
1Acharya Nagarjuna University College of Pharmaceutical Sciences, Acharya Nagarjuna University, Guntur, Andhra Pradesh, India. 2,3Department of Pharmaceutics, Chebrolu Hanumaiah Institute of Pharmaceutical Sciences, Chowdavaram, Guntur, Andhra Pradesh, India
*Corresponding author: Bala Hemalatha; *Email: balahemalatha25@gmail.com
Received: 20 Aug 2024, Revised and Accepted: 04 Nov 2024
ABSTRACT
Objective: The main aim of the present study was to improve the solubility and rate of dissolution of azelnidipine and thereby increase oral bioavailability. Azelnidipine is a calcium channel blocker that lowers blood pressure by relaxing blood vessels and relieving pressure on them. Azelnidipine is a Biopharmaceutics Classification System (BCS) class II drug with low bioavailability.
Methods: The present study involves the preparation and evaluation of solid dispersion of azelnidipine by physical mixing, fusion and solvent evaporation method using polyethylene glycol 6000 (PEG 6000) as a carrier. The prepared solid dispersions were evaluated for various parameters like angle of repose, carr’s index, particle size, drug content, Scanning Electron Microscopy (SEM) analysis, Differential Scanning Calorimetry (DSC), X-ray diffraction (XRD) and in vitro dissolution studies. As part of the project, Microcrystalline Cellulose-Polyethylene Glycol (MCC-PEG) Conjugate, a novel superdisintegrant, was developed.
Results: Solid dispersions prepared by fusion (AF 6) in a drug-to-polymer ratio of 1:3 released 99.40% of the drug more quickly than pure drug and other dispersions. The optimized solid dispersion (AF6) was used to prepare fast-dissolving tablets of azelnidipine. In comparison to commercially available and alternative tablet formulations, the study suggests that azelnidipine tablets (AT 13), made with 5% microcrystalline cellulose-polyethylene glycol conjugate as a super disintegrant, exhibited rapid drug release of 99.92% in 15 min. The drug was released in the following order: MCC-PEG Conjugate>Crospovidone>Croscarmellose sodium>Sodium starch glycolate in all tablet preparations containing super disintegrants.
Conclusion: It can be inferred that MCC-PEG conjugate is an efficient super disintegrant by comparing its results with those of available commercial super disintegrants and caused the drug azelnidipine to release rapidly from fast-dissolving tablets.
Keywords: Azelnidipine, PEG 6000, Microcrystalline cellulose-polyethylene glycol (MCC-PEG) conjugate, Crospovidone, Croscarmellose sodium, Sodium starch glycolate, Fast dissolving tablets
© 2025 The Authors. Published by Innovare Academic Sciences Pvt Ltd. This is an open access article under the CC BY license (https://creativecommons.org/licenses/by/4.0/)
DOI: https://dx.doi.org/10.22159/ijap.2025v17i1.52398 Journal homepage: https://innovareacademics.in/journals/index.php/ijap
The main causes of insufficient drug absorption from the gastrointestinal (GI) tract are either poor membrane permeability or poor water solubility of the drug molecule. An oral active material cannot cross the membranes of the gastrointestinal tract and enter the bloodstream until it has dissolved in the stomach and/or intestines [1]. Therefore, a drug with low membrane permeability will usually show limited absorption by permeation rate, whereas a medicine with poor water solubility will typically show restricted absorption by dissolving rate. Thus, two areas of pharmaceutical research that focus on maximizing the oral bioavailability of active agents are increasing the permeability of drugs that are not sufficiently permeable and improving the solubility and rate of dissolution of medications that are not sufficiently water-soluble [1, 2]. Therefore, by enhancing their dissolving properties, a solid dispersion method is used to improve the oral bioavailability of weakly water-soluble medications. The purpose of the current study is to improve the solubility and bioavailability of azelnidipine by increasing its dissolution rate through the formation of a solid dispersion form.
By relaxing blood vessels and lowering the pressure on them, the calcium channel blocker azelnidipine lowers blood pressure and facilitates the heart's ability to pump more blood throughout the body. It is, therefore, used to treat hypertension [3]. It is an off-white to white powder that dissolves readily in acetone and acetic acid and is slightly soluble in water, slightly soluble in methanol, soluble in ethanol, ethyl acetate and freely soluble in acetone and acetic acid. Azelnidipine's poor aqueous solubility and hepatic first-pass metabolism result in a low oral bioavailability of 22.1%. Azelnidipine tablets 8 mg taken orally have a plasma half-life of approximately 8.68 h and a peak plasma concentration of 3.7 h after the initial dose.
Based on the physicochemical and biological properties mentioned earlier, azelnidipine was selected to improve its solubility and dissolution rate in solid dispersion formulations.
Azelnidipine, a calcium channel blocker, is used to treat hypertension. Its therapeutic efficacy is limited due to its low aqueous solubility and subsequent poor oral bioavailability. To enhance drug absorption and improve patient outcomes, strategies aimed at increasing the dissolution rate of azelnidipine are essential. Solid dispersion techniques, which involve dispersing a poorly soluble drug within a hydrophilic carrier, have been explored to address this challenge.
This study aimed to enhance the solubility and dissolution rate of azelnidipine through the formulation of solid dispersions using polyethylene glycol 6000 (PEG 6000) as a carrier. Additionally, a novel superdisintegrant, microcrystalline cellulose-polyethylene glycol (MCC-PEG) conjugate was developed and incorporated into fast-dissolving tablets to further improve drug release and bioavailability.
Laksh Finechem Private Limited, Anand, Gujarat, provided a gift sample of azelnidipine, while Loba Chemicals Laboratories Reagent Chemicals, Mumbai, was the source of sodium starch glycolate, microcrystalline cellulose, and sodium saccharin. Polyethylene glycol 200, mannitol, crospovidone, croscarmellose sodium, and talc were acquired from Sisco Research Laboratories located in Maharashtra. High-Pure Fine Chem., Chennai provided the ethanol, while SD Fine Chemicals Ltd., Mumbai supplied the polyethylene glycol 6000, potassium dihydrogen phosphate, sodium hydroxide, and magnesium stearate. Every component met pharmacopoeial quality standards.
Saturated solubility studies
Once azelnidipine had been weighed, 100 mg was added to several conical flasks. 50 ml of each different dissolving medium were added to individual conical flasks, which were then tightly sealed. Every conical flask was placed inside the KEMI orbital shaker incubator [2]. The shaker was operated at 50 rpm for 24 h at 37 °C±1 °C. After removing the conical flasks from the incubator shaker, the samples were filtered using Whatman filter paper. The absorbance values at 257 nm were recorded using corresponding dissolution media as blank solutions after the clear solution produced by filtering was suitably diluted with a suitable dissolution medium.
Preparation of solid dispersions
Three different techniques were used to incorporate the poorly soluble drug azelnidipine into the polymer PEG 6000: (1) physical mixing; (2) fusion; and (3) solvent evaporation.
Physical mixing method
The drug and polyethylene glycol-6000 samples were weighed separately and passed through screen number 80. After being sorted through sieve No. 80, the materials were placed in a clean, dry glass mortar. After triturating PEG-6000 and azelnidipine together, sieve No. 100 was used to screen the mixture one more. The blend that cleared sieve number 100 was gathered, packed, and sealed into a glass container with a wide mouth that was colored amber [4-6].
Fusion method
A specified amount of PEG-6000 was placed in a china dish, and it was heated on a mantle until a molten mass was created. A prescribed amount of medication was added to the molten material and forcefully triturated at room temperature. The resulting mixture was carefully triturated in a glass mortar before being screened through sieve No. 100. The mixture was then gathered, placed in a glass container with a wide opening that was amber in color, and hermetically sealed [7-9].
Solvent evaporation method
A fixed quantity of the medication was put in a china dish and dissolved in a small amount of ethanol to create a clear solution. Then, the carrier was added to the clear solution to create a thick slurry, which was then transferred to a petri plate, where the material was dried and the solvent was allowed to evaporate [10, 11]. The resulting mixture was then carefully triturated in a glass mortar and screened through sieve No. 100. The mixture was then collected, put in a wide-mouthed glass container that was amber in color, sealed hermetically, and the powder was stored in an airtight container (a desiccator) for further experiments [12].
Table 1: Composition of various azelnidipine solid dispersions
| Method | Solid dispersion code | Composition | Ratio (Drug*: carrier) |
| Physical mixing method | AP1 | A+PEG-6000 | 1:1 |
| AP2 | A+PEG-6000 | 1:2 | |
| AP3 | A+PEG-6000 | 1:3 | |
| Fusion method | AF4 | A+PEG-6000 | 1:1 |
| AF5 | A+PEG-6000 | 1:2 | |
| AF6 | A+PEG-6000 | 1:3 | |
| Solvent evaporation method | AS7 | A+PEG-6000 | 1:1 |
| AS8 | A+PEG-6000 | 1:2 | |
| AS9 | A+PEG-6000 | 1:3 |
A–Azelnidipine (*one part = 16 mg)
Characterization and evaluation of solid dispersions
Particle size and flow properties, including the angle of repose and Carr's index, were measured and used to characterize the solid dispersions created with various methods [13]. SEM, DSC, and XRD analyses were used to evaluate the surface characteristics, drug-excipient interactions and crystal shape of optimized solid dispersions, respectively.
Estimation of azelnidipine in solid dispersions
Azelnidipine dispersions of a batch that were chosen at random were placed into a 100 ml volumetric flask, to which 70 ml of ethanol was added. The mixture was shaken periodically for half an hour, and then ethanol was added to bring the volume up to 100 ml. The volumetric flask's solution was then removed, and 10 ml of it was centrifuged [14, 15]. The supernatant solution from the centrifuge tube was then removed, collected, and filtered again using Whatman filter paper. The filtrate was then diluted with phosphate buffer with a pH of 6.8 and the absorbance was measured at 257 nm.
Dissolution rate studies on azelnidipine solid dispersions and azelnidipine tablets
Dissolution tests on solid dispersions and azelnidipine tablets were conducted in a calibrated 8-station dissolution test apparatus (LAB INDIA) with paddles (USP apparatus II method) [16, 17]. A 6.8 pH phosphate buffer in 900 ml was the medium used. The temperature was maintained at 37±1 °C throughout the experiment, and the paddles rotated at fifty rotations per minute. Five milliliter samples were taken out of the experiment up to ninety minutes after they had dissolved, and they were replaced with an equal volume of the same dissolving medium to keep the volume constant [18]. Samples taken at different times were properly diluted with the same dissolution media before the amount of drug dissolved was measured at 257 nm using a LAB INDIA double-beam Ultra-Violet (UV) spectrophotometer.
Synthesis of microcrystalline cellulose (MCC)–polyethylene glycol (PEG) conjugate
Because PEG tends to increase water intake and microcrystalline cellulose (MCC) is widely used as a disintegrant, MCC was PEGylated in the current study. Polyethylene Glycol (PEG) and Microcrystalline Cellulose (MCC) conjugates were used to make azelnidipine tablets. Microcrystalline cellulose (MCC) was heated with polyethylene glycol (PEG) 200 while a catalyst was present to create the PEGylated conjugate of microcrystalline cellulose [19].
Preparation of microcrystalline cellulose (MCC)–polyethylene glycol (PEG) conjugate
Step 1
A glass reactor was filled with 8 g of polyethylene glycol 200 (PEG 200), equivalent moles of strong hydrochloric acid, and a small amount of zinc chloride as a catalyst. The mixture was heated for two hours in a water bath set at 70 °C. The amount of PEG 200 in the reactor is half that of the microcrystalline cellulose.
Step 2
Preparation of 30% w/v aqueous sodium hydroxide solution
A solution of 100 ml was obtained by adding 30 g of sodium hydroxide to 100 ml of water and thoroughly stirring.
Step 3
A 30% w/v aqueous sodium hydroxide solution was applied to 16 g of microcrystalline cellulose separately, and the cellulose was left to swell for an entire night to reach its maximum size.
Step 4
The products of stages one and three were gradually mixed for ten hours at a constant temperature of seventy degrees Celsius using a magnetic stirrer assembly equipped with a heater. The resulting product was added to 100 cc of hot water that was maintained at 70 °C. Then, glacial acetic acid solution was used to neutralize it to pH 7. After that, a pH 7 neutralizing solution made of glacial acetic acid was applied. To eliminate any excess acid, the product was thoroughly cleaned in hot water (70 °C). Lastly, the product was dried for two hours at 80 °C in an oven.
Preparation of azelnidipine tablets with solid dispersions
The optimized dispersion (AF 6) was selected for additional tablet production based on the findings of the dissolution studies that were carried out and among the solid dispersions that were produced [20, 21]. After employing the fusion procedure (AF 6) to create a solid dispersion with a drug-to-polymer ratio of 1:3, the mixture was further compressed into tablets. The tablets were made by the direct compression process. The ratio of the drug to polymer did not change even when the super disintegrant concentration changed. Maintaining consistent weights throughout all tablet formulations was made possible by the use of microcrystalline cellulose as diluents [22]. The medication was passed through sieve #60 together with the super disintegrant, sweetener, and diluent. In a plastic bag, the previously mentioned ingredients were thoroughly mixed. The initial mixture was passed through mesh #60 and then added to a polybag along with talc and magnesium stearate. The powder mixture was compressed into tablets using a 10-station rotary punch tableting apparatus and 8 mm circular punches. The ingredients of various tablet formulations are listed in table 2.
Estimation of physical parameters of azelnidipine tablets
The prepared tablets were assessed for physical characteristics, including weight uniformity, hardness, friability, wetting time, dispersion time, drug content and in vitro dissolution by Indian Pharmacopoeial standards [23, 24].
The saturated solubility study results showed that the medium in which azelnidipine dissolved the easiest was a 6.8 pH phosphate buffer. Phosphate buffer with a pH of 6.8 was, therefore, selected as the dissolving medium for further investigation. A UV spectrophotometer was used to measure the drug concentration in the dissolution medium at 257 nm. Solid dispersions were produced by adding poorly soluble azelnidipine to PEG 6000 by the composition given in table 1 through physical mixing, fusion, and solvent evaporation techniques.
Table 2: Formulation of azelnidipine fast-dissolving tablets
| Ingredients | AT1 (mg) |
AT2 (mg) |
AT3 (mg) |
AT4 (mg) |
AT5 (mg) |
AT6 (mg) |
AT7 (mg) |
AT8 (mg) |
AT 9 (mg) |
AT10 (mg) |
AT11 (mg) |
AT12 (mg) |
AT13 (mg) |
| Azelnidipine solid dispersion (1:3) | 64 | 64 | 64 | 64 | 64 | 64 | 64 | 64 | 64 | 64 | 64 | 64 | 64 |
| Sodium starch glycolate | --- | 1.88 | 3.75 | 7.5 | --- | --- | --- | --- | --- | --- | --- | --- | --- |
| Croscarmellose sodium | --- | --- | --- | --- | 1.88 | 3.75 | 7.5 | --- | --- | --- | --- | --- | --- |
| Crospovidone | --- | --- | --- | --- | --- | --- | --- | 1.88 | 3.75 | 7.5 | --- | --- | --- |
| Conjugate (MCC-PEG) | --- | --- | --- | --- | --- | --- | --- | --- | --- | --- | 1.88 | 3.75 | 7.5 |
| Sodium saccharin | 1.5 | 1.5 | 1.5 | 1.5 | 1.5 | 1.5 | 1.5 | 1.5 | 1.5 | 1.5 | 1.5 | 1.5 | 1.5 |
| Mannitol | 22.5 | 22.5 | 22.5 | 22.5 | 22.5 | 22.5 | 22.5 | 22.5 | 22.5 | 22.5 | 22.5 | 22.5 | 22.5 |
| Microcrystalline cellulose PH-101 | 60.5 | 60.13 | 56.75 | 53 | 60.13 | 56.75 | 53 | 60.13 | 56.75 | 53 | 60.13 | 56.75 | 53 |
| Talc | 0.75 | 0.75 | 0.75 | 0.75 | 0.75 | 0.75 | 0.75 | 0.75 | 0.75 | 0.75 | 0.75 | 0.75 | 0.75 |
| Magnesium Stearate | 0.75 | 0.75 | 0.75 | 0.75 | 0.75 | 0.75 | 0.75 | 0.75 | 0.75 | 0.75 | 0.75 | 0.75 | 0.75 |
| Total Weight | 150 | 150 | 150 | 150 | 150 | 150 | 150 | 150 | 150 | 150 | 150 | 150 | 150 |
Table 3: Physical parameters of azelnidipine solid dispersions
| Solid dispersion | Angle of repose (°) | Carr’s index (%) | Particle size (µm) | Drug content (%) |
| AZD (Pure drug) | 27.21±0.28 | 19.33±0.34 | 154±2 | 100±0.2 |
| AP1 | 26.77±0.25 | 15.63±0.32 | 149±2 | 98.41±0.3 |
| AP2 | 25.49±0.46 | 15.23±0.16 | 147±3 | 99.12±0.5 |
| AP3 | 23.95±0.32 | 15.01±0.24 | 145±3 | 99.43±0.4 |
| AF4 | 24.67±0.43 | 14.23±0.13 | 148±2 | 98.39±0.6 |
| AF5 | 23.99±0.12 | 14.11±0.23 | 147±2 | 98.45±0.4 |
| AF6 | 23.56±0.32 | 13.62±0.16 | 147±3 | 99.42±0.3 |
| AS7 | 22.31±0.34 | 14.03±0.24 | 148±3 | 98.34±0.5 |
| AS8 | 21.98±0.36 | 13.67±0.34 | 147±3 | 99.49±0.7 |
| AS9 | 21.52±0.27 | 13.51±0.30 | 145±2 | 99.52±0.6 |
Data are given as mean±SD, n=3.

Fig. 1: SEM photograph of pure azelnidipine
Every dispersion was manufactured under the same circumstances in order to avoid variations between batches. The dispersions were found to be uniform in terms of characteristics. A range of 145 to 149 μm was observed in all the solid dispersions. According to the angle of repose and Carr's index values (table 3), every prepared dispersion had good and free-flowing characteristics. Based on table 2, the estimated drug content of the solid dispersion varied between 98.34% and 99.52%. The SEM photomicrograph showed the amorphous form of the solid dispersions of azelnidipine that were produced by fusion. A solid dispersion created by the fusion process was shown to be low-density, friable, and highly porous by an SEM photomicrograph. SEM photomicrographs of azelnidipine in its pure form and in its solid dispersion (AF 6), respectively, are shown in fig. 1 and 2.

Fig. 2: SEM photograph of azelnidipine solid dispersion (AF 6)
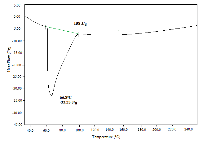
The thermogram of azelnidipine DSC exhibits a distinct peak at 123.6 °C. The melting point endotherm of polyethylene glycol-6000 is in the range of 66.8 °C. Azelnidipine solid dispersion's DSC thermogram (AF 6) showed an endothermic peak at 120.7 °C. The spectra revealed a slight shift in the melting isotherm, which could have been brought on by a partial crystallinity change. It appears that there was no interaction between the drug and the polymer after it was incorporated into the latter. The DSC thermograms of pure azelnidipine, polyethylene glycol-6000 and solid dispersion of azelnidipine (AF6) are shown in fig. 3 to 5. The DSC thermogram of the solid azelnidipine dispersion shows the formation of the drug-carrier complex.

Fig. 3: DSC thermogram of pure azelnidipine
The PXRD patterns of azelnidipine and its solid dispersion (AF 6) were traced using an X-ray diffractometer (Bruker AXS). The diffraction pattern shows multiple distinct peaks at a diffraction angle of 2ɵ throughout the scan range, indicating the highly crystalline form of the pure medication azelnidipine. The PXRD pattern of solid dispersions of azelnidipine shows a notable decrease in crystallinity because there are no sharp, distinct peaks. The PXRD of the azelnidipine solid dispersions (AF 6) thus demonstrated the amorphous form of the drug complexed in the carrier polyethylene glycol-6000 fig. 5 represents the amorphous nature of the solid dispersion by a slight shift in the melting endothermic peak of solid dispersion of azelnidipine at 120.7 °C when compared with the pure drug at 123.6 °C. Boghra RJ et al. further confirmed conversion of crystalline form of Irbesartan to amorphous form in solid dispersion [25].

Fig. 4: DSC thermogram of pure PEG-6000

Fig. 5: DSC thermogram of azelnidipine solid dispersion (AF6)

Fig. 6: PXRD Pattern of azelnidipine, azelnidipine solid dispersion (AF 6)
The paddle method was employed to investigate the dissolution of azelnidipine in both its pure drug form and in solid dispersions in a 6.8 pH phosphate buffer. It was found that all solid dispersions dissolved more quickly when compared to the drug's pure form, azelnidipine. The drug release kinetics of each dispersion adhered to the first-order law. With a drug-to-polymer ratio of 1:3, formulation AF 6 prepared by the fusion method released the drug more quickly than other solid dispersions made by physical mixing and solvent evaporation. It has been observed that as the polymer content increases, so does drug release.
Table 4: Physical parameters of azelnidipine fast-dissolving tablets
| Formulation | Weight uniformity (mg) | Hardness (Kg/cm2) | Friability (%) |
Wetting time (sec) | Dispersion time (Sec) | Drug content (mg/tablet) |
| AT 1 | 149±3.0 | 3.4±0.26 | 0.32 | 80±0.52 | 177±0.56 | 15.78±0.55 |
| AT 2 | 148±2.0 | 3.5±0.19 | 0.24 | 69±0.57 | 82±0.23 | 15.67±0.57 |
| AT 3 | 150±2.0 | 3.4±0.36 | 0.26 | 62±1.21 | 69±0.32 | 15.52±0.19 |
| AT 4 | 150±2.0 | 3.3±0.14 | 0.29 | 59±0.62 | 61±0.34 | 16.12±0.20 |
| AT 5 | 149±1.0 | 3.4±0.29 | 0.32 | 65±0.58 | 69±0.26 | 16.05±0.23 |
| AT 6 | 148±2.0 | 3.4±0.39 | 0.31 | 56±0.98 | 61±0.46 | 15.95±0.33 |
| AT 7 | 149±3.0 | 3.3±0.45 | 0.36 | 53±1.14 | 56±0.29 | 15.79±0.64 |
| AT 8 | 150±2.0 | 3.5±0.16 | 0.34 | 61±0.65 | 65±0.95 | 15.89±0.37 |
| AT 9 | 150±2.0 | 3.4±0.21 | 0.33 | 51±1.22 | 53±0.36 | 15.78±0.29 |
| AT 10 | 149±3.0 | 3.4±0.28 | 0.32 | 47±0.20 | 51±0.26 | 16.07±0.19 |
| AT 11 | 150±2.0 | 3.5±0.29 | 0.39 | 55±0.47 | 68±0.43 | 16.06±0.21 |
| AT 12 | 151±2.0 | 3.4±0.24 | 0.37 | 47±0.95 | 51±0.19 | 16.09±0.23 |
| AT 13 | 149±1.0 | 3.4±0.27 | 0.36 | 43±1.00 | 45±0.21 | 15.89±0.41 |
Data are given as mean±SD, n=3.

Fig. 7: Dissolution profile of azelnidipine solid dispersions prepared by physical mixing; data are given as mean±SD, n=3. Error bars indicate SD values

Fig. 8: Dissolution profile of azelnidipine solid dispersions prepared by fusion method; data are given as mean±SD, n=3. Error bars indicate SD values

Fig. 9: Dissolution profile of azelnidipine solid dispersions prepared by a solvent evaporation method, data are given as mean±SD, n=3, error bars indicate SD values
Table 5: Dissolution parameters of azelnidipine solid dispersions
| Formulation | T50 (Min) | T90 (Min) | DE20% | First order K (min-1) | First order R2 |
| AZD | >30 | >30 | 64.42 | 0.018 | 0.968 |
| AP1 | 16.25 | >30 | 70.89 | 0.044 | 0.987 |
| AP2 | 14.40 | >30 | 71.99 | 0.051 | 0.981 |
| AP3 | 11.25 | >30 | 72.87 | 0.058 | 0.975 |
| AF4 | 11.67 | >30 | 73.28 | 0.067 | 0.990 |
| AF5 | 9.81 | 27.5 | 76.23 | 0.085 | 0.981 |
| AF6 | 6.31 | 22.5 | 78.83 | 0.100 | 0.954 |
| AS7 | 12.5 | >30 | 70.56 | 0.052 | 0.987 |
| AS8 | 10.75 | >30 | 72.54 | 0.062 | 0.990 |
| AS9 | 8.75 | 27.26 | 74.68 | 0.087 | 0.980 |
Azelnidipine, classified as a Biopharmaceutics Classification System (BCS) class II drug, has historically faced challenges related to its low solubility and bioavailability. Previous studies have employed various techniques to enhance the solubility of poorly soluble drugs, including solid dispersions and the use of polymeric carriers. For instance, studies by S. Biswal et al. demonstrated that solid dispersions could significantly improve the dissolution rates of other poorly soluble drugs, confirming similar findings in this current study where solid dispersions prepared by fusion released 99.40% of azelnidipine more rapidly than its pure form [26].
The current research utilized three preparation methods-physical mixing, fusion, and solvent evaporation to create solid dispersions. The fusion method yielded the most effective results, aligning with findings from earlier studies that suggested fusion techniques often enhance drug-polymer interactions and improve dissolution rates due to increased amorphicity [27]. The fusion method, also known as the melt method, involves mixing a drug and polymer at a molecular level, heating it to a molten state, and then rapidly cooling and solidifying it. The amorphous nature of azelnidipine in solid dispersions is further confirmed by DSC and XRD studies. This process can improve the solubility and bioavailability of poorly soluble drugs. The use of PEG 6000 as a carrier is consistent with previous research indicating its efficacy in enhancing solubility for various drugs due to its hydrophilic nature [26, 28]. The results indicate a clear trend: increasing the polymer content in solid dispersions correlates with enhanced drug release rates.
The next step involved compressing the solid dispersions directly into tablets. Every tablet was compressed in the same way to eliminate differences in processing. The ratio of the drug to polymer did not change even when the super disintegrant concentration changed. The physical attributes of the produced tablet, such as weight uniformity, hardness, friability, drug content, dispersion time, and wetting time, were evaluated by the official compendium's guidelines (table 4).

Fig. 10: Dissolution profiles of azelnidipine tablet formulations containing sodium starch glycolate as superdisintegrant; data are given as mean±SD, n=3, error bars indicate SD values

Fig. 11: Dissolution profiles of azelnidipine tablet formulations containing croscarmellose sodium as superdisintegrant, data are given as mean±SD, n=3, error bars indicate SD values

Fig. 12: Dissolution profiles of azelnidipine tablet formulations containing crospovidone as superdisintegrant, data are given as mean±SD, n=3, error bars indicate SD values

Fig. 13: Dissolution profiles of azelnidipine tablet formulations containing microcrystalline cellulose-polyethylene glycol (MCC-PEG) as superdisintegrant, data are given as mean±SD, n=3, error bars indicate SD values
Table 6: Dissolution parameters of azelnidipine tablet formulations
| Formulation | T50 (Min) | T90 (Min) | DE20% | First order K | First order R2 |
| AT 1 | 19.23 | >30 | 67.27 | 0.040 | 0.959 |
| AT 2 | 16.10 | >30 | 68.36 | 0.044 | 0.961 |
| AT 3 | 12.50 | >30 | 70.56 | 0.049 | 0.969 |
| AT 4 | 11.07 | >30 | 72.35 | 0.057 | 0.970 |
| AT 5 | 13.34 | >30 | 69.23 | 0.052 | 0.993 |
| AT 6 | 9.86 | >30 | 73.67 | 0.065 | 0.975 |
| AT 7 | 8.51 | 28.75 | 75.30 | 0.077 | 0.977 |
| AT 8 | 11.86 | >30 | 72.63 | 0.056 | 0.991 |
| AT 9 | 8.88 | 29.45 | 75.89 | 0.076 | 0.974 |
| AT 10 | 6.88 | 24.76 | 76.35 | 0.117 | 0.899 |
| AT 11 | 8.87 | >30 | 74.37 | 0.069 | 0.996 |
| AT 12 | 6.36 | 22.40 | 78.73 | 0.118 | 0.975 |
| AT 13 | 4.91 | 12.50 | 80.89 | 0.159 | 0.999 |
The study of azelnidipine solid dispersions and fast-dissolving tablets presents significant advancements in addressing the challenges associated with the drug's low solubility and bioavailability.
The rate of release of each tablet followed first-order kinetics (table 5). Microcrystalline cellulose-polyethylene Glycol (MCC-PEG) was used as a super disintegrant in Formulation AT 13, which was found to exhibit a higher dissolution rate than the other formulations based on in vitro dissolution experiments of fast-dissolving tablets. The drug was released in the following order by fast-dissolving tablets containing various super disintegrants: MCC-PEG>CP>CCS>SSG. It can be concluded that MCC–PEG conjugate can prove to be a best superdisintegrant after comparing its results with that of commercial superdisintegrants. Mangesh R. Bhalekar et al. study also confirmed this improved drug release of the fast-dissolving tablets with MCC-PEG conjugate as superdisintegrant [19]. Formulations with higher concentration of MCC-PEG achieved faster dissolution times compared to those with lower concentrations or alternative disintegrants.
Moreover, the characterization techniques employed such as Differential Scanning Calorimetry (DSC) and X-ray Diffraction (XRD) provided insights into the physical state of Azelnidipine within the formulations. The transition from crystalline to amorphous states is crucial for improving solubility, as demonstrated by the reduced crystallinity in solid dispersions compared to pure Azelnidipine.
According to the current study, solid dispersions containing super disintegrants such as sodium starch glycolate, croscarmellose sodium, crospovidone, and microcrystalline cellulose-polyethylene glycol (MCC-PEG) conjugate can speed up the rate at which the poorly water-soluble medication azelnidipine dissolves. When compared to plain drug, the solid dispersions show faster dissolution characteristics. This resulted from the drug being entrapped in the molecular state by the carrier or from the solubilizing effect of the carrier. Compared to pure drug and other dispersions, solid dispersions prepared by fusion (AF 6) in a drug-to-polymer ratio of 1:3 released the drug more quickly. In comparison to commercially available and alternative tablet formulations, the study suggests that azelnidipine tablets (AT 13), made with 5% microcrystalline cellulose-polyethylene glycol conjugate as a super disintegrant, exhibited rapid drug release. It can be inferred that MCC-PEG conjugate is an efficient super disintegrant by comparing its results with those of available commercial super disintegrants. When different super disintegrants were present, the drug release from tablet formulations proceeded as follows: MCC-PEG Conjugate>CP>CCS>SSG.
The gift samples were provided by Laksh Finechem Private Limited, Anand, Gujarat, for which the authors are thankful. The work has been supported by Dr. A. Ramu, Professor, Department of Pharmaceutics and Dr. S. Vidyadhara, Principal, Chebrolu Hanumaiah Institute of Pharmaceutical Sciences, Chowdavaram, Guntur. The authors are grateful for these contributions.
Nil
Mrs. Bala Hemalatha carried out the experiment, analyzed the results and contributed to the preparation and revision of the manuscript. Dr. Anne Ramu has reviewed the manuscript and provided guidance. The research work is done under the supervision of Dr. Anne Ramu and Dr. Suryadevara Vidhyadhara.
Declared none
Tran P, Pyo YC, Kim DH, Lee SE, Kim JK, Park JS. Overview of the manufacturing methods of solid dispersion technology for improving the solubility of poorly water-soluble drugs and application to anticancer drugs. Pharmaceutics. 2019 Mar 19;11(3):132-58. doi: 10.3390/pharmaceutics11030132, PMID 30893899.
Shamsuddin FM, Fazil M, Ansari SH, Ali J. Development and evaluation of solid dispersion of spironolactone using fusion method. Int J Pharm Investig. 2016 Jan-Mar;6(1):63-8. doi: 10.4103/2230-973X.176490, PMID 27014621.
Ram CV. Therapeutic usefulness of a novel calcium channel blocker azelnidipine in the treatment of hypertension: a narrative review. Cardiol Ther. 2022 Dec;11(4):473-89. doi: 10.1007/s40119-022-00276-4, PMID 35969319.
Sharma A, Jain CP. Preparation and characterization of solid dispersions of carvedilol with PVP K30. Res Pharm Sci. 2010 Jan;5(1):49-56. PMID 21589768.
Hussain E, Osman ZA, Abdelrahman Md. Formulation and evaluation of solid dispersion tablets of furosemide using polyvinyl pyrrolidone K-30. Int J Curr Pharm Res. 2021 Jan 10;13(2):43-50. doi: 10.22159/ijcpr.2021v13i2.41554.
Hardikar SR, Mulla SS. Optimization of formulation of solid dispersion of furosemide by factorial design. Int J Pharm Pharm Sci. 2019 Nov 20;12(4):43-8. doi: 10.22159/ijpps.2020v12i4.36428.
Kaushik R, Verma R, Budhwar V, Kaushik D. Investigation of solid dispersion approach for the improvement of pharmaceutical characteristics of telmisartan using a central composite design. Int J App Pharm. 2023;15(5):245-54. doi: 10.22159/ijap.2023v15i5.47968.
Payal DB, Kauslya A, Jitendra VS. Formulation of solid dispersions for enhancement of solubility and dissolution rate of simvastatin. Int J Pharm Pharm Sci. 2021 Feb 23;13(7):94-100. doi: 10.22159/ijpps.2021v13i7.41205.
Madhavi N, Sudhakar B, Sravani U. Development and evaluation of itraconazole solid dispersion gel cutaneous delivery. Int J App Pharm. 2023;15(6):334-41. doi: 10.22159/ijap.2023v15i6.48978.
Shivaji Y, Deeliprao D, Sandeep K, Dilip S. Formulation and evaluation of fast dissolving tablet of lurasidone hydrochloride by using solid dispersion technique. Eur J Biomed Pharm Sci. 2021;8(9):737-46.
Van Den Mooter G, Wuyts M, Blaton N, Busson R, Grobet P, Augustijns P. Physical stabilisation of amorphous ketoconazole in solid dispersions with polyvinylpyrrolidone K25. Eur J Pharm Sci. 2001;12(3):261-9. doi: 10.1016/s0928-0987(00)00173-1, PMID 11113645.
Mahaparale PR, Thorat VP. Studies on solid dispersions of leflunomide. Asian J Pharm Clin Res. 2020 Jun;13(6):187-90.
Van Den Mooter G, Augustijns P, Blaton N, Kinget R. Physicochemical characterization of solid dispersions of temazepam with polyethylene glycol 6000 and PVP K30. International Journal of Pharmaceutics. 1998;164(1-2):67-80. doi: 10.1016/S0378-5173(97)00401-8.
Abdul Fattah AM, Bhargava HN. Preparation and in vitro evaluation of solid dispersions of halofantrine. Int J Pharm. 2002;235(1-2):17-33. doi: 10.1016/s0378-5173(01)00941-3, PMID 11879736.
Kinani AA, Taghi HS. Formulation and characterization of orodispersible tablet of glimepiride. J Adv Pharm Technol Res. 2022;13(4):252-60. doi: 10.4103/japtr.japtr_375_22, PMID 36568054.
Elkhodairy KA, Hassan MA, Afifi SA. Formulation and optimization of orodispersible tablets of flutamide. Saudi Pharm J. 2014;22(1):53-61. doi: 10.1016/j.jsps.2013.01.009, PMID 24493974.
Nikam VK, Shete SK, Khapare JP. Most promising solid dispersion technique of oral dispersible tablet. Beni Suef Univ J Basic Appl Sci. 2020 Dec 9;9(1):1-16. doi: 10.1186/s43088-020-00086-4.
r10
Thrix
This is a duplicate of reference 16.
Elkhodairy KA, Hassan MA, Afifi SA. Formulation and optimization of orodispersible tablets of flutamide. Saudi Pharm J. 2014 Jan;22(1):53-61. doi: 10.1016/j.jsps.2013.01.009, PMID 24493974.
Bhalekar MR, Desale SS, Madgulkar AR. Synthesis of MCC-PEG conjugate and its evaluation as a superdisintegrant. AAPS Pharm Sci Tech. 2010 Sep;11(3):1171-8. doi: 10.1208/s12249-010-9476-y, PMID 20661675.
Patel DM, Patel SP, Patel CN. Formulation and evaluation of fast-dissolving tablet containing domperidone ternary solid dispersion. Int J Pharm Investig. 2014;4(4):174-82. doi: 10.4103/2230-973X.143116, PMID 25426438.
Eisa AM, El Megrab NA, El Nahas HM. Formulation and evaluation of fast-dissolving tablets of haloperidol solid dispersion. Saudi Pharm J. 2022 Nov;30(11):1589-602. doi: 10.1016/j.jsps.2022.09.002, PMID 36465849.
Fouad SA, Malaak FA, El Nabarawi MA, Abu Zeid K. Development of orally disintegrating tablets containing solid dispersion of a poorly soluble drug for enhanced dissolution: in vitro optimization/in vivo evaluation. Plos One. 2020 Dec 31;15(12):e0244646. doi: 10.1371/journal.pone.0244646, PMID 33382789.
Dehghani H, Taheri A, Homayouni A. Design optimization and evaluation of orally disintegrating tablet of meloxicam using its menthol-based solid dispersions. Curr Drug Deliv. 2017;14(5):709-17. doi: 10.2174/1567201813666160504100532, PMID 27142108.
Dash GS, Murthy PN, Chowdary KA. Selection and optimization of most efficient superdisintegrant for the formulation of dispersible tablets of tramadol hydrochloride. Int J Pharm Pharm Sci. 2022 Jul;14(7):21-6. doi: 10.22159/ijpps.2022v14i7.43638.
Boghra RJ, Kothawade PC, Belgamwar VS, Nerkar PP, Tekade AR, Surana SJ. Solubility dissolution rate and bioavailability enhancement of irbesartan by solid dispersion technique. Chem Pharm Bull (Tokyo). 2011;59(4):438-41. doi: 10.1248/cpb.59.438, PMID 21467670.
Biswal S, Sahoo J, Murthy PN, Giradkar RP, Avari JG. Enhancement of dissolution rate of gliclazide using solid dispersions with polyethylene glycol 6000. AAPS Pharm Sci Tech. 2008 Jun;9(2):563-70. doi: 10.1208/s12249-008-9079-z, PMID 18459056.
Shamsuddin M, Fazil M, Ansari SH, Ali J. Development and evaluation of solid dispersion of spironolactone using fusion method. Int J Pharm Investig. 2016 Jan-Mar;6(1):63-8. doi: 10.4103/2230-973X.176490, PMID 27014621.
Singh SK, Som S, Shankhwar U. Formulation and optimization of solid dispersion of clopidogrel with PEG 6000. J Appl Pharm Sci. 2011;1(08):217-26.