
1Department of Chemistry, University College of Sciences, Acharya Nagarjuna University, Nagarjuna Nagar, Guntur, Andhra Pradesh-522510, India. 2Department of Chemistry, Adikavi Nannaya University Campus, Tadepalligudem, Andhra Pradesh-534101, India. 3Department of Chemistry, Dr SRK Govt. Arts College, Yanam, Affiliated to Pondicherry Central University, Andhra Pradesh-533464, India. 4Department of Chemistry, P B Siddhartha College of Arts and Science, Vijayawada, Andhra Pradesh-520010, India
*Corresponding author: D. Ramachandran; *Email: ramchandran.anu22@gmail.com
Received: 14 Sep 2024, Revised and Accepted: 30 Nov 2024
ABSTRACT
Objective: An easy, quick, precise, active and reproducible Liquid Chromatography Tandem Mass Spectrometry (LC-MS/MS) technique was developed for the bio-analytical method of flupentixol and nortriptyline HCl using zuclopenthixol as Internal Standard (IS).
Methods: This article summarizes the recent progress on bio-analytical LC-MS/MS methods using Luna Phenyl Hexyl column (250x4.6 mm, 5µ) and organic mobile phase of Ammonium acetate pH-3.0/Formic acid and Acetonitrile in 70:30 v/v. 5 min of run time was used in the analysis.
Results: The calibration curve was linear in the range of 5.0ng/ml to 200.0ng/ml (r2= 0.99988±0.006) for nortriptyline HCl and 0.25ng/ml to 10.0ng/ml (r2=0.99972±0.007) for flupentixol. Matrix effect, recovery and stability results were within the acceptable limit. An electrospray ionization source was used to study of nortriptyline HCl, flupentixol at m/z 300.8471 →73.2501, m/z 435.5225→103.4247 and m/z 400.9657→142.0087 for zuclopenthixol were ion pairs of mass analysis.
Conclusion: The application denotes all the parameters of system suitability, specificity, linearity and accuracy are in good agreement with United States Food and Drug Administration (USFDA) guidelines and applied effectively for the investigation of pharmacokinetic studies in rat.
Keywords: Flupentixol, Nortriptyline HCl, LC-MS/MS, USFDA guidelines, Rat plasma
© 2025 The Authors. Published by Innovare Academic Sciences Pvt Ltd. This is an open access article under the CC BY license (https://creativecommons.org/licenses/by/4.0/)
DOI: https://dx.doi.org/10.22159/ijap.2025v17i1.52653 Journal homepage: https://innovareacademics.in/journals/index.php/ijap
Flupentixol, also known as flupenthixol (former BAN), marketed under brand names such as Depixol and Fluanxol is a typical antipsychotic drug [1, 2] of the thioxanthene class. In addition to single drug preparations, it is also available as flupentixol/melitracen—a combination product containing both melitracen (a tricyclic antidepressant) and flupentixol (marketed as Deanxit). Flupentixol's main use is as a long-acting injection given once in every two or three weeks to individuals with schizophrenia [3, 4] who have poor compliance with medication and have frequent relapses of illness, though it is also commonly given as a tablet. There is little formal evidence to support its use for this indication but it has been in use for over fifty years. Flupentixol is also used in low doses as an antidepressant [5, 6]. There is tentative evidence that it reduces the rate of deliberate self-harm [7, 8], among those who self-harm repeatedly. Extrapyramidal side effects such as (which usually become apparent soon after therapy is begun or soon after an increase in dose is made) Muscle rigidity [9], Hypokinesia, Parkinsonism [10, 11], Tremor [12, 13], Akathisia [14, 15], Dry mouth [16], Constipation [17, 18], Hypersalivation – excessive salivation, Blurred vision, Diaphoresis – excessive sweating [19], Somnolence [20], Restlessness, Insomnia [21, 22].
Nortriptyline, sold under the brand name Aventyl, among others, is a tricyclic antidepressant. This medicine is also sometimes used for neuropathic pain [23], Attention Deficit Hyperactivity Disorder (ADHD) [24], smoking cessation and anxiety. As with many antidepressants, its use for young people with depression and other psychiatric disorders may be limited due to increased suicidality in the 18–24 population initiating treatment. Nortriptyline is a less preferred treatment for ADHD and stopping smoking. It is taken by mouth. Common side effects include dry mouth, constipation, blurry vision, sleepiness, low blood pressure with standing, and weakness. Serious side effects may include seizures [25], an increased risk of suicide in those less than 25 y of age, urinary retention [26], glaucoma [27, 28], mania, and a number of heart issues. Nortriptyline may cause problems if taken during pregnancy. Use during breastfeeding appears to be relatively safe. It is a tricyclic antidepressant (TCA) and is believed to work by altering levels of serotonin and norepinephrine.
Till date, no method is available for bio-analysis of flupentixol and nortriptyline HCl in any type of biological matrix. The aim of the study was to develop a new rapid and sensitive LC-MS/MS method for the simultaneous estimation of flupentixol and nortriptyline HCl in rat plasma using zuclopenthixol as internal standard.
Chemicals and reagents
Acetonitrile and Ammonium acetate, Formic acid, water (HPLC grade) were purchased from Merck (India) Ltd, Worli, Mumbai, India. All APIs of flupentixol and nortriptyline HCl as reference standards were procured from Zydus Cadila Health Care Ltd, Ahmedabad.
Equipment
An HPLC (High-Performance Liquid Chromatography) system (Waters Alliance e2695 model) connected with mass spectrometer QTRAP 5500 triple quadrupole instrument was used. By the ABSCIEX software operation was performed [29, 30].
Pharmacokinetic study
Selection of animals
For in vivo pharmacokinetic studies, 6 healthy white New Zealand rats (app. 250 g) were obtained from Biological E Limited, Hyderabad, India. The protocol of animal study was approved by institute of animal ethics committee (Reg. No: 1074/PO/Re/S/22/CPCSEA). The animals were housed in identical laboratory circumstances, with a temperature of 20-26 °C and a humidity of 50-60%.
Chromatographic conditions
To achieve Chromatographic separation, using Luna Phenyl Hexyl (250 x 4.6 mm, 5 micron) columns, was administered in isocratic mode at room temperature. A mobile phase mixture of Ammonium acetate pH-3.0/Formic acid and acetonitrile at 70:30 v/v with a flow of 1.0 ml/min was used. 10µl was the injection rate and the run time was 5 min.
Preparation of standard and internal standard samples
Preparation of nortriptyline HCl Parent stock solution
8 mg of the nortriptyline HCl working standard was taken into a 100 ml volumetric flask and 70 ml of diluents was added and sonicated for 10 min to dissolve the contents completely and made up to the mark with diluent. Further dilution was done by taking 0.5 ml into 10 ml volumetric flask.
Preparation of flupentixol parent stock solution
5 mg of the flupentixol working standard was transferred to into a 100 ml volumetric flask and 70 ml of diluents was added and sonicated for 10 min to dissolve the contents completely and made up to the mark with diluent. Further dilutions were made by taking 0.4 ml into 10 ml volumetric flask.
Preparation of standard stock solution
1.0 ml of nortriptyline HCl parent stock solution and 0.1 ml of flupentixol parent stock solution were transferred into 10 ml volumetric flask and made up to the mark with diluents.
Preparation of zuclopenthixol stock solution
8 mg of the zuclopenthixol working standard was taken into a 100 ml volumetric flask and added 70 ml of diluents and sonicated for 10 min to dissolve the contents completely and made up to the mark with diluent. Further dilution was made by taking 0.5 ml into 10 ml volumetric flask. Further dilution was made by taking 1.0 ml into 10 ml volumetric flask.
Preparation of standard solution
For standard preparation 200µl of plasma was taken and 300µl of acetonitrile (ACN) into a 2 ml centrifuge tube and 500µl of standard stock solutions and 500µl of IS and 500 µl of diluents were added and vortexed for 10 min. These samples further subjected for centrifuge at 4000rpm for 20 min. Collect the solution and filter through 0.45µ nylon syringe filter and the clear solution was transferred into vial and injected into a system.
Bio-analytical method validation
The method was validated [31-39] in selective, sensitive, linearity, accuracy and precise, matrix condition, recovery study, re-injection reproducibility and stability.
Selectivity
By analyzing the six different rat’s plasma samples and to check interference at the retention time, selectivity was conducted.
Matrix effect
By comparing the height area ratio from the six various drug free plasma samples for nortriptyline HCl and flupentixol to get matrix effect [40, 41]. Experiments were performed at MQC levels in triplicate with six different plasma lots with the suitable precision of 
15 %.
Precision and accuracy
Precision and accuracy [42, 43] was determined by replicate analysis of internal control samples at a Lower Limit of Quality Control (LLOQC), Low-Quality Control (LQC), Medium Quality Control (MQC), High-Quality Control (HQC) levels. The % CV (Coefficient Variance) should be less than 15 % and accuracy should be within 15% except LLOQ where 20%.
Recovery
The analysis of six samples reproduce at each internal control concentration is by extracting the nortriptyline HCl and flupentixol. By comparing the height areas of extracted standards to the height areas of unextracted standards, recovery is evaluated [44].
Carryover
Carryover [45, 46] deals with the analyte retained by the chromatographic system during the matrix with an analyte concentration Upper Limit of Quality Control (ULOQC) and above the diluting this sample with the blank matrix.
Dilution integrity
By spiking the matrix with an analyte concentration above the ULOQC and diluting this sample with blank matrix, the dilution integrity [47] should be explained.
Stability
By comparing the act of stock solution stability [48] under the stability sample with the sample from the fresh stock sample preparation. Sample Stability studies in plasma were performed at the LQC and HQC concentration levels using six replicates at each level. Analyte was considered stable if the change is smaller amount than 15 % as per US FDA guidelines [49]. The perfectness of spiked rat plasma stored at room temperature was evaluated for twenty-four hrs. The stability of spiked rat plasma stored at RT in an autosampler was evaluated for twenty-four hrs. The autosampler stability (LQC, MQC and HQC) was evaluated by comparing the extract plasma samples that were injected immediately with the samples that were re-injected after storing with wet extract stability at room temperature after 12 h and 18 h at 2-8 °C the reinjection reproducibility was evaluated by comparing the extracted plasma samples that were injected immediately, with the samples that were re-injected after storing in the dry extract stability at room temperature after 12 h and 18 h at-20±3 °C the freeze-thaw stability was conducted by comparing the steadiness samples that had been frozen at-31 °C and thawed 3 times, with freshly spiked internal control samples. The short-term stability was conducted 7 d at 7 °C. For long-term stability evaluation, the concentrations obtained after 24 h were compared with initial concentration.
Pharmacokinetic study
Before experimentation, all animals are starved overnight and had water ad-libitum. Topical anesthetic procedure was used. Pharmacokinetic evaluation was performed for nortriptyline HCl and flupentixol formulations. The samples were administered to each rat under fasting conditions. After oral administration of nortriptyline HCl and flupentixol, blood samples were collected from rat marginal ear vein using a 25-guage, 5/8 inch needle by clipping the marginal ear vein with a paper clip with volume of 0.3 ml at 1, 2, 4, 8, 16, 24, 32 and 40 h. The blood was collected in Eppendorf containing 10% EDTA (Ethylene Diamine Tetra Acetic acid) solution. Blood was centrifuged at 4000 rpm for 20 min at 2-8 °C temperature. The clear supernatant plasma were collected and stored at-30 °C till its analysis. The plasma samples were treated for liquid-liquid phase extraction and analyzed for drug content with developed analytical method. After the study, the animals were returned to animal house for rehabilitation.
The pharmacokinetic parameters for nortriptyline HCl and flupentixol oral administration were determined from plasma concentration data. Pharmacokinetic parameters like AUC (Area Under the Curve), Cmax (Maximum Concentration), Tmax (Time to reach peak concentration) the time at which Cmax occurred, Data was measured by the trapezoidal rule method from time zero to infinity of the concentration-time curve. Cmax and Tmax were obtained from the graph. All values are expressed in mean±SD. (SD – Standard Deviation).
The maximum response on air pressure chemical ionization mode selected in this method is by having the electrospray ionization. The mobile phase flow of 10 µl/min nortriptyline HCl and flupentixol are highly responsive in the positive ion mode to offer sensitivity and signal stability with continuous flow to electro spray ion. Fig. 1 gives the mass spectras of nortriptyline HCl, flupentixol and zuclopenthixol.

A

B

C
Fig. 1: Mass spectras of (A) Nortriptyline HCl (B) Flupentixol and (C) Zuclopenthixol
Specificity
The specificity [50] of the method to research nortriptyline HCl and flupentixol simultaneously is proved. The chromatograms of blank and standard as shown in fig. 2, 3. The chromatograms of blank rat plasma and standard having no interference peaks were observed.
Matrix effect
Percent RSD (Relative Standard Deviation) for within the signal, ion suppression/enhancement was observed as 1.0 percent for nortriptyline HCl and flupentixol in LC-MS/MS, suggesting that under these circumstances, the matrix effect [51] on analyte ionization is within an acceptable range of ionization. In matrix effect, LQC and HQC of nortriptyline HCl were 95.38 and 98.06 and flupentixol were 95.24, 98.25%. %CV of the both drugs at LQC level were 1.92, 4.74 and HQC level is 0.24, 1.93 respectively. It indicates that the matrix effect on the ionization of the analyte is within the suitable limit.
Linearity
The peak area ratio of calibration standards was proportional to the concentration. The concentration range of nortriptyline HCl is 5-200 ng/ml and flupentixol is 0.25-10 ng/ml. Linearity results of nortriptyline HCl and flupentixol were shown in following table 1 and their calibration plots were shown in fig. 4 [52]. The calibration curves were appeared linear and coefficient of correlation was found to be 0.999 for nortriptyline HCl and flupentixol.

Fig. 2: Chromatogram of blank

Fig. 3: Chromatogram of standard
Table 1: Results of linearity
| Linearity | Nortriptyline HCl | Flupentixol | ||
| Conc. (ng/ml) | Area response ratio | Conc. (ng/ml) | Area response ratio | |
| 1 | 5.00 | 0.059 | 0.25 | 0.003 |
| 2 | 15.00 | 0.174 | 0.75 | 0.010 |
| 3 | 25.00 | 0.290 | 1.25 | 0.017 |
| 4 | 50.00 | 0.594 | 2.50 | 0.030 |
| 5 | 75.00 | 0.881 | 3.75 | 0.044 |
| 6 | 100.00 | 1.166 | 5.00 | 0.057 |
| 7 | 125.00 | 1.470 | 6.25 | 0.072 |
| 8 | 150.00 | 1.748 | 7.50 | 0.087 |
| 9 | 200.00 | 2.312 | 10.00 | 0.116 |
| Slope | 0.0117 | Slope | 0.0118 | |
| Intercept | 0.00014 | Intercept | 0.00056 | |
| CC | 0.99988 | CC | 0.99972 | |

A

B
Fig. 4: Calibration plots of (A) Nortriptyline HCl and (B) Flupentixol
Precision and accuracy
By pooling all individual assay results of different internal control samples, the accuracy and precision [53, 54] were calculated. It was obvious, based on the data provided, that the strategy was precise and effective. The precision results of nortriptyline HCl and flupentixol was shown in table 2, 3. Nortriptyline HCl accuracy results in quality control samples 94.41-98.00 and flupentixol accuracy results in quality control samples 90.23-98.50. Nortriptyline HCl and flupentixol CV is<5% of total internal control samples.
Table 2: Precision and accuracy of nortriptyline HCl
| S. No. | HQC | MQC | LQC | LLQC |
| Nominal concentration (ng/ml) | ||||
| 150 | 100 | 15 | 5 | |
| Analyte peak area | ||||
| 1 | 4.044x105 | 2.699x105 | 0.401x105 | 0.128x105 |
| 2 | 4.048x105 | 2.712x105 | 0.398x105 | 0.127x105 |
| 3 | 4.033x105 | 2.689x105 | 0.411x105 | 0.133x105 |
| 4 | 4.051x105 | 2.695x105 | 0.389x105 | 0.132x105 |
| 5 | 4.042x105 | 2.701x105 | 0.405x105 | 0.129x105 |
| 6 | 4.037x105 | 2.697x105 | 0.403x105 | 0.131x105 |
| n | 6 | 6 | 6 | 6 |
| Mean | 4.043x105 | 2.699x105 | 0.401x105 | 0.130x105 |
| SD | 0.00672 | 0. 00765 | 0.00739 | 0.00237 |
| % CV | 0.17 | 0.28 | 1.84 | 1.82 |
| % Accuracy | 97.87% | 98.00% | 97.07% | 94.41% |
Data are expressed as mean+SD, n=6.
Recovery
The recoveries for nortriptyline HCl and flupentixol at LQC, MQC and HQC levels the results demonstrated that the bio-analytical method had good extraction efficiency. This also showed that the recovery wasn’t hooked into concentration. The recoveries for nortriptyline HCl (96.10%-98.08%) and flupentixol (90.23%-98.75%) at LQC, MQC and HQC levels and % CV ranged from 0.06-1.36 for nortriptyline HCl and 1.44-4.14 for flupentixol. the results demonstrated that the bio analytical method had good extraction efficiency.
Table 3: Precision and accuracy of flupentixol
| S. No. | HQC | MQC | LQC | LLQC |
| Nominal concentration (ng/ml) | ||||
| 7.50 | 5.00 | 0.75 | 0.25 | |
| Analyte peak area | ||||
| 1 | 0.192x105 | 0.134x105 | 0.019x105 | 0.007x105 |
| 2 | 0.197x105 | 0.131x105 | 0.020x105 | 0.006x105 |
| 3 | 0.199x105 | 0.139x105 | 0.017x105 | 0.006x105 |
| 4 | 0.188x105 | 0.128x105 | 0.018x105 | 0.006x105 |
| 5 | 0.194x105 | 0.129x105 | 0.021x105 | 0.006x105 |
| 6 | 0.195x105 | 0.124x105 | 0.019x105 | 0.006x105 |
| n | 6 | 6 | 6 | 6 |
| Mean | 0.194x105 | 0.131x105 | 0.019x105 | 0.006x105 |
| SD | 0.00387 | 0.00519 | 0.00141 | 0.00041 |
| % CV | 1.99 | 3.97 | 7.44 | 6.62 |
| % Accuracy | 97.24% | 98.50% | 95.24% | 90.23% |
Data are expressed as mean+SD, n=6.
Ruggedness
The percent recoveries and percent CV of nortriptyline HCl and flupentixol determined with two different analysts and on two different columns were within acceptable criteria in HQC, LQC and MQC samples. The results proved method is ruggedness. The percent recoveries ranged from 96.83 – 98.09% for nortriptyline HCl and 95.24%-98.25% for flupentixol. The %CV values ranged from 0.09-0.95 for nortriptyline HCl and 1.28 – 3.93 for flupentixol. The results proved method is ruggedness [55, 56].
Autosampler carryover
Peak area response of nortriptyline HCl and flupentixol wasn’t observed within the blank rat plasma samples after successive injections of LLQC and ULQC at the retention times of nortriptyline HCl and flupentixol. In autosampler carryover, this method doesn’t exhibit autosampler carryover [57, 58].
Stability
Nortriptyline HCl and flupentixol solutions were prepared with diluents for solution stability [59, 60] analysis and placed in a refrigerator at 2-8 °C. Fresh stock solutions were associated with stock solutions that were prepared 24 h earlier. The plasma stability of the bench top and auto sampler was stable for twenty-four hours and 24 h at 20 °C in the auto sampler. It became apparent from future stability that nortriptyline HCl and flupentixol were stable at a storage temperature of-30 °C for up to 24 h. The overall stability results of nortriptyline HCl and flupentixol have been stated in the below table 4, 5.
Table 4: Stability results of nortriptyline HCl
| Stability experiment spiked plasma | Mean area±SD | % CV | % Recovery | |
| Benchtop stability | LQC | 0.400x105±0.00331 | 0.96 | 96.83 |
| MQC | 2.671x105±0.00418 | 0.16 | 96.99 | |
| HQC | 4.045x105±0.00360 | 0.08 | 97.92 | |
| Autosampler stability | LQC | 0.397x105±0.00510 | 1.33 | 96.10 |
| MQC | 2.675x105±0.01126 | 0.42 | 97.13 | |
| HQC | 4.049x105±0.01066 | 0.26 | 98.02 | |
| Long term (Day28) stability | LQC | 0.346x105±0.00390 | 1.13 | 83.76 |
| MQC | 2.321x105±0.00378 | 0.16 | 84.28 | |
| HQC | 3.519x105±0.00523 | 0.15 | 85.19 | |
| Wet extract 18 H stability | LQC | 0.398x105±0.00335 | 0.84 | 96.34 |
| MQC | 2.675x105±0.00258 | 0.10 | 97.13 | |
| HQC | 4.049x105±0.00288 | 0.07 | 98.02 | |
| Dry extract 18 H stability | LQC | 0.397x105±0.00452 | 1.14 | 96.10 |
| MQC | 2.677x105±0.00383 | 0.14 | 97.20 | |
| HQC | 4.050x105±0.00374 | 0.09 | 98.04 | |
| Freeze thaw stability | LQC | 0.397x105±0.00423 | 1.07 | 96.10 |
| MQC | 2.671x105±0.00258 | 0.10 | 96.99 | |
| HQC | 4.048x105±0.00394 | 0.10 | 97.99 | |
| Short term stability | LQC | 0.384x105±0.00327 | 0.85 | 92.96 |
| MQC | 2.616x105±0.00360 | 0.14 | 94.99 | |
| HQC | 3.955x105±0.00314 | 0.08 | 95.74 |
Data are expressed as mean+SD, n=6.
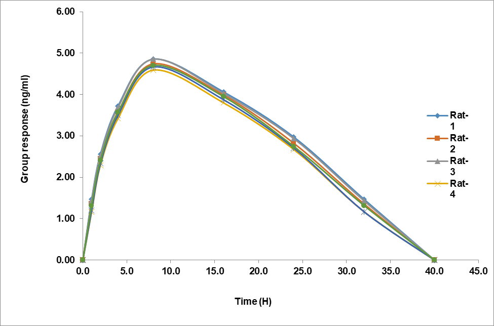
In vivo pharmacokinetic evaluation
The plasma concentration-time profiles of nortriptyline HCl and flupentixol in rat are shown in fig. 5. The graph indicated bell shaped curve in both the cases of experimental formulation. nortriptyline HCl and flupentixol could be traced to be present in the blood for 24 h and 32 h after oral and intravenous administration, which indicates the effectiveness of drug release from the formulation.
The pharmacokinetic parameters Cmax, Tmax, T1/2, AUC0-t, AUC0-∞, were calculated and the data is shown in table 6. The Cmax for nortriptyline HCl and flupentixol were found to be 93.6 ng/ml and 4.7 ng/ml, respectively. The Tmax for nortriptyline HCl and flupentixol were found to be 8.0 h and 8.0 h, respectively. The t½ values were 24.0 h and 32.0 h, respectively for nortriptyline HCl and flupentixol. The AUC0-t for nortriptyline HCl and flupentixol were found to be 1503 and 87ng-h/ml, respectively. The pharmacokinetic parameters were shown in table 6.
Table 5: Stability results of flupentixol
| Stability experiment spiked plasma | Mean area±SD | % CV | % Recovery | |
| Benchtop stability | LQC | 0.019x105±0.00141 | 7.44 | 95.24 |
| MQC | 0.130x105±0.00207 | 1.58 | 97.74 | |
| HQC | 0.197x105±0.00183 | 0.93 | 98.75 | |
| Auto sampler stability | LQC | 0.019x105±0.00062 | 3.35 | 95.24 |
| MQC | 0.131x105±0.00248 | 1.82 | 98.50 | |
| HQC | 0.195x105±0.00337 | 1.13 | 97.74 | |
Long term (Day 28) stability |
LQC | 0.017x105±0.00052 | 3.10 | 85.21 |
| MQC | 0.112x105±0.00456 | 1.65 | 84.21 | |
| HQC | 0.169x105±0.00331 | 1.96 | 84.71 | |
| Wet extract 18 H stability | LQC | 0.019x105±0.00075 | 3.93 | 95.24 |
| MQC | 0.131x105±0.00412 | 1.83 | 98.50 | |
| HQC | 0.196x105±0.00179 | 0.91 | 98.28 | |
| Dry extract 18 h stability | LQC | 0.019x105±0.00092 | 4.02 | 95.24 |
| MQC | 0.130x105±0.00408 | 1.39 | 97.74 | |
| HQC | 0.196x105±0.00250 | 1.28 | 98.25 | |
| Freeze thaw stability | LQC | 0.019x105±0.00063 | 3.33 | 95.24 |
| MQC | 0.130x105±0.00419 | 1.48 | 97.74 | |
| HQC | 0.194x105±0.00383 | 1.98 | 97.24 | |
| Short term stability | LQC | 0.018x105±0.00075 | 4.14 | 90.23 |
| MQC | 0.126x105±0.00380 | 1.03 | 94.74 | |
| HQC | 0.186x105±0.00186 | 1.00 | 93.23 |
Data are expressed as mean+SD, n=6.

A

B
Fig. 5: Recovery plot (A) Nortriptyline HCl and (B) Flupentixol
Table 6: Pharmacokinetic parameters of nortriptyline HCl and flupentixol
| Pharmacokinetic parameters | Nortriptyline HCl | Flupentixol |
| AUC0-t | 1503ng-h/ml | 87ng-h/ml |
| Cmax | 93.6ng/ml | 4.7ng/ml |
| AUC0-∞ | 1769ng-h/ml | 114ng-h/ml |
| tmax | 8.0 h | 8.0 h |
| T1/2 | 24.0 h | 32.0 h |
AUC0−∞: Area under the curve extrapolated to infinity, AUC0−𝑡: Area under the curve up to the last sampling time, Cmax: The maximum plasma concentration, Tmax: The time to reach peak concentration, T1/2: Time the drug concentration
For the primary time higher sensitive HPLC-ESI-LCMS/MS method was developed and validated for the determination of nortriptyline HCl and flupentixol in rat plasma. Here the described method is rugged, fast, reproducible bio-analytical method. This method was validated according to USFDA guidelines. Simple and efficient method was developed and may be utilized in pharmacokinetic studies and to see the investigated analyte in body fluids.
I thankful to my guide for encouragement and supporting to finish this research work.
Nil
Bharath has collected the literature and information about the drug. Visalakshamma and Sri Ramudu has carried out the research samples and prepared the manuscript. Khasim Sharif supported solution preparation in analysis. Ramachandran check the data and reviewed the article.
Author declares that there have been no conflicts of interest.
Chopra S, Fornito A, Francey SM, O Donoghue B, Cropley V, Nelson B. Differentiating the effect of antipsychotic medication and illness on brain volume reductions in first-episode psychosis: a longitudinal randomised triple-blind placebo-controlled MRI study. Neuropsychopharmacology. 2021;46(8):1494-501. doi: 10.1038/s41386-021-00980-0, PMID 33637835.
Ceraso A, Lin JJ, Schneider Thoma J, Siafis S, Tardy M, Komossa K. Maintenance treatment with antipsychotic drugs for schizophrenia. Cochrane Database Syst Rev. 2020;8(8):CD008016. doi: 10.1002/14651858.CD008016.pub3, PMID 32840872.
Hashimoto K. Recent advances in the early intervention in schizophrenia: future direction from preclinical findings. Curr Psychiatry Rep. 2019;21(8):75. doi: 10.1007/s11920-019-1063-7, PMID 31278495.
Upthegrove R, Khandaker GM. Cytokines oxidative stress and cellular markers of inflammation in schizophrenia. Curr Top Behav Neurosci. 2020;44:49-66. doi: 10.1007/7854_2018_88, PMID 31115797.
Hengartner MP. Editorial: antidepressant prescriptions in children and adolescents. Front Psychiatry. 2020 Oct 30;11:600283. doi: 10.3389/fpsyt.2020.600283, PMID 33192742.
Moncrieff J, Cooper RE, Stockmann T, Amendola S, Hengartner MP, Horowitz MA. The serotonin theory of depression: a systematic umbrella review of the evidence. Mol Psychiatry. 2023;28(8):3243-56. doi: 10.1038/s41380-022-01661-0, PMID 35854107.
Butler C, Joiner R, Bradley R, Bowles M, Bowes A, Russell C. Self-harm prevalence and ideation in a community sample of cis trans and other youth. Int J Transgend. 2019;20(4):447-58. doi: 10.1080/15532739.2019.1614130, PMID 32999629.
Escelsior A, Belvederi Murri M, Corsini GP, Serafini G, Aguglia A, Zampogna D. Cannabinoid use and self-injurious behaviours: a systematic review and meta-analysis. J Affect Disord. 2021 Jan 1;278:85-98. doi: 10.1016/j.jad.2020.09.020, PMID 32956965.
Ramanathan V, Baskar D, Pari H. Seatbelt effect of spasticity: contrasting velocity dependence from the clasp knife phenomenon. Ann Indian Acad Neurol. 2022;25(3):517-9. doi: 10.4103/aian.aian_817_21, PMID 35936584.
Mc Knight S, Hack N. Toxin induced parkinsonism. Neurol Clin. 2020;38(4):853-65. doi: 10.1016/j.ncl.2020.08.003, PMID 33040865.
Armenteros PR, Kapetanovic S, Lopez SG, Vazquez Lorenzo E, Mendez LA, Gomez Muga JJ. Pearls and oy sters: arteriovenous malformation with sinus thrombosis and thalamic hemorrhage: unusual cause of parkinsonism and dementia. Neurology. 2022;98(13):550-3. doi: 10.1212/WNL.0000000000200016, PMID 35121672.
Kakei S, Manto M, Tanaka H, Mitoma H. Pathophysiology of cerebellar tremor: the forward model related tremor and the inferior olive oscillation related tremor. Front Neurol. 2021 Jun 28;12:694653. doi: 10.3389/fneur.2021.694653, PMID 34262527.
Kremer NI, Pauwels RW, Pozzi NG, Lange F, Roothans J, Volkmann J. Deep brain stimulation for tremor: update on long term outcomes target considerations and future directions. J Clin Med. 2021;10(16):3468. doi: 10.3390/jcm10163468, PMID 34441763.
Poyurovsky M, Weizman A. Treatment of antipsychotic-induced akathisia: role of serotonin 5-HT2A receptor antagonists. Drugs. 2020;80(9):871-82. doi: 10.1007/s40265-020-01312-0, PMID 32385739.
Kalniunas A, Chakrabarti I, Mandalia R, Munjiza J, Pappa S. The relationship between antipsychotic-induced akathisia and suicidal behaviour: a systematic review. Neuropsychiatr Dis Treat. 2021 Dec 3;17:3489-97. doi: 10.2147/NDT.S337785, PMID 34887662.
Tsuchiya H. Characterization and pathogenic speculation of xerostomia associated with COVID-19: a narrative review. Dent J (Basel). 2021;9(11):130. doi: 10.3390/dj9110130, PMID 34821594.
LI Y, Long S, Liu Q, MA H, LI J, Xiaoqing W. Gut microbiota is involved in the alleviation of loperamide-induced constipation by honey supplementation in mice. Food Sci Nutr. 2020;8(8):4388-98. doi: 10.1002/fsn3.1736, PMID 32884719.
Turawa EB, Musekiwa A, Rohwer AC. Interventions for preventing postpartum constipation. Cochrane Database Syst Rev. 2015 Sep 18;2015(9):CD011625. doi: 10.1002/14651858.CD011625.pub2.
Jain V, Ochoa M, Jiang H, Rahimi R, Ziaie B. A mass customizable dermal patch with discrete colorimetric indicators for personalized sweat rate quantification. Microsyst Nanoeng. 2019;5:29. doi: 10.1038/s41378-019-0067-0, PMID 31240108.
Timothy R, Carskadon Mary A, Dement William C, Thomas R. Daytime sleepiness and alertness principles and practice of sleep medicine. Elsevier; 2017. p. 39-48. e4. doi: 10.1016/b978-0-323-24288-2.00004-0.
Banno M, Tsujimoto Y, Kohmura K, Dohi E, Taito S, Someko H. Unclear insomnia concept in randomized controlled trials and systematic reviews: a meta-epidemiological study. Int J Environ Res Public Health. 2022;19(19):12261. doi: 10.3390/ijerph191912261, PMID 36231555.
Edinger JD, Arnedt JT, Bertisch SM, Carney CE, Harrington JJ, Lichstein KL. Behavioral and psychological treatments for chronic insomnia disorder in adults: an american academy of Sleep Medicine systematic review meta-analysis and grade assessment. J Clin Sleep Med. 2021;17(2):263-98. doi: 10.5664/jcsm.8988, PMID 33164741.
Russo MA, Baron R, Dickenson AH, Kern KU, Santarelli DM. Ambroxol for neuropathic pain: hiding in plain sight? Pain. 2023;164(1):3-13. doi: 10.1097/j.pain.0000000000002693, PMID 35580314.
Faraone SV, Banaschewski T, Coghill D, Zheng Y, Biederman J, Bellgrove MA. The World Federation of adhd international consensus statement: 208 evidence-based conclusions about the disorder. Neurosci Biobehav Rev. 2021;128:789-818. doi: 10.1016/j.neubiorev.2021.01.022, PMID 33549739.
Pennington E, Bell S, Hill JE. Should video laryngoscopy or direct laryngoscopy be used for adults undergoing endotracheal intubation in the pre-hospital setting? A critical appraisal of a systematic review. J Paramed Pract. 2023;15(6):255-9. doi: 10.1002/14651858, PMID 38812899.
DE Jong AC, Maaskant JM, Groen LA, Van Woensel JB. Monitoring of micturition and bladder volumes can replace routine indwelling urinary catheters in children receiving intravenous opioids: a prospective cohort study. Eur J Pediatr. 2021;180(1):47-56. doi: 10.1007/s00431-020-03703-7, PMID 32529397.
Stein JD, Khawaja AP, Weizer JS. Glaucoma in adults screening diagnosis and management: a review. JAMA. 2021;325(2):164-74. doi: 10.1001/jama.2020.21899, PMID 33433580.
Konieczka K, Flammer J. Treatment of glaucoma patients with flammer syndrome. J Clin Med. 2021;10(18):4227. doi: 10.3390/jcm10184227, PMID 34575340.
Eluru A, Surendra Babu K. Bioanalytical method development and validation for aplidine in rat plasma and their pharmacokinetic studies by LCMS. WJPPS. 2019;8:1201-9.
Ramchandran D, Kethipalli A, Krishnamurthy M. Bio-analytical method development and validation of daunorubicin and cytrarabine in rat plasma by LC-MS/MS and its application in pharmacokinetic studies. J Pharm Sci Res. 2020;12(3):381-6.
Naykode MD, Bhagwat DA, Jadhav SD, More HN. Analytical and bioanalytical method for quantification of pure azilsartan not its salts by RP-HPLC. Res J Pharm Technol. 2017;10(3):708-14. doi: 10.5958/0974-360X.2017.00133.0.
Singh M, Charde M, Shukla R, Rita MC. Determination of calcipotriene in calcipotriene cream 0.05% w/w by RP-HPLC method development and validation. Res J Pharm Technol. 2011;4(8):1219-23.
Malathi S, Arunadevi N. Development and validation of stability indicating simultaneous estimation of metformin and alogliptin in tablets by high-performance thin layer chromatography. Int J Pharm Pharm Sci. 2020;12(12):68-73. doi: 10.22159/ijpps.2020v12i12.33871.
Senthil Rajan D, Muruganathan G, Shivkumar K, Ganesh T. Development and validation of HPLC method for simultaneous quantification of vasicine glycyrrhizin and piperine in poly herbal cough syrup. Int J Curr Pharm Res. 2020;12(2):15-9. doi: 10.22159/ijcpr.2020v12i2.37480.
Shanmugasundaram P, Kamarapu SK. RP-HPLC method for the simultaneous estimation and validation of amlodipine besylate and atenolol in bulk and tablet dosage form in biorelevant dissolution medium (Fassif). Res J Pharm Technol. 2017;10(10):3379-85. doi: 10.5958/0974-360X.2017.00601.1.
Gomathy S, Narenderan ST, Meyyanathan SN, Gowramma B. Development and validation of HPLC method for the simultaneous estimation of apigenin and luteolin in commercial formulation. J Crit Rev. 2020;7(19):4785-90. doi: 10.31838/jcr.07.19.560.
Kumar SA, Debnath Anidipa, Rao JV, Sankar DG. Development and validation of a sensitive RP-HPLC method for simultaneous estimation of rosuvastatin and fenofibrate in tablet dosage form by using PDA detector in gradient mode. Res J Pharm Technol. 2016;9(5):549-54. doi: 10.5958/0974-360X.2016.00104.9.
Malak Y Al Bathish, AA Gazy, MK El Jamal. RP-HPLC and chemometric methods for the determination of two antidiabetic mixtures; metformin hydrochloride canagliflozin and metformin hydrochloride gliclazide in their pharmaceutical formulation. Int J Pharm Pharm Sci. 2020;12(2):83-94. doi: 10.22159/ijpps.2020v12i2.35415.
Gadhvi MP, Bhandari A, Suhagia BN, Desai UH. Development and validation of RP-HPLC method for simultaneous estimation of atazanavir and ritonavir in their combined tablet dosage form. Res J Pharm Technol. 2013;6(2):200-3.
Koya Prabhakara Rao Nl, A Amara Babu, Kalyani Koganti, Babji Palakeeti, Koduri SV, Srinivas. Related substances method development and validation of an LC-MS/MS method for the quantification of selexipag and its related impurities in rat plasma and its application to pharmacokinetic studies. SN Appl Sci. 2021;3:321.
Chaitanya SM, Nissankararao S, Gandham SL. A sort of validated bioanalytical method developed for the estimation of etoposide and cisplatin in rat plasma by using two different advanced liquid chromatographic techniques like HPLC and UPLC and its application in bioequivalence studies. IJRPS. 2021;12(1):708-17. doi: 10.26452/ijrps.v12i1.4167.
Naveen VM, Veeraswami B, Srinivasa Rao G. High response bioanalytical validation approach of nadolol and bendroflumethiazide by LC-MS/MS on rat plasma. IJRPS. 2020;11(SPL4):2272-9. doi: 10.26452/ijrps.v11iSPL4.4454.
Kumari GK, Kantipudi R. Bioanalytical method development and validation for avapritinib in rat plasma by LC-MS/MS. J Pharm Sci Res. 2021;13(3):134-7.
Hemanth Kumar AK, Sudha V, Vijayakumar A, Padmapriyadarsini C. Simultaneous method for the estimation of bidaquiline and delamanid in human plasma using high-performance liquid chromatography. Int J Pharm Pharm Sci. 2021;13(3):36-40. doi: 10.22159/ijpps.2021v13i6.40853.
Hasanah YI, Harahap Y, Suryadi H. Development and validation method of cyclophosphamide and 4-hydroxy cyclophosphamide with 4-hydroxy cyclophosphamide-D4 as internal standard in dried blood spots using UPLC-MS/MS. Int J Appl Pharm. 2021;13:148-52.
Pappula N, Kodali B, Datla PV. Selective and rapid determination of tadalafil and finasteride using solid phase extraction by high-performance liquid chromatography and tandem mass spectrometry. J Pharm Biomed Anal. 2018 Apr 15;152:215-23. doi: 10.1016/j.jpba.2018.01.020, PMID 29427880.
Priyadarshini I, Akila Devi D. Development and validation of an LC-MS/MS method for the determination of tenofovir and emtricitabine. Int J App Pharm. 2024;16(2):116-23. doi: 10.22159/ijap.2024v16i2.49667.
Sentat T, Lucida H, Widyati W, Nasif H. Development and validation of a bio-analytical method for the therapeutic drug monitoring of amikacin in human plasma using ultraperformance liquid chromatography tandem mass spectrometry. Int J Appl Pharm. 2024;16(1):140-4. doi: 10.22159/ijap.2024.v16s1.30.
Sura RS, CVS S, Rachamalla SS. Bioanalytical RP-HPLC method development and validation of clopidogrel bisulfate in wistar rat plasma and its application to pharmacokinetic study. Int J App Pharm. 2022;14(1):106-11. doi: 10.22159/ijap.2022v14i1.43328.
Thomas A, Varkey J. Development and validation of a new RP-HPLC analytical method for the determination of etodolac succinic acid co. crystals in spiked rabbit plasma. Int J Curr Pharm Sci. 2023;15(2):59-63. doi: 10.22159/ijcpr.2023v15i2.2098.
Shah SK, Dey S, DE S. Simultaneous determination of atorvastatin and atenolol in rabbit plasma by RP-HPLC method and its application in pharmacokinetic study. Int J Curr Pharm Sci. 2022;14(2):72-8. doi: 10.22159/ijcpr.2022v14i2.1968.
Sunder BS, Mittal AK. Bio analytical method development and validation for simultaneous determination of ledipasvir and sofosbuvir drugs in human plasma by RP-HPLC method. Int J Curr Pharm Sci. 2018;10(3):21-6. doi: 10.22159/ijcpr.2018v10i3.27223.
Kulkarni DC, Dadhich AS, Annapurna MM. Method development and validation of a new stability indicating HPLC and LC-APCI-MS methods for the determination of bumetanide. Res J Pharm Technol. 2023;16(8):3809-7. doi: 10.52711/0974-360X.2023.00629.
Saurav R, Derle DD, Wakchaure AA, Amrutkar AA, More AV. Development and validation of bio analytical method for the estimation of rivaroxaban using RP-HPLC with liquid extraction in human blood plasma and its application in bioequivalence study. Res J Pharm Technol. 2024;17(2):739-5. doi: 10.52711/0974-360X.2024.00115.
Tamilselvi N, Kanagapriya K. Bioequivalence study and bioanalytical method development of remogliflozin etabonate tablets in wistar rat plasma using RP-HPLC method. Res J Pharm Technol. 2024;17(2):789-94. doi: 10.52711/0974-360X.2024.00122.
Marakatham S, Shanmugapandiyan P. Stability indicating bioanalytical validation of elexacaftor ivacaftor and tezacaftor using HPLC in human plasma. Res J Pharm Technol. 2023;16(8):3780-6. doi: 10.52711/0974-360X.2023.00624.
Yamani NS, Mathrusri Annapurna M, Raj Kumar PV. A new stability indicating HPLC and LC-APCI-MS methods for the estimation of dacomitinib in pharmaceutical dosage forms. Res J Pharm Technol. 2023;16(9):4391-8. doi: 10.52711/0974-360X.2023.00718.
Eluru J, Mathrusri Annapurna MA. A new stability indicating HPLC and LC-APCI-MS methods for the estimation of flucytosine in pharmaceutical dosage forms. Res J Pharm Technol. 2023;16(11):5296-302. doi: 10.52711/0974-360X.2023.00858.
Anusha Venna RS, Koppala RVSC, Aleti R, Ramana Murthy Kolapalli V. Bioanalytical method for the preclinical estimation of donepezil hydrochloride in rabbit plasma by RP-HPLC. Res J Pharm Technol. 2023;16(11):5207-2.
Vaka PR, Battula SR. Sensitive and rapid LCMS/MS method for the estimation of recently approved antiviral drugs maribavir and fostemsavir in spiked human plasma. Res J Pharm Technol. 2023;16(11):5149-4. Doi: 10.52711/0974-360X.2023.00834.