
A.P.C. Ray Memorial Cancer Chemotherapeutic Research Unit, College of Pharmaceutical Sciences, Berhampur, Odisha affiliated to Biju Patnaik University of Technology, Rourkela, Odisha-769015, India
*Corresponding author: Subrata Sen; *Email: prof.dr.subratasen@gmail.com
Received: 27 Apr 2024, Revised and Accepted: 10 Jun 2024
ABSTRACT
Objective: The aim of this study was to develop and validate bioanalytical methods for estimation of 2-(4-ethoxyphenyl sulphamido) pentanediamide (PC), an investigational anticancer agent, in various organ/tissue matrices to study various Pharmacokinetic parameters using lC-MS.
Methods: Freshly prepared tissue homogenates from Sprague-Dawley rats were used as matrices to develop the bioanalytical method in lC-MS to determine Cmax, Tmax, AUC0-t, AUC0-inf, T1/2, and mean Residence Time (MRT). The distribution study was conducted by administering PC orally to Sprague-Dawley rats and quantifying PC in different excised organs at different points. A non-compartmental analysis was done using ‘PK solver’ software.
Results: In all the tissue matrices, the concentrations of PC were found in the linear range of 10 to 5000 ng/ml. High level of precision, accuracy, and recovery, with negligible matrix effects, were found. PC was distributed in all tissues except the brain. Pharmacokinetic parameters such as Tmax and MRT were between 1.11±0.12 to 2.33±0.11 h and 2.17±0.16 to 4.01±0.25 h respectively in the liver, lung, heart, spleen, kidney, and thymus.
Conclusion: Simple and sensitive lC-MS methods for PC in different tissue matrices were developed and validated. As PC does not cross Blood Brain Barrier (BBB), it will not adversely affect Central Nervous System (CNS). PC is absorbed fast from Gastro Intestinal Tract (GIT) to blood and subsequently reaches the different tissues. Consequently, a fast onset of action will be seen. To sum up, PC is a probable potential anticancer agent with no or minimal adverse effects on CNS.
Keywords: lC-MS, Validation, Tissue distribution, PK solver software
© 2024 The Authors. Published by Innovare Academic Sciences Pvt Ltd. This is an open access article under the CC BY license (https://creativecommons.org/licenses/by/4.0/)
DOI: https://dx.doi.org/10.22159/ijap.2024v16i4.51246 Journal homepage: https://innovareacademics.in/journals/index.php/ijap
2-(4-Ethoxyphenyl sulphonamido) pentanediamide (PC) was developed as an antineoplastic and antiagiogenic candidate drug by S. Sen et al. in their affiliated laboratory [1]. An exhaustive preclinical trial has been undertaken by the inventors. The present work is a part of the pharmacokinetic study of the investigational agent, PC. The chemical structure of 2-(4-Ethoxyphenyl sulphonamido) pentanediamide is shown in fig. 1.

Fig. 1: Structure of 2-(4-Ethoxyphenyl sulphonamido) pentanediamide
The antitumor and antiangiogenic properties of PC were already established through the biological investigation on RPMI-8226 (Human multiple myeloma cell line) and Human Umbilical Vein Endothelial Cells (HUVEC). The non-toxicity of PC towards normal cells was established through the biological assay on the vero cell line [1].
The pharmacokinetic investigations were already made to determine the serum concentrations of PC in rat serum after the administration to Sprague-Dawley rats through intravenous and oral routes. A conclusion was made that PC has good oral bioavailability (73.2%) and is a suitable candidate for oral administration [2]. However, the serum concentration parameters of PC are not sufficient to understand the distribution pattern of PC in various organs and tissue components. A further investigation is required to determine the pharmacokinetic parameters in various tissues. Bioanalytical method development and its validation are the primary steps for the biopharmaceutical evaluation of the compounds. The molecules behave differently in different biological matrices, so one cannot use the same developed method of the compound for all biological matrices.
The aim and objective of the present work are to develop and validate bioanalytical methods of PC in various organ/tissue matrices using lC-MS and apply the validated methods to determine the concentrations of PC in various tissue matrices to understand behavior of PC through pharmacokinetic parameters.
Chemicals and materials
2-(4-Ethoxyphenyl sulphonamido) pentanediamide (PC) was synthesized and purified (99%) by S. Sen et al. [1]. HPLC-grade acetonitrile and HPLC-grade water were purchased from ‘Merck life Science Private limited (Vikhorli, Mumbai)’. Whatman Puradisc-13 syringe filters (PTFE) with pore size of 0.2 µm diameter were used for filtration. Animal studies on Sprague Dawley (SD) rats were carried out as per the approval given by the ‘Institutional Animal Ethics Committee’ (IAEC) of the ‘College of Pharmaceutical Sciences, Berhampur’ (CPCSEA, Reg. No. 1170/PO/Re/S/08/CPCSEA). All the Sprague-Dawley rats used for the studies were purchased from West Bengal livestock Development Corporation limited, Buddha Park, Kalyani, Nadia, India (Regd No. 2109//GO/ReRcBiBt/S/20/CPCSEA).
Instrumentation and condition for lC-MS method development
The analysis of the samples was carried out using liquid Chromatography hyphenated with Mass Spectrometry (LC-MS) which consisted of an HPLC system (Perkin Elmer with lX-50 pump) and Triple Quadrupole Mass Spectrometer (Perkin Elmer, QSight 220). Similar lC-MS conditions were maintained as they were in the pharmacokinetics studies of the same compound (PC) [2].
Experimental animals and laboratory conditions
Healthy (two to three months old) Sprague-Dawley rats of body weight ranging from 250-300 g were used as experimental animals both for blank tissue matrices preparation and distribution study. Before conducting experiments, Sprague-Dawley rats were kept in the laboratory for a minimum of seven days to acclimatize to the laboratory environment. Rats were provided a proper diet with an unlimited drinking water supply. Food was withheld a night before the experiments. Standard laboratory conditions of 12 h dark-light cycle, 25±2 °C temperature, and 50±20 % humidity were maintained [3-5].
Collection of organs/tissues and preparation of blank tissue matrices
Eight healthy, untreated sprague-dawley rats (4 males and 4 females) were selected for the collection of organs/tissues. The rats were euthanized by an overdose of inhalation general anesthetic agent, isoflurane. The organs of interest such as the stomach, small intestine, liver, lungs, heart, spleen, brain, kidneys, and thymus were excised and immediately cleaned with phosphate buffer saline pH 7.4 (PBS). After cleaning each organ, the surfaces of the organs were dried using filter paper. Without further delay, each Organ was chopped into small pieces and transferred to a hand homogenizer with a small quantity of HPLC-grade water. The coarsely homogenized tissues were then transferred along with the remaining portion of water to a motor-driven homogenizer and were homogenized for 20 min to get fine homogenate. The volume of water added during the homogenization process was 3 times the volume of tissue. The tissue homogenates were pooled separately for individual organs. The pooled homogenates were then centrifuged at 10,000 rpm for 15 min. The supernatants were collected as blank matrices for the above-mentioned tissues.
Preparation of calibration standard (CS) and quality control (QC) samples of PC in various tissue matrices
100 µl supernatant of each tissue was taken in individual microcentrifuge tubes, followed by the addition of 100 µl reference standard solutions of different concentrations of PC to produce the final calibration standards (CS) of 10, 20, 60, 100, 500, 1000, 1500, 2500, 4500, and 5000 ng/ml and quality control (QC) samples of 10, 30, 500, and 4000 ng/ml. The mixture was agitated for a few seconds using a vortex mixer and set aside for 30 min. To this mixture, 800 µl of acetonitrile was added for protein precipitation. The mixtures were stirred thoroughly for 5 min using a vortex mixer. The centrifugation process of the above mixtures was carried out at 14,500 rpm for 15 min. The partial supernatant liquid was collected and passed through a PTFE (hydrophilic filtration) syringe filter with a 0.2 µm pore size and 13 mm membrane diameter. The filtrate of every individual sample was collected as the final sample for lC-MS analysis. As the extraction process involved fewer steps and clean extracts were obtained after filtration, no internal standard (IS) has been used in any steps of sample preparation [6].
Method validation
‘Food and Drug Administration (FDA) guideline on bioanalytical method validation, guidance for industry’, was followed to perform the method validation [7]. The following parameters such as selectivity, sensitivity, calibration curve, and linearity range, the lower limit Of Quantification (LLOQ), the Upper limit of Quantification (ULOQ), accuracy, precision, matrix effect, recovery, stability in the matrix (freeze-thaw stability, bench-top stability, long-term stability) and auto sampler stability were validated as per the guideline [8-22].
Selectivity
The blank tissue matrices (tissue matrices of the stomach, small intestine, liver, lungs, heart, spleen, brain, kidneys, and thymus) were spiked with the reference standard of PC to produce lLOQ concentration. The blank individual matrix chromatogram was compared with the chromatogram obtained for the spiked tissue matrix and the selectivity was determined.
Sensitivity and calibration curve
The sensitivity of the instrument towards PC was evaluated by determining the lOD (lower limit of detection) and lLOQ. The chromatograms of PC with the minimum concentrations produce signal-to-noise ratios (S/N) of 3:1 and 10:1 were established as lOD and lLOQ respectively [18].
The linearity range of the PC was established by measuring the range of peak areas which increase linearly with the increase in concentrations of PC. A concentration range of 10 to 5000 ng/ml was measured to prepare the calibration curves for individual tissue matrices. Least-square linear regression of the peak areas of the analyte were plotted along the Y-axis and nominal concentrations were plotted along the X-axis. The 1/X2was used for the calibration curve preparation, as a weighting factor.
Accuracy and precision
The accuracy (percentage relative error, % RE) and the precision (percentage coefficient of variation, % CV) both for the intra-day and inter-day study were calculated by analyzing the QC samples (10, 30, 500, and 4000 ng/ml) in the same instrument repeatedly (6 times) in a day and on three different days. The measured accuracy and precision was within the acceptable range i. e. within±15%.
Matrix effect
The matrix effect evaluation is very much essential during the method validation because it reveals the effect of the unidentified components present in tissue matrices interfering with the ionization of the analyte during analysis and thereby reducing or increasing the values of the actual concentrations. Four QC samples (10, 30, 500, 4000ng/ml) in sextuplicate were prepared in each tissue matrix and the samples were extracted by protein precipitation. At the same time, QC samples (n=6) were prepared in neat solvent (HPLC-grade water) using the same extraction steps. The matrix effect was calculated as follows [23-26]:

Recovery
A percentage ratio of the peak areas of QC samples in the blank tissue matrix to the peak areas of QC samples in the extracted tissue matrix was calculated for individual tissue matrices to get the recovery percentage of PC from a given tissue matrix.
Stability
The stability studies of PC in different tissue matrices were conducted by considering the different experimental conditions to which samples were exposed. The first condition was the bench-top matrix stability. In this study, the matrices containing QC samples were kept at room temperature for 6 h, and after that samples were extracted using the protein precipitation method and analyzed. A comparison was made between the above-prepared samples with the freshly prepared samples in the same matrices. An autosampler stability was conducted by keeping the extracted QC samples in the auto sampler for 12 h and then analyzed. The autosampler stability was evaluated by comparing it with the freshly extracted QC samples. The freeze-thaw stabilities of PC in matrices were conducted by freezing the QC matrices at-20 °C for 12 h followed by thawing at room temperature with the three times repetition of the cycle. The samples were evaluated for freeze-thaw stability by comparing the chromatograms of the freshly prepared samples in all the matrices.
For a long-term matrix stability study, The QC samples in tissue matrices were stored at-20 °C for 20 days and then analyzed and compared with the chromatogram of the freshly prepared QC samples in tissue matrices. For all the stability studies four QC samples triplicate were analyzed. The measured accuracy for all stability studies were within the acceptable range i. e. within±15%, consequently, the PC is considered stable in those matrices.
In vivo tissue distribution study
The tissue distribution study was conducted on Sprague-Dawley rats. The eight different time points for the collection of tissue samples were decided by considering the oral pharmacokinetic parameters such as Tmax, and elimination T1/2. Different time points for the collection of tissue samples were 15 min, 30 min, 1 h, 2 h, 4 h, and 8h. Based on the time points, twenty-four male Sprague-Dawley rats were randomly assigned and divided into 6 groups [22, 27, 28]. Every rat received a single oral dose of 125 mg/kg body weight by an 18G gavage needle. After administration of the dose, the rats were euthanized by an overdose of inhalation general anesthetic agent, isoflurane at the predetermined time points. The different tissue samples such as the stomach, small intestine, liver, lungs, heart, spleen, brain, kidney, and thymus were excised and immediately cleaned with PBS. After cleaning, each organ surface was dried using filter paper. The organs were weighed and the weight of the individual organ was recorded. Without further delay, each organ was chopped into small pieces and transferred to a hand homogenizer with a small quantity of HPLC-grade water. The coarsely homogenized tissue was then transferred along with an additional portion of water to a motor-driven homogenizer and was homogenized for 20 min to get fine homogenate. The total volume of water added during the homogenization process was 3 times the volume of tissue.
Sample preparation for analysis
1 ml of tissue homogenate was transferred to the microcentrifuge tube and centrifuged at 10,000 rpm for 15 min. The 100 µl of supernatant was taken in another microcentrifuge tube, in which 100 µl HPLC grade water was added. The mixture was agitated for a few seconds using a vortex mixer and after that 800 µl of acetonitrile was mixed to each tube for protein precipitation followed by thorough vortexing for 5 min. After vortexing, the centrifugation process of the above mixtures was carried out at 14,500 rpm for 15 min. The partial supernatant liquid was collected and passed through a PTFE (hydrophilic filtration) syringe filter with a 0.2 µm pore size and 13 mm membrane diameter. The filtrate of every individual sample was collected as the final sample for lC-MS analysis. The tissue concentration of PC was calculated in µg of PC per gram of tissue (µg/g) by the following formula [28].

Where, CPC = concentration of PC per ml of tissue sample (µg/ml), VTH = volume of homogenized tissue (ml), WT = weight of tissue sample (g)
Validation
Selectivity was assayed by observing the reproducibility of retention time (3.1 min) of PC and there were no interferences of any of the tissue matrices at that retention time (fig. 2).

Fig. 2: Typical lC-MS chromatograms of PC at 500ng/ml in sprague-dawley rats tissue matrices: A) Stomach B) Small intestine C) liver D) lungs E) Heart F) Spleen G) Brain H) Kidneys I) Thymus
The calibration curves were plotted taking each concentration and corresponding peak area in six replicates for each tissue matrix. The linear equations, correlation coefficient values (r2), and linearity ranges are shown in table 1.
Table 1: Linear equations of calibration curves, correlation coefficient, and linearity range of PC in various tissue matrices
| Tissue matrix | Equation of calibration curve | Correlation coefficient (r2) | Linear range |
| Stomach | Y=776.64X+6981.3 | 0.9992 | 10 to 5000 ng/ml |
| Small intestine | Y=776.73X+6642.1 | 0.9991 | 10 to 5000 ng/ml |
| Liver | Y=842.12X– 32686 | 0.9958 | 10 to 5000 ng/ml |
| Lungs | Y=820.37X– 21639 | 0.9987 | 10 to 5000 ng/ml |
| Heart | Y=817.29X– 26974 | 0.9978 | 10 to 5000 ng/ml |
| Spleen | Y=807.33X– 20837 | 0.9989 | 10 to 5000 ng/ml |
| Brain | Y=818.26X– 27525 | 0.9979 | 10 to 5000 ng/ml |
| Kidneys | Y=827.59X– 31702 | 0.9982 | 10 to 5000 ng/ml |
| Thymus | Y=830.61X– 26195 | 0.9993 | 10 to 5000 ng/ml |
High-sensitive methods were developed for each tissue matrix and it was confirmed from the lOD and lLOQ values i. e. 1 ng/ml and 10 ng/ml which were obtained by calculating S/N>3 and S/N>10 respectively.
The accuracy (%RE) and precision (%CV) of the developed methods were evaluated. The accuracy of the developed bioanalytical method for the assay of PC in the stomach, small intestine, liver, lung, heart, spleen, brain, kidney, and thymus matrices were in the range from-2.61 to 4.80,-2.40 to 0.46,-2.50 to 4.50,-1.57 to 3.63,-2.17 to 1.23, 0.25 to 6.60,-3.10 to 0.65, 0.83 to 8.40, and-1.30 to 1.50 respectively. All the values of ‘accuracy’ were in the acceptable range i. e. within±15%. The values obtained for ‘precision’ were within the acceptable limit i. e. within±15%. The results of ‘accuracy’ and ‘precision’ are shown in table 2.
The results of the matrix effects of each matrix are presented in table 3. The matrix effects on the ionization of PC were also very low and the values were within the acceptable range i. e.±15%.
The recovery of analyte from each tissue matrix is a very important factor. A high percentage of recovery of the analyte indicates that proper extraction steps are used for the process of extraction of the analyte. The percentage recovery of PC in all matrices is shown in table 3. The percentage of recovered PC in QC samples prepared in the stomach, small intestine, liver, lungs, heart, spleen, brain, kidney, and thymus matrices were in the range of 93.12±1.19 to 97.20±0.79, 94.54±0.62 to 97.26±0.47, 94.12±0.58 to 96.45±0.73, 94.60±0.82 to 97.71±0.50, 94.08±0.33 to 97.10±0.67, 93.46±0.45 to 97.55±0.56, 93.53±1.56 to 97.78±0.89, 94.40±0.84 to 97.20±0.56, and 94.86±0.96 to 96.84±1.85 respectively. The high recovery from the matrices indicates that the homogenization of tissue and the protein precipitation process which were utilized for the extraction were appropriate for PC.
The matrix stability studies of PC in different stability conditions such as bench-top matrix stability, autosampler stability, freeze-thaw stability, and long-term matrix stability studies were conducted for all the matrices and the results are shown in table 4. The acceptance limit for all the stability studies was calculated in terms of ‘accuracy’. The ‘accuracy’ for all the test conditions regardless of matrix, were within the acceptance limit i. e. within±15%.
Table 2: Accuracy and precision assay
| Tissue matrix | Nominal concentration (ng/ml) | Observed concentration (ng/ml) (mean±SD) | Accuracy (RE %) | Precision (CV %) | Observed concentration (ng/ml) (mean±SD) |
Accuracy (RE %) | Precision (CV %) |
| Intra-d | Inter-d* | ||||||
| Stomach | 10 | 10.48±0.58 | 4.80 | 5.53 | 10.56±0.42 | 5.60 | 3.98 |
| 30 | 28.75±0.66 | -4.17 | 2.30 | 28.38±0.89 | -5.40 | 3.14 | |
| 500 | 504.00±9.53 | 0.80 | 1.89 | 498.06±8.72 | -0.39 | 1.75 | |
| 4000 | 3895.66±70.31 | -2.61 | 1.80 | 3908.21±62.74 | -2.29 | 1.61 | |
| Small Intestine | 10 | 9.76±0.69 | -2.40 | 7.07 | 9.61±0.82 | -3.90 | 8.53 |
| 30 | 31.22±1.15 | 4.07 | 3.68 | 30.69±2.33 | 2.30 | 7.59 | |
| 500 | 508.24±3.82 | 1.65 | 0.75 | 503.66±6.12 | 0.73 | 1.22 | |
| 4000 | 4018.21±32.24 | 0.46 | 0.80 | 4021.25±25.14 | 0.53 | 0.63 | |
| Liver | 10 | 10.45±0.61 | 4.50 | 5.84 | 10.26±0.48 | 2.60 | 4.68 |
| 30 | 29.25±2.15 | -2.50 | 7.35 | 29.68±3.19 | -1.07 | 10.75 | |
| 500 | 488.24±4.32 | -2.35 | 0.88 | 498.24±8.11 | -0.35 | 1.63 | |
| 4000 | 3985.21±20.93 | -0.37 | 0.53 | 3979.21±12.85 | -0.52 | 0.32 | |
| Lung | 10 | 9.85±0.22 | -1.50 | 2.23 | 9.79±0.14 | -2.10 | 1.43 |
| 30 | 31.09±1.25 | 3.63 | 4.02 | 31.66±2.19 | 5.53 | 6.92 | |
| 500 | 492.16±7.55 | -1.57 | 1.53 | 490.58±7.55 | -1.88 | 1.54 | |
| 4000 | 4065.49±23.41 | 1.64 | 0.58 | 4035.26±20.63 | 0.88 | 0.51 | |
| Heart | 10 | 10.11±0.15 | 1.10 | 1.48 | 10.51±0.27 | 5.10 | 2.57 |
| 30 | 29.35±1.58 | -2.17 | 5.38 | 29.88±2.18 | -0.40 | 7.30 | |
| 500 | 506.15±6.25 | 1.23 | 1.23 | 503.55±4.98 | 0.71 | 0.99 | |
| 4000 | 4015.20±26.71 | 0.38 | 0.67 | 4020.91±21.28 | 0.52 | 0.53 | |
| Spleen | 10 | 10.66±0.32 | 6.60 | 3.00 | 10.26±0.42 | 2.60 | 4.09 |
| 30 | 30.31±2.51 | 1.03 | 8.28 | 30.88±2.91 | 2.93 | 9.42 | |
| 500 | 502.82±8.29 | 0.56 | 1.65 | 508.77±10.26 | 1.75 | 2.02 | |
| 4000 | 4010.20±15.05 | 0.25 | 0.38 | 4013.26±18.31 | 0.33 | 0.46 | |
| Brain | 10 | 9.69±0.13 | -3.10 | 1.34 | 9.88±0.19 | -1.20 | 1.92 |
| 30 | 29.73±2.11 | -0.90 | 7.10 | 29.86±3.18 | -0.47 | 10.65 | |
| 500 | 496.82±10.46 | -0.64 | 2.11 | 495.84±12.55 | -0.83 | 2.53 | |
| 4000 | 4026.18±21.51 | 0.65 | 0.53 | 4038.47±19.23 | 0.96 | 0.48 | |
| Kidney | 10 | 10.84±0.20 | 8.40 | 1.85 | 10.18±0.19 | 1.80 | 1.87 |
| 30 | 31.52±3.15 | 5.07 | 9.99 | 31.84±3.85 | 6.13 | 12.09 | |
| 500 | 509.65±12.77 | 1.93 | 2.51 | 498.14±11.29 | -0.37 | 2.27 | |
| 4000 | 4033.39±18.08 | 0.83 | 0.45 | 4028.49±15.46 | 0.71 | 0.38 | |
| Thymus | 10 | 9.87±0.28 | -1.30 | 2.84 | 9.79±0.34 | -2.10 | 3.47 |
| 30 | 30.45±2.48 | 1.50 | 8.14 | 30.32±3.19 | 1.07 | 10.52 | |
| 500 | 493.59±11.02 | -1.28 | 2.23 | 495.08±12.55 | -0.98 | 2.53 | |
| 4000 | 4025.03±18.44 | 0.63 | 0.46 | 4035.49±12.09 | 0.89 | 0.30 |
*Data expressed as mean±SD; n=6, **Data expressed as mean±SD; n=18
In vivo distribution study
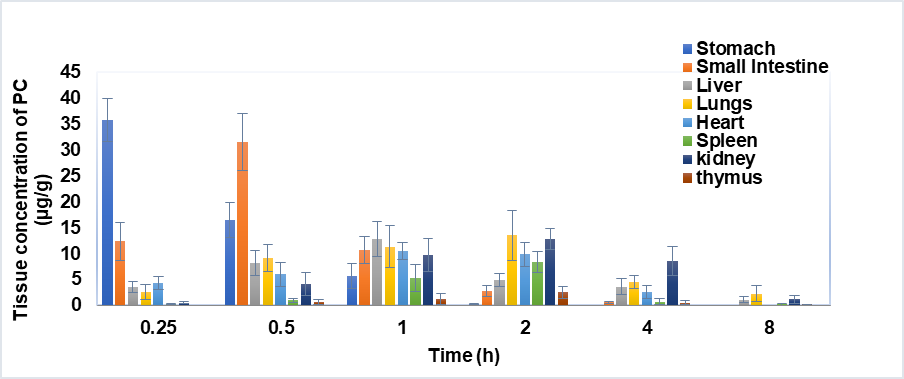
After method validation, the validated methods were utilized in the tissue distribution study. The concentrations of PC in different tissues at different time points are presented in table 5. PC was found in all tissues such as the stomach, small intestine, liver, lungs, heart, spleen, kidney, and thymus except brain tissue. The study indicates that PC was unable to cross the BBB. It is a good indication that adverse effects related to CNS won’t be seen upon oral administration. PC was distributed in various tissues other than the brain, in sufficient amounts and remained for a sufficient time (fig. 3 and 4). The data were analyzed by non-compartmental analysis using ‘PK solver software’ [2, 29]. The pharmacokinetic parameters in different tissues are shown in table 6. The reduction in concentration with time is fast from the stomach and small intestine, indicating fast absorption of PC from the GIT to blood. The above fact was also confirmed by the absorption rate constant (5.054±0.238 1/h) and Tmax(0.612±0.002 h) obtained in our previous work on pharmacokinetic study [2]. The oral formulation of the anticancer drug paclitaxel has low oral bioavailability due to gut extrusion by p-glycoprotein [30] whereas PC has better absorption from GIT to blood and it was confirmed from the distribution pattern. Another oral anticancer drug sunitinib has T1/2 at approximately 40 to 60 h, indicating tissue accumulation followed by tissue toxicity [31] whereas PC has T1/2 and MRT ranges from 0.74±0.09 h to 2.71±0.17 h and from 0.51±0.07 h to 3.35±0.22 h respectively in different tissues, indicating no chance of tissue toxicity due to accumulation.
Table 3: Matrix effect and recovery
| Tissue matrix | Nominal concentration (ng/ml) | Matrix effect (%) (mean±SD) | Recovery (%) (mean±SD) |
| Stomach | 10 | 4.25±0.23 | 93.12±1.19 |
| 30 | 6.22±0.14 | 95.52±0.50 | |
| 500 | 3.75±0.58 | 97.20±0.79 | |
| 4000 | 5.89±1.26 | 95.17±0.44 | |
| Small Intestine | 10 | 5.81±0.69 | 94.54±0.62 |
| 30 | 5.07±0.46 | 96.66±0.23 | |
| 500 | 5.82±0.57 | 96.08±0.59 | |
| 4000 | 4.15±2.10 | 97.26±0.47 | |
| Liver | 10 | 5.09±0.47 | 94.12±0.58 |
| 30 | 3.89±0.52 | 95.62±1.16 | |
| 500 | 5.33±0.80 | 96.45±0.73 | |
| 4000 | 5.19±0.12 | 94.39±0.19 | |
| Lungs | 10 | 7.32±1.29 | 94.60±0.82 |
| 30 | 5.66±0.71 | 95.13±0.46 | |
| 500 | 6.57±0.58 | 97.71±0.50 | |
| 4000 | 5.38±0.79 | 96.76±0.12 | |
| Heart | 10 | 7.55±0.36 | 94.08±0.33 |
| 30 | 5.09±1.01 | 96.32±0.58 | |
| 500 | 5.26±0.44 | 97.10±0.67 | |
| 4000 | 6.45±0.52 | 95.63±0.22 | |
| Spleen | 10 | 5.82±0.26 | 95.88±0.49 |
| 30 | 6.21±0.23 | 93.46±0.45 | |
| 500 | 6.90±0.96 | 97.55±0.56 | |
| 4000 | 5.07±0.28 | 96.79±0.29 | |
| Brain | 10 | 5.15±0.50 | 93.53±1.56 |
| 30 | 6.28±0.62 | 97.78±0.89 | |
| 500 | 5.55±0.89 | 93.61±0.74 | |
| 4000 | 6.03±0.41 | 94.83±0.98 | |
| Kidney | 10 | 5.05±0.65 | 95.40±0.25 |
| 30 | 7.22±0.99 | 96.33±0.70 | |
| 500 | 5.42±0.56 | 94.41±0.84 | |
| 4000 | 6.04±0.40 | 97.20±0.56 | |
| Thymus | 10 | 5.87±0.55 | 94.86±0.96 |
| 30 | 7.25±0.63 | 94.11±0.75 | |
| 500 | 5.50±0.85 | 95.18±0.60 | |
| 4000 | 5.92±0.27 | 96.84±1.85 |
*Data expressed as mean±SD; n=6

Fig. 3: Representative lC-MS chromatogram obtained from distribution study. Tissue samples collected after 1 h of oral administration of PC (125 mg/kg bodyweight) to sprague-dawley rats: A) Stomach B) Small intestine C) liver D) lungs E) Heart F) Spleen G) Brain H) Kidneys I) Thymus
Table 4: Tissue matrix stability study of PC:
| Tissue matrix | Nominal concentration (ng/ml) |
Stability test condition | |||||||
| Bench-top matrix stability | (at RT for 6 h) | Autosampler stability | (at 10 °C for 12 h) | Freeze-thaw stability | (at-20 °C and RT, 12 h cycle) | Long-term matrix stability | (at-20 °C for 20 days) | ||
Observed concentration (ng/ml) (mean±SD) |
Accuracy (RE %) | observed concentration (ng/ml) (mean±SD) |
Accuracy (RE %) | observed concentration (ng/ml) (mean±SD) |
Accuracy (RE %) | observed concentration (ng/ml) (mean±SD) |
Accuracy (RE %) | ||
| Stomach | 10 | 10.55±0.16 | 5.50 | 9.53±0.56 | -4.70 | 10.25±0.36 | 2.50 | 10.13±0.24 | 1.30 |
| 30 | 30.26±2.09 | 0.87 | 30.89±2.44 | 2.97 | 29.41±2.20 | -1.97 | 31.04±1.36 | 3.47 | |
| 500 | 505.22±10.63 | 1.04 | 495.68±11.86 | -0.86 | 506.91±9.63 | 1.38 | 502.88±8.54 | 0.58 | |
| 4000 | 3959.54±76.05 | -1.01 | 3955.96±85.15 | -1.10 | 4098.26±50.65 | 2.46 | 3960.21±56.09 | -0.99 | |
| Small Intestine | 10 | 10.12±0.45 | 1.20 | 9.89±0.32 | -1.10 | 10.51±0.55 | 5.10 | 10.23±0.29 | 2.30 |
| 30 | 30.85±2.41 | 2.83 | 31.04±2.56 | 3.47 | 29.33±2.05 | -2.23 | 31.54±2.16 | 5.13 | |
| 500 | 490.12±9.64 | -1.98 | 502.88±7.54 | 0.58 | 504.90±8.21 | 0.98 | 496.25±7.70 | -0.75 | |
| 4000 | 3972.61±51.87 | -0.68 | 3960.21±60.12 | -0.99 | 4050.91±25.78 | 1.27 | 4019.21±40.28 | 0.48 | |
| Liver | 10 | 9.65±0.25 | -3.50 | 9.87±0.54 | -1.30 | 9.74±0.65 | -2.60 | 9.81±0.43 | -1.90 |
| 30 | 32.82±2.14 | 9.40 | 32.59±2.03 | 8.63 | 29.35±2.01 | -2.17 | 29.52±2.96 | -1.60 | |
| 500 | 490.48±10.63 | -1.90 | 488.74±8.16 | -2.25 | 504.23±9.64 | 0.85 | 492.71±8.03 | -1.46 | |
| 4000 | 3972.21±59.28 | -0.69 | 3989.41±50.40 | -0.26 | 3967.93±65.66 | -0.80 | 3986.25±70.57 | -0.34 | |
| Lung | 10 | 10.66±0.42 | 6.60 | 9.71±0.53 | -2.90 | 9.69±0.83 | -3.10 | 9.45±0.46 | -5.50 |
| 30 | 29.64±3.18 | -1.20 | 29.84±2.23 | -0.53 | 31.92±2.96 | 6.40 | 28.95±3.09 | -3.50 | |
| 500 | 485.20±9.19 | -2.96 | 490.86±9.53 | -1.83 | 510.59±8.13 | 2.12 | 483.73±7.83 | -3.25 | |
| 4000 | 3981.20±70.57 | -0.47 | 3972.28±76.46 | -0.69 | 3946.14±23.87 | -1.35 | 3930.25±80.21 | -1.74 | |
| Heart | 10 | 10.71±0.66 | 7.10 | 9.30±0.69 | -7.00 | 10.26±0.86 | 2.60 | 9.43±0.63 | -5.70 |
| 30 | 29.09±3.15 | -3.03 | 29.84±2.51 | -0.53 | 32.10±2.47 | 7.00 | 28.80±2.55 | -4.00 | |
| 500 | 490.59±10.44 | -1.88 | 490.86±10.02 | -1.83 | 505.09±10.50 | 1.02 | 490.55±10.03 | -1.89 | |
| 4000 | 4101.52±80.16 | 2.54 | 3972.28±72.11 | -0.69 | 4150.28±50.14 | 3.76 | 3946.28±50.50 | -1.34 | |
| Spleen | 10 | 10.58±0.54 | 5.80 | 10.77±0.50 | 7.70 | 9.85±0.46 | -1.50 | 9.40±0.76 | -6.00 |
| 30 | 32.26±2.15 | 7.53 | 31.41±2.98 | 4.70 | 32.70±2.63 | 9.00 | 29.82±2.42 | -0.60 | |
| 500 | 510.52±12.40 | 2.10 | 507.50±9.15 | 1.50 | 491.60±10.45 | -1.68 | 492.14±12.44 | -1.57 | |
| 4000 | 4165.90±55.41 | 4.15 | 4180.28±55.75 | 4.51 | 4110.48±62.10 | 2.76 | 3801.28±55.93 | -4.97 | |
| Brain | 10 | 10.10±0.45 | 1.00 | 9.40±0.44 | -6.00 | 10.51±0.47 | 5.10 | 9.51±0.73 | -4.90 |
| 30 | 32.82±2.55 | 9.40 | 29.16±3.28 | -2.80 | 32.86±1.55 | 9.53 | 28.10±2.46 | -6.33 | |
| 500 | 512.64±12.75 | 2.53 | 480.47±12.18 | -3.91 | 512.12±14.50 | 2.42 | 470.64±14.14 | -5.87 | |
| 4000 | 4170.90±55.41 | 4.27 | 3940.50±58.66 | -1.49 | 4175.23±56.87 | 4.38 | 3840.45±72.50 | -3.99 | |
| Kidney | 10 | 10.22±0.32 | 2.20 | 9.66±0.19 | -3.40 | 10.11±0.78 | 1.10 | 9.30±0.53 | -7.00 |
| 30 | 31.48±3.08 | 4.93 | 32.08±2.92 | 6.93 | 32.26±2.15 | 7.53 | 28.26±2.77 | -5.80 | |
| 500 | 492.11±12.44 | -1.58 | 505.69±14.52 | 1.14 | 510.13±14.10 | 2.03 | 475.52±15.78 | -4.90 | |
| 4000 | 4059.66±41.58 | 1.49 | 4165.57±60.77 | 4.14 | 4196.20±58.27 | 4.91 | 3890.95±68.82 | -2.73 | |
| Thymus | 10 | 10.82±0.25 | 8.20 | 9.28±0.75 | -7.20 | 9.65±0.18 | -3.50 | 9.52±0.27 | -4.80 |
| 30 | 33.10±1.65 | 10.33 | 32.65±2.72 | 8.83 | 32.48±2.81 | 8.27 | 28.74±2.11 | -4.20 | |
| 500 | 511.58±15.88 | 2.32 | 493.69±15.10 | -1.26 | 504.12±12.30 | 0.82 | 481.95±12.24 | -3.61 | |
| 4000 | 4170.54±71.82 | 4.26 | 3985.57±61.13 | -0.36 | 4145.26±68.46 | 3.63 | 3917.47±56.25 | -2.06 | |
*Data expressed as mean±SD; n=6
Table 5: The concentrations of PC in various tissuesat different time points after single-oral administration in sprague-dawley rats
| Time (h) | Concentration in tissue matrix (µg/g) (mean±SD) | ||||||||
| Stomach | Small Intestine | Liver | Lungs | Heart | Spleen | Brain | Kidneys | Thymus | |
| 0.25 | 35.85±4.15 | 12.36±3.69 | 3.56±1.07 | 2.58±1.52 | 4.32±1.33 | 0.31±0.11 | — | 0.52±0.21 | — |
| 0.5 | 16.52±3.39 | 31.52±5.50 | 8.17±2.41 | 9.22±2.60 | 6.04±2.33 | 0.95±0.43 | — | 4.16±2.22 | 0.71±0.45 |
| 1 | 5.68±2.48 | 10.72±2.64 | 12.85±3.38 | 11.32±4.05 | 10.56±1.66 | 5.29±2.66 | — | 9.70±3.15 | 1.25±1.02 |
| 2 | 0.28±0.12 | 2.81±1.02 | 4.88±1.27 | 13.55±4.85 | 9.84±2.27 | 8.40±2.09 | — | 12.78±2.05 | 2.50±1.11 |
| 4 | — | 0.61±0.20 | 3.64±1.58 | 4.44±1.26 | 2.55±1.32 | 0.72±0.55 | — | 8.55±2.87 | 0.52±0.33 |
| 8 | — | — | 1.10±0.52 | 2.29±1.58 | — | 0.21±0.16 | — | 1.18±0.77 | 0.12±0.08 |
*Data expressed as mean±SD; n=4, ‘—’indicates not detected

Fig. 4: Concentrations of PC in different tissues at different time points, Data expressed in mean±SD, n=4
Table 6: Pharmacokinetic parameter of PC in various tissues
| Parameter | Tissue/Organ | ||||||||
| Stomach | Small intestine | Liver | Lungs | Heart | Spleen | Brain | Kidneys | Thymus | |
| Cmax (µg/g) | 37.20±2.18 | 31.52±3.41 | 12.85±1.18 | 13.55±2.16 | 10.56±1.14 | 8.40±1.85 | — | 12.78±2.46 | 2.50±0.78 |
| Tmax (h) | 0.25±0.08 | 0.5±0.06 | 1.11±0.12 | 2.17±0.15 | 1.26±0.10 | 2.01±0.08 | — | 2.33±0.11 | 2.11±0.07 |
| T1/2 (h) | — | 0.74±0.09 | 2.71±0.17 | 2.49±0.15 | 1.37±0.19 | 1.12±0.12 | — | 1.68±0.06 | 1.42±0.10 |
| AUC 0-t (µg/g*h) | 19.55±2.50 | 27.77±3.21 | 34.03±4.40 | 50.81±5.41 | 28.57±3.78 | 19.58±2.85 | — | 56.14±4.63 | 6.84±1.52 |
| AUC 0-inf (µg/g*h) | 19.65±2.83 | 28.43±3.87 | 38.33±4.78 | 59.06±6.85 | 33.65±3.74 | 19.94±3.44 | — | 59.01±5.55 | 7.08±2.16 |
| MRT (h) | 0.51±0.07 | 1.01±0.11 | 3.61±0.20 | 4.01±0.25 | 2.36±0.15 | 2.25±0.14 | — | 3.35±0.22 | 2.71±0.16 |
*Data expressed as mean±SD; n=4, ‘—’indicates not available
Simple, cost-effective, and sensitive lC-MS methods for estimation of PC in different tissue matrices such as the stomach, small intestine, liver, lung, spleen, brain, kidney, and thymus were developed and validated. An efficient method for precipitation of protein from the matrices gave maximum recovery and minimum matrix effects on PC. As PC is absorbed fast from GIT to blood and subsequently reaches all the tissues except brain, a fast onset of action will be seen, and it can be concluded that PC is a probable potential anticancer agent with no or minimal adverse effects on CNS.
The appreciable perfusion of PC in the different tissues implies that the investigational drug may be a good anticancer agent on different cancers of those tissues whose corresponding cancer cell-lines will show significant selective cytotoxicity in the in vitro studies. Evidently, for this investigational drug PC, the results of the in vitro cytotoxicity studies will be in consonance with the in vivo anticancer activities on the cancers of all the corresponding tissues excepting those studies on brain.
The authors express their gratitude to the ‘Institutional Animals Ethics Committee’ (IAEC) and the ‘Committee for the Purpose of Control and Supervision of Experiments on Animals’ (CPCSEA) members for their valuable recommendations.
Nil
Study conception and design were prepared by Subrata Sen and Nilufa Yeasmin, Ph D scholar of Biju Patnaik University of Technology, Rourkela, Odisha-769015. Data collection, analysis and their interpretation were made by all three authors. Draft manuscript was prepared by Nilufa Yeasmin. Final manuscript was reviewed by all authors and approved for submission.
The authors declare that there are no conflicts of interest.
ReferencesSaha A, Sarker K, Ghosh A, Mishra S, Sen S. Rational design, synthesis, and in vitro evaluation of n-(4-Ethoxyphenylsulfonyl)-l-glutamic acid analogues as antiangiogenic and anticancer agents on multiple myeloma. Indian Drugs. 2021;57(12):26-35. doi: 10.53879/id.57.12.12807.
Yeasmin N, Mishra S, Sarker K, Sen S. Bioanalytical method development and validation of 2-(4-ethoxyphenyl sulphonamido) pentane-diamide, a novel antitumor and antiangiogenic agent, in rat serum and application of the method in determination of pharmacokinetic parameters. Int J App Pharm. 2024 Jan;16(1):194-201. doi: 10.22159/ijap.2024v16i1.49426.
Nandi U, Dan S, Pal TK. Development and validation of a liquid chromatography–mass spectrometry method for simultaneous determination of metoprolol and telmisartan in rat plasma and its application to pharmacokinetic study. J Pharm Investig. 2015;45(3):329-40. doi: 10.1007/s40005-015-0180-5.
De S, Dey S, Shah S. Simultaneous determination of atorvastatin and atenolol in rabbit plasma by RP-HPLC method and its application in pharmacokinetic study. Int J Curr Pharm Res. 2022;14(2):72-8. doi: 10.22159/ijcpr.2022v14i2.1986.
Sunder BS, Mittal AK. Bio-analytical method development and validation for simultaneous determination of ledipasvir and sofosbuvir drugs in human plasma by RP-HPLC method. Int J Curr Pharm Sci 2018;10(3):21-6. doi: 10.22159/ijcpr.2018v10i3.27223.
Tan A, Awaiye K. Use of internal standards in lC-MS bioanalysis, Handbook of lC-MS bioanalysis: best practices, experimental protocols, and regulations. 1st ed. John Wiley & Sons, Inc.; 2013.
Bioanalytical method validation-guidance for industry, U. S. Department of health and human services, food and drug administration, center for drug evaluation and research (CDER), center for veterinary medicine (CVM); 2018.
Crutchfield CA, Marzinke MA. Bioanalytical development and validation of liquid chromatographic-tandem mass spectrometric methods for the quantification of total and free cefazolin in human plasma and cord blood. Pract Lab Med. 2015 Mar 14;1:12-21. doi: 10.1016/j.plabm.2015.03.003, PMID 28932794.
Moein MM, Beqqali El A, Abdel Rehim M. Bioanalytical method development and validation: critical concepts and strategies. J Chromatogr B Analyt Technol Biomed Life Sci. 2017 Feb 1;1043:3-11. doi: 10.1016/j.jchromb.2016.09.028, PMID 27720355.
Fisher EN, Melnikov ES, Gegeckori V, Potoldykova NV, Enikeev DV, Pavlenko KA. Development and validation of an lC-MS/MS method for simultaneous determination of short peptide-based drugs in human blood plasma. Molecules. 2022 Nov 14;27(22):7831. doi: 10.3390/molecules27227831, PMID 36431933.
Li R, Fan H, Gu Y, Si D, Liang W. Determination of Boc5 in rat plasma by HPLC–MS/MS and its application to a pharmacokinetic study. Chromatographia. 2012;75(13-14):721-7. doi: 10.1007/s10337-012-2248-y.
Leng G, Zuo Y, Hu J, Yu F, Liu W. Liquid chromatography tandem mass spectrometry method for determination of fulvestrant in rat plasma and its application to pharmacokinetic studies of a novel fulvestrant microcrystal. Biomed Chromatogr. 2020 Oct;34(10):e4912. doi: 10.1002/bmc.4912, PMID 32496589.
Zhang Yang Xm, Xl, Chen Yc. lC Method for determination of ginkgolic acids in mice plasma and its application to a pharmacokinetic study. Chroma. 2009;69:593-6. doi: 10.1365/s10337-008-0903-0.
Das D, Halder D, Bose A, Shaw TK, Saha C, Kumar De P. Determination of metformin and sitagliptin in healthy human volunteers’ blood plasma and its bioequivalence study under fasting condition. Int J App Pharm. 2022;14(6):42-50. doi: 10.22159/ijap.2022v14i6.45140.
Gurav P, Damle M. Bioanalytical method for estimation of teriflunomide in human plasma. Int J Pharm Pharm Sci. 2022;14(9):19-23. doi: 10.22159/ijpps.2022v14i9.45151.
Alumuri T, Merugu K, Amarababu NL, Kurnool A. Peramivir and related impurities in rat plasma and its applications in pharmacokinetic studies (Bioanalytical method development and validation by lC-MS/MS). Int J App Pharm. 2022;14(5):53-61. doi: 10.22159/ijap.2022v14i5.45457.
Inturi R, Raju MD, Basaveswara Rao MV, Inturi S. Pharmacokinetic investigation of remogliflozin in rat plasma samples by high-throughput HPLC-MS-MS. Int J App Pharm. 2022;14(6):178-85. doi: 10.22159/ijap.2022v14i6.45700.
Putriana NA, Rusdiana T, Rostinawati T, Akbar MR, Nurfuadah I. Validation of warfarin analysis method in human blood plasma using high-performance liquid chromatography with fluorescence detection. Int J App Pharm. 2022;14(5):132-8. doi: 10.22159/ijap.2022.v14s5.27.
Agbokponto JE, Yemoa LA, Assanhou AG, Liu R, Ganfon H, Ding L. Liquid chromatography tandem mass spectrometry determination method of bencycloquidium bromide: application to drug interaction study in human. Int J Pharm Pharm Sci. 2021;13(10):43-6. doi: 10.22159/ijpps.2021v13i10.5791.
Elham G, Sima S, Javad S, Shahram S. Analytical method validation, pharmacokinetics and bioequivalence study of dimethyl fumarate in healthy Iranian volunteers. Int J Pharm Pharm Sci. 2021;13(9):6-10. doi: 10.22159/ijpps.2021v13i9.42328.
Nimmakayala MR, Kolli D, Durga Bhavani PN. Bioanalytical method development and validation of maralixibat in rat plasma by lC-MS/MS detection and its application to a pharmacokinetic study. Int J App Pharm. 2023;15(4):166-72. doi: 10.22159/ijap.2023v15i4.47768.
da Costa JC, Motta EV, Barreto F, de Araujo BV, Derendorf H, Bastos JK. Development and validation of a sensitive UFLC−MS/MS method for quantification of quercitrin in plasma: application to a tissue distribution study. ACS Omega. 2019;4(2):3527-33. doi: 10.1021/acsomega.8b03154.
Wang L, Li X, Mi L, Shen X, Feng T, Liu X. Study on pharmacokinetics, tissue distribution, and excretion of phloretin and its prodrug 2′,4′,6′,4-Tetra-O-acetylphloretin in rats using LC–MS/MS. Acta Chromatogr. 2017;31(1):63-70. doi: 10.1556/1326.2017.00363.
Xu S, Yu J, Zhan J, Yang L, Guo L, Xu Y. Pharmacokinetics, tissue distribution, and metabolism study of icariin in rat. BioMed Res Int. 2017;4684962. doi: 10.1155/2017/4684962, PMID 29259982.
Chen Y, Yan Q, Zhong M, Zhao Q, liu J, Di D. Study on pharmacokinetics and tissue distribution of the isocorydine derivative (AICD) in rats by HPLC-DAD method. Acta Pharm Sin B. 2015;5(3):238-45. doi: 10.1016/j.apsb.2015.03.012, PMID 26579452.
G KK, Thaggikuppe Krishnamurthy P, Ammu VV RK, Vishwanath K, Narenderan ST, Babu B. Development and validation of a sensitive lC-MS/MS method for pioglitazone: application towards pharmacokinetic and tissue distribution study in rats. RSC Adv. 2021;11(19):11437-43. doi: 10.1039/d1ra01126j, PMID 35423625.
Ekpenyong O, Gao X, Ma J, Cooper C, Nguyen L, Olaleye OA. Pre-clinical pharmacokinetics, tissue distribution and physicochemical studies of CLBQ14, a novel methionine aminopeptidase inhibitor for the treatment of infectious diseases. Drug Des Dev Ther. 2020;14:1263-77. doi: 10.2147/DDDT.S238148.
Hu X, Ding L, Cao S, Cheng L, Wang K, Guang C. Pharmacokinetics, tissue distribution and excretion of paeonol and its major metabolites in rats provide a further insight into paeonol effectiveness. Front Pharmacol. 2020;11:190. doi: 10.3389/fphar.2020.00190, PMID 32180731.
Zhang Y, Huo M, Zhou J, Xie S. PKSolver: an add-in program for pharmacokinetic and pharmacodynamic data analysis in microsoft excel. Comput Methods Programs Biomed. 2010 Sep;99(3):306-14. doi: 10.1016/j.cmpb.2010.01.007, PMID 20176408.
Dai MS, Chao TC, Chiu CF, Lu YS, Shiah HS, Jackson CGCA, Hung N, Zhi J, Cutler DL, Kwan R, Kramer D, Chan WK, Qin A, Tseng KC, Hung CT, Chao TY. Oral paclitaxel and encequidar in patients with breast cancer: a pharmacokinetic, safety, and antitumor activity study. Ther Adv Med Oncol. 2023 Jul 21;15:17588359231183680. doi: 10.1177/17588359231183680.
https://go.drugbank.com/drugs/DB01268 [Last acceseed on 18 Jun 2024].