
1JSS College of Pharmacy, JSS Academy of Higher Education and Research, Ooty, Tamil Nadu, India. 2Department of Pharmacy Practice, JSS College of Pharmacy, JSS Academy of Higher Education and Research, Ooty, Tamil Nadu, India. 3Scitus Pharma Services Pvt. Ltd., DRR Avenue, 2nd Cross St, Audco Nagar, Kattupakkam, Chennai, India. *Department of Pharmaceutics, JSS College of Pharmacy, JSS Academy of Higher Education and Research, Ooty,, Tamilnadu, India
*Corresponding author: Gnk Ganesh; *Email: gnk@jssuni.edu.in
Received: 18 Apr 2024, Revised and Accepted: 04 Jul 2024
ABSTRACT
Objective: Digoxin, a cardiac glycoside with extensive clinical usage, poses challenges due to its narrow therapeutic index and wide interindividual variability. Population pharmacokinetic studies in healthy individuals are scarce despite their importance in understanding drug kinetics. This study aimed to characterize the population pharmacokinetics of oral digoxin in healthy volunteers.
Methods: An open-label, single-dose pharmacokinetic study was conducted in 72 healthy Indian adults using digoxin tablets. Plasma samples were collected at various time points, and digoxin concentrations were quantified using Liquid Chromatography-Mass Spectrometry (LC-MS). Population pharmacokinetic analysis was performed using PUMAS® software, incorporating covariates such as creatinine clearance.
Results: The two-compartment model best described the data, with a population estimate of clearance (CL/F) of 12.08 l/h in the base model and 8.3 l/h in the final model. Creatinine clearance significantly influenced digoxin clearance. Goodness-of-fit plots indicated model appropriateness, and Monte Carlo simulation validated model performance.
Conclusion: This study presents a novel population pharmacokinetic model for oral digoxin in healthy individuals. The model accurately predicts digoxin pharmacokinetics and can guide dosage regimen optimization for better therapeutic outcomes. Further research should explore drug interactions and validate the model in diverse populations.
Keywords: Digoxin, Population pharmacokinetics, Healthy volunteers, Two-compartment model, Liquid chromatography-mass spectrometry, PUMAS®, Dosage optimization
© 2024 The Authors. Published by Innovare Academic Sciences Pvt Ltd. This is an open access article under the CC BY license (https://creativecommons.org/licenses/by/4.0/)
DOI: https://dx.doi.org/10.22159/ijap.2024v16i5.51291 Journal homepage: https://innovareacademics.in/journals/index.php/ijap
Digoxin, a cardiac glycoside discovered in 1785 and formerly approved in the 1990s, has an extensive usage history for cardiac failure, atrial fibrillation, and supraventricular tachyarrhythmias [1]. In recent decades, several new treatment modalities have emerged for these cardiac conditions; even then, digoxin is still widely used clinically [2]. Its parasympathomimetic action helps control ventricular rate in atrial fibrillation. The sequential mechanism involves inhibition of sodium-potassium ATPase pump, reduction in transmembrane sodium gradient, inhibition of sodium-calcium exchanger, accumulation of myocyte calcium, and thus increase in contractile ability, exerting positive inotropic effects [3].
Digoxin often falls in the vigilant eyes of clinical practitioners, researchers, and regulators for its notorious toxicities, including cardiovascular, gastrointestinal, and other serious effects [4]. It possesses a narrow therapeutic index and wider interindividual variability, requiring optimal use through therapeutic drug monitoring as guided by an appropriate pharmacokinetic analysis method. Precision medicine seems vital as the drug behaves differently with various patient‐specific factors, including genetic type, body weight, kidney function, clearance, or age [5]. It also poses multiple interaction threats with several other drugs and food substances. Even genotypic variations affect the digoxin kinetics; for the first time, Du P et al. identified that drug elimination is affected by single nucleotide polymorphisms (rs3114660 and rs3114661) in SLCO4C1 [6]. With only one large randomized controlled trial by the Digitalis Investigation Group (DIG) available, there is an uncertainty of high-quality clinical evidence on the justification of digoxin use in several cardiac conditions. The ENGAGE AF-TIMI 48 trial has observed a significant association between digoxin and sudden cardiac death in patients with atrial fibrillation [7]. A 2019 meta-analysis has concluded that digoxin use is linked to progressive disease and inferior prognosis. The results on digoxin-associated mortality have contradicted the neutral effect as showcased by the DIG trial [8].
Usually, for most conditions, 8-12µg/kg of body weight of digoxin is administered orally or intravenously in divided doses stretched throughout a day, keeping the onset of adverse effects into consideration. Patients with atrial fibrillation and flutter may require intensive regimens with a large dose, while digoxin loading is not advised for patients with heart failure. The genuine concern is the use of this critical drug in patients with renal impairment having a creatinine clearance of less than 20 ml/min, which requires a smaller loading dose. Digoxin bioavailability varies with dosage forms and administration routes [3]. The bioavailability of elixir and tablet dosage forms is 70–80%, while encapsulated solution (unmanufactured) and intravenous forms are ~100%. Its plasma binding is ~30% with about 7 l/kg distribution volume, following a two-compartment kinetic model [9]. Digoxin’s therapeutic range is said to be lowered and narrowed to 0.5–0.8 ng/ml after the DIG trial. Komatsu et al. determined the population pharmacokinetics of digoxin in the presence of concomitant medications used in clinical practice [10]. Similarly, a few more studies have explored the population pharmacokinetic approach to understanding digoxin kinetics, but all are on patients [11-15].
As of February 5, 2022, there are 233 clinical studies on digoxin listed in ClinicalTrials. gov. Of them, 91 trials study drug interactions of digoxin in different clinical settings, and studies focus primarily on the pharmacokinetic characteristics of digoxin in specific patient groups. Notably, no population pharmacokinetic studies on this drug are registered [16]. Only two systematic reviews have been published on digoxin population pharmacokinetics. Interestingly, both were from the same Jordan-based research group, and the included studies were in the patient population [17, 18]. The first review involved eight nonlinear mixed effect modeling (NLME) studies on digoxin in the paediatric population [17]. The other review included 16 adult studies, with over 65% from East Asia [18]. To the best of our knowledge, no population pharmacokinetic studies of digoxin have been explored on healthy subjects.
Population pharmacokinetics in healthy subjects helps understand the kinetic parameters of drugs in controlled settings with minimal variabilities. Simulations used in these population analysis models render vital characteristic information for optimal drug use by recognizing the inherent limitations and identifying covariates that may affect subject variabilities [19]. Hence, the present work aimed to characterize the population pharmacokinetics of oral (tablet formulation) digoxinin venous plasma samples of healthy volunteers using a two-compartment model.
Study design
This study is an open-label, single-period, single-treatment, parallel, single-dose oral pharmacokinetic study in human volunteers under fasting conditions to determine the pharmacokinetic parameters of digoxin tablets 0.25 mg.
We enrolled 72 healthy, non-smoking, adult Indian subjects after the thorough pre-study screening. Subjects who did not show abnormal clinical, biochemical, hematological, serological, urinary, cardiovascular (electrocardiography), urinary drug substance, alcohol breath analysis, and radiological examinations were included. Individuals with clinically significant disease conditions that required medical therapy in the last two months before study enrolment, subjects with infections requiring treatment in the last month before the study started, those who underwent gastrointestinal surgery that might hinder drug kinetics, those who were positive for HIV or viral hepatitis, and pregnant or breastfeeding female subjects were excluded. Enrolled female subjects were required to use contraceptives for a month before first dosing until study completion.
Subjects received the interventional drug after overnight fasting of a minimum of 10 h. Peripheral pre-dose venous plasma samples were collected, followed by post-dose sampling for every 15 min until 1.5 h, and then at regular time intervals of 2, 3, 4, 6, 8, 12, 24, 48, 72, 96, 120, and 144 h.
Two aliquots of plasma samples collected in anticoagulant vacutainers were transferred into polypropylene tubes post centrifugation (4000 rpm, 10 min, 4±2 ºC) and stored frozen (-70±15 °C).
Ethical considerations
The Independent Ethics Committee of Subham Ethics Committee (Chennai, Tamil Nadu, India) reviewed and approved the study protocol and informed consent form on May 13, 2021, approval number (IEC/10/2021). Voluntary written informed consent was obtained from all participants after orally briefing the procedures and risks involved in the study. The study was performed in line with the World Medical Association Declaration of Helsinki (adopted June 1964; updated July 2018) [20], International Conference on Harmonization guidelines on Good Clinical Practice (adopted April 1995; updated November 2016) [21], Indian Good Clinical Practice (updated February 2017), and institutional research ethics and integrity recommendations.
Digoxin quantification
Instrumentation
Digoxin in plasma samples were quantified using a sensitive LC-MS assay using ACQUITY H-Class system (Waters) consisting of a binary pump, degasser, and auto-sampler configured to mass spectrometer (triple quadrupole, Xevo TQS-Micro model, Waters). Chromatograms were acquired using Mass Lynx software (version 4.2). Positive electrospray ionization with multiple reaction monitoring acquisition mode was used with the following mass spectrometer parameters: source temperature, 150 °C; capillary voltage, 3.0 kV; desolvation temperature, 500 °C; cone gas flow, 50 l/h; and desolvation gas flow, 1100 l/h.
Chemicals and reagents
Digoxin and digoxin D3 were purchased from Clearsynth Labs Ltd, India. Other chemicals included Acetonitrile (LCMS grade, Honeywell), Ammonium acetate (Emparta grade, Merck), Methanol (LC-MS grade, Biosolve), HPLC water (Rankem), Dichloromethane (HPLC Grade, Honeywell) and Diethyl ether (HPLC Grade, Honeywell). Human Plasma with K2 EDTA anticoagulant was procured from Symbiosis Laboratories and Research Centre, Ahmedabad, India.
Sample preparation
50µl* of the internal standard working solution was added to 400 µl** of plasma sample vortex briefly. 2.5 ml of diethyl ether dichloromethane (90:10, v/v) was added and vortexed for 5 min and centrifuged at 4000 rpm for 5 min. The supernatant was collected into RIA vial and evaporated to dryness at 40 °C under nitrogen evaporator. The dried residue samples were reconstituted with 200 µl** of reconstitution solution, and 5 µl** sample was injected to the system.
Chromatographic conditions
Analytical column (Ascentis Express C18, 5 cm x 4.6 mm, 2.7 µm) was used for the chromatographic separation of an analyte, its metabolite, and respective internal standards by isocratic elution using acetonitrile and 10 mmol ammonium acetate (60:40, v/v) as the mobile phase with flow rate of 0.200 ml/min with 5 µl** injection volume column.
Stock solution, calibration standards, and quality control standards
Weighed amounts (equivalent to 50 µg/ml) of digoxin and digoxin D3 stock solution were diluted and made up to volume with methanol in a volumetric flask. The working standard and internal standard working solutions were prepared in 50% methanol. These stock solutions and working solutions were stored in refrigerated conditions.
Separate master stock solutions were used to prepare calibration standards and quality control standards. 200 µl** of working solutions containing digoxin were spiked to 9.8 ml of blank plasma to prepare calibration standards containing concentrations of 80.0, 159.7, 301.3, 602.6, 1205.3, 2410.6, 3614.1, 4818.9, and 6023.6 pg/ml. Quality control samples had concentrations of 80.5, 1948.5, 2322.9, and 4330.0 pg/ml. Spiked calibration and quality control standards were stored at-70 °C storage conditions.
The unknown concentration of digoxin was computed using linear regression with 1/x2 as weighting factor:
Y=bX+a
Where, X = concentration, m = slope of the calibration curve, Y = peak area ratio, a = intercept of the calibration curve. The best fit for the calibration lines of chromatographic response versus concentration was determined by least square regression analysis with a weighting factor of 1/x2 as the coefficient of determination (r2) was greater than 0.99 as detailed by Sonawane et al. [22].
Population pharmacokinetic modelling
The population pharmacokinetic analysis was carried out from the collected plasma concentration-time data. The PUMAS® software (v.1.40.1) was used to perform the NLME and first-order conditional estimate with interaction (FOCEI) method. The data file was built with digoxin plasma concentration as a dependent variable with the dose, sampling time, patient demographics, and other covariates like body weight, serum creatinine, and creatinine clearance. Initially, a base model was constructed, and the covariates were incorporated stepwise to develop the covariate model. Fitting the data into one and two-compartment models was examined, and the structural base model was parameterized with apparent clearance, apparent volume of distribution of the central compartment, peripheral compartment, and intercompartmental clearance. An exponential model, i. e., Pi = PTV × eηp, where Pi is the parameter estimate for the ith individual, and PTV is the typical value for the parameter at the population level, was used to explain the interindividual variability for these pharmacokinetic parameters. The variability between the population parameter values and the individual parameters for the ith individual was described by ηp, which was assumed to be normally distributed with a mean of 0 and a variance of ω. Additionally, a proportional error model was included to account for the intra-individual variability, system noise, experimental error, and/or model misspecifications. ε was used to describe the residual unknown variability representing normally distributed error with mean zero and variance σ.
The covariate analysis was performed by employing the forward addition and backward deletion procedures to arrive at the final model. Age, body weight, gender, serum creatinine, and creatinine clearance were included as covariates. A minimum drop in the objective function by 3.84 was accepted in the forward addition as statistically significant with the p-value of<0.05. Also, a stringent significance level of p<0.001 was applied to backward deletion to account for a drop of 10.82 in the objective function.
Furthermore, model selection was guided by different goodness-of-fit statistics (e. g. objective function value (minus twice the log-likelihood). Plots showing population predictions vs weighted residuals (WRES) and individual predictions vs individual weighted residuals (IWRES)were routinely investigated with consideration of parameter estimate eta (η) shrinkage and epsilon (Ɛ) shrinkage (i. e., = 1-sd [individual weighted residuals]) using appropriate coding in the proportional residual model. To accept a model, the data points were required to be randomly distributed around the line of identity for plots showing predictions versus observations or randomly distributed around zero for residual plots. Another criterion was the precision of parameter estimates as reported by the relative standard error obtained from PUMAS®. A relative standard error of a parameter higher than 50% indicates that the parameters might be redundant. Further selection criteria were the absence of a correlation>0.95 between model parameters, numerical stability of the model, and the plausibility of the parameter estimates.
Apart from the objective function value (equal to-2 log-likelihood) comparison, the covariate influence on inter-individual variability and goodness of fit were also compared and examined between base model and final model.
Monte carlo simulation
The final population pharmacokinetic model was evaluated by simulating 1000 virtual individuals with the PUMAS®. In accordance with the final model, the impact of creatinine clearance on the TVCL and body weight on the volume of distribution was illustrated by utilizing a range of creatinine clearance and body weight values of 30 to 120 ml/min and 40 to 100 kg, respectively.
Guidelines followed
Study drug administration, vitals monitoring, blood sampling, and safety monitoring were performed as detailed in the United States Food Drug Administration (USFDA) guidance for bioequivalence studies with pharmacokinetic endpoints (adopted August 2021) [23]. Calibrator preparation, quality control determination, sample preparation, validation, detection and estimation of lower limit of quantification (LLOQ), precision, accuracy, specificity, matrix effects, and extraction efficiency were determined as suggested in the USFDA bioanalytical method validation guidance (adopted 2018) [24]. We considered the USFDA population pharmacokinetics guidance (adopted July 2019) for our present work [19]. Compliance with BRISQ 2011 checklist [25] was ensured as the study involved the collection and analysis of biospecimen, while ClinPK 2015 checklist [26] was followed for reporting the pharmacokinetic findings.
All 72 subjects (mean±SD age: 32.44 ±6.87 years) completed the clinical phase. Their mean±sd body mass index was 23.87±2.99 kg/m2 (range: 18.65 to 35.65) and mean±SD body weight was 63.54±11.78 kg/m2 (range: 38 to 91). We assessed all subjects for their well-being throughout the conduct of the study. No adverse events (AEs), serious adverse events, or deaths reported among the study population. The investigational drug was safe and well tolerated. Table 1 provides the demographic and clinical characteristics of enrolled subjects.
Table 1: Demographic and clinical characteristics of enrolled subjects
| Characteristics | Age | Weight | BMI |
| N | 72 | 72 | 72 |
| Mean | 32.44 | 63.54 | 23.87 |
| Standard Deviation | 6.87 | 11.78 | 2.99 |
| Minimum | 18 | 38 | 18.65 |
| Maximum | 44 | 91 | 35.65 |
| Median | 33 | 63.5 | 23.115 |
Bioanalysis
Bioanalytical detection and quantification of digoxin was performed for 1368 samples obtained from 72 subjects. LLOQ for digoxin was 80 pg/ml, and there were xx digoxin concentrations above the LLOQ. The curve range was 80 to 6000 pg/ml. About 118 samples were subjected to incurred sample reanalysis. There were no samples failures in the quality control stage, no re-injections observed, and no cases of chromatogram re-integration in this work. The retention times of digoxin and digoxin D3 were found to be approximately 2.20 and 2.20 min, respectively.
The mass transition ions for analyte, metabolite, and its respective internal standards are mentioned in table 2. Global precision and accuracy of quality control samples are provided in table 3. A sample chromatogram for digoxin is shown in fig. 1.
Table 2: Mass transition ions for analyte, metabolite, and its respective internal standards.
| Compound | Precursor Ion (m/z) | Product Ion (m/z) |
| Digoxin | 781.46 | 651.39 |
| Digoxin D3 | 784.48 | 654.35 |
Table 3: Global precision and accuracy of quality control samples
| Samples | LLOQC 80 (pg/ml) | LQC 245 (pg/ml) | MQC 1950 (pg/ml) | HQC 4330 (pg/ml) |
| Inter run Mean | 86.6634 | 251.2212 | 2019.7244 | 4458.3176 |
| Inter run SD | 1.95793 | 3.66647 | 61.55752 | 43.75023 |
| Inter run CV% | 2.26 | 1.46 | 3.05 | 0.98 |
| Inter run % Nominal | 108.33 | 102.54 | 103.58 | 102.96 |
| Inter run % Deviation | 8.33 | 2.54 | 3.58 | 2.96 |
Regression: Response Ratio= Slope * Concentration+Intercept, Acceptance Criteria: r2 ≥ 0.9850




Fig. 1: A sample chromatogram for digoxin
Population pharmacokinetic analysis
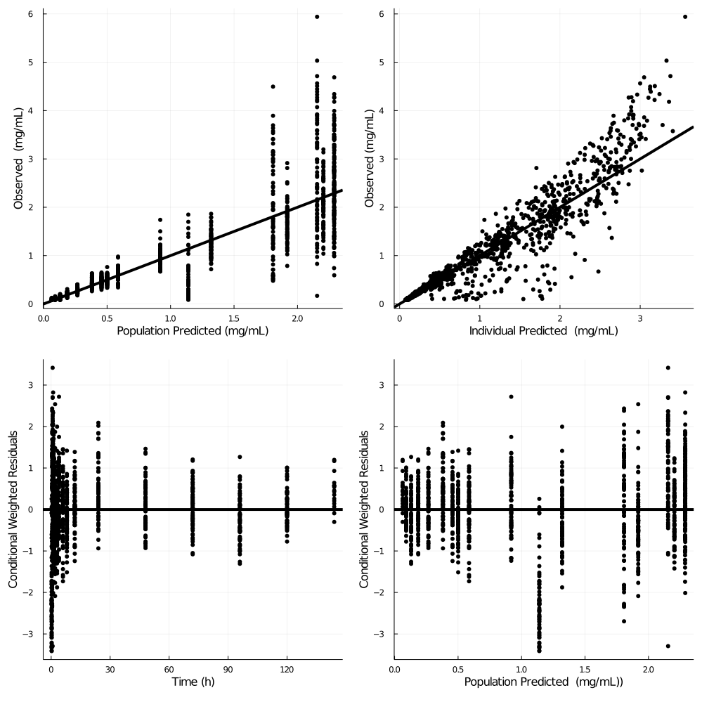
The data set showed the best fit for the two-compartment open model with first-order absorption when the FOCEI method was used to estimate. Basic goodness-of-fit plots are shown in fig. 2.
The population estimate of CL/F was calculated as 12.08 l/h with the base model. The final model was developed by the forward addition and backward deletion of the covariates as per the criteria mentioned in the methodology. A covariate is included into the model only when there was a drop in the objective function at least by 3.84 (p<0.05) while adding it into the model, and subsequently an increase in the objective function at least by 10.82 (p<0.001) while deleting it from the model to arrive the final model. The estimated parameter values of both base and final models are given in the table. Creatinine clearance was found to significantly influence the clearance of digoxin.
To get a more detailed analysis of how best the predictions matched the observations, these were plotted against each other. The goodness of fit plots of the final model revealed that the data set was converged close to the line of identity, indicating the covariates included in the base model were appropriate to describe the final model. The plots of WRES and IWRES for the final model are shown in fig. 2. These plots have shown evenly scattered plots on both sides of the zero line than observed in the base model. These plots are also useful diagnostics to understand how the structural model describes the data. All these goodness of fit plots revealed that the data set of this study population best fit the final model described with specific covariates. Apart from the diagnostic plots, the shrinkage in the eta and epsilon was low, which denotes the data is reasonably informative. The final model for various pharmacokinetic parameters is given below.
Ka = tvka*exp (ETA) [1]
CL = tvcl*(CLCR/99.56)*exp (ETA)[2]
Vc = tvvc*(WT^0.7)*wtonvc*exp (ETA) [3]
Vp = tvvp*(WT^0.7)*wtonvp*exp (ETA) [4]
Q
Parameter estimates in base and final models are provided in table 4. Fig. 2 shows plots of population predictions vs weighted residuals and individual predictions vs individual weighted residuals for the final model.
Table 4: Parameter estimates in base and final models
| Parameter | Base model (CV%) | Final model (CV%) |
| tvka (h-1) | 0.89(7.35) | 0.88 (5.48) |
| Tvcl (L/h) | 12.08(48.33) | 8.33 (24.80) |
| Tvvc (L) | 76.97 (55.39) | 89.55 (32.07) |
| Tvq (L/h) | 64.58 (6.40) | 64.59 (6.16) |
| tvvp (L) | 626.12 (8.77) | 626.05 8.60) |
| Ω₁,₁ | 0.0054 | 0.0030 |
| Ω₂,₂ | 0.2336 | 0.0615 |
| Ω₃,₃ | 0.3068 | 0.1029 |
| Ω₄,₄ | 0.0041 | 0.0038 |
| Ω₅,₅ | 0.0077 | 0.0074 |
| σ_prop | 0.2502 | 0.2504 |
Mean (cv)

Fig. 2: Plots of population predictions vs. weighted residuals and individual predictions vs. individual weighted residuals for the final model
The present work attempted to characterize the population pharmacokinetics of digoxin in healthy volunteers. The drug was well tolerated as no AEs or subject discontinuations were reported. Vital signs and physical examination conducted during the study were normal for all subjects. We followed industry standards in analyzing the plasma samples using a validated bio analytical method using a sophisticated instrument. The data obtained from the bio analysis was used to characterize the population pharmacokinetics of digoxin.
Appropriate clinical models deem essential to design and develop optimally personalized digoxin dosage regimens to provide better patient care [27]. Albeit the two-compartment model of digoxin was first proposed in the early ’70s [28], most of the published studies on digoxin population pharmacokinetics described the one-compartment model [18]. For instance, Chen et al. used a one-compartment approach to study the population pharmacokinetics of digoxin in the elderly patient population [11]. However, using the FOCEI method, we tried to fit our data in a suitable two-compartment open model in this study. One-compartment approach may not help understand the clinical pharmacokinetic/ pharmacodynamics characteristics of digoxin in patients with atrial fibrillation and chronic atrial flutter [27]. We simulated 1000 virtual individuals for evaluating the final model. The population estimate of CL/F was calculated as 12.08 l/h and 8.3 l/h with base and final models, respectively. Chen et al. reportedly had the CL/F of 8.9 l/h for their model [11]. The systematic review by the Jordanian team identified that the individual CL/F ranged from 0.005 to 0.2 l/h/kg in the included studies [18].
Several scientists have described digoxin pharmacokinetic characteristics in a two-compartment setup (serum and periphery) in the patient population and suggested dosage regimens with the help of a multiple-model dosage design [28]. Scientists have evaluated the population pharmacokinetic features of digoxin in 192 adult patients (287 serum samples). They calculated total body clearance and optimized the dosage regimen for the target concentration of 0.5-0.8 ng/ml [10]. We identified that creatinine clearance could significantly influence digoxin clearance in healthy individuals. A population pharmacokinetic study conducted based on the Digitalis in Acute Atrial Fibrillation trial also found a strong correlation between digoxin and creatine clearance [29]. Korean research on patient population identified serum potassium and renal function could influence the population pharmacokinetic behavior of digoxin [30]. Soo et al. identified the relationship between digoxin pharmacokinetic variability and the influence of nutritional status in Korean patients [30]. A population pharmacokinetic study on Chinese patients documented that spironolactone could significantly affect digoxin clearance [31]. Concomitant administration of spironolactone with digoxin could reduce digoxin clearance by 23% in Japanese patients [32]. Interestingly, concomitant use of digoxin in patients with congestive heart failure did not influence the population pharmacokinetics of levosimendan [33]. Notably, we did not concomitantly administer any drug to healthy volunteers and assess interaction profiles. Although this may be considered as a chief limitation of our work, notwithstanding, this is the first, to the best of our knowledge, to explore the population pharmacokinetic approach for digoxin in healthy individuals.
We developed a novel population pharmacokinetic model for digoxin in healthy individuals. The model could exactly predict the digoxin pharmacokinetics in plasma samples over time. The approach can be scaled, and clinical utilization of the study findings may help decide dosage regimen, thus providing better therapeutic outcomes. However, such a clinical decision should always be supported by a critical appraisal of the individual's health condition and therapy requirements.
AE – Adverse Events, DIG-Digitalis Investigation Group, HIV-Human Immunodeficiency Virus, HPLC–High-Performance Liquid Chromatography, HQC-High-Quality Control, IEC–Independent Ethics Committee, IWRES-Individual weighted Residuals, K2 EDTA-Ethylene Diamine Tetra Acetic acid, LC-MS-Liquid Chromatography-Mass Spectrometry, LLOQ-Lower Limit of quantification, LQC – Low-Quality Control, MQC–Middle-Quality Control, NLME-nonlinear mixed effect modeling, USFDA-United States Food and Drug Administration.
The authors did not receive any grant from any commercial, governmental, or non-profit organizations related to this work.
Sirajudeen Mahaboob-acquisition of data, conception, and design; Arun KP-drafting, methodology, project administration; SD Rajendran-resources, visualization; GNK Ganesh-investigation, supervision-review and editing.
The authors declare no conflicts of interest.
ReferencesPunniyakotti S, N BB. A case report on digoxin intoxication in a clinical pharmacist’s perspective. Asian J Pharm Clin Res. 2018;11(4):1-3. doi: 10.22159/ajpcr.2018.v11s4.31736.
Bavendiek U, Aguirre Davila L, Koch A, Bauersachs J. Assumption versus evidence: the case of digoxin in atrial fibrillation and heart failure. Eur Heart J. 2017;38(27):2095-9. doi: 10.1093/eurheartj/ehw577, PMID 28065909, PMCID PMC5837211.
Sharma M, Mahindroo N. Development and validation of stability indicating rp-hplc method for determination of β-acetyldigoxin. Int J App Pharm. 2017;9(1):54-9. doi: 10.22159/ijap.2017v9i1.16076.
Angraal S, Nuti SV, Masoudi FA, Freeman JV, Murugiah K, Shah ND. Digoxin use and associated adverse events among older adults. Am J Med. 2019;132(10):1191-8. doi: 10.1016/j.amjmed.2019.04.022, PMID 31077654.
Scalese MJ, Salvatore DJ. Role of digoxin in atrial fibrillation. J Pharm Pract. 2017;30(4):434-40. doi: 10.1177/0897190016642361, PMID 27067743.
Du P, Wang A, Ma Y, Jia A, Li Y, Li X. Impact of SLCO4C1 genotypes, creatinine, and spironolactone on digoxin population pharmacokinetic variables in patients with cardiac insufficiency. Clin Ther. 2020;42(9):1799-1810.e3. doi: 10.1016/j.clinthera.2020.07.011, PMID 32798059.
Eisen A, Ruff CT, Braunwald E, Hamershock RA, Lewis BS, Hassager C. Digoxin use and subsequent clinical outcomes in patients with atrial fibrillation with or without heart failure in the ENGAGE AF-TIMI 48 trial. J Am Heart Assoc. 2017;6(7):e006035. doi: 10.1161/JAHA.117.006035, PMID 28666993, PMCID PMC5586309.
Aguirre Davila L, Weber K, Bavendiek U, Bauersachs J, Wittes J, Yusuf S. Digoxin-mortality: randomized vs. observational comparison in the DIG trial. Eur Heart J. 2019;40(40):3336-41. doi: 10.1093/eurheartj/ehz395, PMID 31211324, PMCID PMC6801940.
Noviasky J, Darko W, Akajabor D, Makaron A, Miller C, Pierce DP. Chapter 6. Digoxin. In: Cohen H, editor. Casebook in clinical pharmacokinetics and drug dosing. 1st ed. New York: McGraw-Hill Education; 2016.
Komatsu T, Morita M, Miyaji F, Inomata T, Ako J, Atsuda K. Population pharmacokinetics and optimization of the dosing regimen of digoxin in adult patients. J Pharm Health Care Sci. 2015;1:25. doi: 10.1186/s40780-015-0023-6, PMID 26819736, PMCID PMC4728823.
Chen R, Zou SL, Wang ML, Jiang Y, Xue H, Qian CY. Population pharmacokinetics of digoxin in elderly patients. Eur J Drug Metab Pharmacokinet. 2013;38(2):115-21. doi: 10.1007/s13318-012-0107-8, PMID 23096939.
Gong Y, Chen Y, Li Q, Li Z. Population pharmacokinetic analysis of digoxin in Chinese neonates and infants. J Pharmacol Sci. 2014;125(2):142-9. doi: 10.1254/jphs.13233fp, PMID 24837877.
Martin Suarez A, Sanchez Hernandez JG, Medina Barajas F, Perez Blanco JS, Lanao JM, Garcia Cuenllas Alvarez L. Pharmacokinetics and dosing requirements of digoxin in pregnant women treated for fetal supraventricular tachycardia. Expert Rev Clin Pharmacol. 2017;10(8):911-7. doi: 10.1080/17512433.2017.1344096, PMID 28631514.
Weiss M, Li P, Roberts MS. An improved nonlinear model describing the hepatic pharmacokinetics of digoxin: evidence for two functionally different uptake systems and saturable binding. Pharm Res. 2010;27(9):1999-2007. doi: 10.1007/s11095-010-0204-9, PMID 20625800.
Yukawa M, Yukawa E, Suematsu F, Takiguchi T, Ikeda H, Aki H. Population pharmacokinetic investigation of digoxin in Japanese infants and young children. J Clin Pharmacol. 2011;51(6):857-63. doi: 10.1177/0091270010374475, PMID 20592416.
Clinical Trials. Gov: Studies on Digoxin: US National Institute of Health-National Library of Medicine; 2021.
Abdel Jalil MH, Abdullah N, Alsous MM, Saleh M, Abu-Hammour K. A systematic review of population pharmacokinetic analyses of digoxin in the paediatric population. Br J Clin Pharmacol. 2020;86(7):1267-80. doi: 10.1111/bcp.14272, PMID 32153059, PMCID PMC7667574.
Abdel Jalil M, Abdullah N, Alsous M, Abu-Hammour K. Population pharmacokinetic studies of digoxin in adult patients: a systematic review. Eur J Drug Metab Pharmacokinet. 2021;46(3):325-42. doi: 10.1007/s13318-021-00672-6, PMID 33616855.
USFDA. Population pharmacokinetics guidance for industry: draft guidance (Docket Number: FDA-2019-D-2398): U.S. Department of Health and Human Services-Food and Drug Administration (FDA). Center for Drug Evaluation and Research (CDER), Center for Biologics Evaluation and Research (CBER); 2019.
WMA. Declaration of Helsinki: World Medical Association; 2018. Available from: https://www.wma.net/policies-post/wma-declaration-of-helsinki-ethical-principles-for-medical-research-involving-human-subjects;1964/ [Last accessed on 28 Aug 2021].
ICH. Guideline for Good Clinical Practice (step 4 revision-November 2016) [international Conference on Harmonization guidelines]; 2016. p. E6(R2).
Sonawane SS, Chhajed SS, Attar SS, Kshirsagar SJ. An approach to select linear regression model in bioanalytical method validation. J Anal Sci Technol. 2019;10(1):1. doi: 10.1186/s40543-018-0160-2.
USFDA. Bioequivalence studies with pharmacokinetic endpoints for drugs submitted under an abbreviated new drug application: United States food and drug Adminsitration (FDA). Center for Drug Evaluation and Research (CDER); 2021.
USFDA. Bioanalytical method validation guidance for industry (Docket number: FDA-2013-D-1020). United States food and drug administration (FDA); center for drug evaluation and research (CDER). Center for Veterinary Medicine (CVM); 2018.
Moore HM, Kelly AB, Jewell SD, McShane LM, Clark DP, Greenspan R. Biospecimen reporting for improved study quality (BRISQ). Cancer Cytopathol. 2011;119(2):92-101. doi: 10.1002/cncy.20147, PMID 21433001.
Kanji S, Hayes M, Ling A, Shamseer L, Chant C, Edwards DJ. Reporting guidelines for clinical pharmacokinetic studies: the ClinPK statement. Clin Pharmacokinet. 2015;54(7):783-95. doi: 10.1007/s40262-015-0236-8, PMID 25637173.
Jelliffe RW. Some comments and suggestions concerning population pharmacokinetic modeling, especially of digoxin, and its relation to clinical therapy. Ther Drug Monit. 2012;34(4):368-77. doi: 10.1097/FTD.0b013e31825c88bb, PMID 22735674, PMCID PMC3837704.
Jelliffe RW, Milman M, Schumitzky A, Bayard D, Van Guilder M. A two-compartment population pharmacokinetic-pharmacodynamic model of digoxin in adults, with implications for dosage. Ther Drug Monit. 2014;36(3):387-93. doi: 10.1097/FTD.0000000000000023, PMID 24492383, PMCID PMC4286255.
Hornestam B, Jerling M, Karlsson MO, Held P, DAAf Trial Group. Intravenously administered digoxin in patients with acute atrial fibrillation: a population pharmacokinetic/pharmacodynamic analysis based on the digitalis in acute atrial fibrillation trial. Eur J Clin Pharmacol. 2003;58(11):747-55. doi: 10.1007/s00228-002-0553-3, PMID 12634981.
Choi SA, Yun HY, Lee ES, Shin WG. A population pharmacokinetic analysis of the influence of nutritional status of digoxin in hospitalized Korean patients. Clin Ther. 2014;36(3):389-400. doi: 10.1016/j.clinthera.2014.01.019, PMID 24612944.
Zhou XD, Gao Y, Guan Z, Li ZD, Li J. Population pharmacokinetic model of digoxin in older Chinese patients and its application in clinical practice. Acta Pharmacol Sin. 2010;31(6):753-8. doi: 10.1038/aps.2010.51, PMID 20523346, PMCID PMC4002973.
Yukawa E, Suematu F, Yukawa M, Minemoto M, Ohdo S, Higuchi S. Population pharmacokinetics of digoxin in Japanese patients: a 2-compartment pharmacokinetic model. Clin Pharmacokinet. 2001;40(10):773-81. doi: 10.2165/00003088-200140100-00005, PMID 11707062.
Jonsson EN, Antila S, McFadyen L, Lehtonen L, Karlsson MO. Population pharmacokinetics of levosimendan in patients with congestive heart failure. Br J Clin Pharmacol. 2003;55(6):544-51. doi: 10.1046/j.1365-2125.2003.01778.x, PMID 12814448, PMCID PMC1884248.