
K. B. Institute of Pharmaceutical Education and Research, A-1322, Rajiv Park, Adinath Nagar, Odhav, Ahmedabad 382415 Gujarat, India
Email: agrawalniper@gmail.com
Received: 03 Feb 2016, Revised and Accepted: 14 Mar 2016
ABSTRACT
Objective: Simvastatin, a HMG-CoA reductase inhibitor widely used in the treatment of Hyper (dys) lipidemia causes myotoxicity and hepatotoxicity. These safety issues limit dose of Simvastatin, lead to additional monitoring of the patients as well as discontinuation of therapy. To alleviate the adverse effects and to improve efficacy and safety profile, Simvastatin was encapsulated in the nanoparticulate formulation and compared with marketed reference formulation (Zocor tablets).
Methods: The nano particles (NPs) were prepared using single emulsion diffusion method and optimized for particle size, PDI, zeta potential, encapsulation efficiency.
Results: The efficacy and safety of final formulation were evaluated in HFD induced hyperlipidemic albino rats. The results suggested that the NPs have significant improvement of efficacy and reduction of the toxicity in comparison to marketed reference formulation.
Conclusion: By encapsulating the Simvastatin in the NPs, the 50% dose reduction can be achieved without compromising efficacy.
Keywords: Nanoparticles, Simvastatin, Dose reduction, HFD model, Myopathy, HMG CoA
© 2016 The Authors. Published by Innovare Academic Sciences Pvt Ltd. This is an open access article under the CC BY license (http://creativecommons.org/licenses/by/4.0/)
INTRODUCTION
Hyper (dys) lipidemia is a condition which includes a decreased concentration of high-density lipoprotein (HDL) cholesterol as well as qualitative changes in low-density lipoprotein (LDL), notably the presence of small, dense LDL particles. Both abnormalities, together with raised triglycerides, are features of the metabolic syndrome, increasingly recognized as a harbinger of coronary heart disease (CHD) [1].
Statins are the treatment of choice for the management of hyperlipidemia because of their well-proven efficacy. Statins inhibit the enzyme 3-hydroxy-3-methyl-glutaryl coenzyme A (HMG CoA) reductase resulting in reduced cholesterol synthesis. Because of the associated risk of cardiovascular disorders with elevated lipid profiles, the statin market is increasing globally. Simvastatin has widely used statin for the maintenance of the Hyperlipidemia [2].
Simvastatin falls in class III (high solubility, poor permeability) under BCS. The absolute bioavailability of Simvastatin was estimated as 5%. The drug undergoes extensive hepatic first-pass extraction. The liver is the primary site of action of the active form. Maximum plasma concentration of active inhibitors is reached approximately 1-2 h after administration of Simvastatin. The protein binding of Simvastatin and its active metabolite is>95 %. Metabolism of Simvastatin seems to be a minor route of elimination in humans, and Simvastatin is mainly excreted into bile as a parent. In a human mass balance study, 60% of the dose was recovered in feces [3].
The most common and severe side effects of Simvastatin are myo toxicity (rhabdomyolysis [4] and myopathy [5]) and hepatotoxicity [6]. The incidence of statin-induced rhabdomyolysis is so severe that it causes discontinuation or dose reduction of the drug which again exposes the patients to the cardiovascular events [7]. The literature data suggest that exposure of the statin to the extrahepatic tissues followed by the inhibition of HMG-CoA reductase leads to the adverse effects of the drug [8].
The adverse effects of Simvastatin can be reduced by decreasing its exposure to extrahepatic sites and by decreasing plasma drug concentration. This can be achieved by entrapping the Simvastatin in NPs. The NPs circulates for a longer time in plasma with controlled release of the drug that will reduce the side effects of the drug as well as improve the efficacy.
The NPs were manufactured using single emulsion diffusion method. The NPs were optimized for the particle size, PDI, Zeta potential and entrapment efficiency. The final formulation of NPs in different doses was administered to the animals with elevated levels of Lipids, and their effect was measured in comparison to the marketed reference formulation (Zocor tablets).
MATERIALS AND METHODS
Materials
Simvastatin was obtained as a gift sample from Cadila Pharmaceuticals Limited. The other chemicals of the Laboratory grade were procured from the corresponding companies.
Analytical method
The UV spectroscopic method was used for analysis since its simple and widely used. As Simvastatin is poorly soluble in water, all the standard solutions were prepared in methanol. The scan of standard solution was taken from 190 to 370 nm wavelength at the scan speed 50 nm/s and the measurement of all standard solutions were taken at the absorbance maxima.
Drug-polymer compatibility studies
The drug-polymer compatibility study was performed to check the possible interaction between Simvastatin and polymer. The samples of the drug, polymer and drug-polymer mixture (ration 1:1) were filled in separate vials. The samples were stored at 25 °C±2 °C/65%±5%RH and 40 °C±2 °C/75%±5% RH (test samples) and in the refrigerator (control sample) for 28 d. The samples were withdrawn from the vials at the interval of 7, 14 and 28 d and were evaluated for the description and Assay.
Preparation of NPs
Based on the initial trial and error experiments, the following method was used for the preparation of NPs.
Simvastatin and PLGA were dissolved in an organic solvent to form the internal (organic) phase of the emulsion. The surfactant was dissolved in water with stirring using a magnetic stirrer to form the external (aqueous) phase of the emulsion. The organic phase was transferred into the aqueous phase with stirring to make the emulsion. This emulsion was then homogenized using shaft homogenizer to convert into nanoemulsion. This nanoemulsion was added in water. The preparation was kept for stirring to allow sufficient time for solvent evaporation. This causes the solidification of the nanodroplets to form NPs suspended in the aqueous phase.
To remove the excess surfactants from the surface of NPs, the washing of NPs was performed. The nanoparticle suspension was centrifuged, and the supernatant was discarded. The cake was resuspended in water. The same procedure was repeated one more time to get the cake which was finally resuspended in water.
The materials, as well as process related parameters, were varied to check their effect on the particle size, PDI, zeta potential and entrapment efficiency. The following studies were performed as a part of optimization studies.
Screening of different grades of PLGA
Screening and optimization of surfactant
Optimization of drug loading
Freeze drying study
The freeze drying of NPs was performed to improve the stability of the formulation. 2 ml of NPs suspension with different lyoprotectants (sucrose, dextrose, trehalose and mannitol with concentration 6 % w/v) was freeze dried. The reconstitution time of the freeze-dried cake was checked to evaluate the suitability of freeze drying process. Further, the particle size, PDI and entrapment efficiency of the NPs were checked before and after freeze drying to evaluate the impact and suitability of freeze drying process [9].
In the next step, the concentration of Trehalose was varied from 4%-10% to optimize its concentration for freeze drying.
In vitro drug release study
The In vitro release of Simvastatin from the NPs was determined by dialysis membrane method [10]. NPs corresponding to 1 mg of drug entrapped were dispersed in 0.5 ml of phosphate buffer (pH 7.4, ionic strength 0.2) in dialysis bags (Sigma) with a molecular mass cut-off of 12000 Da. The bags were suspended in a vial containing 4.5 ml of phosphate buffer (pH 7.4, ionic strength 0.2) at 37±0.5°C and kept in shaking water bath at 50 rpm for 7 d. The release medium was taken out and completely replaced with the fresh phosphate buffer medium at 0.5h, 1.0h, 1.5h, 2.0h, 2.5h, 3.0h, 3.5h, 4.0h, 5.0h, 6.0h, 8.0h, 10.0h, 12.0h, 18h, 24.0h, 48.0h, 72.0h, 96.0h,120.0h, 144.0h, 168h. The samples were stored in the refrigerator to prevent any possible drug degradation. The drug released at each time points were evaluated using the validated method.
Accelerated stability study [11]
The accelerated stability study of NPs was performed as per ICH guidelines for the drug products to be stored in the refrigerator. The accelerated stability study was performed at 25±2 °C/60%±5% RH. The samples were kept within the vials with cap and without cap (as a control). The samples were withdrawn after 1, 2, 3 and 6 mo and the different parameters like particle size, PDI and the entrapment of drug in NPs were measured to determine any change during the accelerated stability study.
pH-dependent stability of nanoparticles in simulated fluids [12]
The polymeric NPs are targeted to be administered through oral route of administration. After oral administration, the NPs will pass through different gastrointestinal regions with different pH and enzymatic conditions. This exposure can influence the physicochemical properties of NPs which is critical for the absorption. Further, the different pH condition may also cause to the destruction of the NPs and the release of the drug from them which may result in a decrease in drug entrapment and hence bioavailability. To test this hypothesis, Simvastatin loaded NPs were exposed to different pH media and the change in their physicochemical properties was elucidated. pH-dependent stability studies were carried out in test media with 0.1 N HCL (pH 1.2), pH 4.5 acetate buffer, pH 6.8 phosphate buffer and pH 7.4 phosphate buffer which simulates the different pH of GI tract. The detailed procedure is as stated below.
9 ml of test media was added to 1 ml of Polymeric NPs suspension. The samples in 0.1N HCl were investigated after 2 h and in pH 4.5 acetate buffers, pH 6.8 phosphate buffer and pH 7.4 phosphates were investigated after 6 h. The selection of time interval is based on expected formulation residence time in stomach and intestine. The Particle size, PDI and entrapment of the drug were determined on the preset time periods.
In vivo study
To evaluate the efficacy and safety of Simvastatin in NPs, the In vivo study was planned using the high-fat diet (HFD) model of albino rats [13]. The Male albino rats with an average weight of 200g–400g were used for evaluation. The guidelines of committee for the purpose of control and supervision of experiments on animals (CPCSEA), Government of India were followed, and prior permission was sought from the institutional animal ethics committee for conducting the study.
The detail of the study design is provided in table 1.
Table 1: In vivo study design
| Treatment | Diet | Dose | Blood sampling point | Biochemical parameters |
| Control group | NPD | - | Initial, 4, 6 and 8 w | Efficacy parameters: Plasma triglyceride, Plasma total cholesterol, LDL and HDL Safety parameters: SGOT, LDH and Glucose |
| No treatment | HFD | - | ||
| Blank NP | HFD | a | ||
| Simvastatin (Zocor) tablets | HFD | 2 mg/kg/day | ||
| Simvastatin NPs | HFD | 2 mg/kg/day | ||
| Simvastatin NPs | HFD | 2 mg/kg/2day |
a: the dose of blank NPs administered was corresponded to the drug loaded NPs
The rats were divided into six groups of n = 6. One group received NPD and all other groups received HFD. Groups receiving HFD were again divided into no treatment, and treatment groups. The animals of the treatment group were treated from 4 w-6 w with Simvastatin loaded NPs, Zocor tablets (reference product for Simvastatin) and blank nanoparticles. The dose of Zocor tablets (reference product for Simvastatin) was kept as 2 mg/kg/day. The dose of the drug loaded NPs was same as the reference product in one group (2 mg/kg/day) while half dose (2 mg/kg/2day) to the reference product was administered in another group. Blood sampling was performed initially and after four, six and eight weeks. The efficacy and safety profile of Simvastatin in individual animals were evaluated using biochemical parameters.
Plasma total cholesterol levels (PTC), plasma triglyceride levels (PTG), high-density lipoprotein cholesterol (HDLC), plasma glucose levels (PGL), were estimated using commercially available diagnostic kits (Accurex kits). Plasma enzyme activities of lactate dehydrogenase (LDH) and aspartate transaminase (AST) were estimated using commercially available diagnostic kits (Pointe Scientific Inc., USA and Crest Biosystems, India, respectively). Low-density lipoprotein cholesterol (LDL-C) levels were calculated using the Friedewald formula.
RESULTS AND DISCUSSION
Analytical method development and validation
A new UV method was developed to quantitate Simvastatin in NPs. To check the specificity of method, the UV spectra of PLGA and Simvastatin were compared. No significant absorbance of PLGA was found at absorbance maxima of Simvastatin (238 nm).
The absorbance of Simvastatin was measured using the standard concentrations from 0.25-20 µg/ml. The results showed a very good linearity of the curve at the concentration range of 1-15 µg/ml. The results are summarized in table 2. The calibration curve with line equation and R2value for Simvastatin is provided in the fig. 1.
Table 2: Validation parameters for simvastatin analysis using UV method
| Parameters | Values |
| Linearity (µg/ml) | 1-15 |
| Linearity (R2) | 0.9999±0.0001 |
| Slope | 0.0630±0.0003 |
| Intercept | -0.0095±0.0017 |

Fig. 1: Calibration curve for simvastatin
The method was further validated for interday and intraday precision, and the validation results are provided in table 3. The results confirm that UV method can be used for quantification of Simvastatin in PLGA NPs.
Table 3: Intraday and interday variability of simvastatin analysis using UV method
Conc (µg/ml) |
Intradaya |
Interdayb |
||
Accuracy |
Precision |
Accuracy |
Precision |
|
1 |
97.38 |
0.30 |
100.54 |
0.83 |
8 |
99.65 |
0.24 |
99.96 |
0.34 |
15 |
98.83 |
0.18 |
99.47 |
0.74 |
aFor intraday variability triplicates were analyzed three times on a single day., bFor interday variability triplicates of the concentrations specified were analyzed on three consecutive days., Precision and accuracy represented as % RSD and % recovered respectively.
Table 4: Drug-polymer compatibility study
Condition |
Sample |
Description |
Assay |
|||||
7d |
14d |
28d |
0d |
7d |
14d |
28d |
||
40±2°C/75%±5%RH |
PLGA |
* |
* |
* |
- |
- |
- |
- |
Simvastatin |
* |
* |
* |
99.8% |
99.3% |
99.6% |
98.7% |
|
PLGA+Simvastatin |
* |
* |
* |
99.8% |
99.4% |
99.1% |
98.8% |
|
25±2°C/65%±5%RH |
PLGA |
* |
* |
* |
- |
- |
- |
- |
Simvastatin |
* |
* |
* |
99.8% |
99.6% |
99.5% |
99.5% |
|
PLGA+Simvastatin |
* |
* |
* |
99.8% |
99.8% |
99.7% |
99.4% |
|
Refrigerator |
PLGA |
* |
* |
* |
- |
- |
- |
- |
Simvastatin |
* |
* |
* |
99.8% |
99.8% |
99.8% |
99.5% |
|
PLGA+Simvastatin |
* |
* |
* |
99.8% |
99.6% |
99.4% |
98.9% |
|
*white powder
Drug-polymer compatibility studies
The Results of drug-polymer compatibility study at different conditions are shown in table 4.
The results show that Simvastatin has good stability. No change in description and additional loss of the potency of Simvastatin was observed when combined with an excipient. Further, the loss in potency of Simvastatin was more at high temperature and humidity. However, these values were not significant indicating the minimal effect of temperature and humidity on the degradation of Simvastatin. The results confirm the compatibility of Simvastatin with the polymer.
Optimization of formulation and process parameters
Effect of grades of PLGA
The NPs were prepared using the 3 grades of PLGA polymer with L: G ratio i.e. 70:30, 50:50 and 30:70 and the results are summarized in table 5.
Table 5: Effect of polymer grade on characteristics of NPs
| Polymer | L: G ratio* | Particle size (nm) | PDI | Zeta potential | Entrapment efficiency (%) |
| PLGA | 70:30 | 368.33±3.15 | 0.224±4.045 | 17.000±8.484 | 57.49±0.90 |
| 50:50 | 318.00±2.50 | 0.173±9.556 | 17.267±4.926 | 49.56±1.90 | |
| 30:70 | 308.33±2.09 | 0.161±4.759 | 21.233±11.973 | 40.36±3.65 |
Data are shown as mean±SD (n =3)
The entrapment of Simvastatin and particle size of NPs was increased with increase in the L: G ratio in PLGA. There was no significant change in the zeta potential and PDI. To balance the particle size as well as the entrapment of Simvastatin, PLGA 50:50 was finalized for further study.
PLGA is a copolymer of lactic acid and glycolic acid. PLGA with high L: G ratio is more hydrophobic since lactic acid is more hydrophobic in comparison to Glycolic acid. This leads to high adhesive force within the polymer structure and affinity of the polymer to the organic solvent. Due to high adhesive force, the particle size reduction will be difficult. The organic solvent diffusion will also decrease due to increase in solvent-polymer interaction. This leads to increase in particle size of NPs. Reduction in particle breakage and solvent diffusion will decrease drug diffusion from NPs.
Effect of nature of surfactants and concentration
To evaluate the effect of nature and concentration of Surfactant on NPs, 3 surfactants i.e. Cremophor RH 40, PVA and poloxamers were used at the different concentration of 1%, 2%, and 3%. The results of the study are summarized in table 6.
Table 6: Effect of surfactant on characteristics of NPs
| Surfactant | Conc. (%) | Particle size (nm) | PDI | Zeta potential | Entrapment efficiency (%) |
| Cremophor RH 40 | 1 | 573.333±4.191 | 0.347±12.491 | -13.067±-9.226 | 55.66±0.75 |
| 2 | 541.333±1.082 | 0.293±10.476 | -14.900±-8.569 | 52.96±0.22 | |
| 3 | 516.000±6.425 | 0.251±4.697 | -15.433±-5.033 | 49.56±1.90 | |
| PVA | 1 | 421.33±3.09 | 0.14±11.474 | 13.5±16.042 | 55.664±0.747 |
| 2 | 376.00±6.13 | 0.16±5.2417 | 14.6±6.6052 | 52.961±0.219 | |
| 3 | 318.00±2.50 | 0.17±9.5556 | 17.267±4.9256 | 49.556±1.9 | |
| Poloxamer | 1 | 650.333±1.3257 | 0.247±8.6549 | 11.233±6.2526 | 55.664±0.747 |
| 2 | 668.333±2.3674 | 0.3013±14.865 | 8.93±4.1885 | 52.961±0.219 | |
| 3 | 670.333±3.0947 | 0.3223±8.3265 | 9.3933±2.8253 | 49.556±1.9 |
Data shown as mean±SD (n =3).
The results show that all these 3 surfactants give the particles below 650 nm at the lowest concentration of 1%. However, the particle size obtained with the PVA is much lesser in comparison to Cremophor and poloxamers. Further, the particle size was reduced with an increase in the concentration of the surfactant for each surfactant. The reason for the fine particle size with PVA may be due to the great reduction of surface tension between organic and an aqueous phase by PVA in comparison to other 2 surfactants. Due to a decrease in the surface tension, the agglomeration between the particles can be reduced which contributes to the decrease in particle size of NPs. This effect is increased with increase in the concentration of the surfactant.
The entrapment of the drug in NPs with the different surfactant is as stated below.
Cremophor>poloxamers>PVA
The reason may be attributed to breakage of the particles with the reverse sequence of the polymer which causes liberation of the drug from NPs. Further, the solvent diffusion will be more rapid from the small sized particles which cause more diffusion of the drug and hence reduction in the entrapment of the drug with the small particles.
The effect of the surfactant on the PDI was negligible and can not be correlated with the type and concentration of the surfactant.
There was a significant difference in the zeta potential was observed with each of the surfactants. The zeta potential was observed in the negative range for the Cremophor while in the positive range for the PVA and poloxamers. With the increase in the concentration of the surfactant, the zeta potential moved far from the zero value. This may be due to adsorption of the surfactant on the surface of NPs which attracts more opposite charged ion. This forms a tightly bound layer which is responsible for the generation of zeta potential. A more concentration of the surfactants causes more adsorption on NPs and more tight formation of the surface bound layer.
Effect of drug loading
To evaluate the effect of drug loading, the concentration of the Simvastatin was varied from 5-15% in the internal phase. The results of drug loading study are summarized in table 7.
Table 7: Effect of drug loading on characteristics of NPs
| Drug loading | Particle size (nm) | PDI | Zeta potential | Entrapment efficiency (%) |
| 5 % | 281.67±3.36 | 0.221±6.666 | 15.633±2.422 | 55.66±0.75 |
| 10 % | 296.67±1.73 | 0.201±9.120 | 16.300±2.811 | 52.96±0.22 |
| 15 % | 318.00±2.50 | 0.173±9.556 | 17.267±4.926 | 49.56±1.90 |
Data are shown as mean±SD (n =3)
The entrapment of Simvastatin was highest with 5 % drug loading which then decreased with increase in drug loading with no linear correlation. The particle size was increased with increase in the drug loading. There was no significant change in zeta potential and PDI with varied drug loading. Considering the very high amount of the drug entrapment with 15% drug loading even though the % entrapment was less, 15% drug loading was selected for further experimentation.
There are several explanations for the loss of drugs which were not entrapped within NPs. Differences in the entrapment efficiencies were observed with different drug loadings may be because the differences in osmotic pressures between internal and external aqueous phases. The osmotic pressure of the internal aqueous phase was higher in the case of high drug loading, leading to rupture of the lipophilic droplets, and exchange between internal and external aqueous phases with consequent loss of drugs. Due to the high volume of the polymer solution, it is also possible that the polymer layer was not precipitated quickly, and a loss of drug occurs with solvent.
Freeze drying study
To improve the stability of NPs, the freeze-drying was performed. The literature reports suggest that the various sugar molecules will act as cryo protectants and lyoprotectants in freeze drying process. The four different sugars i.e. Dextrose, Sucrose, Trehalose, and Mannitol, were selected based on the literature data and screened at the concentration of 6 %w/v. The results of screening of different lyoprotectants are provided in table 8 and fig. 2.
Table 8: Effect of different sugars (6% w/v) on characteristics of NPs during freeze drying study
| Name of lyoprotectant | Reconstitution time | Particle size (nm) | PDI | Entrapment efficiency (%)* |
| Initial | - | 315.67±3.30 | 0.200±7.576 | 54.05±1.32 |
| Trehalose | 1.5 min | 346.67±2.62 | 0.214±11.619 | 50.01±2.99 |
| Mannitol | 4 min | 489.67±6.89 | 0.240±10.215 | 44.99±1.63 |
| Sucrose | 3.5 min | 488.67±6.55 | 0.233±6.726 | 46.54±1.27 |
| Dextrose | 3 min | 425.67±2.82 | 0.265±2.875 | 44.75±0.85 |
Data shown as mean±SD (n =3)

Fig. 2: Effect of different sugars (6% w/v) on characteristics of NPs during freeze drying study
The particle size for freeze dried NPs was lowest with trehalose in comparison to other sugars with the highest entrapment. The study also suggests the freeze drying process will also cause a slight increase in particle size and decrease in entrapment of the drug. However, considering the improvement of the stability of the product during storage, these changes are negligible. The reconstitution time was also good with all the sugars except mannitol which increased the reconstitution time to 4 min which is quite high. Further, the entrapment of the drug is also lower with the mannitol which proves unsuitability of the mannitol for Simvastatin loaded PLGA NPs. The literature report suggests the conversion of the mannitol in the crystalline form during freeze drying. This might be responsible for breaking of the NPs and formation of the Clumps with broken NPs.
The increase in the particle size and decrease in the entrapment may be due to the effect of the freezing on NPs which confirms that the sugars are not 100% effective in preventing the negative effect of freezing on NPs. The NPs collides with each other causing increase in particle size and breakdown of the particles which causing leaking and thus decrease in the entrapment of the drug.
In the second step, the concentration of Trehalose vas varied (4, 6, 8 and 10 %w/v) to check its effect on characteristics of NPs. The results are provided in table 9 and fig. 3.
Table 9: Effect of concentration of trehalose on characteristics of NPs during freeze drying study
| Concentration of trehalose | Reconstitution time | Particle size (nm) | PDI | Entrapment efficiency (%) |
| Initial | - | 297.00±5.42 | 0.200±7.576 | 55.07±1.69 |
| 4% | 2 min | 364.67±0.96 | 0.236±6.505 | 52.79±1.32 |
| 6% | 1.5 min | 344.33±2.04 | 0.207±18.716 | 50.71±1.44 |
| 8% | 1.5 min | 338.00±2.66 | 0.295±11.865 | 48.01±3.12 |
| 10% | 1.5 min | 313.33±3.83 | 0.258±15.728 | 42.99±0.97 |
Data shown as mean±SD (n =3)
Table 10: Characterization of freeze dried NPs
| S. No. | Sugar (6% w/v) | Physical appearance | Reconstitution score | Ratio (Sf/Si) |
| 1 | NPs without sugar | Collapsed cake | * | - |
| 2 | Trehalose | Intact fluffy cake | *** | 1.10 |
| 3 | Mannitol | Collapsed cake | *** | 1.55 |
| 4 | Sucrose | Collapsed cake | *** | 1.55 |
| 5 | Dextrose | Collapsed cake | *** | 1.35 |
Data shown as mean±SD (n =3), ***indicates reconstitution in 2 ml water with simple inversion of vial and redispersed within few seconds while, * indicates reconstitution needed vortexing for 2 minutes, Sf/Si–Ratio of particle size after freeze drying to particle size before freeze drying

Fig. 3: Effect of concentration of trehalose on characteristics of NPs during freeze drying study
From this study, it was observed that the 10 %w/v of Trehalose will give NPs with the lowest size without much impact on the entrapment of the drug. The particle size, PDI and entrapment of the final formulation observed were 310.00±4.34 nm, 0.169±7.828 and 27.476±0.861% respectively.
The size ratio was measured with each sugar. Size ratio is the ratio of particles size after free drying and before freeze drying. The lower ratio in comparison to another sugar indicates the best sugar for freeze drying. The lower size ratio was observed in the case of Trehalose, which indicated its potential in FD of this formulation. Reconstitution score is the ease with which the NPs can be resuspended in water (2 ml). The higher reconstitution score indicates, the better resuspend ability which was observed in the case of NPs with all four sugars but not with the NPs without sugars. The physical appearance, reconstitution score and the ratio with different sugars is shown in table 10. The AFM image of freeze-dried nanoparticles is provided in fig. 4.
In vitro drug release study
The In vitro drug release study was performed at pH 7.4 to simulate the In vivo condition of plasma. The drug release profile of Simvastatin from NPs is shown in fig. 5.

Fig. 4: AFM image of the freeze dried NPs of simvastatin
The release of Simvastatin from the NPs can be divided into 3 phases from the drug release curve. The Phase 1 has shown the rapid release of the drug which continued for 0-24 h. The Phase 2 has shown intermediate drug release of drug which continued for 24-72 h. The Phase 3 has shown very less drug release of drug which continued for 24-72 h. The release of the drug from nanoparticles will continue for about 7 d. The sustained drug release can also reduce the dose of the drug as well as can reduce the side effects of the drug.

Fig. 5: Cumulative simvastatin released from NPs at pH 7.4
Table 11: Accelerated stability study results
| Time (months) | Particle size (nm) | PDI | Zeta potential (mV) | Entrapment efficiency (%) |
| 0 | 313.33±3.83 | 0.258±1.728 | 14.12±1.48 | 42.99±0.97 |
| 1 | 318.15±8.21 | 0.225±1.025 | 15.17±2.22 | 41.98±1.48 |
| 2 | 325.12±6.92 | 0.261±0.998 | 14.92±2.98 | 41.55±1.15 |
| 3 | 338.84±5.84 | 0.238±0.925 | 14.75±1.41 | 42.87±3.25 |
| 6 | 391.25±7.97 | 0.199±0.681 | 14.11±1.74 | 40.55±0.89 |
Data are shown as mean±SD (n =3)
Accelerated stability study
To confirm the shelf life of freeze-dried NPs, the accelerated stability study was performed. The freeze dried NPs were kept for 6 mo at the ICH-recommended accelerated condition (25 °C and 60%RH) for the products to be stored in the refrigerator in the stability chamber. The results are summarized in table 11.
The stability results show no significant change in particle size as well as entrapment of the drug after 3 mo of stability studies. However, a slight increase in particle size with no change in entrapment was observed as the interval of 6 mo. Further, the PDI and zeta potential were not affected at the accelerated stability study. The results suggest that the NPs are stable up to a period of 6 mo at the accelerated condition. Based on the results, at least 12 mo of shelf life can be awarded to NPs.
pH-dependent stability of nanoparticles
To evaluate the effect of different pH conditions which NPs will be exposed after oral administration, the pH-dependent stability of NPs has evaluated in media simulation the pH of GIT. The results of pH-dependent stability are summarized in table 12.
No significant impact of pH of GIT on any physic-chemical characteristics of NPs was observed. There was no significant impact on the particle size, PDI as well as the entrapment of the drug. There was a slight increase in the particle size with the 0.1N HCl. The impact was much lesser at the pH 7.4 phosphate buffer.
Table 12: Effect of pH on characteristics of NPs
| Media | Particle size (nm) | PDI | Entrapment efficiency (%) |
| Initial | 320.33±5.55 | 0.225±2.896 | 39.52±1.25 |
| 0.1 N HCL (pH 1.2) | 336.67±2.19 | 0.245±8.707 | 38.54±1.11 |
| pH 4.5 acetate buffer | 358.67±2.79 | 0.235±8.526 | 39.21±0.89 |
| pH 6.8 phosphate buffer | 369.33±4.14 | 0.180±8.080 | 37.58±2.45 |
| pH 7.4 phosphate buffer | 342.33±7.93 | 0.281±5.192 | 38.64±2.31 |
Data are shown as mean±SD (n =3)

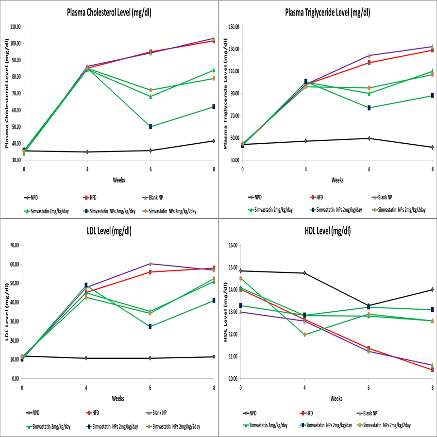
Fig. 6(a): Plasma cholesterol level b) plasma triglyceride level c) plasma LDL Level d) plasma HDL level

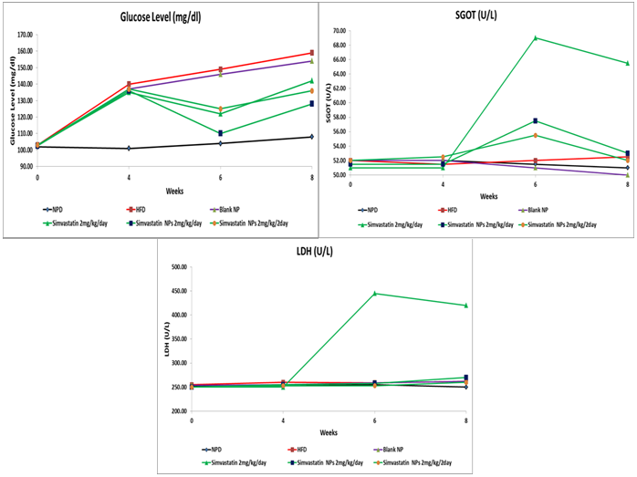
Fig. 7(a): Plasma glucose level b) plasma SGOT level c) plasma LDH level
In vivo study
The results of In vivo study are presented in fig. 6 and 7. The study showed that the biochemical parameters PTC, PTG and LDL-C levels were elevated, whereas HDL-C levels decreased significantly during 4 w of HFD treatment to the rats. Further, the level of the glucose was also elevated while the level of the SGOT and LDH remained unaffected during the treatment with HFD.
The treatment of Rats using Simvastatin formulations caused a significant decrease in the parameters related with Hyperlipidemia i.e. PTC, PTG and LDL-C level while the level of HDL-C was significantly increased. This shows that Simvastatin is causing a significant effect on these lipid profiles and alleviate Hyperlipidemia.
The Zocor tablets (reference product of Simvastatin) causes a decrease in PTC, PTG and LDL-C level during 4-6 w of the treatment period. However, after withdrawing the treatment from 6th week, the PTC, PTG and LDL-C level again starts increases in plasma. This confirms that the effects are only observed during the treatment phase and requires continuous administration of the drug. The reverse trend was observed for HDL which increases during the treatment phase and again starts decreasing after stopping the treatment.
The effect of Simvastatin loaded NPs with the same dose as reference product was very prominent. The PTC, PTG and LDL-C level decreased while HDL level increased more sharply during the treatment phase. Further, the drug effect was also observed after stopping the treatment. The level of these parameters was well maintained during the 6-8 w without treatment of rats. This indicates that the NPs remains circulating in the plasma, releasing the drug for the longer duration of time. Further, half reduction in Simvastatin dose of NPs does not compromise the efficacy much, and the effect was found comparable to the full dose of the reference product. This confirms that approximately half dose reduction of Simvastatin can be done by encapsulating it in NPs.
The level of the glucose was also evaluated during the treatment. The results indicate that Simvastatin causes a reduction in the glucose level. The literature data suggest that Statins are causing sensitization of insulin receptor which causes a reduction in the glucose level. The results show that the NPs were causing more reduction in plasma glucose level when administered at the same dose as the reference product. This confirms better control on glucose level in patients suffering from Hyperlipidemia. However, reducing the dose of NPs to the half will give the comparable glucose reduction as the reference product.
To evaluate the impact of NPs on the safety profile of the drug molecule, the level of SGOT and LDH in plasma were also evaluated. The results indicate that the level of both of these enzymes was same in the Rats with NPS and control rats with HFD. However, exposure of Simvastatin to the Rats had increased their level that shows toxicity of these drugs. However, the increase in the level of both of these enzymes was more prominent with the reference product. The administration of the NPs had reduced the level of SGOT to the significant amount. The level of LDH was same for NPs as well as the control rats which indicate no toxicity with the use of NPs. The results are very promising showing the reduction in the toxicity of Simvastatin to the significant value. Since the effect of Simvastatin was also observed after the treatment phase, the safety parameters were also evaluated during the post-treatment phase. The results confirm the level of the SGOT also decrease after completion of the treatment to the level in the control rats.
The results confirm that the encapsulating the drug in NPs will improve the efficacy and safety in comparison to the reference product. This can increase the marketability of the drug product.
CONCLUSION
The Nanoparticles are very effective in reducing the toxicity and improvement of the safety profile of Simvastatin. Entrapping Simvastatin in nanoparticles will cause 2 times reduction in the dose. This will improve the patient compliance as well as the marketability of Simvastatin.
ACKNOWLEDGEMENT
I am thankful to Cadila Pharmaceuticals Limited for providing Simvastatin. I am also thankful to K. B. Institute of Pharmacy to provide me the facility for research work.
CONFLICT OF INTERESTS
Declare none
REFERENCES