
Department of Chemistry, B. K. M. Science College, Valsad 396001, Veer Narmad South Gujarat University, Udhna-Magdalla Road, Surat (West) 395007, State-Gujarat, India
Email: brsudani@yahoo.com
Received: 25 Jan 2016, Revised and Accepted: 14 Mar 2016
ABSTRACT
Objective: The aim of the present invention is to synthesize and find out the biological importance of the series of the designed pyrazoline compounds.
Methods: A series of 3-[3’-(2”,4”-dichloro-5”-fluorophenyl)-5’-(2”-furyl)-4’, 5’-dihydro-1H-pyrazol-1’-yl]-5-substituted phenyl-2-pyrazolines (2a-j) and 1-Nitroso-3-[3’-(2”,4”-dichloro-5”-fluorophenyl)-5’-(2”-furyl)-4’, 5’-dihydro-1H-pyrazol-1’-yl]-5-substituted phenyl-2-pyrazolines (3a-j) were prepared in moderate yields. The structures of both pyrazoline and N-nitroso pyrazoline derivatives have been characterized on the basis of physical properties of the molecule and satisfactory spectral (IR, 1H NMR) data. The antimicrobial activity of the compounds against some Gram (+) and Gram (–) bacteria is reported.
Results: The Moderate yield of the proposed compounds was obtained. Spectral analysis showed the structural confirmation of the synthesized compounds. Some of the compounds showed lower to moderate level of drug-like properties.
Conclusion: From the results of spectral data and microbial activity it has been concluded that the compounds were found to exhibit some functional lead properties; hence these compounds are worth to be considered as potential lead molecules for further study.
Keywords: Chalcone, Heterocyclization, N-nitroso pyrazolines, Antibacterial activity, Antifungal activity
© 2016 The Authors. Published by Innovare Academic Sciences Pvt Ltd. This is an open access article under the CC BY license (http://creativecommons.org/licenses/by/4.0/)
INTRODUCTION
As far as the different pyrazoline isomers are concerned, 2-pyrazoline derivatives became the most regularly studied pyrazolines. Pyrazolines are associated with several pharma-cological activities such as antibacterial [1-2], antifungal [2-3], anti-inflammatory [4], antidepressant [5], anticancer [6] and anticonvulsant [7-8]. It is well known that the introduction of a fluorine atom into an organic molecule causes dramatic changes in its biological activities, mainly due to the high electronegativity of fluorine, the strong carbon-fluoride bond, and increased solubility in lipids. Therefore, we designed the molecule in which two pyrazoline moiety are correlated with each other containing fluorine atom as a substituent on the phenyl ring and screened against some gram-positive and gram-negative bacterial strains.
The biological and medical inference of pyrazoline derivatives also has been encouraged us to synthesize some novel types of pyrazolines and N-nitroso pyrazolines, with an aim to study their biological activities. Insertion of substituted aromatic rings at 3 and 5 positions or nitroso group at 1 position into 2-pyrazoline molecules may be beneficial to their bioactivities. It has been revealed that substitution in the phenyl ring enhances their antimicrobial activity. Taking this expected effect into consideration, herein we are reporting on the preparation of new 3, 5-diaryl pyrazoline derivatives.

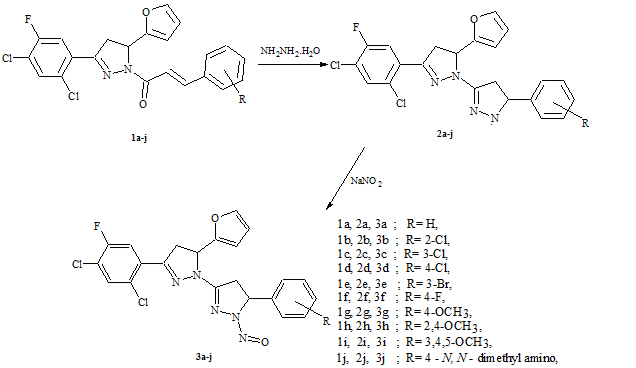
Fig. 1: Reaction scheme
MATERIALS AND METHODS
Reagents and instrumentation
All chemicals were purchased from commercial sources and were used without further purifications. Thin Layer Chromatography was performed on readymade silica gel plates (Merck) using mobile phase Benzene: CH3OH (9:1) and were visualized with UV (254 nm) or Iodine to check the purity of compounds. All melting points were determined in open capillary and are uncorrected. The Infrared (IR) Spectra were recorded on an FTIR-8400 Shimadzu spectrometer using potassium bromide pellets. The Proton Nuclear Magnetic Resonance (1HNMR) spectra were recorded on a Brüker Avance dpx-200 (at 200 MHz) spectrometer using tetramethyl silane (TMS) as the internal standard. Chemical shifts are expressed in part per million (ppm). All reagents were of the highest purity commercially available.
The IR spectra of compounds exhibited a band due to =CH str. and C=C str. in a range of 3100-3000 cm-1 and 1635-1495 cm-1 respectively. Absorption band was observed due to C-H bending [1, 2, 4, 5-substituted] near 900-860 cm-1 and C-H bending [1,4-substituted] near 840-800 cm-1.
Examination of IR spectra reveals that all the compounds exhibited absorption near 1650-1580 cm-1 indicate the presence of C=N group of pyrazolines. The IR spectrum showed absorption in the region between 3400-3100 cm-1indicates the presence of N-H stretching of secondary amine. Absorption observed in the region of 750-700 cm-1 and 1100-1000 cm-1 indicates the presence of C-Cl and C-F stretching respectively. Ether asymmetric and symmetric stretching vibration observed near 1260-1220 & 1075-1015 cm-1. Absorption band was observed near 1600-1500 cm-1 due toNO str [83]. An IR spectral feature seems to assume the chemical structure of present synthesized compounds.
IR spectra showed the disappearance of the band at 1668 cm-1 due to-C=C-CO-(chalcones), appearance at 1650-1580 cm-1 due to C=N (ring) proves the conversion of compound (1a-j) to (2a-j) and (3a-j).
Further, in their 1H NMR (δ, CDCl3) spectrums, the appearance of the signal at δ: 3.3 due to (-CHa-CH-, dd, 1H) and δ: 3.8 due to (-CHb-CH-dd, 1H) prove the presence of pyrazoline ring. The appearance of the signal near δ: 2.9 and δ: 3.8 prove the presence of-N (CH3)2 and-OCH3 in the compound. The disappearance of the signal of NH of pyrazoline proves the conversion of pyrazoline to N-nitroso pyrazolines. 1H NMR spectra display nature of different protons of synthesized compounds respectively.
General procedure
The general synthesis of starting material have been previously reported by us, and now its pyrazoline (2a-j) and N-nitroso pyrazoline (3a-j) compounds have been prepared to study the variation of the structure-activity relationship (SAR).
General procedure for the preparation of 3-(3’-(2”, 4”-dichloro-5”-fluoro phenyl)-5’-(2”-furyl)-4’, 5’-dihydro–1H-pyrazol-1’-yl]-5-substituted phenyl-2-pyrazoline [PZ-1 to PZ-10]: A mixture of 1-(3’-(2”, 4”-dichloro-5”-fluorophenyl)-5-(2”-furyl)-4’,5’-dihydro-1H-pyrazol-1’-yl]-3-substi-tuted phenyl-2-propen-1-one (0.01 mol), hydrazine hydrate (80 %) (0.02 mol) and distilled water (2 ml) in ethanol (25 ml) was refluxed on water bath for 6 h. Then the reaction poured into ice cold water and acidified with dilute HCl. The separated solid was filtered, washed with water till neutral pH, dried and recrystallized from Chloroform: Methanol (1:1) mixture. The purity of the compound checked on TLC using Benzene: Acetone (7:3) mixture as a mobile phase.
Similarly, all the synthesized compounds (PZ-1 to PZ-10) given in table no. 1 were prepared by the above general method and their formulas, melting points, yields, and analytical data are given in table no. 1.
General procedure for the preparation of 1-nitroso-3-(3’-(2”,4”-dichloro-5”-fluorophenyl)-5’-(2”-furyl)-4’,5’-dihydro–1H-pyrazol-1’-yl]-5-substituted phenyl-2-pyrazoline [NPZ-11 to NPZ-30]: 3-(3’-(2”,4”-dichloro-5”-fluorophenyl)-5’-(2”-furyl)-4’, 5’-dihydro-1H-pyrazol-1’-yl]-5-substitutedphenyl-2-pyrazoline (0.01 mol) was given a treatment of equal amount of HCl. Then the reaction mixture was cooled in ice bath and added in 10% NaNO2 solution slowly with vigorous stirring. The reaction mass further stirred for 30 min at 32 °C. The separated solid was filtered, washed with water till neutral pH. Further dried and recrystallized from chloroform: acetone (1:1) mixture. The purity of the compound checked on TLC using Benzene: Methanol (8:2) as a mobile phase. Similarly, all the synthesized compounds (NPZ-11 TO NPZ-20) given in table no. 1 were prepared by the above general method and their formulas, melting points, yields, and analytical data is given table no. 1.
RESULTS AND DISCUSSION
A conventional synthesis of these compounds involves a reaction of 1-[3’-(2”, 4”-dichloro-5”-fluorophenyl)-5’-(2”-furyl)-4’, 5’-dihydro-1H-pyrazol-1’-yl]-3-substituted phenyl-2-propen-1-ones (1a-j) with hydrazine hydrate (80 %) followed by the treatment of sodium nitrate to give corresponding pyrazoline (2a-j) and N-nitroso pyrazoline derivatives (3a-j) respectively. The reaction sequence leading to the formation of different title compounds is outlined in the reaction scheme. We have prepared twenty compounds in moderate yields. All the products have been characterized on the basis of physical properties of the molecule and satisfactory spectral (IR, 1H NMR) data.
All the compounds were subjected to the various screening programmes and studied inhibitory effects of pyrazoline derivatives on various bacteria and fungi. From the screening results summarized in table No. 2, it can be concluded that compounds PZ-2, PZ-4, PZ-6, PZ-8, PZ-9 and PZ-10 possesses moderate to good antibacterial activity, may be due to the presence of methoxy, chloro, fluoro and N,N-dimethylamino groups as substituents on the phenyl ring. The comparison of inhibition value of the compounds PZ-2 and PZ-4, shows that substitution of chloro group at ortho position has good activity against gram-positive bacteria, as substitution of chloro group at para position has good activity against gram-negative bacteria. The substitution of chloro group at meta position has mild to least activity against both gram-negative and gram-positive bacteria. On the contrary, the comparison of inhibition value of the compounds PZ-1 and PZ-5 reveals that the presence of phenyl or bromophenyl ring contributes almost lowest or nil to the antibacterial activity.
As far as the screening results of N-nitroso pyrazolines are concerned, it can be concluded that activity of the compounds NPZ-12, NPZ-19 and NPZ-20 slightly increased may be due to the combination of methoxy, chloro and N,N-dimethylamino with nitroso group in pyrazoline moiety against all bacterial strains. While the compounds NPZ-3 and NPZ-15 found no improvement in antibacterial activity. The comparison of inhibition value of the compounds NPZ-12, NPZ-13 and NPZ-14 shows that substitution of chloro group with a combination of nitroso group increases the activity. The substitution of chloro group at meta position has mild to least activity against both gram-negative and gram-positive bacteria.
On the contrary, the comparison of inhibition value of the NPZ-16 shows that the presence of fluorine groups with a combination of nitroso group slightly improves the antibacterial activity. The introductions of a methoxy group in compound NPZ-19 have a tendency to cause a good increase in antibacterial activity against S. aureus and B. substilis. Substitution by N, N-dimethylamino group at fourth position phenyl ring also improves antibacterial activity against gram-positive bacteria. On the basis of the inhibition value of these compounds, it can be concluded that fluoro, methoxy, N,N-dimethylamino substitution in N-nitroso pyrazoline skeleton furnishes more antibacterial activity. However, the introduction of nitroso group within pyrazoline all enhanced the antibacterial activity. Thus it comes into view that more potential antibacterial activity of compounds can be achieved with an appropriate combination of a heterocyclic moiety having substitution with fluoro, N,N-dimethylamino, methoxy, and nitroso group.
The screening results related to antifungal activity indicate that all the compounds containing 2-chlorophenyl (PZ-2), 3-chlorophenyl (PZ-3), 4-chlorophenyl (PZ-4), 2,4-dimethoxy (PZ-8) and 4-N,N-dimethylamino phenyl (PZ-10) substituent’s in pyrazoline moiety possess good activity against A. niger. Compounds 3-bromo (PZ-5) and 4-fluoro (PZ-6) substituents also enhanced the antifungal activity against C. albicans. From the above results, it can be concluded that the presence of Chlorophenyl, bromophenyl, 4-N,N-dimethyl amino phenyl and methoxyphenyl substitution in pyrazoline core appears to improve the inhibitory effect against A. niger.
Table 1: Analytical data of the compounds 2a-j and 3a-j
No. |
R |
Molecular formula |
M. P. |
Yield |
Found (Calcd. %) |
||
C |
H |
N |
|||||
PZ-1 |
H |
C22H17ON4FCl2 |
112 |
58 |
59.54 |
3.78 |
12.7 |
PZ-2 |
2-Chloro |
C22H16ON4FCl3 |
154 |
63 |
55.33 |
3.41 |
11.8 |
PZ-3 |
3-Chloro |
C22H16ON4FCl3 |
124 |
63 |
55.33 |
3.41 |
11.8 |
PZ-4 |
4-Chloro |
C22H16ON4FCl3 |
148 |
68 |
55.25 |
3.43 |
11.67 |
PZ-5 |
3-Bromo |
C22H16ON4FCl2Br |
131-132 |
58 |
50.52 |
3.15 |
10.68 |
PZ-6 |
4-Fluoro |
C22H16ON4F2Cl2 |
150 |
63 |
57.32 |
3.51 |
12.11 |
PZ-7 |
4-Methoxy |
C23H19O2N4FCl2 |
99 |
64 |
58.31 |
4.05 |
11.79 |
PZ-8 |
2,4-Dimethoxy |
C24H21O3N4FCl2 |
130 |
55 |
57.21 |
4.12 |
11.09 |
PZ-9 |
3,4,5-Tri methoxy |
C25H23O4N4FCl2 |
118-119 |
64 |
56.32 |
4.38 |
10.47 |
PZ-10 |
4-N,N-Dimethyl amino |
C24H22ON5FCl2 |
110-111 |
59 |
59.30 |
4.57 |
14.37 |
NPZ–11 |
H |
C22H16O2N5FCl2 |
109 |
53 |
59.97 |
3.36 |
14.79 |
NPZ–12 |
2-Chloro |
C22H15O2N5FCl3 |
121 |
49 |
52.16 |
2.91 |
13.88 |
NPZ–13 |
3-Chloro |
C22H15O2N5FCl3 |
124 |
59 |
52.09 |
3.01 |
13.78 |
NPZ–14 |
4-Chloro |
C22H15O2N5FCl3 |
119-120 |
65 |
52.18 |
3.02 |
13.86 |
NPZ–15 |
3-Bromo |
C22H15O2N5FCl2Br |
132 |
63 |
47.88 |
2.68 |
12.67 |
NPZ–16 |
4-Fluoro |
C22H15O2N5F2Cl2 |
128 |
72 |
53.82 |
3.01 |
14.33 |
NPZ–17 |
4-Methoxy |
C23H18O3N5FCl2 |
110 |
63 |
54.94 |
3.63 |
13.89 |
NPZ–18 |
2,4-Dimethoxy |
C24H20O4N5FCl2 |
114 |
73 |
54.20 |
3.81 |
13.21 |
NPZ–19 |
3,4,5-Tri methoxy |
C25H22O5N5FCl2 |
154 |
58 |
53.42 |
3.88 |
12.41 |
NPZ–20 |
4-N, N-Dimethyl amino |
C24H21O2N6FCl2 |
115-116 |
69 |
55.89 |
4.11 |
16.36 |
Table 2: Antimicrobial activity data of the compounds 2a-j and 3a-j
No. |
R |
Antibacterial Activity |
Antifungal Activity |
||||
Diameter of zone of inhibition (In mm) |
% Inhibition |
||||||
S. aureus |
B. |
E. |
P. aeruginosa |
A. |
C. |
||
PZ–1 |
H |
- |
5 |
- |
- |
- |
- |
PZ–2 |
2-Chloro |
10 |
9 |
7 |
6 |
49.14 |
34.78 |
PZ–3 |
3-Chloro |
5 |
- |
6 |
7 |
48.21 |
37.44 |
PZ–4 |
4-Chloro |
9 |
8 |
12 |
11 |
52.34 |
40.12 |
PZ–5 |
3-Bromo |
- |
4 |
5 |
6 |
34.45 |
47.67 |
PZ–6 |
4-Fluoro |
7 |
6 |
11 |
10 |
32.56 |
46.58 |
PZ–7 |
4-Methoxy |
9 |
10 |
- |
6 |
47.70 |
50.29 |
PZ–8 |
2,4-Dimethoxy |
10 |
11 |
7 |
8 |
51.71 |
51.37 |
PZ–9 |
3,4,5-Tri methoxy |
12 |
11 |
6 |
8 |
53.21 |
52.13 |
PZ-10 |
4-N,N-Dimethyl amino |
15 |
13 |
7 |
8 |
51.43 |
53.43 |
NPZ–11 |
H |
5 |
7 |
- |
- |
19.35 |
25.21 |
NPZ–12 |
2-Chloro |
11 |
10 |
9 |
7 |
53.65 |
46.70 |
NPZ–13 |
3-Chloro |
6 |
5 |
7 |
9 |
50.25 |
47.85 |
NPZ–14 |
4-Chloro |
10 |
8 |
12 |
12 |
52.34 |
50.12 |
NPZ–15 |
3-Bromo |
- |
6 |
5 |
6 |
44.65 |
51.45 |
NPZ–16 |
4-Fluoro |
8 |
7 |
11 |
11 |
33.45 |
47.12 |
NPZ–17 |
4-Methoxy |
13 |
12 |
- |
6 |
50.90 |
51.12 |
NPZ–18 |
2,4-Dimethoxy |
12 |
12 |
7 |
8 |
53.25 |
52.89 |
NPZ–19 |
3,4,5-Tri methoxy |
14 |
11 |
7 |
9 |
56.51 |
53.13 |
NPZ–20 |
4-N, N-Dimethyl amino |
15 |
13 |
8 |
8 |
58.60 |
54.43 |
STD. |
Ampicillin |
26 |
18 |
29 |
19 |
- |
- |
STD. |
Griseofulvin |
- |
- |
- |
- |
84 |
82 |
The screening results indicate that all the compounds containing 2-chlorophenyl (PZ-2), 3-chlorophenyl (PZ-3), 4-chlorophenyl (PZ-4), 2, 4-dimethoxy (PZ-15) and 4-N,N-diethylamino phenyl (PZ-18) substituent’s in N-nitroso pyrazoline moiety possess good activity against A. niger. Compounds 3-bromo (PZ-25), 2-nitro (PZ-27) and 3-nitro (PZ-28) substituent’s with a combination of nitroso group at 1-position add nothing to the antifungal activity against C. albicans. From the above results, it can be concluded that the presence of chlorophenyl, bromophenyl, 4-N, N-dimethyl amino phenyl and methoxyphenyl substitution in pyrazoline core appears to improve the inhibitory effect.
In summary, the title substituted 3,5-diaryl-1-nitroso pyrazolines can be an attractive compound for the development as a novel antifungal agent respectively. Whereas in vitro antifungal activity was evident throughout the series that, in general, compounds having chlorine, methoxy and 4-N,N-dimethylamino substituents in either or both phenyl rings displayed moderate to good activity. However, when compared to standard drugs, our compounds were found less effective.
Antibacterial assay
This part deals with the in vitro testing of newly synthesised compounds for their antibacterial activity against gram-positive like Staphylococcus aureus, B. substilis and gram-negative like Escherichia coli, Pseudomonas aeruginosa bacterial strains. It is a determination of the effectiveness of antibiotics against specific pathogenesis essential to proper therapy. Cup-plate agar diffusion method employed for the determination of antibacterial activity by measure the inhibition zone in mm. Standard drugs Ampicillin and Penicillin-G were used as reference compounds for the comparison.
Antifungal activity
The in vitro screening for antifungal activity was also performed by the use of poisoned food technique against Aspergillus niger and Candida albicans. Standard drugs Griseofulvin was used as reference compounds for the comparison.
ACKNOWLEDGEMENT
The authors thank B. K. M. Science College, Valsad, for research facilities, Astra Zeneca Pharma India Limited, Bangalore for 1HNMR spectral analysis, Choksi Laboratories Limited, Vapi for providing IR Spectral analysis.
CONFLICT OF INTERESTS
Declare none
REFERENCES