
Department of Pharmaceutical Chemistry, Faculty of Pharmacy, Universitas Indonesia, Depok-16424, West Java, Indonesia
*Corresponding author: Baitha Palanggatan Maggadani; *Email: baitha.p@farmasi.ui.ac.id
Received: 18 Mar 2024, Revised and Accepted: 11 Jun 2024
ABSTRACT
Objective: This study aimed to evaluate the stability of retinol in facial serum products under various storage conditions during a specific period after the product is opened. Retinol analysis will be conducted using reversed-phase high-performance liquid chromatography with a UV detector.
Methods: The optimum analytical method in this study was validated according to the ICH Q2 (R1) guideline. The chromatographic separation of retinol was achieved on RP-HPLC isocratic elution method at a wavelength of 324 nm, C18 column, mobile phase of methanol-acetonitrile (90:10), and a flow rate of 0.8 ml/min.
Results: The recovery value for this method was 98.06%-101.6,6%, with RSD ≤ 2%. Limit of Detection (LOD) and limit of Quantification (LOQ) values obtained were 1.1819 µg/ml and 3.9399 µg/ml. Determining retinol levels in face serum samples with variation in storage conditions was conducted on d 0, 7, 14, 21, and 30. The retinol levels in all storage conditions decreased over the 30 d, ranging from 25% to 79%. The highest decrease was observed in samples stored in transparent containers and exposed to light, with a reduction of 79% and an average weekly decrease of 17%.
Conclusion: Stability evaluation of retinol in the serum formulation showed decreased retinol concentration over time during storage. Transferring the product to a secondary container and exposure to light resulted in a higher concentration decrease than storing it in the original bottle.
Keywords: Retinol, Face serum, HPLC, Stability
© 2024 The Authors. Published by Innovare Academic Sciences Pvt Ltd. This is an open access article under the CC BY license (https://creativecommons.org/licenses/by/4.0/)
DOI: https://dx.doi.org/10.22159/ijap.2024v16i4.50903 Journal homepage: https://innovareacademics.in/journals/index.php/ijap
In recent years, there has been significant interest in facial care products in Indonesia to prevent and minimize signs of aging, such as fine lines, wrinkles, and dark spots. One of the active ingredients used for this purpose is retinol [1–5]. Various cosmetic formulations containing retinol are available, such as creams, toners, and face serums.
Retinol in skincare products can stimulate fibroblast growth collagen production and reduce collagen degradation, thereby reducing wrinkles, redness, and hyperpigmentation spots on the facial skin [6]. According to the Scientific Committee on Consumer Safety (SCCS), the permitted concentration of retinol is 0.5% RE (Retinol Equivalents) for body lotions and 0.3% RE for hand and face creams as well as rinse-off products [7].
Retinol in cosmetics faces challenges regarding its stability. Previous studies have shown that the formulation, pH value, and other antioxidants in cosmetic products can influence the stability of retinol. The stability of retinol is also affected by storage conditions as it is sensitive to light, heat, and oxidation [8, 9]. The production process of retinol is generally conducted under inert atmospheres such as nitrogen or argon. Furthermore, for packaging, cosmetics containing retinol are packaged in light-proof or oxygen-proof containers [8]. Maintaining product quality once the product is in consumers' hands poses challenges. Currently, there is a trend of "share-in-jar" in cosmetics. The concept of "share-in-jar" is to divide the content of a product into several smaller containers [10]. The purpose of "share-in-jar" is to allow consumers or cosmetic users to try the product without purchasing the full-sized version of the product. Containers used in "share-in-jar" for serum formulations vary, from colorless to a brown glass container equipped with a dropper in the bottle cap.
Research on retinol analysis and testing retinol's stability in cosmetic preparations has been extensively conducted. However, with the recent share-in-jar trend, awareness regarding retinol stability after the product is opened and transferred to a secondary jar has increased. Research on the stability of retinol after the packaging is opened is still limited; thus, the urgency of conducting this research is very high. Hence, this study aims to assess the stability of retinol concentrations in serum formulations under different storage conditions post-opening and subsequent transfer to secondary containers in share-in-jar products.
This study's analytical method used for retinol is High-Performance liquid Chromatography (HPLC) with a UV-Vis detector. The chosen separation method is reverse-phase HPLC with isocratic elution. Several mobile phase compositions and flow rate variations were explored to achieve optimum chromatographic conditions. Method validation was conducted based on ICH Q2 (R1) guidelines with parameters tested, including selectivity, accuracy, precision, linearity, robustness, sensitivity (LOD), and quantitation limit (LOQ).
Chemical and reagents
Retinol standard was purchased from Sigma-Aldrich (United States). Acetonitrile and methanol HPLC grades were obtained from Merck (Germany). Ultrapure water was purchased from Ikapharmindo (Indonesia). Samples used in the analysis were two face serum products marketed in Indonesia, which consist of product A (labeled retinol strength 1%) and product B (labeled retinol strength 0.3%) (Indonesia).
HPLC conditions
Analysis was performed using High-Performance liquid Chromatography Shimadzu lC-20 AT (Shimadzu, Japan) equipped with UV-Vis SPD-20A detector (Shimadzu, Japan). Separation was achieved using a C18 column (250 mm × 4.6 mm; 5 µm) (YMC®, Japan).
Optimization of mobile phase conditions
Four combinations of mobile phases were tested to determine the optimum conditions, namely methanol-water (95:5 v/v), methanol-water (90:10 v/v), methanol-acetonitrile (95:5 v/v), and methanol-acetonitrile (90:10 v/v). The prepared mobile phase mixtures are stored in bottles and then sonicated for 5 min. Each combination of mobile phases was then filtered using a 20 µm filter paper. After filtration, each mobile phase combination was sonicated again for 15 min.
Preparation of retinol stock solution and standards
A 100 µg/ml retinol stock solution is prepared by carefully weighing 10 mg retinol standard, which is then transferred to a 100.0 ml volumetric flask lined with aluminum foil and diluted in methanol.
Calibration standard solutions were prepared by diluting the 100 µg/ml retinol standard stock solution in methanol. The 100 µg/ml stock solution is diluted with methanol to obtain retinol standard solutions with concentrations of 10, 20, 30, 40, 50, and 60 µg/ml.
A standard solution of retinol with concentrations of 12, 15, and 18 µg/ml was prepared for accuracy and precision testing, which was done by pipetting 6 ml of 40, 50, and 60 µg/ml retinol standard into a 10.0 ml volumetric flask and diluted with serum placebo. The obtained serum mixture was vortexed for 1 min and sonicated for 3 min. 5 ml of the serum mixture is pipetted into a 10 ml volumetric flask, then diluted with methanol and centrifuged for 5 min at 5000 rpm. Each test solution is filtered using a 0.45 µm syringe filter.
Preparation of sample solution
Sample A 1% was diluted 167 times in methanol to obtain a final concentration of 60 µg/ml, while sample B 0.3% was diluted 100 times in methanol to obtain a final concentration of 30 µg/ml. Diluted samples were then extracted using a method adapted and modified from Vállez-Gomis et al. (2022) [11], which uses vortex and sonication. The samples were vortexed for 1 min, sonicated for 10 min, and centrifuged for 10 min at 5000 rpm.
Determination of optimum analytical conditions
Analytical conditions were optimized by varying the flow rate (0.8 – 1.2 ml/min) and composition of the mobile phase, which consists of solution A (methanol-water 90:10 and 95:5 v/v) and solution B (methanol-acetonitrile 90:10 and 95:5 v/v). The optimum condition was selected based on the parameters that resulted in a relatively quick retention time, the highest peak area and efficiency [12].
System suitability test
System suitability test was performed by injecting 20 µg/ml standard solution of retinol into the HPLC system using the optimum chromatographic conditions, which was done in six replicates.
Analytical method validation
Analytical method validation was performed according to the ICH Q2 (R1) guideline [13]. Selectivity testing was conducted by comparing chromatograms from the injection of methanol solution, methanol-acetonitrile mobile phase (90:10), blank sample simulation solution, simulation sample 15 µg/ml, 10 µg/ml retinol standard, sample solution A, and sample solution B.
Accuracy and precision were tested by injecting 20 µL of retinol standard solution with concentrations of 12, 15, and 18 µg/ml. The test was conducted with three replicates for solution with concentrations of 12 µg/ml and 18 µg/ml and six replicates for 15 µg/ml.
Linearity was analyzed using the least-square method to determine linear regression using six calibration standards containing retinol in the concentrations of 10, 20, 30, 40, 50, and 60 µg/ml. The limit of detection (LOD) and quantification (LOQ) were determined based on the calculated calibration curve.
Sample storage conditions
Samples of products A and B containing retinol were stored under two different conditions, which simulated standard cosmetic product storage practiced by customers. Variations were also made regarding containers used to store products A and B.
The face serums were stored in brown and colorless glass bottle containers, which were simulated commonly used in share-in-jar packaging for face serums in the market.
Analysis was conducted on d 0, 7, 14, 21, and 30 after opening the product. 20 µL sample solution of products A and B were injected into the HPLC system under the optimum chromatographic conditions.
Optimum analytical condition
In this study, chromatographic conditions were optimized on mobile phase composition and flow rate parameters. An optimum analytical condition was selected based on the chromatogram, which shows the highest peak area, smaller HETP value, theoretical plate number (N)>2500, tailing factor ≤ 2, and relatively short retention times.
The tested mobile phase compositions were methanol-water (95:5 v/v), methanol-water (90:10 v/v), methanol-acetonitrile (95:5 v/v), and methanol-acetonitrile (90:10 v/v). Each mobile phase composition was tested with flow rates of 0.8, 1.0, and 1.2 ml/min. The results of the optimization can be seen in Table 1.
Table 1: Determination of optimum chromatographic condition
| Mobile phase | Flow rate (ml/min) | Area (µV/s) | Retention time (min) | HETPa | Tailing factor | Nb |
| Methanol-water (95:5 v/v) | 0.8 | 2415499 | 9.876 | 10.892 | 1.149 | 13771 |
| 1.0 | 1859890 | 7.627 | 12.873 | 1.141 | 11653 | |
| 1.2 | 1609248 | 6.558 | 14.531 | 1.150 | 10323 | |
| Methanol-water (90:10 v/v) | 0.8 | 2264260 | 16.125 | 11.165 | 1.136 | 13435 |
| 1.0 | 1781761 | 12.852 | 12.602 | 1.099 | 11903 | |
| 1.2 | 1468416 | 10.958 | 13.502 | 1.094 | 11109 | |
| Methanol-acetonitrile (95:5 v/v) | 0.8 | 2380052 | 6.536 | 12.686 | 1.249 | 11824 |
| 1.0 | 1929181 | 5.278 | 14.549 | 1.264 | 10310 | |
| 1.2 | 1641332 | 4.481 | 16.420 | 1.258 | 9135 | |
| Methanol-acetonitrile (90:10 v/v) | 0.8 | 2411149 | 6.556 | 12.624 | 1.257 | 11882 |
| 1.0 | 1966099 | 5.304 | 14.306 | 1.279 | 10485 | |
| 1.2 | 1661170 | 4.590 | 15.968 | 1.532 | 9334 |
aHETP, Height equivalent to a Theoretical Plate. bN, Number of the theoretical plate that indicates column efficiency.
The composition methanol-acetonitrile (90:10 v/v) resulted in peaks with higher area, lower HETP, and a greater theoretical plate number (N) and peak height compared to the methanol-acetonitrile (95:5 v/v). Separation using methanol-water (95:5 v/v) and methanol-water (90:10 v/v) resulted in a longer retention time compared to methanol-acetonitrile; hence it was deemed unsuitable for efficient separation.
The flow rate of 0.8 ml/min resulted in a slower retention time than that of 1.0 ml/min and 1.2 ml/min. However, a slower flow rate provided a higher peak area, theoretical plate number, and lower HETP values, indicating effective separation of the analyte. Based on the optimization conducted, methanol-acetonitrile (90:10 v/v) with a flow rate of 0.8 ml/min was chosen as the optimum condition for retinol analysis.
Analytical method validation
Analytical method validation is conducted to ensure that the optimum condition has met the criteria of method validation parameters based on ICH Q2 (R1) guidelines. Parameters tested include selectivity, accuracy, precision, linearity, determination of lOD and lOQ, and method robustness with measurement variation. Selectivity test results showed no interference around the retinol retention time, indicating that the analytical method used can detect retinol in samples A and B selectively (1).

Fig. 1: Chromatogram of the blank sample, sample A, and sample B
The linearity was determined using an external calibrator of 10-60 µg/ml. The result demonstrated a strong correlation between concentration and detector response, with a correlation coefficient or r value of 0.9997 and %Vxo value of 1.13%. lOD and lOQ were calculated statistically, resulting in lOD and lOQ of 1.181 µg/ml and 3.939 µg/ml, respectively. The low lOD and lOQ concentration and the wide range of the analysis made this developed method suitable for studying samples containing retinol in various concentrations. The calibration curve can be seen in 2.

Fig. 2: Calibration curve of retinol (10-60 µg/ml)
Accuracy, precision, and recovery were assessed by analyzing simulated samples at concentrations of 12, 15, and 18 µg/ml, which were then tested intra-day and inter-day for three consecutive d. Results of the analysis showed that RSD values are in the range of 1.12-1.26%, with a recovery range of 98.06-101.66%. This result indicates that the analytical method is able to produce precise and accurate results. The result of the accuracy and precision testing is shown in Table 2.
Table 2: Accuracy and precision of simulated samples of retinol
| Concentration of simulated samples (µg/ml) | Intra-day | Inter-day | ||
| Recovery mean(%)±SDa | RSDb (%) | Recovery mean(%)±SDa | RSDb (%) | |
| 12 | c100.54±1.27 | 1.26 | c98.82±1.24 | 1.25 |
| 15 | c99.91±1.23 | 1.26 | c98.84±1.26 | 1.26 |
| 18 | c99.53±1.18 | 1.19 | c99.78±1.12 | 1.12 |
aSD: Standard deviation, bRSD (%): relative standard deviation: 100*SD/mean, cMean±SD (n=5)
System suitability testing is conducted to ensure that the chromatography system can be used and gives a precise and accurate analysis result. In the system suitability test, the average retention time obtained is 6.27 min with a coefficient of variation (%RSD) of 0.47%. The average chromatogram area is 4048269 µV/s with a %RSD for a chromatogram area of 0.23%. The system suitability test has met the requirements, with %RSD ≤ 2.0%, tailing factor ≤ 2, and theoretical plate number (N)>2500 [14, 15].
The result of system suitability can be seen in
Table 3.
Table 3: System suitability test result
| No | Area (µV/s) | Retention time (min) | Tailing factor (T) | Theoretical plate number (N) |
| 1 | 4054467 | 6.25 | 1.57 | 7739 |
| 2 | 4056519 | 6.26 | 1.57 | 7698 |
| 3 | 4042955 | 6.32 | 1.57 | 7743 |
| 4 | 4058964 | 6.24 | 1.58 | 7648 |
| 5 | 4039073 | 6.27 | 1.58 | 7724 |
| 6 | 4037636 | 6.26 | 1.59 | 7670 |
| mean (n=6) | 4048269 | 6.27 | 1.58 | 7704 |
| aSD | 9452 | 0,029 | 0.01 | 38.66 |
| bRSD (%) | 0.23 | 0.47 | 0.43 | 0.50 |
aSD: Standard deviation, bRSD (%): relative standard deviation: 100*SD/mean
The robustness of the reported method was determined by making small, deliberate changes in the various chromatographic conditions, which consists of mobile phase composition (±2%) and conducting the analysis with different instruments.
A variation of approximately 1% in the mobile phase composition was used for robustness. The selected variations in the mobile phase were methanol-acetonitrile (91:9) and methanol-acetonitrile (89:11). For the mobile phase of methanol-acetonitrile (91:9), the coefficient of variation (RSD) obtained was 1.43%. Subsequently, the coefficient of variation for the methanol-acetonitrile (89:11) with a flow rate of 0.8 ml/min was 1.28%.
The average retention time in both mobile phase variations with a flow rate of 0.8 ml/min was 6.46 min. These results indicated that small changes in the mobile phase composition do not affect the accuracy and precision of the analytical method (Table 4).
Table 4: Robustness of the developed analytical method
| Mobile phase | Retention time (min) | Area (µV/s) | aSD | bRSD (%) |
| Methanol-acetonitrile (91:9) | 6.44 | 2330306 | 33632.15 | 1.44 |
| 6.45 | 2375472 | |||
| 6.48 | 2309722 | |||
| Methanol-acetonitrile (89:11) | 6.48 | 2345747 | 30153.78 | 1.28 |
| 6.46 | 2332934 | |||
| 6.46 | 2390376 |
aSD: Standard deviation, bRSD (%): relative standard deviation: 100*SD/mean
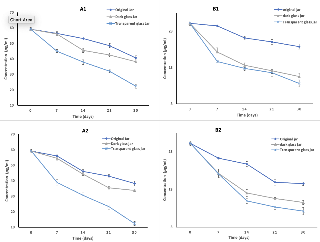
Influence of storage conditions in retinol concentrations in samples
Two face serum samples containing retinol (further referred to as Sample A and B), which are already registered with the Indonesian Food and Drug Authority (Indonesian FDA/BPOM), were obtained from a cosmetics store. The product's original packaging comprised dark glass bottles, which were further protected by secondary cardboard packaging. The samples were stored under two conditions: indoors and shielded from light and in a room exposed to light. Samples were collected and analyzed on d 0, 7, 14, 21, and 30. Two types of containers were utilized for stability testing after transferring the products. The product from the original jar was aseptically transferred using sterile pipettes to a dark glass bottle and a transparent bottle. Testing was conducted under the same conditions and procedures as the original bottle.
Sample A has a labeled retinol content of 1%. To prepare the solution for sample A, dilution was carried out with a dilution factor 167, resulting in an expected concentration of 60 µg/ml. On day 0, the average retinol concentration measured in sample A was 59.71±1.09 µg/ml, which showed that the actual concentration in the product matched the labeled concentration. The labeled retinol content for sample B is 0.3%. The face serum sample was diluted 100 times, resulting in an expected sample solution of 30 µg/ml. On day 0, the measured retinol concentration in sample B was 25.20±1.32 µg/m, which was lower than the labeled concentration.
A decrease in concentration is observed in all the samples that were stored protected from light. For samples stored in the original containers, the reduction in concentration on day 30 was 31.17% for sample A and 25.56% for sample B. 35.41% and 40.12% decline in concentration was observed for samples A and B that were transferred and re-stored in a dark bottle, respectively. Samples that were transferred and stored in transparent containers showed a decrease of 62.25% and 65.86% for samples A and B, respectively. Among all containers used, the samples that were transferred and re-stored in transparent containers showed the lowest concentration after storage. The decrease in transferred products was more significant than those stored in their original packaging.
Samples that were stored not protected from light showed an even higher concentration decrease than those protected from light. Samples in their original packaging showed a decrease in concentration of 35.38% in sample A and 42.49% in sample B. For samples that were transferred and re-stored in a dark bottle, the decrease in concentration for samples A and B was 42.91% and 62.28%, respectively. The decreased concentration observed in transferred products was greater than in those stored in their original packaging. After 30 d, the decrease in concentration for samples A and B that were transferred and stored in transparent containers was 79.14% and 71.36%, respectively. These samples showed the highest decrease in concentration compared to other containers and storage conditions. The results of stability testing on various containers and storage conditions are shown in 3.

Fig. 3: Stability of retinol in two face serum products labeled as samples A and B after storage protected from light (A1, B1) and exposed to light (A2, B2). The result was presented as mean ±SD (n=3)
This study focuses on testing the stability of retinol in serum products during the post-opening period and after transferring the product to a secondary container. The retinol content was recorded at the initial opening and was subsequently tested at intervals of 7 d up to 30 d. Retinol quantification was performed using RP-HPLC with a UV detector. The extraction process and preparation of the serum formulation followed the method described by Vallez-Gomiz et al., 2022 [11].
The separation was achieved using a mobile phase of methanol-water (95:5) and methanol-water (90:10). However, both combinations of water-based mobile phases resulted in longer retention times compared to acetonitrile. The use of a methanol and acetonitrile combination (90:10) resulted in rapid separation, specifically within 6 min, with adequate N, HETP, and Tf. The acetonitrile in mobile phase combination yielded better results due to the solubility of retinol in acetonitrile and the physicochemical properties of acetonitrile, which can reduce hydrophobic interactions between retinol and the stationary phase [12]. The obtained retention time was faster compared to the results of the research conducted by Herceglija in 2021 using an ammonium acetate-methanol (12:88 v/v) mobile phase, resulting in a retention time of 12.0-12.6 min [1]. Buffer solutions were not used as a mobile phase in this study because they would not allow the target analyte to be properly ionized. The use of acetonitrile in this study provided better separation results compared to water or ammonium acetate.
The flow rate was also optimized in this study. Increasing the flow rate from 0.8 to 1.2 ml/min resulted in faster retention times but was not proportional to the separation efficiency. The area and N generated at a flow rate of 1.2 were smaller than at 0.8 ml/min. Flow rate impacts linear velocity, which affects mass transfer kinetics and separation. In this study, an increase in flow rate resulted in insufficient separation; hence, a flow rate of 0.8 ml/min was used for retinol quantification. The validation of the analytical method developed in this study yielded good results. The outcomes of the validation parameters, encompassing selectivity, linearity, lOQ, lOD, precision, accuracy intraday and inter-day, system suitability, and robustness, fulfilled the criteria outlined in the ICH Q2 (R1) guidelines [13].
The use of retinol in cosmetic or skincare products has been associated with stability-related issues. Based on previous studies, retinol stability was influenced by the formulation of the product, pH, and other antioxidant compounds in cosmetics. Retinol is susceptible to light, heat, and oxidation; hence, the stability of retinol is also affected by storage conditions [8, 16]. Retinol is also sensitive to UVA and UVB radiation, reducing its levels in the human epidermis [17].
In our study, the concentration of retinol in samples A and B under both light-protected and light-exposed storage conditions showed significant decreases during 30 d of use. Products that were stored in their original packaging under light-protected container showed a smaller decrease in retinol concentration (31.17% for sample A and 25.56% for sample B) compared to the products that were stored in light-unprotected shelf (35.38% in sample A and 42.49% for sample B). The highest reduction in retinol concentrations occurred in the product transferred to a secondary container, particularly in a transparent jar, showing a decline of up to 79.14% for sample A and 71.36% for sample B (day 30). This finding is consistent with a study conducted by Temova Rakuša et al. in 2021, in which samples exposed to light exhibited a higher decrease in concentration, up to 80% in six months after the product was opened [16]. The degradation of retinol in each sample can be attributed to various factors, such as exposure to light and air, which cause instability of retinol, thus reducing the retinol concentration in the samples [8, 16].
The effective concentration of retinol as an anti-aging agent ranged from low concentrations of 0.04% to high concentrations of 1% [3, 4, 18]. At those concentrations, retinol can reduce signs of aging, such as wrinkles, hyperpigmentation, and uneven skin tone. Based on the data obtained in this study, the concentration of retinol in sample A under all storage conditions on day 30 remains effective as an anti-aging agent, with the lowest concentration being 0.2%. Meanwhile, the lowest concentration for sample B is 0.08%. This indicates that the product can still be used as an anti-aging treatment but may not achieve the desired effects of high-concentration anti-aging treatments.
The method developed for quantifying retinol in facial serum was successfully validated according to ICH guidelines. Stability testing of retinol in the serum formulation revealed a decrease in retinol concentration over time during storage. The decline is primarily due to exposure to light and air when opening the bottle for use, as well as improper storage conditions and containers. The optimal condition for storing products containing retinol is in their original packaging and protected from light. Transferring the product to secondary containers resulted in a greater concentration decrease than storing it in the original bottle. While transferring a product to another container may still be feasible, carefully considering the transfer process and the type of secondary packaging is essential. Storage in transparent bottles is not recommended, as the product in this study showed a 79% decrease in concentration after 30 d. Further evaluation of retinol's chemical and physical stability in topical formulations should be conducted through real-time stability studies to ensure product quality remains intact during use.
Nil
The manuscript was written through the contributions of all authors as follows: Baitha Palanggatan Maggadani: Conceived and designed the experiments; wrote the paper. Risa Rahmayati: Performed the experiments; analyzed and interpreted the data; wrote the paper. Taufiq Indra Rukmana: Analyzed and interpreted the data and wrote the paper. Callista Andinie Mulyadi: Analyzed and interpreted the data; wrote the paper. All authors have reviewed the results and approved the final version.
The authors declare no conflict of interest.
Herceglija EI. Stability testing of all-trans-retinol in an experimental cosmetic formulation and methanol and methanol containing butylhydroxytoluene (BHT) using reversed-phase HPLC [Degree Project in Chemical Science and Engineering]. [Stockholm]. The Royal Institute of Technology (KTH); 2021.
Roure R, Oddos T, Rossi A, Vial F, Bertin C. Evaluation of the efficacy of a topical cosmetic slimming product combining tetrahydroxypropyl ethylenediamine, caffeine, carnitine, forskolin and retinol, in vitro, ex vivo and in vivo studies. Int J Cosmet Sci. 2011 Dec;33(6):519-26. doi: 10.1111/j.1468-2494.2011.00665.x, PMID 21564138.
Kikuchi K, Suetake T, Kumasaka N, Tagami H. Improvement of photoaged facial skin in middle-aged Japanese females by topical retinol (vitamin a alcohol): a vehicle-controlled, double-blind study. J Dermatolog Treat. 2009 Jan 1;20(5):276-81. doi: 10.1080/09546630902973987, PMID 20078381.
Shao Y, He T, Fisher GJ, Voorhees JJ, Quan T. Molecular basis of retinol anti-aging properties in naturally aged human skin in vivo. Int J Cosmet Sci. 2017 Feb 4;39(1):56-65. doi: 10.1111/ics.12348, PMID 27261203.
Zasada M, Budzisz E. Retinoids: active molecules influencing skin structure formation in cosmetic and dermatological treatments. Postepy Dermatol Alergol. 2019;36(4):392-7. doi: 10.5114/ada.2019.87443, PMID 31616211.
Kawada A, Konishi N, Momma T, Oiso N, Kawara S. Evaluation of anti‐wrinkle effects of a novel cosmetic containing retinol using the guideline of the Japan Cosmetic Industry Association. J Dermatol. 2009 Nov 29;36(11):583-6. doi: 10.1111/j.1346-8138.2009.00716.x, PMID 19878390.
Rousselle C. Opinion of the scientific committee on consumer safety. opinion of the scientific committee on consumer safety (SCCS)-final version of the opinion on vitamin a (retinol, retinyl acetate and retinyl palmitate) in cosmetic products. Regul Toxicol Pharmacol. 2017 Mar;84:102-4. doi: 10.1016/j.yrtph.2016.11.017.
Jentzsch A, Aikens P. RetiSTARTM for cosmetic formulations. In: Delivery system handbook for personal care and cosmetic products. Elsevier; 2005. p. 861-71.
Temova Rakusa Z, Skufca P, Kristl A, Roskar R. Quality control of retinoids in commercial cosmetic products. J Cosmet Dermatol. 2021 Apr 16;20(4):1166-75. doi: 10.1111/jocd.13686, PMID 32813932.
Sende IF, Yunianto EP, Kosmetik TB. Share in jar. Ilegal Media Daring Eruditio Indones J Food Drug Saf. 2021 Jul 19;1(1):38-47.
Vallez Gomis V, Carchano Olcina S, Azorin C, Benede JL, Chisvert A, Salvador A. Simultaneous quantification of vitamin a and derivatives in cosmetic products by liquid chromatography with ultraviolet detection. Separations. 2022 Feb 1;9(2):40. doi: 10.3390/separations9020040.
Harmita. Analisis fisikokimia: kromatografi. Vol. 2. Jakarta: Penerbit Buku Kedokteran EGC; 2015.
Borman P, Elder D. Q2(R1) validation of analytical procedures. ICH quality guidelines. Wiley; 2017. p. 127-66.
EMEA. Q2 R1 Validation of Analytical procedures. 2018;2:127-66.
Indonesia Ministry of Health. Farmakope Indonesia edisi VI. Jakarta: Indonesia Ministry of Health; 2020.
Temova Rakusa Z, Skufca P, Kristl A, Roskar R. Retinoid stability and degradation kinetics in commercial cosmetic products. J Cosmet Dermatol. 2021 Jul 2;20(7):2350-8. doi: 10.1111/jocd.13852, PMID 33206444.
Carlotti ME, Rossatto V, Gallarate M. Vitamin A and vitamin A palmitate stability over time and under UVA and UVB radiation. Int J Pharm. 2002 Jun;240(1-2):85-94. doi: 10.1016/s0378-5173(02)00128-x, PMID 12062504.
Zasada M, Budzisz E, Erkiert Polguj A. A clinical anti-aging comparative study of 0.3 and 0.5% retinol serums: a clinically controlled trial. Skin Pharmacol Physiol. 2020;33(2):102-16. doi: 10.1159/000508168, PMID 32428912.