
Gyan Vihar School of Pharmacy, Suresh Gyan Vihar University, Jaipur, India
*Corresponding author: Shivraj Popat Jadhav; Email: shiva.007ind@gmail.com
Received: 10 Apr 2024, Revised and Accepted: 10 May 2024
ABSTRACT
Objective: The main objective of this work is to develop a nanosuspension formulation of paliperidone to overcome its low solubility and bioavailability issues. Stabiliser concentration (X1) and probe ultrasonication duration (X2) at three levels were tested for their effects on particle size (Y1) and saturation solubility (Y2) using a 32-factorial design.
Methods: The solvent-antisolvent method, followed by probe ultrasonication was used for the formulation of nanosuspension. The optimised nanosuspension was tested for particle size, saturation solubility, scanning electron microscopy, drug content, thermal analysis, zeta potential, Fourier transform infrared spectroscopy, in vitro dissolution, and in vivo study.
Results: The optimised formulation revealed a particle size of 293.4 ± 2.74 nm, saturation solubility of 173.61 ± 3.37 μg/ml, and zeta potential of-23.8 mV. Scanning electron microscope photographs indicated particle size less than 1 μm. Optimised nanosuspension showed 100% drug release within 30 minutes. Studies conducted in Wister rats have shown that the optimised nanosuspension demonstrated a 2.88 times higher maximum concentration and 2 times higher area under the curve. The stability studies demonstrated satisfactory stability over three months.
Conclusion: To summarise, this research showed the ability of nanosuspension to enhance the solubility and bioavailability of paliperidone.
Keywords: Nanosuspension, Paliperidone, Schizophrenia, Solubility, Bioavailability
© 2024 The Authors. Published by Innovare Academic Sciences Pvt Ltd. This is an open access article under the CC BY license (https://creativecommons.org/licenses/by/4.0/)
DOI: https://dx.doi.org/10.22159/ijap.2024v16i4.51218 Journal homepage: https://innovareacademics.in/journals/index.php/ijap
Nearly 40% of newly developed active chemicals face the problem of being insoluble in water [1]. The drug's solubility is a crucial factor in determining its rate of dissolution and absorption into the body [2]. The slow rates at which poorly water-soluble medications dissolve might create challenges in formulation, resulting in reduced absorption when taken orally. Various approaches have been explored to address this issue. Nanosuspension can solve this issue by decreasing the particle size and increasing the overall surface area. Nanosuspensions are colloidal dispersions comprising drug particles on a nanometer scale and dispersed in a liquid phase.
This technique has great potential for improving solubility as well as bioavailability. Several methods are used to create active pharmaceutical ingredients in the form of nanosuspension. One of such method is a solvent-antisolvent approach with probe-ultrasonic homogenization [3]. This approach involves dissolving the drug in a suitable solvent, which is then added into another solvent in which the drug is insoluble but other excipients are soluble hence called anti-solvent. This causes the precipitation of drug molecules in the nano-size range which can be followed by probe ultrasonication to further reduce the size [4, 5].
Paliperidone is prescribed for the management of schizophrenia [6]. In the brain, paliperidone functions as an antagonist at serotonin 5-HT2A and dopamine D2 receptors. Paliperidone belongs to the class II of BCS system due to less aqueous solubility.
Formulating paliperidone into nanosuspension form can enhance its solubility, dissolution rate, bioavailability, and therapeutic efficacy, making it a promising approach for improving the delivery of this drug for the treatment of schizophrenia.
The objective of this present work was to formulate and optimize a nanosuspension of paliperidone. This will be achieved by employing the solvent-anti-solvent method, followed by probe ultrasonication.
Material
The Active Pharmaceutical Ingredient (API) Paliperidone was acquired from Yarrow Chem Products, Mumbai, India. Polyvinylpyrrolidone K30 (PVPK30), Sodium lauryl Sulphate (SLS), and Methanol were acquired from Sudharshan Scientific ltd., located in Nandgoaon, Nashik, Maharashtra. The study utilises double distilled water. All the chemicals were utilised were of analytical grade.
Methods
Melting point (MP)
One end of the capillary was sealed while through another end a small amount of drug was inserted into the capillary. Afterward, the capillary was attached to a thermometer and placed in liquid paraffin in Theil's tube. The Theil's tube was thereafter heated over a flame until the API began to liquefy. The temperature at which the paliperidone sample melted was recorded as its melting point [7].
Solubility
The solubility of the chosen API was determined using the shake flask method. An excess quantity of paliperidone was added to a 50 ml water and methanol and agitated at room temperature for 48 h. The saturated solutions were filtered diluted, and by use of UV (Shimadzu-1800, Japan) the concentration of drug was determined [8].
Preparation of calibration curve in distilled water, methanol and 6.8 pH phosphate buffer
Exactly 10 mg of paliperidone was solubilised into 10 ml methanol in a volumetric flask to obtain the concentration of 1000 μg/ml. After appropriate dilution of standard solution with methanol, water and 6.8 pH phosphate buffer, serial dilutions are obtained. At a wavelength of 237 nm, the absorbance of each dilution was measured. Calibration curves were then plotted as absorbance versus the concentration in each solvent [9].
Drug excipient compatibility study
Compatibility testing was conducted using FTIR (Jasco FT/IR-4600, Japan) to assess potential drug-excipient interaction. The paliperidone was fully mixed with selected excipients in a 1:1 ratio, compressed into a disk shape and infrared spectra were recorded [10].
Selection of solvent and antisolvent
The choice of the anti-solvent and solvent for the formulation of nanosuspension was based on the solubility of the paliperidone and excipients. Based on the solubility investigation, it was found that paliperidone has shown higher solubility in methanol. Therefore, in the role of solvent methanol was selected. Paliperidone is insoluble in water, selected excipients are soluble in water and methanol is miscible in water; hence water was decided as an anti-solvent for the formulation of nanosuspension [11-13].
Selection of independent and dependant variables
The independent variables in the present investigation selected were the concentration of stabiliser and the probe ultrasonication time. The dependent variables were the particle size and saturation solubility of the resulting nanosuspension. Stabilisers and surfactants are crucial components in the formation of nanosuspensions. Stabilisers as well as surfactants are essential for maintaining the nanosuspension in its nano-sized form. Probe ultrasonication reduces particle size by the utilisation of ultrasonic waves. Therefore, it is essential to ascertain the optimal concentration of stabiliser and the duration of probe ultrasonication for the development of a nanosuspension formulation [14, 15].
Optimization
A 32 factorial design was used for optimisation purpose. The formulation of nanosuspension involves determining the outcome of two independent variables: the amount of stabiliser (X1) and the probe ultrasonication time (X2) at three levels. Total of 9 formulations will be considered for the optimisation. These nine formulations will undergo screening to determine their size of particle (Y1) and saturation solubility (Y2) as dependent variables. Nanosuspension that produces the best outcomes will be considered as optimised, and subsequent investigations will be conducted using the optimised nanosuspension.
Table 1: 32Optimization of paliperidone nanosuspension
| Formulation code | Paliperidone (mg) | PVP K30 (Stabilizer) (X1) (mg) | Ultrasonication time (X2) (min) |
| PF1 | 10 | 10 | 5 |
| PF2 | 10 | 10 | 10 |
| PF3 | 10 | 10 | 15 |
| PF4 | 10 | 20 | 5 |
| PF5 | 10 | 20 | 10 |
| PF6 | 10 | 20 | 15 |
| PF7 | 10 | 30 | 5 |
| PF8 | 10 | 30 | 10 |
| PF9 | 10 | 30 | 15 |
Formulation of nanosuspension
The nanosuspension was formulated by a bottom-up approach method called as anti-solvent precipitation technique, followed by the use of probe ultrasonication. The 10 mg paliperidone is dissolved in 10 ml of methanol followed by sonication for 5 min. Precisely measured quantities of PVPK30 and SLS (5 mg) are dissolved in 70 ml of distilled water (anti-solvent) that has been previously cooled to 5 ℃ using an ice-water bath. The surfactant and stabiliser solution were placed in a beaker and stirred vigorously at 1000 rpm. A syringe filled with a drug solution in methanol was placed above the beaker and added slowly. Stirring of the drug solution was continued for 2 h. After 2 h, the sample was promptly moved into the hard glass test tube and subjected to the 6-number ultrasonic probe at a depth of 3 mm, for various time intervals [16-18].
Lyophilization of nanosuspension
The optimised paliperidone nanosuspension was then converted into dry powder using mannitol as a cryoprotectant by use of lyophiliser (FreeZone, Triad, labcono, USA). The optimised batch was placed in a chamber and maintained at a temperature of-80 °C for 8 h. Subsequently, it was removed in the form of dry powder from the chamber and stored in a hermetic container for further studies.
Evaluation of nanosuspension
At first, the nanosuspensions were assessed for their saturation solubility and particle size. The optimised formulation was determined based on these two variables and subsequently evaluated for various parameters.
Saturation solubility study
10 ml of distilled water was added to stoppered conical flasks, followed by the addition of an excessive amount of nanosuspension formulation. The sealed flasks were shaken on a rotary shaker (Remi Rs-12 R, India) for 24 h after which samples were filtered and examined by use of a UV spectrophotometer [19].
Particle size analysis
The Anton Paar litesizer 500, Graz, Austria analyser was used to calculate the size of particles of formulated batches of paliperidone nanosuspension [20].
Determination of drug content
10 mg optimised lyophilized paliperidone nanosuspension was precisely measured and solubilised in 10 ml of methanol. The solution was then filtered, suitably diluted and analysed using UV spectroscopy [21]. The following formula was used to determine the drug content:
% Drug content =
* 100
Differential scanning calorimetry (DSC)
Mettler, DSC 8000, Switzerland instrument was used for the thermal analysis. A carefully measured 5 mg of paliperidone as well as lyophilized nanosuspension, was sealed in an aluminium pan. The samples are then subjected to a gradual temperature increase (10 °C per min) from room temperature to 300 °C. To maintain a consistent atmosphere, pure nitrogen gas was injected into the system [22].
Fourier transform infrared (FTIR)
FTIR (Jasco-4600, Japan) was used to evaluate lyophilized paliperidone nanosuspension and API. 5 mg of optimised lyophilised nanosuspension as well as API was combined with an equal weight of dried KBr and forced into a disc separately. The discs were placed in the spectrophotometer and spectra were recorded from 4000-400 cm-1 [23].
Scanning electron microscopy (SEM)
SEM analysis was carried out using FEI Quanta 200, Netherlands to study the surface structure of the nanosuspension particles and to verify the presence of nanoparticles in the prepared nanosuspension.
X-Ray diffraction
XRD analysis of paliperidone API and lyophilized nanosuspension was performed using the PAN alytical X' Pert Pro, Netherlands. X-ray tubes with copper (Cu) targets are used with 1.54184 Å wavelength. This study used instrumental factors such as a 2θ angle (10-90 degrees) and a 3-second counting interval for each step. The counting step for the 2θ angle was 0.04 degrees [24].
Zeta potential (ZP)
The ZP of optimised nanosuspension was evaluated using AntonPar litesizer 500, Graz, Austria with an Omega cuvette Mat. No. 225288. Smoluchowski's Henry factor 1.5 was used. A target temperature of 25 ℃ was used with a relative permittivity of 78.37.
In vitro dissolution study
The optimised paliperidone nanosuspension batch was subjected to in vitro dissolution by use of USP type II (Paddle type) apparatus (VDS-6, VBTech automation, Gujarat, India). The optimised nanosuspension formulation was placed in a dialysis bag (HiMedia, Mumbai) that had been pre-soaked overnight in a dissolution medium. The experiment was conducted at 37±0.5 ℃, using a phosphate buffer (900 ml, pH 6.8) at 50 rpm. 5 ml of nanosuspensions was added to the dialysis bag and then attached to the shaft. 5 ml samples were withdrawn from the centre of the basket at intervals of 2, 5, 10, 20, 30, 40, 50, and 60 minutes and replaced with the same amount of pre-warmed media. By use of a 0.2 μm Polytetrafluoroethylene (PTFE) filter, the samples were filtered. After being appropriately diluted, the removed samples were examined with a UV spectrophotometer [25, 26]. The dissolution profile of the optimised batch of nanosuspension was then compared with the in-house prepared uncoated tablet of API.
In vivo pharmacokinetic studies
The in vivo animal studies were carried out as per CPCSEA guidelines. Animal Ethical Committee of KBHSs Trusts Institute of Pharmacy, Maharashtra (1566/PO/a/11/CPCSEA) provided approval for the protocol. For the in vivo pharmacokinetic research, a group of 18 male Wister rats with weights ranging from 200 to 250 gm was selected. The rats were then divided into 3 groups. One group was assigned as the control group, another group was given a pure medication coarse suspension and a third group was provided with an optimised paliperidone nanosuspension. Following oral administration to rats, blood samples (0.5 ml) were obtained from the retroorbital vein at time intervals of 0, 0.5, 1, 2, 4, 8, 12, 16, 20, and 24 h and placed in heparin-containing tubes, the blood samples were centrifuged for ten minutes at a speed of 3000 rpm to separate plasma. These separated plasma samples were then stored at 20 °C until further analysis. The plasma samples were diluted as necessary and analysed using a previously established RP-HPLC method [27-29].
Stability study
The optimised paliperidone nanosuspension batch was evaluated for stability for 3 mo at 40 °C±2 °C, and a relative humidity of 75%±5%. The nanosuspension was assessed for particle size and saturation solubility at given time points: 0, 15 d, 1, 2, and 3 mo [30, 31].
Melting point
The melting point was determined by the Theil’s tube by use of the capillary method. The observed melting point of pure paliperidone was 180 to 182 ℃, which corresponds to a standard melting point of 178 to 180 ℃ [32].
Solubility
The solubility of pure paliperidone was determined by the use of the flask shake method in water as well as in methanol. In water drug was found to be very less soluble with a solubility of 0.031±0.02 mg/ml, while in methanol drug is highly soluble with a solubility of 1.674±0.060 mg/ml. (All values are mean±SEM, n=3)
Calibration curve
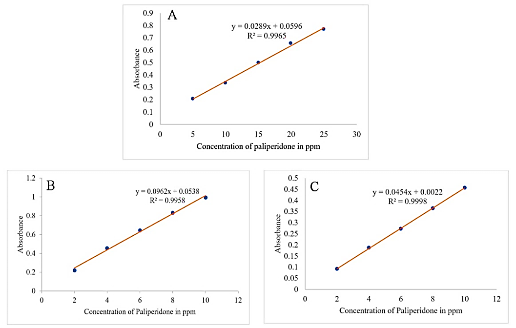
The calibration curve of paliperidone was plotted in water, methanol and 6.8 pH phosphate buffer and is indicated in fig. 1.

Fig. 1: Calibration curve of paliperidone in distilled water (A), methanol (B) and 6.8 pH phosphate buffer (C)
Compatibility study
FTIR spectra of paliperidone exhibited characteristic peaks of functional groups present in the structure. FTIR results of the compatibility between paliperidone and SLS, PVP K30 indicated no major changes in the FTIR spectrum of paliperidone which showed compatibility between the drug and excipients.
Optimization of nanosuspension
32 factorial strategy was followed for the optimization of paliperidone nanosuspension. For the formulation of optimized nanosuspension, the concentration of stabilizer as well probe ultrasonication time were selected as independent variables at three different levels while particle size and saturation solubility were selected as dependant variables. This resulted in the formulation of a total of 9 formulations. The results obtained from the optimization study are indicated in table 2.
As indicated in fig. 3, the saturation solubility of paliperidone in the nanosuspension form enhances as probe ultrasonication time goes on increasing. The increase in the concentration of the stabilizer also causes an increase in the saturation solubility of paliperidone in the nanosuspension form. When both the parameters are combined i. e. probe ultrasonication time and concentration of stabilizer saturation, solubility was found to be increased.

Fig. 2: FTIR results of compatibility study: paliperidone (C), Paliperidone+SLS physical mixture (B), Paliperidone+PVPK30 physical mixture (A)
Table 2: Observed results of 32 factorial designs for paliperidone nanosuspension
| Formulation code | Stabilizer concentration (mg) |
Probe ultrasonication time (min) | *Particle size (nm) | *Saturation solubility (μg/ml) |
| PF1 | 10 | 5 | 466.3±6.90 | 154.59±2.87 |
| PF2 | 10 | 10 | 403.5±4.34 | 162.56±4.12 |
| PF3 | 10 | 15 | 378.7±4.87 | 163.78±3.20 |
| PF4 | 20 | 5 | 358.3±5.04 | 164.67±5.77 |
| PF5 | 20 | 10 | 356.7±6.14 | 168.78±5.38 |
| PF6 | 20 | 15 | 330.8±4.77 | 170.43±3.04 |
| PF7 | 30 | 5 | 370.6±5.27 | 167.83±3.53 |
| PF8 | 30 | 10 | 354.5±3.21 | 167.21±4.40 |
| PF9 | 30 | 15 | 293.4±2.74 | 173.61±3.37 |
| *All values are mean±SEM, n=3 |
Surface response plots were plotted by use of Design Expert-13 Software to observe the interaction between the independent variable and the dependent variable.

Fig. 3: Surface plot showing the effect of ultrasonication time and concentration of stabilizer on saturation solubility of paliperidone nanosuspension

Fig. 4: Surface plot showing the effect of ultrasonication time and amount of stabilizer on the size of the particle of paliperidone nanosuspension
The surface response graph as shown in fig. 4 indicates the outcome of the amount of stabilizer and probe ultrasonication time on the size of the particle. As evident in the surface response curve, an increase in probe ultrasonication after the formation of suspension by the solvent-antisolvent method causes a further decrease in particle size. Probe ultrasonication time of 15 min has yielded the least particle size i. e. 293.44 nm at the polymer concentration of 30 mg. From the obtained data, batch number PF9 was decided as optimized where particle size is 293.4±2.74 nm and saturation solubility are 173.61±3.37 μg/ml at the probe ultrasonication time of 15 min and 30 mg concentration of stabilizer. Formulation and process parameters for the optimised batch are indicated in table 3. PF9 optimized batch was then utilised for further studies.
Design Expert-13 predicted the following equations for particle size and saturation solubility over the range of independent variables.
Particle size =368.093-38.3933X1-32.105X2
Saturation Solubility =165.94+4.62X1+3.455X2
Table 3: Parameters for an optimized batch of paliperidone nanosuspension
| Parameter | Quantity |
| Amount of Paliperidone | 10 mg |
| Amount of Stabilizer (PVP K30) | 30 mg |
| Amount of Surfactant (SLS) | 5 mg |
| Amount of Solvent (methanol) | 10 ml |
| Amount of Antisolvent (Water) | 70 ml |
| Stirring speed | 1000 rpm |
| Stirring time | 2 h |
| Probe Ultrasonication time | 15 min |

Fig. 5: Graph representing particle size of optimized batch
Particle size analysis of optimized batch
Particle size examination of the PF9 batch indicated a particle size of 293.44 nm as shown in fig. 5, which confirms the formation of suspension in the nano-size by the use of the solvent-antisolvent method.
Saturation solubility study
The saturation solubility of the optimised nanosuspension batch was determined to check enhancement in the solubility of paliperidone. From the study, it was observed that the optimized paliperidone batch has shown 173.61 μg/ml solubility which 5.6-times increase in the solubility of paliperidone.
Determination of drug content
% of drug content was estimated by a UV-visible spectrophotometer at 237 nm. The results of drug content showed that 89.28 % of the drug was present in the optimized formulation.
DSC
The DSC spectra of pure paliperidone and the optimized lyophilized nanosuspension are depicted in fig. 6. Pure paliperidone showed a sharp endothermic peak at 180.16 °C, indicating its crystalline structure. In contrast, the peak observed in the DSC spectrum of the lyophilized nanosuspension was short and broad, signifying a shift from a crystalline to an amorphous state. This can be attributed to insufficient time for paliperidone to form crystals. Sumathi et al. in their studies indicated the conversion of Naringenin from crystalline to amorphous form. This suggests that the conversion of the drug into amorphous form due to formulation into nanosuspension form can be attributed to the increased solubility and bioavailability [33].
FTIR
The FTIR spectra of pure paliperidone had many troughs that corresponded to the different functional groups found in the pure drug as shown in fig. 7. Conversely, the FTIR spectra of the nanosuspension displayed reduced and broad valleys. This reduction in peak intensity and broadening could be credited to the decreased crystallinity of the drug in the nanosuspension, as well as the presence of excipients in the formulation. Kalvakuntla S et al. also found in FTIR studies that the conversion of Aprepitant in nanosuspension form has reduced the crystallinity of the drug. These all studies help to assess the change of the drug from a crystalline to an amorphous state when undergoing nanosizing. It is also important to investigate the extent of conversion of the drug from crystalline to amorphous form during the formulation of nanosuspension [34].

Fig. 6: DSC pattern of pure paliperidone (A) and lyophilised paliperidone nanosuspension (B)

Fig. 7: FTIR spectra of (A) Pure paliperidone and (B) lyophilized paliperidone nanosuspension

Fig. 8: SEM analysis of optimized paliperidone lyophilized nanosuspension batch
SEM
The SEM analysis of the optimized formulation revealed a particulate nature, with the observed particle size being less than 1 μm, indicative of the preparation of a nano-formulation. Additionally, a growth in particle size can be observed due to aggregation caused during the process of lyophilization. Kinam Park, in his cover story, has also mentioned the increase in particle aggregation due to lyophilization. He also suggested that the use of cryoprotecting agents can help to reduce particle aggregation during the process of lyophilization [35].

Fig. 9: Comparative XRD of pure paliperidone (B) and optimized paliperidone nanosuspension (A)
XRD
The XRD spectra of the API showed numerous sharp peaks, indicating its crystalline nature. However, the XRD spectrum of the optimized lyophilized nanosuspension exhibited fewer peaks which might be due to the transition from a crystalline to an amorphous state of the drug. This change could be attributed to the rapid formation of the nanosuspension, which may have hindered nucleation and crystal growth processes.
Zeta potential
Optimized nanosuspension formulation has indicated a mean zeta potential value of-23.8 mV as indicated in fig. 10. This indicates the formation of stable nanosuspension as to stabilize nanosuspension, ±30 mV value of zeta potential is required [36].
In vitro dissolution study
The in vitro dissolution profiles of the optimized nanosuspension of paliperidone and the formulated tablet formulation are depicted in fig. 11.
During the in vitro drug dissolution study, approximately 80% of the drug was released within 5 min from the optimized nanosuspension, while nearly 100% of drug release was achieved within 30 min. It was observed that the formulated optimized nanosuspension exhibited superior drug release compared to the uncoated tablet formulation.

Fig. 10: Zeta potential of optimized nanosuspension

Fig. 11: In vitro drug release pattern of PF9 and tablet formulation. Error bars indicates SEM values n=3)
In vivo pharmacokinetic study
To conclude if an optimized formulation of nanosuspension can enhance the pharmacokinetic (PK) parameters of paliperidone, in vivo PK studies were performed in wrister rats. In the PK study, drug coarse suspension was compared for various parameters like AUC0-24, Cmax, and Tmax with optimized nanosuspension. Results obtained from the study are indicated in table 4.
Table 4: PK parameters
| PK parameter | Coarse suspension | PF9 Batch |
| Cmax (μg/ml) | 1.95±0.18 | 7.40±0.69 |
| Tmax (h) | 2±0.00 | 2±0.00 |
| AUC0-24 (μg/ml·h) | 65.50±0.71 | 145.90 |
(mean±SEM, n=6)
Table 5: Stability study parameters of optimized paliperidone nanosuspension
| Time | Parameter | |
| Particle size (nm) | Saturation solubility (μg/ml) | |
| 0 days | 293.4±2.74 | 173.61±3.41 |
| 15 days | 298.7±5.58 | 171.67±3.15 |
| 1 month | 305.5±3.63 | 166.40±3.43 |
| 2 mo | 312.0±4.26 | 160.78±2.74 |
| 3 mo | 321.7±1.76 | 152.52±2.62 |
(mean±SEM, n=3)
From the obtained result it can be concluded that Paliperidone nanosuspension has shown enhanced PK parameters than coarse suspension. Paliperidone nanosuspension has shown about a 3.79-fold increase in Cmax. AUC0-24 has also increased by about 2.27 times. This increase in overall PK parameters can be attributed to reduced first-pass metabolism. These overall results indicate the usefulness of particle size reduction in the form of nanosuspension for the improvement of pharmacokinetic parameters.
Stability study
Selected samples of the optimised formulation were retained for a stability study lasting 3 mo, conducted at a temperature of 40 °C±2 °C and a relative humidity of 75%±5%. The particle size and saturation solubility of samples were analysed at 0, 15 d, and 1, 2, and 3 mo. Table 5 displays the findings of the study. Upon completion of the stability study, it was observed that there was an increase in the particle size of suspended particles of the nanosuspension. The occurrence of Ostwald's ripening during the storage phase can explain this phenomenon. Furthermore, it has been seen that the solubility at saturation decreases over time. The decrease in saturation solubility can be attributed to an increase in particle size, which leads to a reduction in the overall surface area.
Nanosuspension of paliperidone, used in schizophrenia treatment, was successfully formulated and optimized by 32 factorial design using a solvent-antisolvent method followed by probe ultrasonication. Key characteristics were identified through preformulation studies, guiding the further process. The concentration of stabilizer and probe ultrasonication time were critical factors affecting particle size and solubility. The optimized formulation, PF9, showed a particle size of 293.4±2.74 nm and solubility of 173.61±3.37 μg/ml, indicating success. In vitro dissolution showed superior performance compared to tablet formulation. In vivo studies in Wister rats demonstrated improved pharmacokinetic parameters attributed to smaller particle size and increased surface area. Stability studies indicated an increase in particle size and a decrease in saturation solubility over time. The nanosuspension approach has enhanced the solubility and bioavailability of paliperidone, potentially improving patient compliance in schizophrenia treatment.
Nil
Shivraj P Jadhav-Design and conceptualization of work, performed the work, analysed the data, Dr. Tapasvi Gupta-Analysis of the data, Dr. Prashant Kumar Dhakad-Monitoring of the work, Dr. Ritu Gilhotra-Proof reading and approval of the final manuscript.
All authors have none to declare
Munnangi SR, Youssef AA, Narala N, lakkala P, Narala S, Vemula SK. Drug complexes: a perspective from academic research and pharmaceutical market. Pharm Res. 2023 Jun;40(6):1519-40. doi: 10.1007/s11095-023-03517-w, PMID 37138135, PMCID PMC10156076.
Farghaly Aly U, Abou Taleb HA, Abdellatif AA, Sameh Tolba N. Formulation and evaluation of simvastatin polymeric nanoparticles loaded in hydrogel for optimum wound healing purpose. Drug Des Devel Ther. 2019;13:1567-80. doi: 10.2147/DDDT.S198413, PMID 31190737.
Patil AS, Hegde R, Gadad AP, Dandagi PM, Masareddy R, Bolmal U. Exploring the solvent-anti-solvent method of nanosuspension for enhanced oral bioavailability of lovastatin. Turk J Pharm Sci. 2021 Oct 28;18(5):541-9. doi: 10.4274/tjps.galenos.2020.65047, PMID 34708645, PMCID PMC8562113.
Taneja S, Shilpi S, Khatri K. Formulation and optimization of efavirenz nanosuspensions using the precipitation-ultrasonication technique for solubility enhancement. Artif Cells Nanomed Biotechnol. 2016 May;44(3):978-84. doi: 10.3109/21691401.2015.1008505, PMID 25724312.
Liu D, Xu H, Tian B, Yuan K, Pan H, Ma S. Fabrication of carvedilol nanosuspensions through the anti-solvent precipitation-ultrasonication method for the improvement of dissolution rate and oral bioavailability. AAPS PharmSciTech. 2012 Mar;13(1):295-304. doi: 10.1208/s12249-011-9750-7, PMID 22246736, PMCID PMC3299468.
Minwalla HD, Wrzesinski P, Desforges A, Caskey J, Wagner B, Ingraffia P. Paliperidone to treat psychotic disorders. Neurol Int. 2021 Jul 28;13(3):343-58. doi: 10.3390/neurolint13030035, PMID 34449689, PMCID PMC8396046.
Luvsannyam E, Jain MS, Pormento MK, Siddiqui H, Balagtas AR, Emuze BO. Neurobiology of schizophrenia: a comprehensive review. Cureus. 2022 Apr 8;14(4):e23959. doi: 10.7759/cureus.23959, PMID 35541299, PMCID PMC9080788.
Fadda HM, Chen X, Aburub A, Mishra D, Pinal R. A novel method for determining the solubility of small molecules in aqueous media and polymer solvent systems using solution calorimetry. Pharm Res. 2014 Jul;31(7):1735-43. doi: 10.1007/s11095-013-1278-y, PMID 24554115.
Wang Q, Jiao J, Cai Q, Wang Q, Zhou W. Design and evaluation of a zero-order controlled release system based on pre-hydrated constant release area prepared by compression coating technology. Pharm Dev Technol. 2021 Nov;26(10):1120-9. doi: 10.1080/10837450.2021.1998912, PMID 34698603.
Jain N, Verma A, Jain N. Preformulation studies of niosomal gel containing dipivefrin hydrochloride for antiglaucomatic activity. Int J Pharm Pharm Sci. 2024 Feb;16(2):17-23. doi: 10.22159/ijpps.2024v16i2.49174.
Purkayastha HD, Hossian SK. Nanosuspension: a modern technology used in drug delivery system. Int J Curr Pharm Sci. 2019 May;11(3):1-3. doi: 10.22159/ijcpr.2019v11i3.34098.
Elshafeey AH, El-Dahmy RM. Formulation and development of oral fast-dissolving films loaded with nanosuspension to augment paroxetine bioavailability: in vitro characterization, ex vivo permeation, and pharmacokinetic evaluation in healthy human volunteers. Pharmaceutics. 2021 Nov 5;13(11):1869. doi: 10.3390/pharmaceutics13111869, PMID 34834284, PMCID PMC8620498.
Alshweiat A, Katona G, Csoka I, Ambrus R. Design and characterization of loratadine nanosuspension prepared by ultrasonic-assisted precipitation. Eur J Pharm Sci. 2018 Sep 15;122:94-104. doi: 10.1016/j.ejps.2018.06.010, PMID 29908301.
Tibalinda P, Sempombe J, Shedafa R, Masota N, Pius D, Temu M. Formulation development and optimization of lamivudine 300 mg and tenofovir disoproxil fumarate (TDF) 300 mg FDC tablets by D-optimal mixture design. Heliyon. 2016 Dec 2;2(12):e00207. doi: 10.1016/j.heliyon.2016.e00207, PMID 27942608, PMCID PMC5137174.
Shah R, Soni T, Shah U, Suhagia BN, Patel MN, Patel T. Formulation development and characterization of lumefantrine nanosuspension for enhanced antimalarial activity. J Biomater Sci Polym Ed. 2021 May;32(7):833-57. doi: 10.1080/09205063.2020.1870378, PMID 33380264.
Ali HS, York P, Blagden N. Preparation of hydrocortisone nanosuspension through a bottom-up nanoprecipitation technique using microfluidic reactors. Int J Pharm. 2009 Jun 22;375(1-2):107-13. doi: 10.1016/j.ijpharm.2009.03.029, PMID 19481696.
Patil AS, Hegde R, Gadad AP, Dandagi PM, Masareddy R, Bolmal U. Exploring the solvent-anti-solvent method of nanosuspension for enhanced oral bioavailability of lovastatin. Turk J Pharm Sci. 2021 Oct 28;18(5):541-9. doi: 10.4274/tjps.galenos.2020.65047, PMID 34708645, PMCID PMC8562113.
Hao J, Gao Y, Zhao J, Zhang J, Li Q, Zhao Z. Preparation and optimization of resveratrol nanosuspensions by antisolvent precipitation using box-Behnken design. AAPS PharmSciTech. 2015 Feb;16(1):118-28. doi: 10.1208/s12249-014-0211-y, PMID 25209687, PMCID PMC4309822.
Raju A, Reddy AJ, Satheesh J, Jithan AV. Preparation and characterisation of nevirapine oral nanosuspensions. Indian J Pharm Sci. 2014 Jan;76(1):62-71. PMID 24799740, PMCID PMC4007257.
Thakkar HP, Patel BV, Thakkar SP. Development and characterization of nanosuspensions of olmesartan medoxomil for bioavailability enhancement. J Pharm Bioallied Sci. 2011 Jul;3(3):426-34. doi: 10.4103/0975-7406.84459, PMID 21966165, PMCID PMC3178951.
Umamaheswar K, Rambabu C. Spectrophotometric methods for the quantitative estimation of paliperidone in formulations. Chem Sci Trans. 2014 Jan;3(3):1156-62. doi: 10.7598/cst2014.771.
Jadhav K, Jadhav S, Sonawane D, Somvanshi D, Shah H, Patil P. Formulation and evaluation of miconazole nitrate loaded novel nanoparticle gel for topical delivery. J Pharm Res Int. 2021 Sep;33(44A):292-307. doi: 10.9734/jpri/2021/v33i44A32616.
Bhia M, Motallebi M, Abadi B, Zarepour A, Pereira Silva M, Saremnejad F. Naringenin nano-delivery systems and their therapeutic applications. Pharmaceutics. 2021 Feb 23;13(2):291. doi: 10.3390/pharmaceutics13020291, PMID 33672366, PMCID PMC7926828.
Detroja C, Chavhan S, Sawant K. Enhanced antihypertensive activity of candesartan cilexetil nanosuspension: formulation, characterization and pharmacodynamic study. Sci Pharm. 2011 Jul-Sep;79(3):635-51. doi: 10.3797/scipharm.1103-17, PMID 21886909, PMCID PMC3163369.
Li X, Yuan H, Zhang C, Chen W, Cheng W, Chen X. Preparation and in vitro/in vivo evaluation of curcumin nanosuspension with solubility enhancement. J Pharm Pharmacol. 2016 Aug;68(8):980-8. doi: 10.1111/jphp.12575, PMID 27283220.
Jahan N, Kousar F, Rahman KU, Touqeer SI, Abbas N. Development of nanosuspension of Artemisia absinthium extract as novel drug delivery system to enhance its bioavailability and hepatoprotective potential. J Funct Biomater. 2023 Aug 18;14(8):433. doi: 10.3390/jfb14080433, PMID 37623677, PMCID PMC10456093.
Dhapte V, Kadam V, Pokharkar V. Pyrimethamine nanosuspension with improved bioavailability: in vivo pharmacokinetic studies. Drug Deliv Transl Res. 2013 Oct;3(5):416-20. doi: 10.1007/s13346-012-0112-0, PMID 25788349.
Silki SVR, Sinha VR. Enhancement of in vivo efficacy and oral bioavailability of aripiprazole with solid lipid nanoparticles. AAPS PharmSciTech. 2018 Apr;19(3):1264-73. doi: 10.1208/s12249-017-0944-5, PMID 29313261.
Umamahesswar K, Ramu G, Rambabu C. A reverse phase HPLC method development and validation for the determination of paliperidone in pure and dosage forms. Chem Sci Trans. 2012 Jul;2(1):41-6. doi: 10.7598/cst2013.268.
Souto EB, Dias Ferreira J, lopez Machado A, Ettcheto M, Cano A, Camins Espuny A. Advanced formulation approaches for ocular drug delivery: state-of-the-art and recent patents. Pharmaceutics. 2019 Sep 6;11(9):460. doi: 10.3390/pharmaceutics11090460, PMID 31500106, PMCID PMC6781321.
Goel S, Sachdeva M, Agarwal V. Nanosuspension technology: recent patents on drug delivery and their characterizations. Recent Pat Drug Deliv Formul. 2019 Apr;13(2):91-104. doi: 10.2174/1872211313666190614151615, PMID 31203813, PMCID PMC6806604.
Jain N, Verma A, Jain N. Preformulation studies of niosomal gel containing dipivefrin hydrochloride for antiglaucomatic activity. Int J Pharm Pharm Sci. 2024 Jan;16(2):17-23. doi: 10.22159/ijpps.2024v16i2.49174.
Sumathi R, Tamizharasi S, Sivakumar T. Formulation and evaluation of polymeric nanosuspension of naringenin. Int J App Pharm. 2017 Oct;9(6):60-70. doi: 10.22159/ijap.2017v9i6.21674.
Kalvakuntla S, Deshpande M, Attari Z, Kunnatur BK. Preparation and characterization of nanosuspension of aprepitant by H96 process. Adv Pharm Bull. 2016 Mar;6(1):83-90. doi: 10.15171/apb.2016.013, PMID 27123422, PMCID PMC4845550.
Park K. Prevention of nanoparticle aggregation during freeze-drying. J Control Release. 2017 Feb 28;248:153. doi: 10.1016/j.jconrel.2017.01.038, PMID 28190423.
Gupta B, Sharma R. Formulation and in vitro characterization of the solid lipid nanoparticles of naftopidil for enhancing oral bioavailability. Asian J Pharm Clin Res. 2023 Jan;16(2):77-82. doi: 10.22159/ajpcr.2023.v16i2.46465.