
aDepartment of Pharmaceutical Sciences, Dr. Hari Singh Gour Vishwavidyalaya, Sagar, India, 470003. bDepartment of Pharmaceutical Chemistry, JSS College of Pharmacy, JSS Academy of Higher Education and Research, Mysuru, India, 570015. cDepartment of Pharmaceutics, JSS College of Pharmacy, JSS Academy of Higher Education and Research, Mysuru, India, 570015
*Corresponding author: Vikas Jain; *Email: vikasjain@jssuni.edu.in
Received: 17 Aug 2024, Revised and Accepted: 19 Oct 2024
ABSTRACT
Objective: In this study, we reported the synthesis of a novel series of 5-aryl-4(chloroacetylamino)-3-mercapto-1, 2,4-triazoles.
Methods: These compounds were synthesized to screen for anticonvulsant effects in a Maximal Electroshock Seizure (MES) model and a Subcutaneous Pentylenetetrazole (sc‐PTZ) seizure model in rats. Furthermore, molecular docking studies with gamma-aminobutyric acid and in silico ADME prediction were carried out to determine interactions of these compounds with Benzodiazepine (BZD) receptors and their similarity with standard drugs. The rotarod test was used to evaluate neurotoxicity.
Results: 08 out of 40 compounds exhibited neurotoxicity at the maximum tested dose. Most of the compounds showed anti‐MES effects without any signs of neurological deficit. All the tested compounds significantly reduced seizures induced by PTZ compared to the control group. Carbamazepine and phenytoin were used as positive controls for anticonvulsant effects. Compounds 3d, 3h (a diphenylamine derivative of 5-aryl-4(chloroacetylamino)-3-mercapto-1,2,4-triazole), and 4a (a piperidinyl derivative of 5-aryl-4(chloroacetylamino)-3-mercapto-1,2,4-triazole) exhibited greater safety than phenytoin and carbamazepine in terms of neurotoxicity. The docking scores for the identified compounds 3d, 3h and 4a was 6.5133; 6.6558 and 5.6524, respectively. Nearly all the compounds (90%) demonstrated decreased locomotor activity.
Conclusion: It is gratifying that the compounds with higher hydrophobicity showed better performance in the seizure models. Many triazole derivatives holding a suitable aryl or alkyl group gave a better anticonvulsant activity in their analogs.
Keywords: Anticonvulsants, 1,2,4-triazole, Molecular docking, BZD receptors, Maximal electroshock
© 2024 The Authors. Published by Innovare Academic Sciences Pvt Ltd. This is an open access article under the CC BY license (https://creativecommons.org/licenses/by/4.0/)
DOI: https://dx.doi.org/10.22159/ijap.2024v16i6.52379 Journal homepage: https://innovareacademics.in/journals/index.php/ijap
Epilepsy is a chronic neurological disorder characterized by excessive temporary neuronal discharge resulting in a sudden change in behavior due to a transitory change in the electrical functioning of the brain [1, 2]. Over the last few decades, more than 20 novel antiepileptic medications, including eslicarbazepine acetate [3], perampanel [4], and ezogabine [5], have been approved. However, a considerable proportion of the population is unable to achieve a durable anticonvulsant response with monotherapy [6], and approximately 30% of patients have refractory epilepsy and require a combination of therapy [7, 8]. In addition, there are serious side effects of many AEDs [9, 10], and lifelong treatment is needed. Therefore, the search for more selective and safer anticonvulsant agents is of special interest. In this context, various approaches been explored for development of multiple anti-epileptic drugs [11-13].
The development of γ‐Amino Butyric Acid (GABA), a major inhibitory neurotransmitter, is an active area of research in the field of neurodegenerative disorders. GABA-A receptors are valuable targets for a range of therapeutically important drugs, such as barbiturates, steroids, anesthetics, and Benzodiazepines (BZDs) [14, 15] (fig. 1A-D). Numerous biological activities are associated with 1,2,4-triazoles and their derivatives, such as anticonvulsant [16, 17], antifungal [18-20], anticancer [21-24], anti-inflammatory [25-27] and antibacterial properties [28-31]. The molecular structure and bioactivity of commercially available antiepileptic drugs have revealed that (i) spatially distant hydrophobic domains (usually phenyl rings), (ii) hydrogen bonding domains, and (iii) electron-donating fragments, which are the elements required for good anticonvulsant activity (fig. 1). Wingrove and colleagues, on the other hand, proposed that the activity of loreclezole (a second-generation antiepileptic medication) is dependent on the interaction of the triazole moiety with the amide group of asparagine (Asn-289), which is found on the GABA A receptor's 2 subunits. Additionally, various other compounds bearing a 1,2,4-triazole moiety were found to possess anticonvulsant properties in several animal models of epilepsy [32-35]. These findings prompted us to (i) search for 1,2,4-triazole-based compounds endowed with anticonvulsant activity and (ii) to determine whether the obtained derivatives may act on the allosteric site of GABA-A receptors. In this study, we performed synthesis, pharmacological evaluation, and docking studies of a novel series of amino derivatives of 5-aryl-4(chloroacetylamino)-3-mercapto-1,2,4-triazoles as potential anticonvulsant agents using in vivo experimental models.
Chemistry
All the chemicals utilized in the synthesis were procured from Merck and Sigma Aldrich. The purity of the synthesized compounds was confirmed using Thin-Layer Chromatography (TLC) with silica G. Visualizations were performed with iodine vapor or 30% v/v sulfuric acid. Melting points (uncorrected) of the compounds were determined using the Veego VMP-1 apparatus expressed in °C using a Perkin-Elmer IR spectrophotometer with KBr pellets, IR spectra recorded1H NMR spectra were recorded on a Bruker Avance II 400 MHz apparatus using CDCl3 and tetramethylsilane as internal standards and chemical shifts are expressed in δ ppm. Mass spectra were recorded on a JeolSx 102/DA-600 mass spectrum/data system employing the Fast Atom Bombardment (FAB) technique and analyzed on an elemental analyzer (ElementarVario EL III Carlo Erba 1108). The 1,2,4-triazole derivatives were synthesized from various secondary amines and substituted benzoic acid, as shown in Scheme 1. The physicochemical and spectral data are reported in table S1 and table S2 as supplementary materials.

Fig. 1: Structural features of the compound for good anticonvulsant activity: (A) a hydrophobic aromatic region, (B) a hydrogen-binding domain, (C) an electron-donating fragment, and (D) a distant aromatic ring
Synthesis of the methyl ester of substituted benzoic acid (1)
130 ml of absolute alcohol and 3.3 ml of concentrated H2SO4 were introduced to 0.3 mol substituted benzoic acid. The reaction mixture was refluxed for 2 hr. Excess ethanol was distilled and extracted using carbon tetrachloride (20 ml) after the completion of the reaction. The mixed organic parts were rinsed with a strong sodium bicarbonate solution until all residual acid was extracted, and carbon dioxide did not further evolve. Carbon tetrachloride (organic part) was once washed and dried with over 7.5 g of magnesium sulfate and distilled under reduced pressure, resulting in ester (1), which was recrystallized from absolute ethanol.
Synthesis of acid hydrazide of substituted esters (2)
80% hydrazine hydrate (0.1 mol) was gradually introduced to the aromatic ester solution (0.1 mol) in ethanol and refluxed in a water bath for approximately 15 min. A sufficient amount of absolute ethanol was added to achieve a clear solution, and the content was again refluxed for 2 hr. Excess alcohol was distilled to obtain an acid hydrazide (2) precipitate, which was recrystallized from ethanol.
Synthesis of potassium dithiocarbazinate (3)
For 10 hr, substituted aromatic hydrazides (0.02 mol), KOH (0.012 mol), and CS2 (0.015 mol) were stirred in ethanol (350 ml). Once the reaction was completed, 200 ml of ether was added to the mixture to obtain the precipitate. For the next stage, without additional purification, the synthesized dithiocarbazinate (3) was utilized.
Synthesis of 5-aryl-4-amino-3-mercapto-1,2,4-triazole (4)
A mixture of substituted dithocarbazinate (0.1 mol), hydrazine hydrate (0.3 mol), and water (30 ml) was refluxed for approximately 3 h, cold water was added, the mixture was cooled to 5 °C, and the mixture was acidified with diluted HCl to obtain the precipitate. Finally, the precipitate was washed with 95% ethanol and recrystallized.
Synthesis of 5-aryl-4-(chloroacetylamino)-3-mercapto-1,2,4-triazole (5)
In a two-necked flask, 30 ml of chloroacetyl chloride was gently added to the synthesized compound in 100 ml of toluene, refluxed for 5-6 h, cooled, and placed on crushed ice. The mixture was subsequently washed several times with cold-ice distilled water.
Synthesis of the amino derivative of 5-aryl-4(chloroacetylamino)-3-mercapto-1,2,4-triazole (6)
In a round bottom flask, 0.03 mol of 5-aryl-4-(chloroacetylamino)-3-mercapto-1,2,4-triazole, the corresponding amines (0.03 mol), and 75 ml of toluene were refluxed for 5-6 h and cooled. Repeated washes of the organic layer were carried out with distilled water, and finally, toluene was distilled off under lower pressure to extract and recrystallize the crude product.
In silico studies
Molecular docking
A set of 40 different ligands was drawn using ChemDraw Ultra 4.0. A virtual library of selected compounds was prepared by Open Babel, and the TRIPOS force field was used to minimize their energies. In the present study, SYBYL X 2.1 was the principal docking software used for docking. After energy minimization, the complete set of proposed compounds was docked to the relevant target receptor with the reference co-crystallized ligand. The protein data bank (http://www.rcsb.org) was utilized to download the receptor PDB files (PDB ID: 1OHV). The docking results were revalidated by comparison with the docking results of the standard drugs phenytoin and carbamazepine with the active site of GABA-A [36]. The ligands were docked into the protein binding sites using an empirical scoring function. Prior to docking, the co-crystallized ligands and water molecules were removed, and polar hydrogen atoms were added to the ligands. Additionally, Kollman-all atom charges were assigned to the protein atoms. In this study, self-docking was employed to create the ProtoMol model, using its two key parameters, ProtoMol-bloat and ProtoMol-threshold, set at the default values of 0 and 0.50 Å, respectively. With other settings left at their defaults, Surflex-Dock generated 20 conformations for each ligand. The binding conformation with the highest docking score for the co-crystallized ligands under similar conditions was then selected for further analysis. Throughout the process, the ligand was allowed to be flexible while the protein was treated as rigid [37].
Prediction of pharmacological properties
The virtual chemical structures of the 12 most active compounds were drawn by ChemDraw Ultra 4.0. SwissADME software was used to predict the pharmacological effects of the most promising compounds. The predicted results were correlated with the standard drugs phenytoin and carbamazepine.
In vivo experimental models for evaluating anticonvulsant activity
Male albino rats weighing 100-150 gm were stored in groups of six in plastic traps that were maintained at a regulated temperature (22±2 °C) and humidity (approximately 55±15%) with a 12 h light cycle beginning at 6 AM. The animals were permitted to adapt for one week before commencing the experimental testing for anticonvulsant activity in the working environment and were provided with standard rodent chow and tap water, ad libitum. All animal studies were performed in accordance with the guidelines of CPCSEA (Committee for the Purpose of Control and Supervision of Experiments on Animals, Ministry of Culture, Government of India) and protocols were duly approved by Institutional Animal Ethics Committee, Dr. H. S. Gour University, Sagar, India.
Anticonvulsant activity
Maximum electroshock seizure test (MES)
The electroshock seizure technique was used to evaluate the anticonvulsant activity of the compounds. In rats, a supra-maximal electroshock current intensity of 50 mA and 60 Hz was applied at doses of 30, 100, and 300 mg/kg test compound with 60 Hz over a duration of 0.2 sec. Anticonvulsant behavior was registered as the removal of hind limb tonic extender spasms [38, 39].
Subcutaneous pentylenetetrazole method (scPTZ)
The rats of both sexes were divided into groups of six each. A 1% (w/v) suspension of all the synthesized compounds in 5% aqueous gum acacia was prepared. At doses of 30, 100, and 300 mg/kg, the test compounds were administered intraperitoneally (i. p.) to all animals in each group. The control animals received vehicle (i. p.) only [40].
At 30 min and 4 h after the administration of the drug, pentylenetetrazole (85 mg/kg) was injected subcutaneously. The endpoint was taken as the absence or presence of an episode of clonic convulsion. Phenytoin and carbamazepine were used as the standard drugs for both studies.
Neurotoxicity screening (NT)
To assess the minimum motor impairment in the rats, a rotarod test was carried out. An accelerating rotarod with a diameter of 3.2 cm was used, the rats were rotated at 6 rotations/min, and the rats (100-150 g) were educated to remain on it. For the experiment, rats were chosen which could remain on the rotating wheel for at least one min. Test compounds were given to trained animals via the i. p. route at a 300 mg/kg dose. Neurotoxicity was indicated by the inability of the animal to maintain balance on the rod for at least one min [41].
Locomotor activity studies
The effects of the synthesized compounds on locomotor activity were screened, as most of the reported anticonvulsants inhibit locomotor activity.
Albino rats were divided into six groups, each comprising four animals. One control group was treated with the standard drug (chlorpromazine 5 mg/kg i. p.), while five test groups received the test sample of 100 mg/kg i. p. The activities of the animals were determined by an actophotometer (Kshitij International, India) reading for each animal of each group by placing them separately in the actophotometer [42, 43]. The average was then determined at 30 and 45 min after the administration of the drugs; the experiments were repeated to determine changes in activity. The average of the readings was determined again.
The average percentage decrease in locomotive mobility (i. e., locomotive activity values) after 30 min and 45 min of drug treatment was calculated using the preceding formula.

where, Wt and Wc are the mean values of the test and control groups, respectively.
Statistical analysis
Student’s t-test (GraphPad Prism, Version 8.0, CA, USA) was used to statistically analyze the data, and the level of significance was set at p<0.05.
Molecular simulation
Molecular Dynamics (MD) studies were performed on the Desmond module of Schrödinger using an OPLS4 forcefield [44]. The best-docked complexes (with a high glide score) were solvated with the TIP4P solvent model in an orthorhombic box, keeping a 10 Å buffer region between the protein atoms and the box sides. The water molecules were removed, and the system was neutralized by adding ions. Suitable counterions (Na+/Cl−) were added to the solvated system to neutralize the absolute charge of the complex system. The complex system was solvated using an explicit solvent (TIP3P) system in the size of 10 Å cubic box with Periodic Boundary Condition (PBC) box, and the complex system was neutralized by adding counterions using the System Setup Panel of Desmond. 19 Na+ and 17 Cl-ions. The system was then gradually heated to 300 K in the NPT ensemble with a time step of 2 fs. A multiple-time step Reversible Reference System Propagator Algorithm (RESPA) integration algorithm was employed throughout the MD simulation with time steps of 2 fs for bonded interactions, 2 fs for near nonbonded interactions, and 6 fs for far nonbonded interactions. The system was then subjected to 50 ns MD simulation in the NPT ensemble (T=300 K, thermostat relaxation time=200 ps; p=1 atm; barostat relaxation time=200 ps) using a Nose–Hoover thermostat and Martyna–Tobias–Klein barostat. The MD trajectory and 3D structures were visually inspected and analyzed using the Maestro graphical user interface. The structural changes in the GABA-A protein (C-α backbone atoms) upon binding of lead compounds were compared with the docked structure of the respective complex in terms of the Root mean Square Deviation (RMSD) amino acid fluctuation in terms of the Root mean Squared Fluctuation (RMSF) and H-bond analysis [45].
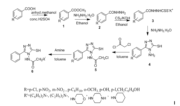
Chemistry
The reaction order given in Scheme 1 was used to synthesize the target compounds. Various substituted benzoic acids, when reacted with methanol in the vicinity of concentrated sulfuric acid gave methyl ester as a substitute for benzoic acid (1), which, upon reaction with hydrazide hydrate in absolute alcohol, furnished acid hydrazides (2). The (2) on reacting with potassium hydroxide and carbon disulfide in absolute ethanol afforded potassium dithiocarbazinate derivative (3), which was then treated with hydrazine hydrate in absolute ethanol and water to yield (4). The compounds (4) were made to react with chloroacetyl chloride in toluene to afford 5-aryl-4-(chloroacetylamino)-3-mercapto-1,2,4-triazole (5) The compounds (4) were made to react with amine in the presence of toluene to yield amino derivatives of 5-aryl-4(chloroacetylamino)-3-mercapto-1,2,4-triazole (6).(Scheme 1).
Molecular docking
To investigate the effectiveness and specificity of the targeted compounds, we conducted a thorough molecular docking study involving 40 different triazole derivatives. These compounds were docked against the GABA-A protein (PDB 1OHV) using the Sybyl-X 2.1 docking program. The results revealed successful binding of all 40 compounds to the active site of GABA-A, with docking scores ranging from 8.0261 to 3.0244 (fig. 2).
Notably, these compounds formed direct hydrogen bonds with specific amino acids, including Gln301, Lys329, Ser137, Ser328, and Gly136, which are located at the active site. These interactions occurred at distances between 1.9 and 2.7 angstroms (Å), indicating strong binding (fig. 3-4).
Additionally, we observed other weak interactions, such as pi-pi and pi-alkyl bonds. Many of the studied compounds exhibited improved binding energies when compared to well-established drugs such as phenytoin and carbamazepine.
Among all the compounds, 4c and 3e were the most promising, with total binding scores of 8.02 and 7.7, respectively. The variations in total scores between these compounds and the reference ligand may be attributed to slight differences in interactions with amino acids within the binding pocket of the 4-aminobutyric acid [46].
Important interacting polar amino acids that participated in hydrogen bond interactions at the protein's binding sites included Gln301, Lys329, Ser137, Ser328, and Gly136. The results are summarized in table 1.

Scheme 1: Synthesis of target compounds
Table 1: Docking score values of the synthesized 1,2,4-triazole derivatives
| S. No. | Name | Total score | Crash | G Score | C score | Polar |
| 1 | 3a | 6.1153 | -1.5983 | -160.18 | 4 | 1.8303 |
| 2 | 4a | 5.6524 | -2.4444 | -189.11 | 5 | 2.5392 |
| 3 | 5a | 4.1837 | -2.6468 | -181.30 | 3 | 1.9829 |
| 4 | 6a | 4.3805 | -1.1289 | -172.33 | 4 | 1.3426 |
| 5 | 7a | 4.6675 | -0.8467 | -245.16 | 1 | 0.5985 |
| 6 | 3b | 6.0278 | -1.5359 | -120.78 | 4 | 2.8303 |
| 7 | 4b | 5.9727 | -0.9297 | -185.47 | 3 | 3.1039 |
| 8 | 5b | 6.0629 | -3.2163 | -76.83 | 4 | 3.6414 |
| 9 | 6b | 5.6033 | -1.0774 | -212.78 | 2 | 3.0355 |
| 10 | 4c | 8.0261 | -1.4813 | -253.96 | 5 | 4.2158 |
| 11 | 7c | 7.6768 | -1.708 | -168.67 | 4 | 4.2829 |
| 12 | 3d | 6.5133 | -1.4641 | -110.45 | 5 | 1.1738 |
| 13 | 4d | 6.3107 | -2.0109 | -122.66 | 4 | 1.0829 |
| 14 | 3e | 7.731 | -1.5712 | -171.89 | 4 | 1.2177 |
| 15 | 6e | 4.5034 | -0.8392 | -132.45 | 3 | 0.0004 |
| 16 | 7e | 5.1049 | -1.6647 | -313.40 | 5 | 0.2668 |
| 17 | 3f | 5.8557 | -1.5609 | -276.18 | 4 | 1.5297 |
| 18 | 4f | 4.5637 | -0.8616 | -118.78 | 2 | 2.3113 |
| 19 | 5f | 3.1316 | -3.1182 | -167.90 | 4 | 2.3025 |
| 20 | 3g | 5.7769 | -2.817 | -172.89 | 5 | 1.4851 |
| 21 | 4g | 4.6099 | -1.7054 | -243.17 | 4 | 1.2042 |
| 22 | 5g | 3.0244 | -2.7536 | -265.24 | 4 | 1.4645 |
| 23 | 6g | 4.1718 | -1.0839 | -167.18 | 4 | 1.7037 |
| 24 | 7g | 5.8311 | -1.3407 | -212.24 | 5 | 1.2944 |
| 25 | 3h | 6.6558 | -1.0217 | -234.15 | 4 | 1.1437 |
| 26 | Reference Ligand | 6.6683 | -0.9701 | -102.56 | 4 | 4.1505 |
| 27 | Carbamazepine | 2.295 | -0.7184 | -156.45 | 3 | 1.0512 |
| 28 | Phenytoin | 5.1428 | -1.1447 | -170.16 | 4 | 1.7183 |
a. Total score: Overall performance for docking, b. Crashscore: The degree of improper entry of ligand into the binding site, c. Polarscore: record the polar nonbonding hydrogen interactions with respect to the total score, d. G Score (Grid score): Empirical docking score that evaluates the interaction of the ligand with the protein's active site, e. C score (Consensus score): Account multiple parameters such as hydrophobic interactions, electrostatics, and ligand-receptor complementarity.

Fig. 2: 3D and 2D binding pose of the reference ligand with 4-aminobutyric acid (PDB ID: 1OHV)

Fig. 3: 3D and 2D binding pose depiction of compound 4c with 4-amino butyric acid from docking studies, where GLN301, LYS329, ACT500, SER137, and GLY136 are interacting amino acids to form a hydrogen bond
Prediction of pharmacological properties
The pharmacological properties of the best active compounds were predicted by Swiss ADME software, which is based on Lipinski’s rule of five [47]. The predicted pharmacological effects are shown in table 2. The predicted values implied that the selected compounds successfully fulfilled the criteria of Lipinski’s Rule of Five. Veber’s rule states that the oral bioavailability of a drug can be assessed by multiple criteria, such as molecular weight, number of hydrogen bonds, and number of rotatable bonds. Thus, the predicted drug's polar surface of the (TPSA) suggested that the selected compounds must be able to assure oral bioavailability [48].

Fig. 4: 3D and 2D binding pose depiction of compound 3 with 4-amino butyric acid in depiction from docking studies, where SER328 and GLY136 are interacting amino acids to form a hydrogen bond
Table 2: The molecular descriptor values of the most active 5-aryl-4 (chloroacetylamino)-3-mercapto-1, 2,4-triazole derivatives
| S. No. | Cpd No | Molecular formula | Mol. wt. | LogP | No. of H-bond donors | No. of H-bond acceptors |
No. of rotatable bonds |
TPSA | Drug likeliness |
| 1. | 3a | C22H18ClN5OS | 435.9 | 5.47 | 1 | 3 | 7 | 101.85 | 3.35 |
| 2. | 3b | C22H18N6O3S | 446.5 | 4.75 | 1 | 5 | 8 | 147.67 | 3.49 |
| 3. | 5b | C24H38N6O3S | 490.7 | 6.38 | 1 | 6 | 10 | 147.67 | 4.17 |
| 4. | 3c | C22H18N6O3S | 446.5 | 4.73 | 1 | 5 | 8 | 147.67 | 3.55 |
| 5. | 4c | C15H18N6O3S | 362.4 | 1.97 | 2 | 6 | 6 | 156.46 | 2.98 |
| 6. | 5c | C24H38N6O3S | 490.7 | 6.38 | 1 | 6 | 10 | 147.67 | 4.24 |
| 7. | 6c | C14H16N6O4S | 364.4 | 1.18 | 1 | 7 | 6 | 156.90 | 3.16 |
| 8. | 7c | C14H17N7O3S | 363.4 | 0.63 | 2 | 7 | 6 | 159.70 | 3.19 |
| 9. | 3d | C30H27N5OS | 505.6 | 7.41 | 1 | 3 | 8 | 101.85 | 3.99 |
| 10. | 4d | C23H27N5OS | 421.6 | 4.65 | 2 | 4 | 6 | 110.64 | 3.41 |
| 11. | 3e | C23H21N5O2S | 431.5 | 4.80 | 1 | 4 | 8 | 111.08 | 3.55 |
| 12. | 3h | C29H25N5O2S | 507.6 | 6.28 | 2 | 4 | 9 | 122.08 | 3.82 |
Molecular docking and in silico ADME studies were carried out on a series of 1,2,4-triazole derivatives using SYBYL X 2.1 and SwissADME software, respectively. The data for the target protein GABA-A were obtained from the protein data bank. The active site was identified, and the compounds were docked with reference ligands and standard drugs. The wide range of anticonvulsant behaviors of compounds 3a, 3f, 3e, 5a, 6a, 6f, 7a, 7f, 4a, 4c, 4e and 4f has been shown to be beneficial relative to phenytoin. Cited compounds could be used both for clonic‒tonic (grand mal) and absence (petit mal) seizures, as both the MES and scPTZ models could have been blocked. None of the compounds with ortho or meta substituents showed this dual activity. Compounds with a phenyl moiety at R’ were relatively better substituents compared to –C2H5. Substitutions with a heterocyclic ring in place of R’, such as morpholine, piperazine, and piperidine, showed better activity than phenyl or ethyl substituents. This phenomenon has also been reported in the literature, which suggests that the presence of a heterocyclic ring at these positions increases the lipophilicity of these compounds, which ultimately results in increased anticonvulsant activity. In the scPTZ screening, the compounds exhibited activity only at higher doses, i. e., 300 mg/kg, but some of the compounds, such as 6a, 6f, 7a, 7f, 4a, and 4f, exhibited activity at 100 mg/kg body weight. This difference might be attributed to the substitution with the heterocyclic ring at R’ and the p-substitution in the phenyl ring. 6a, 7a, 4a, and 4f were found to be the most effective compounds in the sequence at a lower dose level (30 mg/kg i. p. in the MES display). In these compounds, R’ was substituted with a heterocyclic ring, and the phenyl ring was substituted at the p-position. The compound's rapid metabolism rate is likely accountable for its short duration of activity. The rapid onset of action and long duration of activity were shown by compounds with observed activity at both 0.5 h and 4 h. At a maximum dose level of 300 mg/kg, 50% of the compounds showed no neurotoxicity. The reason for this might be no binding or less binding of these compounds to neurons. Nearly all the compounds (90%) showed a decrease in locomotor activity.
Pharmacological evaluation
In vivo anticonvulsant activity
Different in vivo tests were performed to evaluate the anticonvulsant effects of all the newly synthesized novel compounds. Two well-recognized models i. e., maximal electroshock-induced seizure (MES) and pentylenetetrazol-induced convulsion (scPTZ), were used to explore the anticonvulsant activities of the synthesized compounds. Phenytoin and carbamazepine were used as standard drugs to assess the anticonvulsant activity of the synthesized compounds.
In the MES test, at 0.5 hr, Compounds 3(a, b, c, e, f, g), 5(a, b, c, e, f, g, h), 6(a, b, c, d, f, g, h), 7(a, b, c, e, f, g, h), and 4(a, b, c, e, f, g) were identified as active. At 30 mg/kg body weight, only six compounds, namely,3e, 6a, 7a, 4a, 4c, and 4f, exhibited activity, whereas at 100 mg/kg body weight, twenty-four compounds, namely, 3a, 3b, 3c, 3f, 3g, 5a, 5c, 5e, 5h, 6b, 6c, 6e, 6f, 6g, 6h, 7b, 7c, 7e, 7f, 7g, 7h, 4b, 4e, 4f, and 4g, were found to be active, and the remaining compounds, namely, 5b, 5f, and 5g, were found to be active at 300 mg/kg at 0.5 h.
All the tested compounds significantly reduced seizures induced by PTZ compared to the control group. The presence of a heterocyclic ring at the R’ position results in more lipophilic compounds, such as 3a, 3c, 3e, 3f, 5a, 5c, 6a, 6c, 6f, 7a, 7f, 4a,4c, and 4f. These compounds showed activity at 100 mg/kg at 0.5 hr except for 3a and 5a, which were found to be active at 300 mg/kg at 0.5 hr. No compounds were active after four hr, as shown in table 3.
It is common knowledge that triazole compounds with the right aryl or alkyl group had stronger anticonvulsant effects in their analogs [49]. Triazole derivatives' hydrophobicity is a crucial factor in determining their anticonvulsant efficacy. The developed compounds with increased hydrophobicity can demonstrate higher Blood-brain Barrier (BBB) permeability, which is required for the drugs to function in vivo. Hence, the lipophilic compounds can perform as better anticonvulsant agents [50].
Table 3: Anticonvulsant activity of the synthesized compounds
| Compound code | R | R’ | Minimum active dose (mg/kg)* | |||
| MES test | scPTZ test | |||||
| 0.5 h | 4 h | 0.5 h | 4 h | |||
| 3a | p-Cl | (C6H5)2N- | 100 | 300 | 300 | - |
| 3b | p-NO2 | (C6H5)2N- | 100 | - | - | - |
| 3c | m-NO2 | (C6H5)2N- | 100 | 300 | 100 | - |
| 3d | p-C8H10 | (C6H5)2N- | - | - | - | - |
| 3e | o-OCH3 | (C6H5)2N- | 30 | 300 | 100 | - |
| 3f | p-OH | (C6H5)2N- | 100 | - | 300 | - |
| 3g | p-I | (C6H5)2N- | 100 | - | - | - |
| 3h | p-CH2C6H4OH | (C6H5)2N- | - | - | - | - |
| 5a | p-Cl | (C2H5)2N- | 100 | 300 | 300 | - |
| 5b | p-NO2 | (C2H5)2N- | 300 | - | - | - |
| 5c | m-NO2 | (C2H5)2N- | 100 | - | 100 | - |
| 5d | p-C8H10 | (C2H5)2N- | - | - | - | - |
| 5e | o-OCH3 | (C2H5)2N- | 100 | - | - | - |
| 5f | p-OH | (C2H5)2N- | 300 | - | - | - |
| 5g | p-I | (C2H5)2N- | 300 | - | - | - |
| 5h | p-CH2C6H4OH | (C2H5)2N- | 100 | - | - | - |
| 6a | p-Cl | ![]() |
30 | 300 | 100 | - |
| 6b | p-NO2 | 100 | - | - | - | |
| 6c | m-NO2 | 100 | - | 100 | - | |
| 6d | p-C8H10 | - | - | - | - | |
| 6e | o-OCH3 | 100 | - | - | - | |
| 6f | p-OH | 100 | 300 | 100 | - | |
| 6g | p-I | 100 | - | - | - | |
| 6h | p-CH2C6H4OH | 100 | - | - | - | |
| 7a | p-Cl | 30 | 300 | 100 | - | |
| 7b | p-NO2 | 100 | - | - | - | |
| 7c | m-NO2 | 100 | - | 100 | - | |
| 7d | p-C8H10 | - | - | - | - | |
| 7e | o-OCH3 | 100 | - | - | - | |
| 7f | p-OH | 100 | 300 | 100 | - | |
| 7g | p-I | 100 | - | - | - | |
| 7h | p-CH2C6H4OH | 100 | - | - | - | |
| 4a | p-Cl | 30 | 100 | 100 | - | |
| 4b | p-NO2 | 100 | 300 | - | - | |
| 4c | m-NO2 | 30 | 300 | 100 | - | |
| 4d | p-C8H10 | - | - | - | - | |
| 4e | o-OCH3 | 100 | - | - | - | |
| 4f | p-OH | 30 | 300 | 100 | - | |
| 4g | p-I | 100 | - | - | - | |
| 4h | p-CH2C6H4OH | - | - | - | - | |
| Phenytoin | 30 | 100 | - | - | ||
| Carbamazepine | 30 | 100 | 100 | - | ||
*Dose in mg/kg at which the biological activity was observed in animals (n=4). (-ve) sign indicates absence of protection from convulsion at the maximum dose administered i. e. 300 mg/kg.
Neurotoxicity studies
Eight out of forty compounds exhibited neurotoxicity at a maximum dose of 300 mg/kg, as shown in table 4. Neurotoxicity was not demonstrated at a dose of 100 mg/kg. Compounds 3d, 3h, and 4a exhibited extended neurotoxicity for up to 4 h, as determined through the rotarod test. Fifty percent of the compounds showed no neurotoxicity at a maximum dose level of 300 mg/kg. The reason for this might be no binding or less binding of these compounds to neurons, key cells that transmit and process signals in the brain and other parts of the nervous system [12].
Table 4: Minimal neurotoxicity studies of the synthesized compounds
Compound code |
R’ | *Neurotoxicity dose (mg/kg) | ||
| 0.5 h | 4 h | |||
| 3a | (C6H5)2N- | - | - | |
| 3b | (C6H5)2N- | - | - | |
| 3d | (C6H5)2N- | 300 | 300 | |
| 3e | (C6H5)2N- | - | - | |
| 3f | (C6H5)2N- | - | - | |
| 3g | (C6H5)2N- | - | - | |
| 3h | (C6H5)2N- | 300 | 300 | |
| 5a | (C2H5)2N- | - | - | |
| 5b | (C2H5)2N- | - | - | |
| 5f | (C2H5)2N- | - | - | |
| 5g | (C2H5)2N- | - | - | |
| 6a | ![]() |
- | ||
| 6b | - | - | ||
| 6e | - | - | ||
| 6f | - | - | ||
| 6g | 300 | - | ||
| 7a | - | - | ||
| 7c | 300 | - | ||
| 7e | - | - | ||
| 7g | 300 | - | ||
| 4a | 300 | 300 | ||
| 4b | 300 | - | ||
| 4c | 300 | - | ||
| 4f | - | - | ||
| 4g | - | - | ||
| Phenytoin | 100 | 100 | ||
| Carbamazepine | 100 | 300 |
*Dose in mg/kg at which the neurotoxicity was observed in animals (n=4). (-ve) sign indicates the absence of neurotoxicity at the maximum dose administered i. e. 300 mg/kg
Behavioral study
Actophotometer scoring technique was used in the behavioral study. All the synthesized compounds decreased locomotor activity ranging between 20% and 58% (table 5). The standard drug chlorpromazine showed a 70% decrease in activity. After 30 min, all compounds depicted significant reduction in locomotor activity (p<0.05). Moreover, all the compounds except except 6g and 7e depicted a significant reduction in locomotor activity (p<0.001) after 45 min of administration of the test compound. 7f was the least potent compound in the prepared series, while 5a and 5g were the most potent. Results clearly demonstrated that nearly all the compounds decreased locomotor activity. In a particular series, methoxy-substituted compounds (at the phenyl ring) exhibited improved activity. All the compounds showed better activity at 45 min, which might be due to the increased level of administered compound in the biological system [13].
MD simulation
To determine the structural stability of the docked ligand with the target protein and to provide a dynamic view of the ligand-protein interaction, compound 4c, which exhibited good docking and in vitro and in vivo activity, was subjected to MD simulation. From the MD trajectory of 50 ns simulated protein-ligand complex, it was emphasized that the RMSD of protein Cα atoms achieved equilibrium after 30 ns and stabilized until 50 ns with an RMSD range of 2.5 to 3.0 Å with the fluctuation ranging from 3.0 to 4.5 (fig. 5A). The ligand RMSD values observed remain lesser than the RMSD of the protein (Cα). The RMSD during MD for the compound was found to be within an acceptable range(i. e., 0–3Å) with some deviation and maintained equilibrium until the end of dynamics [44]. The RMSF fig. shows the residue-wise fluctuations in the amino acid residues (fig. 5B). The RMSF plot showed major fluctuations in the range of 1.3 to 4.8 Å, and the least residue fluctuation in 0.6 to 1.8 Å range. Most amino acid residue interaction took place with the values of side chains of the complex were calculated, which was found below 3.0 Å. The peaks indicate the areas of the protein that fluctuated the most over the simulation run. MD analysis confirms the stable complex formation of ligands with the protein and is thermodynamically favorable [45].
Protein-ligand contacts: Protein interactions with the ligand can be monitored throughout the simulation. These interactions can be categorized by type and summarized, as shown in the plot (fig. 5C). Protein-ligand interactions (or 'contacts') are categorized into four types: hydrogen bonds, hydrophobic interactions, ionic interactions and water bridges. Arg 100, Ala 134, Cys 135, Met332 Asn 352, Leu 355, and Gly 356 are amino acid residues engaged in hydrogen bond interactions with compounds, and other hydrophobic interacting residues include Trp354 and Lys 360, depicted in fig. 5C.
Table 5: Locomotor activity studies of the synthesized compounds
| Meantime (sec)±SD | |||||
| Before treatment | After treatment | ||||
| 30 min | % Change in locomotor activity | 45 min | % Change in locomotor activity | ||
| 3a | 464.72±0.32 | 265.29±0.87** | 43 | 243.76±0.34**** | 48 |
| 3b | 475.36±0.52 | 365.54±1.19**** | 23 | 265.54±0.94**** | 44 |
| 3d | 455.26±0.62 | 301.23±0.58*** | 34 | 244.13±0.45**** | 46 |
| 3e | 576.65±1.22 | 296.45±0.69*** | 48 | 265.23±1.45**** | 54 |
| 3f | 486.82±0.54 | 411.45±1.54**** | 15 | 284.44±1.98**** | 42 |
| 3g | 550.64±0.80 | 299.76±0.90**** | 46 | 273.10±0.43**** | 50 |
| 5a | 377.87±1.25 | 345.54±2.40**** | 9 | 176.64±0.67**** | 58 |
| 5b | 450.65±1.26 | 276.54±0.89*** | 39 | 298.65±1.99**** | 34 |
| 5f | 470.44±0.92 | 431.34±0.56**** | 8 | 238.23±0.43**** | 49 |
| 5g | 378.55±0.93 | 265.68±0.34* | 30 | 158.43±0.56**** | 58 |
| 6a | 460.65±0.96 | 375.23±0.14**** | 19 | 257.43±0.54**** | 44 |
| 6b | 378.22±0.63 | 345.15±0.67**** | 9 | 217.34±0.54**** | 43 |
| 6e | 389.32±0.67 | 354.38±0.98**** | 9 | 198.12±0.33**** | 54 |
| 6f | 381.45±2.70 | 343.40±0.29**** | 10 | 240.24±0.44**** | 37 |
| 6g | 352.32±0.48 | 309.46±0.18*** | 12 | 169.34±1.54ns | 52 |
| 7a | 389.26±0.45 | 354.10±0.39**** | 9 | 254.39±0.54**** | 35 |
| 7c | 289.11±0.38 | 265.20±0.40* | 8 | 199.83±0.54**** | 31 |
| 7e | 380.46±0.56 | 356.38±0.48**** | 6 | 165.00±0.76ns | 57 |
| 7g | 376.69±1.67 | 301.29±0.39*** | 20 | 244.45±0.92**** | 35 |
| 4a | 494.56±0.78 | 417.19±0.49**** | 15 | 283.72±0.71**** | 42 |
| 4b | 389.10±0.45 | 329.38±0.93**** | 15 | 192.00±0.62**** | 51 |
| 4c | 495.56±0.65 | 457.83±0.73**** | 8 | 232.93±0.02**** | 53 |
| 4d | 478.35±0.66 | 438.84±0.65**** | 8 | 294.54±0.75**** | 38 |
| 4f | 531.45±0.33 | 465.43±0.31**** | 12 | 265.13±0.76**** | 50 |
| 4g | 456.45±0.62 | 416.31±0.43**** | 9 | 293.15±0.75**** | 36 |
| Chlorpromazine | 549.40±1.02 | 254.12±2.42 | 54 | 165.10±0.31 | 70 |
Value represents mean± SD, n=4. *indicates p<0.05, **indicates p<0.01, ***indicates p<0.001 and ****indicate p<0.0001 while ‘ns’ indicates no significant variation

Fig. 5: MD analysis of protein-ligand complex for 50ns with A) RMSD plot, B) RMS fluctuation, C) Protein-ligand contact histogram showing hydrogen bond interactions, hydrophobic interactions, ionic contacts and water bridges observed during MD, D) 2D pose of ligand binding interactions in the active pocket of4-amino butyric acid (PDB ID: 1OHV)
The experiments carried out with the developed triazole compounds demonstrated that the compound with aryl substitution offered proven anticonvulsant effects. However, their limited duration of action (less than 4 h) may limit their utility in clinical application. The compounds with maximum docking scores were not the lead compound offering beneficial effects. The experimental design can also be considered limited in scope as the effectiveness as well as toxicity was measured only at three designated dosages. However, the developed compounds offered high lipophilicity to provide better BBB permeability. The information provided indicates that compounds containing triazoles could be a valuable target for pharmaceutical researchers. These novel substances can serve as a model compound for the creation of novel medications.
All the compounds were synthesized according to the synthetic scheme under appropriate experimental conditions and analyzed by elemental analysis, IR, mass, and 1H/13CNMR. From the results of the in silico and biological evaluations, it can be concluded that the substitution with the heterocyclic ring at R’ and the p-substitution in the phenyl ring showed good anticonvulsant activity. Molecular docking was performed for all the synthesized compounds to assess their binding affinities for the GABA-A receptor to rationalize their anticonvulsant activities qualitatively. The MD simulation revealed the structural stability of the GABA-A ligand complex in the solvated environment.
The information provided here indicates that compounds containing triazoles could be a valuable target for pharmaceutical researchers. Among the synthesized compounds, the triazole derivative 3d, 3h and 4a exhibited least neurotoxicity. These compounds may even be considered as potential therapeutic candidates in preclinical and clinical research as effective antiepileptic medications.
The authors are thankful for the support from the SAIF, CDRI Lucknow, India, for providing the analytical facilities to carry out this research work.
Anticonvulsant activities were carried out in the Division of Pharmacology, Department of Pharmaceutical Science, committee registration number 379/01/ab/CPSCEA, Dr. H. S. Gour University, Sagar, India
Not applicable
Rupshee Jain and Sushil K. Kashaw contributed to the writing of the manuscript and the experimental study. Prabitha P. performed the in silico study. Vikas Jain contributed to conceptualization and review, and D V Kohli supervised the research work and finalized the manuscript.
The authors confirm that this article's content has no conflicts of interest.
ReferencesStrine TW, Kobau R, Chapman DP, Thurman DJ, Price P, Balluz LS. Psychological distress comorbidities and health behaviors among U.S. adults with seizures: results from the 2002 National Health Interview Survey. Epilepsia. 2005 Jul;46(7):1133-9. doi: 10.1111/j.1528-1167.2005.01605.x, PMID 16026567.
Ashhar MU, Ahmad MZ, Jain V, Agarwal NB, Ahmad FJ, Jain GK. Intranasal pitavastatin attenuates seizures in different experimental models of epilepsy in mice. Epilepsy Behav. 2017 Oct 1;75:56-9. doi: 10.1016/j.yebeh.2017.07.004, PMID 28826009.
Soares DA Silva P, Pires N, Bonifacio MJ, Loureiro AI, Palma N, Wright LC. Eslicarbazepine acetate for the treatment of focal epilepsy: an update on its proposed mechanisms of action. Pharmacol Res Perspect. 2015 Mar;3(2):e00124. doi: 10.1002/prp2.124, PMID 26038700.
Hanada T. The discovery and development of perampanel for the treatment of epilepsy. Expert Opin Drug Discov. 2014 Apr 1;9(4):449-58. doi: 10.1517/17460441.2014.891580, PMID 24559052.
Large CH, Sokal DM, Nehlig A, Gunthorpe MJ, Sankar R, Crean CS. The spectrum of anticonvulsant efficacy of retigabine (ezogabine) in animal models: implications for clinical use. Epilepsia. 2012 Mar;53(3):425-36. doi: 10.1111/j.1528-1167.2011.03364.x, PMID 22221318.
Kamboj VK, Verma PK, Dhanda A, Ranjan S. 1,2,4-triazole derivatives as a potential scaffold for anticonvulsant activity. Cent Nerv Syst Agents Med Chem. 2015 Apr 1;15(1):17-22. doi: 10.2174/1871524915666150209100533, PMID 25675400.
Ben Menachem E. Medical management of refractory epilepsy practical treatment with novel antiepileptic drugs. Epilepsia. 2014 Jan;55 Suppl 1:3-8. doi: 10.1111/epi.12494, PMID 24400690.
Luszczki JJ, Plech T, Wujec M. Effect of 4-(4-bromophenyl)-5-(3-chlorophenyl)-2,4-dihydro-3H-1,2,4-triazole-3-thione on the anticonvulsant action of different classical antiepileptic drugs in the mouse maximal electroshock induced seizure model. Eur J Pharmacol. 2012 Sep 5;690(1-3):99-106. doi: 10.1016/j.ejphar.2012.06.023, PMID 22732650.
Loring DW, Meador KJ. Cognitive side effects of antiepileptic drugs in children. Neurology. 2004 Mar 23;62(6):872-7. doi: 10.1212/01.wnl.0000115653.82763.07, PMID 15037684.
Chen B, Choi H, Hirsch LJ, Katz A, Legge A, Buchsbaum R. Psychiatric and behavioral side effects of antiepileptic drugs in adults with epilepsy. Epilepsy Behav. 2017 Nov 1;76:24-31. doi: 10.1016/j.yebeh.2017.08.039, PMID 28931473.
Deka D, Chakravarty PI, Purkayastha AY. Evaluation of the anticonvulsant effect of aqueous extract of Centella asiatica in albino mice. Int J Pharm Pharm Sci. 2017;9(2):312-4. doi: 10.22159/ijpps.2017v9i2.15483.
Karakucuk Iyidogan A, Basaran E, Tatar Yilmaz G, Oruc Emre EE. Development of new chiral 1,2,4-triazole-3-thiones and 1,3,4-thiadiazoles with promising in vivo anticonvulsant activity targeting GABAergic system and voltage-gated sodium channels (VGSCs). Bioorg Chem. 2024 Oct 1;151:107662. doi: 10.1016/j.bioorg.2024.107662, PMID 39079390.
Rani S, Teotia S, Nain S. Recent advancements and biological activities of triazole derivatives: a short review. Pharm Chem J. 2024 Apr 15;57(12):1909-17. doi: 10.1007/s11094-024-03096-z.
Mula M. GABAergic drugs in the treatment of epilepsy: modern or outmoded? Future Med Chem. 2011 Feb;3(2):177-82. doi: 10.4155/fmc.10.296, PMID 21428812.
Froestl W. An historical perspective on GABAergic drugs. Future Med Chem. 2011 Feb;3(2):163-75. doi: 10.4155/fmc.10.285, PMID 21428811.
Plech T, Luszczki JJ, Wujec M, Flieger J, Pizon M. Synthesis characterization and preliminary anticonvulsant evaluation of some 4-alkyl-1,2,4-triazoles. Eur J Med Chem. 2013 Feb 1;60:208-15. doi: 10.1016/j.ejmech.2012.11.026, PMID 23291122.
Chen J, Sun XY, Chai KY, Lee JS, Song MS, Quan ZS. Synthesis and anticonvulsant evaluation of 4-(4-alkoxylphenyl)-3-ethyl-4H-1,2,4-triazoles as open chain analogues of 7-alkoxyl-4,5-dihydro[1,2,4]triazolo[4,3-a]quinolines. Bioorg Med Chem. 2007 Nov 1;15(21):6775-81. doi: 10.1016/j.bmc.2007.08.004, PMID 17761423.
Matin MM, Matin P, Rahman MR, Ben Hadda T, Almalki FA, Mahmud S. Triazoles and their derivatives: chemistry synthesis and therapeutic applications. Front Mol Biosci. 2022 Apr 25;9:864286. doi: 10.3389/fmolb.2022.864286, PMID 35547394, PMCID PMC9081720.
Zhang Y, Wang M, Ahmed M, HE L, JI M, QI Z. Synthesis fungicidal activity and SAR of 3,4-dichloroisothiazole based cycloalkyl sulfonamides. Bioorg Med Chem Lett. 2019 Jun 1;29(11):1345-9. doi: 10.1016/j.bmcl.2019.03.047, PMID 30956010.
Zhang Y, Wang M, Ahmed M, He L, JI M, QI Z. Synthesis fungicidal activity and SAR of 3,4-dichloroisothiazolebased cycloalkylsulfonamides. Bioorg Med Chem Lett. 2019;29(11):1345-49. doi: 10.1016/j.bmcl.2019.03.047, PMID 30956010.
Shalini K, Kumar N, Drabu S, Sharma PK. Advances in synthetic approach to and antifungal activity of triazoles. Beilstein J Org Chem. 2011 May 25;7(1):668-77. doi: 10.3762/bjoc.7.79, PMID 21804864.
Salma U, Ahmad S, Zafer Alam MZ, Khan SA. A review: synthetic approaches and biological applications of triazole derivatives. J Mol Struct. 2024;1301:137240. doi: 10.1016/j.molstruc.2023.137240.
Shivarama Holla BS, Veerendra B, Shivananda MK, Poojary B. Synthesis characterization and anticancer activity studies on some mannich bases derived from 1,2,4-triazoles. Eur J Med Chem. 2003 Jul 1;38(7-8):759-67. doi: 10.1016/s0223-5234(03)00128-4, PMID 12932907.
Turan Zitouni G, Sivaci M, Kilic FS, Erol K. Synthesis of some triazolyl-antipyrine derivatives and investigation of analgesic activity. Eur J Med Chem. 2001 Aug 1;36(7-8):685-9. doi: 10.1016/s0223-5234(01)01252-1, PMID 11600237.
Bekircan O, Kuxuk M, Kahveci B, Kolayli S. Convenient synthesis of fused heterocyclic 1,3,5-triazines from some N-acyl imidates and heterocyclic amines as anticancer and antioxidant agents. Arch Pharm Int. 2005 Aug;338(8):365-72. doi: 10.1002/ardp.200400964, PMID 16041836.
Wade PC, Vogt BR, Kissick TP, Simpkins LM, Palmer DM, Millonig RC. 1-Acyltriazoles as antiinflammatory agents. J Med Chem. 1982 Mar;25(3):331-3. doi: 10.1021/jm00345a021, PMID 6461764.
Mahdavi M, Akbarzadeh T, Sheibani V, Abbasi M, Firoozpour L, Tabatabai SA. Synthesis of two novel 3-amino-5-[4-chloro-2-phenoxyphenyl]-4H-1,2,4-triazoles with anticonvulsant activity. Iran J Pharm Res. 2010;9(3):265-9. PMID 24363736.
Modzelewska Banachiewicz B, Kalabun J. Synthesis and biological action of 5-oxo-1,2,4-triazine derivatives. Pharmazie. 1999 Jul 1;54(7):503-5. PMID 10445245.
Gupta D, Jain DK. Synthesis antifungal and antibacterial activity of novel 1,2,4-triazole derivatives. J Adv Pharm Technol Res. 2015 Jul 1;6(3):141-6. doi: 10.4103/2231-4040.161515, PMID 26317080.
Gao F, Wang T, Xiao J, Huang G. Antibacterial activity study of 1,2,4-triazole derivatives. Eur J Med Chem. 2019 Jul 1;173:274-81. doi: 10.1016/j.ejmech.2019.04.043, PMID 31009913.
Gulerman N, Rollas S, Kiraz M, Ekinci AC, Vidin A. Evaluation of antimycobacterial and anticonvulsant activities of new 1-(4-fluorobenzoyl)-4-substituted thiosemicarbazide and 5-(4-fluorophenyl)-4-substituted-2,4-dihydro-3H-1,2,4-triazole-3-thione derivatives. Farmaco. 1997 Nov 1;52(11):691-5. PMID 9550096.
Ikizler AA, Johansson CB, Bekircan O, Celik C. Drug synthesis. Acta Poloniae Pharnaceutica–Drug Research. 1999;56(4):283-8.
Shalini M, Yogeeswari P, Sriram D, Stables JP. Cyclization of the semicarbazone template of aryl semicarbazones: synthesis and anticonvulsant activity of 4,5-diphenyl-2H-1,2,4-triazol-3(4H) one. Biomed Pharmacother. 2009 Mar 1;63(3):187-93. doi: 10.1016/j.biopha.2006.04.002, PMID 19422088.
Siddiqui N, Ahsan W. Triazole incorporated thiazoles as a new class of anticonvulsants: design, synthesis and in vivo screening. Eur J Med Chem. 2010 Apr 1;45(4):1536-43. doi: 10.1016/j.ejmech.2009.12.062, PMID 20116140.
Almasirad A, Tabatabai SA, Faizi M, Kebriaeezadeh A, Mehrabi N, Dalvandi A. Synthesis and anticonvulsant activity of new 2-substituted-5- [2-(2-fluorophenoxy)phenyl]-1,3,4-oxadiazoles and 1,2,4-triazoles. Bioorg Med Chem Lett. 2004 Dec 20;14(24):6057-9. doi: 10.1016/j.bmcl.2004.09.072, PMID 15546729.
Vaijanathappa J, Puttaswamygowda J, Bevanhalli R, Dixit S, Prabhakaran P. Molecular docking antiproliferative and anticonvulsant activities of swertiamarin isolated from Enicostemma axillare. Bioorg Chem. 2020 Jan 1;94:103428. doi: 10.1016/j.bioorg.2019.103428, PMID 31740047.
Siddiqui AA, Partap S, Khisal S, Yar MS, Mishra R. Synthesis anti-convulsant activity and molecular docking study of novel thiazole pyridazinone hybrid analogues. Bioorg Chem. 2020 Jun 1;99:103584. doi: 10.1016/j.bioorg.2020.103584, PMID 32229345.
White HS. Experimental selection quantification and evaluation of antiepileptic drugs. Antiepileptic. 1995:99-110.
Singh SP, Pandey BR, Kumar S, Parmar SS. Anticonvulsant activity and inhibition of respiration in rat brain homogenates by substituted trimethoxybenzamides. J Pharm Sci. 1978 Dec;67(12):1682-5. doi: 10.1002/jps.2600671212, PMID 722479.
Srivastava VK, Pandey BR, Gupta RC, Kishor K. New CNS-active 3-methyl-4-substituted methyl delta 2-isoxazolin-5-ones. Pharmazie. 1979 Oct 1;34(10):638-9. PMID 542475.
Mandhane SN, Aavula K, Rajamannar T. Timed pentylenetetrazol infusion test: a comparative analysis with S.C.PTZ and MES models of anticonvulsant screening in mice. Seizure. 2007 Oct 1;16(7):636-44. doi: 10.1016/j.seizure.2007.05.005, PMID 17570689.
Dandiya PC, Cullumbine H. Studies on acorus calamus (III); some pharmacological actions of the volatile oil. J Pharmacol Exp Ther. 1959 Apr 1;125(4):353-9. PMID 13642279.
Shannon HE, Eberle EL, Peters SC. Comparison of the effects of anticonvulsant drugs with diverse mechanisms of action in the formalin test in rats. Neuropharmacology. 2005 Jun 1;48(7):1012-20. doi: 10.1016/j.neuropharm.2005.01.013, PMID 15857628.
Lokhande KB, Ballav S, Yadav RS, Swamy KV, Basu S. Probing intermolecular interactions and binding stability of kaempferol quercetin and resveratrol derivatives with PPAR-γ: docking molecular dynamics and MM/GBSA approach to reveal potent PPAR- γ agonist against cancer. J Biomol Struct Dyn. 2022 Feb 2;40(3):971-81. doi: 10.1080/07391102.2020.1820380, PMID 32954977.
Sravanthi B, Himavathi G, Robert AR, Karunakar P, Kiran KS, Maddila S. Design synthesis computational molecular docking studies of novel heterocyclics bearing 1, 2, 4–triazole, 1,3,4-oxadiazole conjugates as potent antibacterial and antitubercular agents. J Biomol Struct Dyn. 2024 Jul;42(10):5376-89. doi: 10.1080/07391102.2023.2226743.
Song M, Zhao W, Zhu Y, Liu W, Deng X, Huang Y. Design synthesis and evaluation of anticonvulsant activities of new triazolopyrimidine derivatives. Front Chem. 2022;10:925281. doi: 10.3389/fchem.2022.925281, PMID 35815216.
Akbarzadeh T, Tabatabai SA, Khoshnoud MJ, Shafaghi B, Shafiee A. Design and synthesis of 4H-3-(2-phenoxy)phenyl-1,2,4-triazole derivatives as benzodiazepine receptor agonists. Bioorg Med Chem. 2003 Mar 6;11(5):769-73. doi: 10.1016/s0968-0896(02)00469-8, PMID 12538007.
Lipinski CA. Lead and drug like compounds: the rule of five revolution. Drug Discov Today Technol. 2004 Dec 1;1(4):337-41. doi: 10.1016/j.ddtec.2004.11.007, PMID 24981612.
Song MX, Deng XQ. Recent developments on triazole nucleus in anticonvulsant compounds: a review. J Enzyme Inhib Med Chem. 2018 Jan 1;33(1):453-78. doi: 10.1080/14756366.2017.1423068, PMID 29383949.
Deng XQ, Song MX, Zheng Y, Quan ZS. Design synthesis and evaluation of the antidepressant and anticonvulsant activities of triazole containing quinolinones. Eur J Med Chem. 2014 Feb 12;73:217-24. doi: 10.1016/j.ejmech.2013.12.014, PMID 24412497.