n=6,ng/ml) | Mean conc. measured (n=6, ng/ml) | Std dev | %CV |
| Benchtop stability | LQC | 25 | 24.534 | 1.658 |
| MQC | 50 | 49.12 | 3.457 | |
| HQC | 75 | 74.548 | 6.592 | |
| Autosampler stability | LQC | 25 | 24.525 | 3.642 |
| MQC | 50 | 49.321 | 4.857 | |
| HQC | 75 | 74.584 | 9.568 | |
Long term (Day 28)stability |
LQC | 25 | 24.587 | 2.013 |
| MQC | 50 | 49.874 | 4.563 | |
| HQC | 75 | 74.582 | 6.452 | |
| Wet extract stability | LQC | 25 | 24.574 | 1.423 |
| MQC | 50 | 49.369 | 3.650 | |
| HQC | 75 | 74.514 | 7.856 | |
| Dry extract stability | LQC | 25 | 24.542 | 2.239 |
| MQC | 50 | 49.841 | 4.524 | |
| HQC | 75 | 74.586 | 8.562 | |
| Freeze thaw stability | LQC | 25 | 24.564 | 1.036 |
| MQC | 50 | 49.684 | 5.569 | |
| HQC | 75 | 74.521 | 7.741 | |
| Short term stability | LQC | 25 | 24.574 | 1.115 |
| MQC | 50 | 49.231 | 5.236 | |
| HQC | 75 | 74.541 | 8.623 |
Table 6: Pharmacokinetic parameters of finasteride and tadalafil
| Pharmacokinetic parameters | Finasteride | Tadalafil |
| AUC0-t | 728 ng-h/ml | 822 ng-h/ml |
| Cmax | 47.1 ng/ml | 47.5 ng/ml |
| AUC0-∞ | 728 ng-h/ml | 822 ng-h/ml |
| Tmax | 2 h | 2 h |
| T1/2 | 8 h | 16 h |
AUC0−∞: Area under the curve extrapolated to infinity, AUC0−𝑡: Area under the curve up to the last sampling time, Cmax: The maximum plasma concentration, Tmax: The time to reach peak concentration, T1/2: Time the drug concentration.
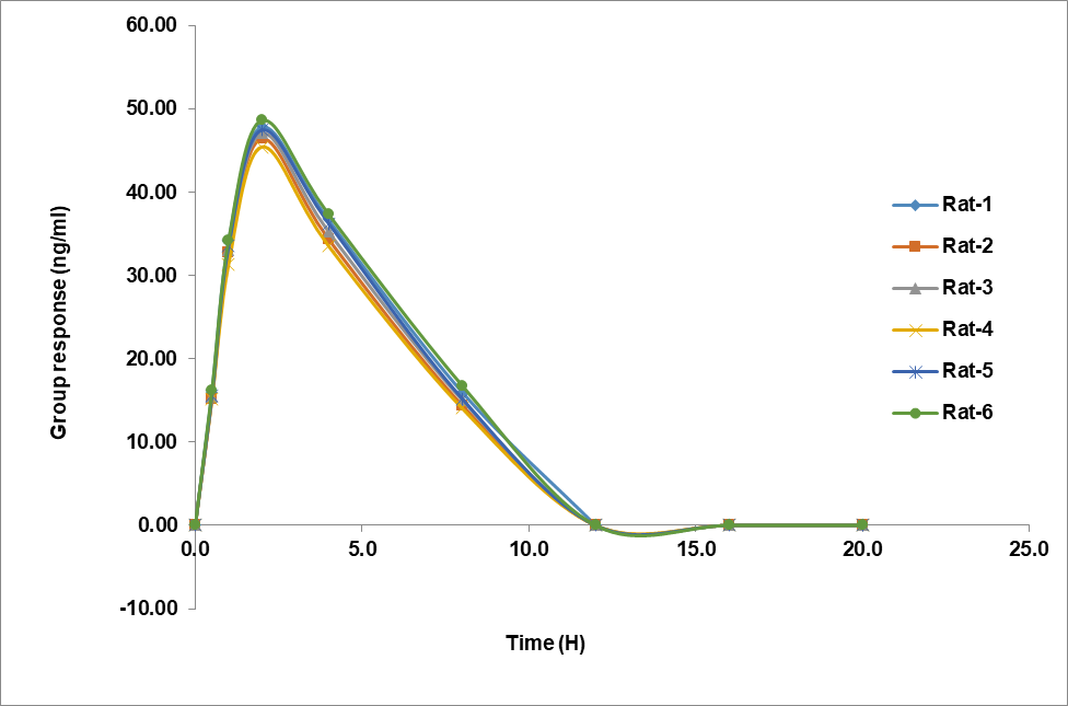
In vivo pharmacokinetic evaluation
The plasma concentration-time profiles of Finasteride and Tadalafil in rat are shown in fig. 4. The graph indicated bell shaped curve in both the cases of experimental formulation. Finasteride and Tadalafil could be traced to be present in the blood for 8 h and 16 h after oral administration, which indicates the effectiveness of drug release from the formulation.
The pharmacokinetic parameters Cmax, Tmax, T1/2, Kel, Ka, AUC0-t, AUC0-∞ were calculated and the data is shown in table 6 [72, 73]. The Cmax for Finasteride and Tadalafil were found to be 47.147ng/ml and 47.502 ng/ml respectively. The Tmax for Finasteride and Tadalafil were found to be 2h and 2h respectively. The t½ values were 8h and 16h respectively for Finasteride and Tadalafil. The pharmacokinetic parameters of Finasteride and Tadalafil were shown in table 6.

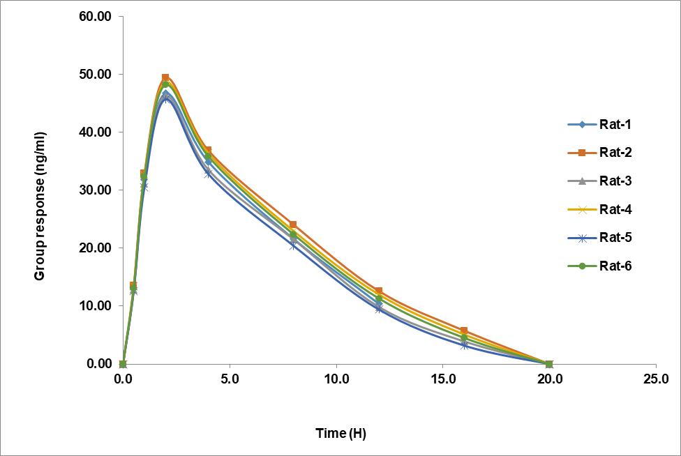
A

B
Fig. 4: Recovery plot (A) Finasteride and (B) Tadalafil
For the primary time higher sensitive HPLC-ESI-LCMS/MS method was developed and validated for the determination of Finasteride and Tadalafil in rat plasma. Here the described method is rugged, fast, reproducible bio-analytical method. This method was validated according to USFDA guidelines. Simple and efficient method was developed and may be utilized in pharmacokinetic studies and to see the investigated analyte in body fluids.
I thankful to my guide for encouragement and supporting to finish this research work.
None
Yesupadamu has collected the literature and information about the drug and carried out the research samples and prepared the manuscript. David Raju check the data and reviewed the article.
Author declares that there have been no conflicts of interest.
Silva V, Grande AJ, Peccin MS. Physical activity for lower urinary tract symptoms secondary to benign prostatic obstruction. Cochrane Database Syst Rev. 2019;4(4):CD012044. doi: 10.1002/14651858.CD012044.pub2, PMID 30953341.
Hwang EC, Gandhi S, Jung JH, Imamura M, Kim MH, Pang R. Naftopidil for the treatment of lower urinary tract symptoms compatible with benign prostatic hyperplasia. Cochrane Database Syst Rev. 2018;10(10):CD007360. doi: 10.1002/14651858.CD007360.pub3, PMID 30306544.
Keehn A, Taylor J, Lowe FC. Phytotherapy for benign prostatic hyperplasia. Curr Urol Rep. 2016;17(7):53. doi: 10.1007/s11934-016-0609-z, PMID 27180172.
McNicholas TA. Benign prostatic hyperplasia and new treatment options-a critical appraisal of the UroLift system. Med Devices (Auckl). 2016;9:115-23. doi: 10.2147/MDER.S60780, PMID 27274321.
Knezevich EL, Viereck LK, Drincic AT. Medical management of adult transsexual persons. Pharmacotherapy. 2012;32(1):54-66. doi: 10.1002/PHAR.1006, PMID 22392828.
Morinaga H, Mohri Y, Grachtchouk M, Asakawa K, Matsumura H, Oshima M. Obesity accelerates hair thinning by stem cell-centric converging mechanisms. Nature. 2021;595(7866):266-71. doi: 10.1038/s41586-021-03624-x, PMID 34163066.
Ramos PM, Miot HA. Female pattern hair loss: a clinical and pathophysiological review. An Bras Dermatol. 2015;90(4):529-43. doi: 10.1590/abd1806-4841.20153370, PMID 26375223.
Polak Witka K, Rudnicka L, Blume Peytavi U, Vogt A. The role of the microbiome in scalp hair follicle biology and disease. Exp Dermatol. 2020;29(3):286-94. doi: 10.1111/exd.13935, PMID 30974503.
Matsumura H, Mohri Y, Binh NT, Morinaga H, Fukuda M, Ito M. Hair follicle aging is driven by transepidermal elimination of stem cells via COL17A1 proteolysis. Science. 2016;351(6273):aad4395. doi: 10.1126/science.aad4395, PMID 26912707.
Nomani H, Mohammadpour AH, Moallem SM, YazdanAbad MJ, Barreto GE, Sahebkar A. Anti-androgen drugs in the treatment of obsessive-compulsive disorder: a systematic review. Curr Med Chem. 2020;27(40):6825-36. doi: 10.2174/0929867326666191209142209, PMID 31814547.
Zorumski CF, Paul SM, Covey DF, Mennerick S. Neurosteroids as novel antidepressants and anxiolytics: GABA-A receptors and beyond. Neurobiol Stress. 2019;11:100196. doi: 10.1016/j.ynstr.2019.100196, PMID 31649968.
Reddy DS, Estes WA. Clinical potential of neurosteroids for CNS disorders. Trends Pharmacol Sci. 2016;37(7):543-61. doi: 10.1016/j.tips.2016.04.003, PMID 27156439.
Morrow AL, Boero G, Porcu P. A rationale for allopregnanolone treatment of alcohol use disorders: basic and clinical studies. Alcohol Clin Exp Res. 2020;44(2):320-39. doi: 10.1111/acer.14253, PMID 31782169.
Wang Y, Bao Y, Liu J, Duan L, Cui Y. Tadalafil 5 mg once daily improves lower urinary tract symptoms and erectile dysfunction: a systematic review and meta-analysis. Low Urin Tract Symptoms. 2018;10(1):84-92. doi: 10.1111/luts.12144, PMID 29341503.
Qato DM, Wilder J, Schumm LP, Gillet V, Alexander GC. Changes in prescription and over-the-counter medication and dietary supplement use among older adults in the United States, 2005 vs 2011. JAMA Intern Med. 2016;176(4):473-82. doi: 10.1001/jamainternmed.2015.8581, PMID 26998708.
Humbert M, Kovacs G, Hoeper MM, Badagliacca R, Berger RM, Brida M. ESC/ERS guidelines for the diagnosis and treatment of pulmonary hypertension. Eur Heart J. 2022;43(38):3618-731. doi: 10.1093/eurheartj/ehac237, PMID 36017548.
Bordones Crom A, Patnaik SS, Menon PG, Murali S, Finol E. Morphological analysis of the right ventricular endocardial wall in pulmonary hypertension. J Biomech Eng. 2021;143(7). doi: 10.1115/1.4050457, PMID 33704381.
Mouratoglou SA, Bayoumy AA, Noordegraaf AV. Prediction models and scores in pulmonary hypertension: a review. Curr Pharm Des. 2021;27(10):1266-76. doi: 10.2174/1381612824999201105163437, PMID 33155897.
Petersen KS, Kris Etherton PM. Diet quality assessment and the relationship between diet quality and cardiovascular disease risk. Nutrients. 2021;13(12):4305. doi: 10.3390/nu13124305, PMID 34959857.
Semsarian C, Ingles J, Ross SB, Dunwoodie SL, Bagnall RD, Kovacic JC. Precision medicine in cardiovascular disease: genetics and impact on phenotypes: JACC focus seminar 1/5. J Am Coll Cardiol. 2021;77(20):2517-30. doi: 10.1016/j.jacc.2020.12.071, PMID 34016265.
Sola J, Bertschi M, Krauss J. Measuring pressure: introducing oBPM, the optical revolution for blood pressure monitoring. IEEE Pulse. 2018;9(5):31-3. doi: 10.1109/MPUL.2018.2856960, PMID 30273141.
Chandrasekhar A, Kim CS, Naji M, Natarajan K, Hahn JO, Mukkamala R. Smartphone-based blood pressure monitoring via the oscillometric finger-pressing method. Sci Transl Med. 2018;10(431):eaap8674. doi: 10.1126/scitranslmed.aap8674, PMID 29515001.
Abdelazim AH, Ramzy S. Simultaneous spectrophotometric determination of finasteride and tadalafil in recently FDA approved Entadfi™ capsules. BMC Chem. 2022;16(1):55. doi: 10.1186/s13065-022-00850-w, PMID 35906639.
Pappula N, Kodali B, Datla PV. Selective and rapid determination of tadalafil and finasteride using solid phase extraction by high performance liquid chromatography and tandem mass spectrometry. J Pharm Biomed Anal. 2018;152:215-23. doi: 10.1016/j.jpba.2018.01.020, PMID 29427880.
Kammoun AK, Khayat MT, Almalki AJ, Youssef RM. Development of validated methods for the simultaneous quantification of finasteride and tadalafil in newly launched FDA-approved therapeutic combination: greenness assessment using AGP, analytical eco-scale, and GAPI tools. RSC Adv. 2023;13(17):11817-25. doi: 10.1039/D3RA01437A, PMID 37077997.
Ramadevi P, Rambabu K. Bioanalytical method development and validation for ezetimibe and pitavastain and its applications to pharmacokinetic studies in Rabbit plasma by using LCMS/MS. IJRPS. 2020;11(4):7854-62. doi: 10.26452/ijrps.v11i4.4670.
Eluru A, Surendra Babu K. Bioanalytical method development and validation for aplidine in rat plasma and their pharmacokinetic studies by LCMS. WJPPS. 2019;8:1201-9.
Ramchandran D, Kethipalli A, Krishnamurthy M. Bio-analytical method development and validation of daunorubicin and cytrarabine in rat plasma by LC-MS/MS and its application in pharmacokinetic studies. J Pharm Sci Res. 2020;12:381-6.
Naykode MD, Bhagwat DA, Jadhav SD, More HN. Analytical and bioanalytical method for quantification of pure azilsartan, not its salts by RP-HPLC. Res J Pharm Technol. 2017;10(3):708-14. doi: 10.5958/0974-360X.2017.00133.0.
Singh M, Charde M, Shukla R, Rita MC. Determination of calcipotriene in calcipotriene cream 0.05% w/w by RP-HPLC method development and validation. Res J Pharm Technol. 2011;4:1219-23.
Malathi S, Arunadevi N. Development and validation of stability-indicating simultaneous estimation of metformin and alogliptin in tablets by high-performance thin layer chromatography. Int J Pharm Pharm Sci. 2020;12:68-73.
Senthil Rajan D, Muruganathan G, Shivkumar K, Ganesh T. Development and validation of HPLC method for simultaneous quantification of vasicine, glycyrrhizin and piperine in polyherbal cough syrup. Int J Curr Pharm Res. 2020;12:15-9.
Shanmugasundaram P, Kamarapu SK. RP-HPLC method for the simultaneous estimation and validation of amlodipine besylate and atenolol in bulk and tablet dosage form in biorelevant dissolution medium (Fassif). Res J Pharm Technol. 2017;10(10):3379-85. doi: 10.5958/0974-360X.2017.00601.1.
Gomathy S, Narenderan ST, Meyyanathan SN, Gowramma B. Development and validation of HPLC method for the simultaneous estimation of apigenin and luteolin in commercial formulation. J Crit Rev. 2020;7:4785-90.
kumar SA, Debnath Anidipa, Rao JV, Sankar DG. Development and validation of a sensitive RP-HPLC method for simultaneous estimation of rosuvastatin and fenofibrate in tablet dosage form by using PDA detector in gradient mode. Res J Pharm Technol. 2016;9(5):549-54. doi: 10.5958/0974-360X.2016.00104.9.
Malak Y, Al-Bathish AA, Gazy MK, El-Jamal. RP-HPLC and chemometric methods for the determination of two antidiabetic mixtures; metformin hydrochloride-canagliflozin and metformin hydrochloride-gliclazide in their pharmaceutical formulation. Int J Pharm Pharm Sci. 2020;12:83-94.
Gadhvi MP, Bhandari A, Suhagia BN, Desai UH. Development and validation of RP-HPLC method for simultaneous estimation of atazanavir and ritonavir in their combined tablet dosage form. Res J Pharm Technol. 2013;6:200-3.
Koya Prabhakara Rao Nl, A Amara Babu, Kalyani Koganti, Babji Palakeeti, Koduri SV Srinivas. Related substances method development and validation of an LC-MS/MS method for the quantification of selexipag and its related impurities in rat plasma and its application to pharmacokinetic studies. SN Appl Sci. 2021;3:321.
Hasanah YI, Harahap Y, Suryadi H. Development and validation method of cyclophosphamide and 4-hydroxy cyclophosphamide with 4-hydroxy cyclophosphamide-D4 as internal standard in dried blood spots using UPLC-MS/MS. Int J Appl Pharm. 2021;13:148-52.
Naveen VM, Veeraswami B, Srinivasa Rao G. High response bio-analytical validation approach of nadolol and Bendroϑlumethiazide by LC-MS/MS on rat plasma. IJRPS. 2020;11(SPL4):2272-9. doi: 10.26452/ijrps.v11iSPL4.4454.
Kumari GK, Kantipudi R. Bio analytical method development and validation for Avapritinib in rat plasma by LC-MS/MS. J Pharm Sci Res. 2021;13:134-7.
Hemanth Kumar AK, Sudha V, Vijayakumar A, Padmapriyadarsini C. Simultaneous method for the estimation of bidaquiline and delamanid in human plasma using high performance liquid chromatography. Int J Pharm Pharm Sci. 2021;13:36-40.
Chaitanya SM, Nissankararao S, Gandham S. A sort of validated bioanalytical method developed for the estimation of etoposide and cisplatin in rat plasma by using two different advanced liquid chromatographic techniques like HPLC and UPLC and its application in bioequivalence studies. IJRPS. 2021;12(1):708-17. doi: 10.26452/ijrps.v12i1.4167.
Sura RS, Cvs S, Rachamalla SS. Bioanalytical RP-HPLC method development and validation of clopidogrel bisulfate in wistar rat plasma and its application to pharmacokinetic study. Int J App Pharm. 2022;14:106-11. doi: 10.22159/ijap.2022v14i1.43328.
Thomas A, Varkey J. Development and validation of a new RP-HPLC analytical method for the determination of etodolac succinic acid co. crystals in spiked rabbit plasma. Int J Curr Pharm Sci. 2023;15:59-63. doi: 10.22159/ijcpr.2023v15i2.2098.
Shah SK, Dey S, De S. Simultaneous determination of atorvastatin and atenolol in rabbit plasma by RP-HPLC method and its application in pharmacokinetic study. Int J Curr Pharm Sci. 2022;14:72-8. doi: 10.22159/ijcpr.2022v14i2.1968.
Sunder BS, Mittal AK. Bio-analytical method development and validation for simultaneous determination of ledipasvir and sofosbuvir drugs in human plasma by RP-HPLC method. Int J Curr Pharm Sci. 2018;10(3):21-6. doi: 10.22159/ijcpr.2018v10i3.27223.
Kulkarni DC, Dadhich AS, Annapurna MM. Method development and validation of a new stability indicating HPLC and LC-APCI-MS methods for the determination of bumetanide. Res J Pharm Technol. 2023;16:3809-7.
Saurav R, Derle DD, Wakchaure AA, Amrutkar AA, More AV. Development and validation of bio-analytical method for the estimation of Rivaroxaban using RP-HPLC with liquid extraction in human blood plasma and its application in bioequivalence study. Res J Pharm Technol. 2024;17:739-5.
Tamilselvi N, Kanagapriya K. Bioequivalence study and bioanalytical method development of Remogliflozin etabonate tablets in wistar rat plasma using RP-HPLC method. Res J Pharm Technol. 2024;17:789-94. doi: 10.52711/0974-360X.2024.00122.
Marakatham S, Shanmugapandiyan P. Stability indicating bioanalytical validation of elexacaftor, ivacaftor and tezacaftor using HPLC in human plasma. Res J Pharm Technol. 2023;16:3780-6. doi: 10.52711/0974-360X.2023.00624.
Yamani NS, Mathrusri Annapurna M, Raj Kumar PV. A new stability indicating HPLC and LC-APCI-MS methods for the estimation of dacomitinib in pharmaceutical dosage forms. Res J Pharm Technol. 2023;16:4391-8. doi: 10.52711/0974-360X.2023.00718.
Eluru J, Mathrusri Annapurna MA. A new stability indicating HPLC and LC-APCI-MS methods for the estimation of flucytosine in pharmaceutical dosage forms. Res J Pharm Technol. 2023;16:5296-302. doi: 10.52711/0974-360X.2023.00858.
Anusha Venna RS, Koppala RVSC, Aleti R, Ramana Murthy Kolapalli V. Bioanalytical method for the preclinical estimation of donepezil hydrochloride in rabbit plasma by RP-HPLC. Res J Pharm Technol. 2023;16:5207-2.
Vaka PR, Battula SR. Sensitive and rapid LCMS/MS method for the estimation of recently approved antiviral drugs maribavir and fostemsavir in spiked human plasma. Res J Pharm Technol. 2023;16:5149-4.
Jabeen SBV. Simultaneous determination of cefepime and tazobactam by using hyphenated liquid chromatography. Res J Pharm Technol. 2024;17:67-3.
Manoranjani M. LC-MS/MS method for simultaneous estimation of ethinyl estradiol and etonogestrel in rat plasma and its application to pharmacokinetic study. High Technol Lett. 2023;29:543-56.
Satyadev TN, Uma Mahesh A, Durga Bhavani N, Rohith M. High performance liquid chromatographic-mass spectrometric method for development and validation of belzutifan in rat plasma. High Technol Lett. 2023;29:640-54.
Baje Syed IB, Nannapaneni M. Bio analytical validation method for capmatinib and spartalizumab in rabbit plasma by using highly effective mass spectrophotometric method. Rasayan J Chem. 2022;15(4):2748-55. doi: 10.31788/RJC.2022.1547098.
Prasanthi S, Himabindu G. Bioanalytical method for simultaneous estimation of ezetimibe and pitavastatin and its application to pharmacokinetic studies using UPLC. Ymer. 2022;21(2):718-32. doi: 10.37896/YMER21.02/67.
Prasanthi S, Himabindu G. Assay of bioanalytical method for the estimation of avelumab and axitinib using UPLC and its application to pharmacokinetic studies. JPRI. 2022;34:1-10. doi: 10.9734/jpri/2022/v34i27A35988.
Kantipudi R, Pavuluri SK. Bioanalytical method development and validation for the simultaneous estimation of olanzapine and samidorphan in rabbit plasma by using HPLC–MS/MS and application to pharmacokinetic study. Futur J Pharm Sci. 2024;10(1):1-14. doi: 10.1186/s43094-023-00570-5.
Rathore MK, Mohan Reddy TR. Tandem mass spectrometric method for the trace level determination of 2-aminopyridine: a potential genotoxic impurity in tenoxicam API. Int J Pharm Pharm Sci. 2024;16:50-6. doi: 10.22159/ijpps.2024v16i4.49902.
Gurav P, Damle M. Bioanalytical method for estimation of teriflunomide in human plasma. Int J Pharm Pharm Sci. 2022;14:19-23.
Elham G, Sima S, Javad S, Shahram S. Analytical method validation, pharmacokinetic and bioequivalence study of dimethyl fumarate in healthy Iranian volunteers. Int J Pharm Pharm Sci. 2021;13:6-10. doi: 10.22159/ijpps.2021v13i9.42328.
Hemanth Kumar AK, Sudha V, Vijaya Kumar A, Padmapriyadarsini P. Simultaneous method for the estimation of bedaquiline and delamanid in Human Plasma using high-performance liquid chromatography. Int J Pharm Pharm Sci. 2021;13:36-40.
Sellappan M, Devakumar D. Development and validation of RP-HPLC method for the estimation of escitalopram oxalate and flupentixol dihydrochloride in combined dosage form and plasma. Int J Pharm Pharm Sci. 2021;13:61-6. doi: 10.22159/ijpps.2021v13i2.30158.
Halder D, Das S, Ghosh B, Biswas E. An LC-MA/MS based bio analytical approach to resolve pharmacokinetic investigation of acotiamide hydrochloride and its application to a bioequivalence study. Int J Pharm Pharm Sci. 2020;12:76-84.
Korake S, Pawar A, Surywanshi S, Bothiraja C, Pawar A. High performance liquid chromatography for the simultaneous estimation of cefoperazone and sulbactam in rat plasma and its importance in therapeutic drug monitoring. Int J Pharm Pharm Sci. 2020;12:92-7. doi: 10.22159/ijpps.2020v12i10.38638.
Kantipudi R, Pavuluri SK. Bioanalytical method development and validation for the simultaneous estimation of olanzapine and samidorphan in rabbit plasma by using HPLC–MS/MS and application to pharmacokinetic study. Futur J Pharm Sci. 2024;10(1):1-14. doi: 10.1186/s43094-023-00570-5.
Talari S, Vejendla A, Shetty RK. Development and validation of a UPLC-MS/MS method for the simultaneous determination of verapamil and trandolapril in rat plasma: application to a pharmacokinetic study. Curr Pharm Anal. 2022;18(3):291-304. doi: 10.2174/1573412917666210302145711.
Talari S, Vejendla A, Boddapati SN, Kalidindi J. LC-MS/MS method development and validation of lenvatinib and its related impurities in rat plasma: application to a pharmacokinetic study. Curr Pharm Anal. 2022;18(6):614-28. doi: 10.2174/1573412918666220330004440.
Yarlagadda SR, Pavani Y, Mannam SR. Simultaneous method development and validation of trastuzumab and hyaluronidase-risk and its pharmacokinetic studies with LC-MS/MS. J Pharm Sci Res. 2020;12:375-80.