
Departamento Sistemas Biologicos, Universidad Autonoma Metropolitana-Xochimilco, Mexico City, Mexico
*Corresponding author: Jose Raul Medina Lopez; *Email: rmlopez@correo.xoc.uam.mx
Received: 01 Apr 2024, Revised and Accepted: 22 May 2024
ABSTRACT
Objective: To estimate plasma concentrations-time profiles of sulfamethoxazole (SMZ) and trimethoprim (TMP) from oral pediatric suspensions through in vitro data generated with a mini paddle apparatus and dissolution media of physiological relevance. Post-marketing evaluation of pediatric formulations is always necessary.
Methods: Dissolution profiles of SMZ/TMP were obtained with a mini paddle apparatus at 100 rpm and 200 ml of 0.1 N HCl (pH 1.2), pH 4.5 acetate buffer, and pH 6.8 phosphate buffer. The reference and three multi-source pediatric formulations were tested. Drugs were quantified by a UV derivative method. Dissolution profiles were compared with model-independent and model-dependent methods. Plasma levels were estimated with dissolution data and published in vivo information. Percent of prediction error (%PE) for Cmax and AUC0-inf at each condition was calculated.
Results: In all conditions, similar dissolution profiles were found excepting for TMP of C drug product at pH 1.2 (f2<50). With model-independent comparisons significant differences in in vitro release performance of SMZ and TMP from all multi-source formulations were found (*P<0.05). When comparing the hypothetical Cmax and AUC0-inf of both drugs with in vivo data PE<15% were found only with reference and one formulation at pH 1.2.
Conclusion: The mini paddle apparatus and dissolution media of pH 1.2 were the best conditions to estimate in vivo plasma concentrations of SMZ and TMP from reference. These settings seem adequate to evaluate in vitro performance of multi-source formulations. It is necessary to carried out human studies with the used fixed-dose combination formulations to correlate in vitro/in vivo data.
Keywords: Convolution, Sulfamethoxazole, Suspensions, Trimethoprim, Prediction Error
© 2024 The Authors. Published by Innovare Academic Sciences Pvt Ltd. This is an open-access article under the CC BY license (https://creativecommons.org/licenses/by/4.0/)
DOI: https://dx.doi.org/10.22159/ijap.2024v16i4.51014 Journal homepage: https://innovareacademics.in/journals/index.php/ijap
Children under seven years old are unable to swallow capsules or tablets. Liquid formulations, which are flavored aqueous solutions, syrups, or suspensions, are administered directly into the child’s mouth by drop, spoon, or oral dispenser or incorporated into the child’s food [1]. Pediatric formulations offer flexibility for dose adjustment, while at the same time remaining within the effective therapeutic range. For decades, syrups and suspensions have been considered as the favorable type of dosage form in which to administer medicines to young children [2]. The development of fixed-dose combinations formulations is becoming increasingly important from a public health perspective. This kind of formulations have advantages when there is an identifiable patient population for whom treatment with a particular combination of actives in a fixed ratio is safe and effective and when all the actives contribute to the overall therapeutic effect [3]. Liquid formulations facilitate oral administration and enhance children treatment adherence [1].
Sulfamethoxazole (SMZ) and trimethoprim (TMP) inhibit bacterial synthesis of tetrahydrofolic acid, the physiologically active form of folic acid and a necessary cofactor in the synthesis of thymidine, purines, and bacterial DNA [4]. Established indications of this combination are infections of the sinuses, ears, lungs, and urinary tract, and infections due to Salmonella, Nocardia, Brucella, Stenotrophomonas maltophilia, Pneumocystis jirovecii, and Toxoplasma [5]. Some of these conditions are treated in children [6-9]. In this group of patients, antibiotic resistance [10, 11], tolerance [12], and adverse reactions as hepatotoxicity, nephrotoxicity, bone marrow suppression, rash, electrolyte imbalance have been reported [13-15]. About 30-40% of patients on SMZ/TMP experience treatment failure [15].
In vitro dissolution tests are official test recommended by pharmacopoeias around the world to evaluate the rate and the extent of release of the drug from the dosage form over a given time. Dissolution tests were commonly carried out with the basket apparatus (USP Apparatus 1) or paddle apparatus (USP Apparatus 2). The choice of apparatus is based on the knowledge of the formulation design and the practical aspects of dosage form performance in the in vitro test system [16]. To date, no pharmacopeial dissolution test for SMZ/TMP oral suspensions is described. Some authors agree that it would be very helpful to use a test system that requires smaller sample sizes and smaller volumes of media but has the same reliability and predictivity as the standard test apparatus [17]. As an alternative, a mini paddle apparatus has been used for study the in vitro release performance of some drugs [18, 19]. About, the mini paddle apparatus might be a useful tool in characterizing drug release profiles under “standard test conditions” [17]. With this apparatus, the handling of small volumes of suspension is adequate to obtain SMZ and TMP release profiles from pediatric formulations.
Simulation of in vivo behavior from in vitro release data of some drugs has been previously described [20, 21], but to the best of our knowledge, no scientific literature is currently available on the prediction of SMZ and TMP plasma concentrations from pediatric suspensions via convolution approach. Simulation of drug concentrations is a powerful method to design a bioequivalent formulation during pharmaceutical development [22]. Virtual bioequivalence is a pharmaceutical concept that uses computational modelling and simulation techniques to assess the equivalence of multi-source formulations to their reference or innovator counterparts [23]. In silico tools can predict the bioavailability of the formulation according to the obtained dissolution profile, and it has become extremely important to ensure the safety and efficacy of oral suspensions, especially when considering the formulation of generic drug products [16].
An in vitro/in vivo evaluation of four commercial oral suspensions containing SMZ and TMP has been reported. Dissolution and absorption profiles of both drugs were similar for all formulations however, to test in vivo absorption, an animal model was used [24]. On the other hand, a comparative bioavailability of SMZ in three formulations of SMZ/TMP suspensions has been published. The relative bioavailability of SMZ in two oral formulations was less than 80% [25]. Considering this background and the importance of an adequate biopharmaceutical evaluation that ensures the quality of fixed-dose combination formulations available for the child population (oral suspensions), the objective of the present work was to predict the SMZ and TMP plasma concentrations-time profiles of four commercial drug products through in vitro data obtained with a mini paddle apparatus, dissolution media of physiological relevance, and in silico methodology. The results may be important to estimate the clinical impact of SMZ and TMP of multi-source formulations available to the Mexican population.
Reagents and chemicals
SMZ/TMP reference oral suspension (classified it as R formulation) (Bactrim® 200-40 mg/5 ml, Produtos Roche Químicos e Farmacéuticos S. A., Brasil) and three multi-source oral formulations (randomly classified them as A, B, and C formulations) were used in this study. Mexican health authorities have established Bactrim® formulation as the reference drug product [26]. HCl, sodium acetate, and phosphate monobasic and dibasic salts were acquired from J. T. Baker-Mexico (Xalostoc, Mexico). SMZ and TMP standard were acquired from Sigma-Aldrich Co. (St. Louis MO, USA).
Preliminary in vitro release studies
With the aim of knowing the best in vitro release conditions of SMZ and TMP from reference oral suspension dissolution profiles of both drugs were obtained with a mini paddle apparatus at 50, 75, and 100 rpm (Sotax AT7-Smart, Sotax AG, Switzerland) and 200 ml of 0.1 N HCl (pH 1.2) as dissolution medium. After 15 min of mechanical agitation and with the aid of a syringe, a sample of 2 ml of suspension was added to each mini vessel. Several dissolution samples were taken until 60 min and the amount of dissolved SMZ and TMP was quantified. An analytical method to identify SMZ and TMP without mutual interference has been published [27] however; both drugs were easily determined by a derivative spectrophotometric method previously developed by our research group [28].
Dissolution studies
Dissolution profiles of SMZ and TMP from oral suspensions were obtained with a mini paddle apparatus at 100 rpm. Mini vessels were filled with 200 ml of 0.1 N HCl (pH 1.2), pH 4.5 acetate buffer, and pH 6.8 phosphate buffer at 37.0±0.5 °C. Dissolution samples (n=12) were taken at 15-, 20-, 30-, 45-, and 60-min using fiberglass filters (Millipore). To quantify dissolved SMZ and TMP standard calibration curves (SMZ: 250-350 µg/ml and TMP: 10-50 µg/ml) in each dissolution medium were prepared.
Data analysis
To compare the in vitro release performance of SMZ and TMP (multi-sourcevs. reference) by a model-independent approach the f2 similarity factor was calculated (similar dissolution profiles were considered if f2 = 50-100). Furthermore, data of the percent of dissolved drug at 60 min (Q60), dissolution efficiency (DE), and mean dissolution time (MDT) were calculated and statistically compared (Univariate one-way ANOVA followed by a Dunnett’s multiple comparison test). DE and MDT data were calculated with the Excel add-in DDSolver program [29]. To mathematically compare the dissolution behavior of SMZ and TMP by a model-dependent approach percent of dissolved drug vs. time were fitted with Makoid-Banakar, Korsmeyer-Peppas, logistic, and Gompertz equation. The model with the highest adjusted determination coefficient (R2adjusted) and lower Akaike Information Criterion (AIC) was chosen as the best-fit model [30].
Estimation of SMZ and TMP plasma concentrations
SMZ and TMP plasma levels were estimated with in vitro release data from the mini paddle apparatus, a simple numerical convolution method [21, 31], and in vivo information of both drugs [32, 33]. Results were fitted with a non-compartment model using the Excel add-in PKSolver program [34]. Simulated peak plasma concentrations (Cmax) and area under the concentration-time curve from zero time to infinity (AUC0-inf) were compared with in vivo data by the percent of Prediction Error (%PE) that was calculated by the following equation:
……. Eq. 1
The PE should not exceed 15% [16, 35, 36].
Preliminary in vitro release studies
After trying different agitation rates to document the in vitro release of SMZ and TMP (50, 75, and 100 rpm) the best results were found with the highest agitation rate, 100 rpm (Q60>80% for both drugs). Therefore, this agitation rate was chosen to carry out the final in vitro studies of SMZ and TMP from commercial formulations (oral suspensions).
Dissolution studies
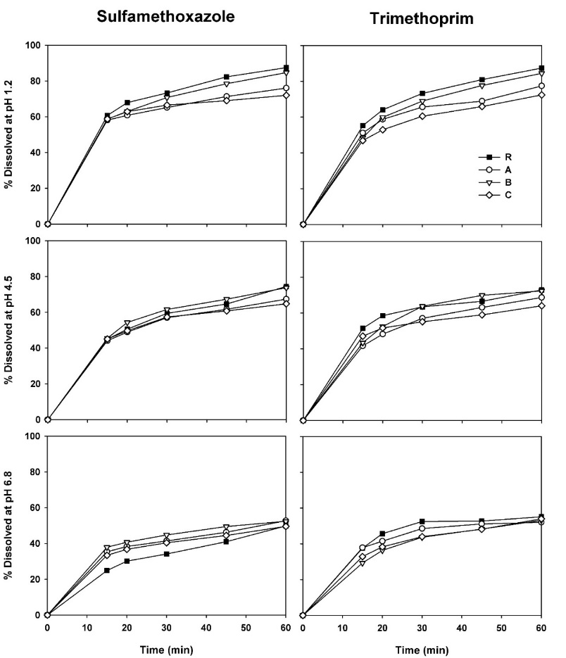
In vitro release performance of SMZ and TMP of all used fixed-dose combination oral suspensions are depicted in fig. 1. A decrease in in vitro drug release proportional to decreasing acidity of the dissolution medium was observed. Considering the physicochemical characteristics of SMZ and TMP it was expected. Similar behavior of SMZ and TMP from multi-source tablets under dissolution media of physiological relevance was recently reported [37]. In the present work, to evaluate the in vitro release and hypothetical absorption of SMZ and TMP from pediatric suspensions, dissolution media of pH 1.2, 4.5, and 6.8 were used. The use of these conditions to test drug release through gastrointestinal tract is requested by international regulations [38]. Results of f2 similarity factors for comparison of dissolution profiles of SMZ and TMP in dissolution media of pH 1.2 to pH 6.8 are shown in table 1. In all used conditions, dissolution curves of SMZ and TMP from multi-source oral suspensions and reference drug product were similar (f2= 50-100) excepting for TMP of C drug product at pH 1.2 (f2<50). Similar results for TMP from two fixed-dose combination formulation (tablets) in 0.1 N HCl (pH 1.2) as dissolution medium were found (f2<50) [37].
Table 1: Results of f2 similarity factor
| Sulfamethoxazole | Trimethoprim | |||||
|---|---|---|---|---|---|---|
| pH | A | B | C | A | B | C |
| 1.2 | 54.91 | 74.36 | 52.02 | 55.72 | 68.66 | 46.69 |
| 4.5 | 72.64 | 82.67 | 67.49 | 58.29 | 67.58 | 58.37 |
| 6.8 | 58.63 | 52.45 | 63.46 | 76.74 | 58.96 | 63.27 |
Values of Q60, DE, and MDT are shown in table 2 for SMZ data and in table 3 for TMP data. In almost all comparisons, significant differences between dissolution behavior of multi-source oral formulations and reference were found (*P<0.05). Mean values of R2adjusted and AIC are shown in table 4 for SMZ data and in table 5 for TMP data. As the in vitro release performance of SMZ and TMP from used oral suspensions was mathematically explained by different equations, dissolution profiles comparisons by a model-dependent approach were not possible to carried out. Similar result of model-independent and model-dependent comparisons of SMZ and TMP dissolution profiles from generic formulations (tablets) were found [37]. For SMZ and TMP in oral formulations, model-independent comparisons reflect significant differences in in vitro release performance.

Fig. 1: Dissolution profiles of SMZ/TMP reference oral suspension (R) and multi-source oral formulations (A, B, and C). Data expressed as mean, n = 12
Table 2: Model-independent parameters of SMZ from multi-source oral formulations (A-C) and reference (R)
| Parameters | Sulfamethoxazole | |||
|---|---|---|---|---|
| R | A | B | C | |
| pH 1.2 | ||||
| Q60 (%) | 87.43±0.14 | 75.97±0.46* | 84.65±0.27* | 71.93±0.20* |
| DE (%) | 65.36±0.18 | 58.16±0.63* | 62.56±0.27* | 57.73±0.29* |
| MDT (min) | 15.15±0.14 | 14.06±0.42* | 15.66±0.15 | 11.85±0.12* |
| pH 4.5 | ||||
| Q60 (%) | 74.95±0.38 | 67.36±0.46* | 73.77±0.47 | 64.77±0.19* |
| DE (%) | 51.78±0.09 | 49.19±0.48* | 53.26±0.37* | 48.97±0.08* |
| MDT (min) | 18.54±0.21 | 16.19±0.22* | 16.65±0.51* | 14.63±0.12* |
| pH 6.8 | ||||
| Q60 (%) | 49.79±0.70 | 52.69±0.36* | 52.41±0.29* | 49.57±0.12 |
| DE (%) | 31.50±0.13 | 37.45±0.22* | 39.65±0.29* | 35.89±0.17* |
| MDT (min) | 21.94±0.67 | 17.33±0.36* | 14.62±0.12* | 16.55±0.18* |
Data is given as mean±SEM; n=12. *P<0.05; Q60: dissolved drug at 60 min; DE: dissolution efficiency; MDT: mean dissolution time
Table 3: Model-independent parameters of TMP from multi-source oral formulations (A-C) and reference (R)
| Parameters | Trimethoprim | |||
|---|---|---|---|---|
| R | A | B | C | |
| pH 1.2 | ||||
| Q60 (%) | 87.35±0.22 | 77.40±0.43* | 84.39±0.21* | 72.35±0.13* |
| DE (%) | 63.62±0.16 | 56.41±0.15* | 59.87±0.26* | 52.54±0.10* |
| MDT (min) | 16.30±0.16 | 16.25±0.31 | 17.43±0.16* | 16.43±0.11 |
| pH 4.5 | ||||
| Q60 (%) | 72.95±0.46 | 68.70±0.89* | 72.40±0.32 | 64.08±0.11* |
| DE (%) | 54.88±0.26 | 49.24±0.35* | 53.62±0.36* | 48.56±0.13* |
| MDT (min) | 14.84±0.28 | 16.96±0.28* | 15.56±0.28 | 14.53±0.12 |
| pH 6.8 | ||||
| Q60 (%) | 55.08±0.45 | 52.06±0.19* | 53.14±0.38* | 53.98±0.50 |
| DE (%) | 42.96±0.16 | 40.88±0.16* | 37.22±0.23* | 38.21±0.26* |
| MDT (min) | 13.17±0.38 | 12.88±0.15 | 17.97±0.21* | 17.52±0.14* |
Data is given as mean±SEM; n=12. *P<0.05; Q60: dissolved drug at 60 min; DE: dissolution efficiency; MDT: mean dissolution time
Table 4: Value of R2adjusted and AIC of SMZ data calculated to choose the best-fit model
| Parameters | Sulfamethoxazole | |||
|---|---|---|---|---|
| Makoid-Banakar | Korsmeyer-Peppas | Logistic | Gompertz | |
| pH 1.2 | ||||
| R | 0.9794/13.06 | 0.9809/11.95 | 0.9713/15.19 | 0.9662/16.06 |
| A | 0.9769/6.29 | 0.9604/11.010 | 0.9413/13.95 | 0.9347/14.64 |
| B | 0.9983/0.29 | 0.9969/2.30 | 0.9795/13.39 | 0.9715/9.17 |
| C | 0.9688/7.86 | 0.9636/8.53 | 0.9755/6.17 | 0.9777/5.59 |
| pH 4.5 | ||||
| R | 0.9625/16.36 | 0.9703/15.32 | 0.958/16.5343 | 0.9513/17.5786 |
| A | 0.9800/07.58 | 0.9852/07.30 | 0.982/08.5782 | 0.9781/10.5354 |
| B | 0.9549/14.74 | 0.9301/16.29 | 0.9493/16.9842 | 0.9524/17.3609 |
| C | 0.9793/10.30 | 0.9592/14.18 | 0.9773/11.2008 | 0.9818/10.0624 |
| pH 6.8 | ||||
| R | 0.9808/11.2719 | 0.9765/11.45 | 0.9646/13.29 | 0.9538/14.90 |
| A | 0.9865/6.0787 | 0.9548/11.16 | 0.9397/12.86 | 0.9302/13.93 |
| B | 0.9890/4.1673 | 0.9897/04.26 | 0.9901/03.65 | 0.9889/03.64 |
| C | 0.9874/5.681 | 0.9825/7.40 | 0.9771/08.19 | 0.9727/08.80 |
Data is given as mean, n=12. Reference (R) and multi-source formulations (A-C); AIC: Akaike Information Criterion
Table 5: Value of R2adjusted and AIC of TMP data calculated to choose the best-fit model.
| Parameters | Trimethoprim | |||
|---|---|---|---|---|
| Makoid-Banakar | Korsmeyer-Peppas | Logistic | Gompertz | |
| pH 1.2 | ||||
| R | 0.9822/13.70 | 0.9700/17.16 | 0.9881/11.27 | 0.9860/12.16 |
| A | 0.9225/19.11 | 0.938/17.83 | 0.9434/17.85 | 0.9437/17.90 |
| B | 0.9667/18.02 | 0.9505/20.90 | 0.9811/13.97 | 0.9825/12.92 |
| C | 0.9832/10.87 | 0.9831/11.83 | 0.9897/8.13 | 0.9890/8.39 |
| pH 4.5 | ||||
| R | 0.8933/18.25 | 0.9068/18.20 | 0.9167/17.18 | 0.9187/16.89 |
| A | 0.9798/10.91 | 0.9547/15.70 | 0.9750/12.08 | 0.9802/10.79 |
| B | 0.9855/09.09 | 0.8960/22.82 | 0.9526/18.34 | 0.9647/16.43 |
| C | 0.9596/09.87 | 0.9703/08.63 | 0.9675/09.03 | 0.9657/09.74 |
| pH 6.8 | ||||
| R | 0.8481/18.01 | 0.7202/21.61 | 0.7531/20.60 | 0.7686/20.06 |
| A | 0.9515/10.57 | 0.8674/17.23 | 0.8896/16.27 | 0.9001/15.75 |
| B | 0.9667/13.66 | 0.9438/17.24 | 0.9628/15.09 | 0.9719/16.63 |
| C | 0.9728/12.014 | 0.9755/11.39 | 0.9803/10.51 | 0.9816/10.26 |
Data is given as mean, n=12. Reference (R) and multi-source formulations (A-C); AIC: Akaike Information Criterion
Estimation of SMZ and TMP plasma concentrations
Using in vitro release data from dissolution media of physiological relevance and a mini paddle apparatus SMZ and TMP plasma concentrations were predicted as described above and results were fitted by a non-compartmental model. Estimated Cmax and AUC0-inf were compared with in vivo data and %PE values were calculated. Data are shown in table 6.
Table 6: Value of %PE for Cmax and AUC0-inf calculated to validate the simulation of plasma levels of both drugs
| Parameters | Sulfamethoxazole | Trimethoprim | ||||||
|---|---|---|---|---|---|---|---|---|
| R | A | B | C | R | A | B | C | |
| pH 1.2 | ||||||||
| Cmax | 4.50 | 17.11 | 8.72 | 21.75 | -0.33 | 3.67 | -5.22 | 9.91 |
| AUC0-inf | -1.24 | 11.93 | 3.33 | 16.67 | 8.52 | 18.94 | 11.66 | 24.22 |
| pH 4.5 | ||||||||
| Cmax | 17.77 | 28.28 | 19.29 | 29.31 | 9.45 | 21.08 | 10.07 | 20.48 |
| AUC0-inf | 13.22 | 24.14 | 14.61 | 25.00 | 23.58 | 33.51 | 24.21 | 32.85 |
| pH 6.8 | ||||||||
| Cmax | 45.39 | 42.27 | 42.78 | 45.75 | 31.48 | 36.39 | 33.68 | 32.65 |
| AUC0-inf | 42.63 | 38.97 | 39.29 | 42.60 | 42.33 | 46.65 | 44.38 | 43.48 |
%PE-Percent of prediction error, Cmax-Peak plasma concentration, AUC0-inf-Area under the curve from zero time to infinity
PE values<15% for Cmax and AUC0-inf of SMZ and TMP were achieved for R and B drug products only at pH 1.2. In the remaining conditions PE>15% for at least one pharmacokinetic parameter was obtained. The mini paddle apparatus and dissolution media of pH 1.2 were adequate to predict the in vivo performance of SMZ and TMP from reference formulation. These conditions seem appropriate to evaluate the in vitro release performance of SMZ/TMP from multi-source oral suspensions since by obtaining PE values<15% the probability of having similar plasma levels to those generated by the reference formulation in an in vivo study is high. Ríos-Rodríguez et al., [37] found PE<15% for Cmax and AUC0-inf of SMZ and TMP of reference formulation (tablets) only at pH 1.2, which agrees with the present work where the most acidic dissolution medium seems to be the one indicated to theoretically generate drug plasma levels similar to those observed in humans and therefore, to evaluate the in vitro release performance of multi-source fixed-dose oral formulations.
It is important to note that both drugs within the same formulation should generate PE values of Cmax and AUC0-inf within the internationally established criteria to ensure the safe interchangeability of SMZ/TMP oral suspensions or at least to have better chances of finding bioequivalent products. Even though commercial drug products are available to the population, post-marketing surveillance is always recommended [39, 40] but in case of development of new formulations, the use of predictive in vitro-in silico studies to simulate the in vivo performance is needed, and it has gained acceptance in the regulatory decision-marketing process [16]. The use and importance of dissolution test for oral suspensions has been document for several authors [41, 42].
This is the first work that estimate SMZ and TMP in vivo behavior from multi-source oral suspensions using in vitro data generated by the mini paddle apparatus and dissolution media of physiological relevance. In the work, dissolution profiles of SMZ and TMP showed similarity in practically all the used conditions (f2=50-100). However, the prediction of the pharmacokinetic parameters of SMZ and TMP in two multi-source formulations did not meet the established criterion which can mean negative clinical implications in the treatment of children. The dissolution conditions must be discriminative for both drugs and thus differentiate the quality of drug products with adequate in vitro release conditions. In vitro-in silico studies may be a key tool to indicate the safety and efficacy of the dosage forms and anticipate the risk of bioinequivalence [16]. As bioequivalence of two commercial SMZ/TMP oral suspensions was reported [32] it is important to carry out more research in this regard to find in vitro-in vivo correlation. These results provide useful information for post-marketing supervision of the commercial formulations available to the population.
The in vitro release data of SMZ and TMP from oral suspensions have been obtained with a mini paddle apparatus and dissolution media of physiological relevance. Dissolution profiles were compared with model-independent comparisons and significant differences were found in almost all dissolution parameters which suggests absorption differences and therefore, in the manifestation of the therapeutic effect. The mini paddle apparatus at 100 rpm and 0.1 N HCl (pH 1.2) as dissolution medium were the best conditions to predict the in vivo performance of reference formulation. Predicted Cmax and AUC0-inf of the reference drug product and one multi-source formulation showed PE values less than 15% so the in vitro comparisons did not reflect the ability to predict the hypothetical in vivo performance of SMZ and TMP from oral suspensions. Using this approach, it was possible to make a qualitative investigation of fixed-dose combination formulations indicated for the child population. Based on the results, it can be concluded that it is necessary to carried out in vivo studies with the used drug products to relate in vitro data with in vivo behavior.
Nil
JC Ruiz-Segura and JR Medina-López conceived and designed the experiments; JM Ríos-Rodríguez, FD Reyes-Ramírez and CE Velázquez-Sánchez performed the experiments; JM Ríos-Rodríguez contributed to the drug simulations, FD Reyes-Ramírez carried out the statistical analysis, CE Velázquez-Sánchez searched bibliographic data, JC Ruiz-Segura and JR Medina-López wrote the paper. All authors have read and agree to the published version of the manuscript.
The authors declare no conflict of interest.
Buontempo F, Moretton MA, Quiroga E, Chiappetta DA. Extemporaneous clobazam suspensions for paediatric use prepared from commercially available tablets and pure drug. Farm Hosp. 2013;37(2):103-10. doi: 10.7399/FH.2013.37.2.117, PMID 23789754.
Ouma C, Okoth P, Nyamai R, Kamau NG, Mutai K, Onono MA. Acceptability, adherence, and clinical outcomes, of amoxicillin dispersible tablets versus oral suspension in treatment of children aged 2-59 months with pneumonia, Kenya: a cluster randomized controlled trial. Angwa lM. Heliyon. 2020;6(4):e03786. doi: 10.1016/j.
Jayasheel BG. Regulatory requirements for marketing fixed-dose combinations. Perspect Clin Res. 2010;1(4):120-3. doi: 10.4103/2229-3485.71768, PMID 21350725.
Masters PA, O’Bryan TA, Zurlo J, Miller DQ, Joshi N. Trimethoprim-sulfamethoxazole revisited. Arch Intern Med. 2003;163(4):402-10. doi: 10.1001/archinte.163.4.402, PMID 12588198.
Gruneberg RN. The microbiological rationale for the combination of sulphonamides with trimethoprim. J Antimicrob Chemother. 1979;5(B):27-36. doi: 10.1093/jac/5.supplement_b.27[Suppl], PMID 536345.
Oberhelman RA, Javier de la Cabada F, Vasquez Garibay E, Bitsura JA, DuPont HL. Efficacy of trimethoprim-sulfamethoxazole in treatment of acute diarrhea in a mexican pediatric population. J Pediatr. 1987;110(6):960-5. doi: 10.1016/s0022-3476(87)80425-0, PMID 3295163.
Teker D, Tanir G, Ozmen S, Teke TA, Keles S, Bostancı I. Treatment of brucellosis in a young child with trimethoprim/sulfamethoxazole anaphylaxis. J Infect Public Health. 2014;7(6):553-6. doi: 10.1016/j.jiph.2014.07.004, PMID 25182510.
Ghaffari K, Falahati V, Motallebirad T, Safarabadi M, Tashakor AH, Azadi D. Microbiological and molecular study of paranasal sinus infections of children with malignancy and unknown origin fever in markazi province, Iran. Curr Ther Res Clin Exp. 2024;100:100745. doi: 10.1016/j.curtheres.2024.100745, PMID 38617893.
Peng M, Tang B, Li F, Deng Y, Dai Y, Chen L. A retrospective analysis of Q fever osteomyelitis in children, with recommendations. Microbes Infect. 2023;25(8):105189. doi: 10.1016/j.micinf.2023.105189, PMID 37499790.
Dueger EL, Asturias EJ, Matheu J, Gordillo R, Torres O, Halsey N. Increasing penicillin and trimethoprim-sulfamethoxazole resistance in nasopharyngeal Streptococcus pneumoniae isolates from guatemalan children, 2001-2006. Int J Infect Dis. 2008;12(3):289-97. doi: 10.1016/j.ijid.2007.09.001, PMID 18035570.
lyu S, Shi W, Dong F, Xu BP, liu G, Wang Q. Serotype distribution and antimicrobial resistance of pediatric streptococcus pneumoniae isolated from inpatients and outpatients at Beijing Children’s Hospital. Braz J Infect Dis. 2024;28(2):103734. doi: 10.1016/j.bjid.2024.103734, PMID 38471654.
Lv Y, Liu X, Xu K. The tolerance mechanism and accumulation characteristics of Phragmites australis to sulfamethoxazole and ofloxacin. Chemosphere. 2020;253:126695. doi: 10.1016/j.li(Y):2020.126695.
Kocak Z, Hatipoglu CA, Ertem G, Kinikli S, Tufan A, Irmak H. Trimethoprim-sulfamethoxazole induced rash and fatal hematologic disorders. J Infect. 2006;52(2):e49-52. doi: 10.1016/j.jinf.2005.05.008, PMID 15996741.
Wanat KA, Anadkat MJ, Klekotka PA. Seasonal variation of Stevens-Johnson syndrome and toxic epidermal necrolysis associated with trimethoprim-sulfamethoxazole. J Am Acad Dermatol. 2009;60(4):589-94. doi: 10.1016/j.jaad.2008.11.884, PMID 19217690.
Kim T, Sung H, Chong YP, Kim SH, Choo EJ, Choi SH. Low lymphocyte proportion in bronchoalveolar lavage fluid as a risk factor associated with the change from trimethoprim/sulfamethoxazole used as first-line treatment for Pneumocystis jirovecii pneumonia. Infect Chemother. 2018;50(2):110-9. doi: 10.3947/ic.2018.50.2.110, PMID 29968978.
da Silva Honorio T, Simon A, Machado RM, Rodrigues CR, do Carmo FA, Cabral LM. Use of in silico methodologies to predict the bioavailability of oral suspensions: a regulatory approach. Curr Pharm Des. 2023;29(38):3040-9. doi: 10.2174/0113816128257028231030113156, PMID 37957861.
Klein S. The mini paddle apparatus-a useful tool in the early developmental stage? Experiences with immediate-release dosage forms. Dissolution Technol. 2006;13(4):6-11. doi: 10.14227/DT130406P6.
Mohammadi A, Moghaddas JS. Experimental and computational study on hydrodynamic of a downscaled mini vessel USP dissolution test apparatus II. Iran J Chem Eng. 2019;16(3):3-22.
Schutt M, Stamatopoulos K, Batchelor HK, Simmons MJ, Alexiadis A. Development of a digital twin of a tablet that mimics a real solid dosage form: differences in the dissolution profile in conventional mini-USP II and a biorelevant colon model. Eur J Pharm Sci. 2022;179:106310. doi: 10.1016/j.ejps.2022.106310, PMID 36265815.
Singhvi G, Shah A, Yadav N, Saha RN. Prediction of in vivo plasma concentration-time profile from in vitro release data of designed formulations of milnacipran using numerical convolution method. Drug Dev Ind Pharm. 2015;41(1):105-8. doi: 10.3109/03639045.2013.850706, PMID 24164467.
Rastogi V, Yadav P, Lal N, Rastogi P, Singh BK, Verma N. Mathematical prediction of pharmacokinetic parameters-an in vitro approach for investigating pharmaceutical products for IVIVC. Future J Pharm Sci. 2018;4(2):175-84. doi: 10.1016/j.fjps.2018.03.001.
Scheubel E, Lindenberg M, Beyssac E, Cardot JM. Small volume dissolution testing as a powerful method during pharmaceutical development. Pharmaceutics. 2010;2(4):351-63. doi: 10.3390/pharmaceutics2040351, PMID 27721362.
Sowmya C, Abrar Ahmed H, Suriya Prakaash KK. Virtual bioequivalence in pharmaceuticals: current status and future prospects. Int J App Pharm. 2023;15(5):1-9. doi: 10.22159/ijap.2023v15i5.48589.
Ezzedeen FW, Majeed SH, Shihab FA, Mahmoud MJ, Robinson DH, Tahseen YH. In vitro and in vivo evaluation of four co-trimoxazole oral suspensions. International Journal of Pharmaceutics. 1990;59(3):255-61. doi: 10.1016/0378-5173(90)90116-L.
Akhtar N, Ahmad M, Irfan N. Comparative bioavailability of sulfamethoxazole in three formulations of cotrimoxazole suspensions. Pak J Pharm Sci. 1997;10(2):29-33. PMID 16414800.
Listado actualizado de Medicamentos de Referencia 2023/02. Cofepris. Mexico. Available from: https://www.gob.mx/cms/uploads/attachment/file/869172/lMR_2023-02_actualizaci_n_18_octubre_2023.pdf [Last accessed on 13 May 2024]
Muchlisyam M, Tr P, RS. Determination of simultaneous sulfamethoxazole and trimethoprim by ultraviolet spectrophotometry with mean centering of ratio spectra. Asian J Pharm Clin Res. 2018;11(13). doi: 10.22159/ajpcr.2018.v11s1.26569.
Medina JR, Miranda M, Hurtado M, Dominguez Ramirez AM, Ruiz Segura JC. Simultaneous determination of trimethoprim and sulfamethoxazole in immediate-release oral dosage forms by first-order derivative spectroscopy: application to dissolution studies. Int J Pharm Pharm Sci. 2013;5(4):505-10.
Zhang Y, Huo M, Zhou J, Zou A, Li W, Yao C. DDSolver: an add-in program for modeling and comparison of drug dissolution profiles. AAPS J. 2010;12(3):263-71. doi: 10.1208/s12248-010-9185-1, PMID 20373062.
Yuksel N, Kanik AE, Baykara T. Comparison of in vitro dissolution profiles by ANOVA-based, model-dependent and -independent methods. Int J Pharm. 2000;209(1-2):57-67. doi: 10.1016/s0378-5173(00)00554-8, PMID 11084246.
Hassan HA, Charoo NA, Ali AA, Alkhatem SS. Establishment of a bioequivalence indicating dissolution specification for candesartan cilexetil tablets using a convolution model. Dissolution Technol. 2015;22(1):36-43. doi: 10.14227/DT220115P36.
Alonso Campero R, Bernardo Escudero R, Del Cisne Valle Alvarez D, Gonzalez de la Parra M, Namur Montalvo S, Burke Fraga V. Bioequivalence of two commercial preparations of trimethoprim/sulfamethoxazole: a randomized, single-dose, single-blind, crossover trial. Clin Ther. 2007;29(2):326-33. doi: 10.1016/j.clinthera.2007.02.018, PMID 17472824.
Stevens RC, Rodman JH. Pharmacokinetics of antimicrobial therapy. Semin Pediatr Infect Dis. 1998;9(4):273-80. doi: 10.1016/S1045-1870(98)80016-2.
Zhang Y, Huo M, Zhou J, Xie S. PKSolver: an add-in program for pharmacokinetic and pharmacodynamic data analysis in microsoft excel. Comput Methods Programs Biomed. 2010;99(3):306-14. doi: 10.1016/j.cmpb.2010.01.007, PMID 20176408.
Food and Drug Administration. Guidance for industry: extended-release oral dosage forms: development, evaluation, and application of in vitro/in vivo correlations; 1997. Available from: https://www.fda.gov/media/70939/download [Last accessed on 13 May 2024]
Bendas ER. Two different approaches for the prediction of in vivo plasma concentration–time profile from in vitro release data of once daily formulations of diltiazem hydrochloride. Arch Pharm Res. 2009;32(9):1317-29. doi: 10.1007/s12272-009-1918-2, PMID 19784589.
Rios Rodriguez JM, Reyes Ramirez FD, Ruiz Segura JC, Medina Lopez JR. Prediction of sulfamethoxazole and trimethoprim plasma levels from tablets and dissolution media of physiological relevance. Int J App Pharm. 2024;16(3):182-6. doi: 10.22159/ijap.2024v16i3.50409.
Food and Drug Administration. Guidance for Industry: waiver on in vivo bioavailability and bioequivalence studies for immediate-release solid oral dosage forms based on a biopharmaceutics classification system; 2017. Available from: https://collections.nlm.nih.gov/catalog/nlm:nlmuid-101720038-pdf [Last accessed on 13 May 2024]
Chen BK, Yang YT. Post-marketing surveillance of prescription drug safety: past, present, and future. J Leg Med. 2013;34(2):193-213. doi: 10.1080/01947648.2013.800797, PMID 23980746.
Neves EO, Sales PM, Silveira D. Post-marketing sampling and testing programs for licensed medicinal products: a narrative review. Braz J Pharm Sci. 2022;58:e19538. doi: 10.1590/s2175-97902022e19538.
Kubota K, Twizell EH, Maibach HI. Drug release from a suspension with a finite dissolution rate: theory and its application to a betamethasone 17-valerate patch. J Pharm Sci. 1994;83(11):1593-9. doi: 10.1002/jps.2600831115, PMID 7891281.
Soares TS, Souza J, Rosa LS, Marques Marinho FD. Dissolution test for oral suspension: an overview about use and importance. Braz J Pharm Sci. 2022;58:e19423. doi: 10.1590/s2175-97902022e19423.