
Research Department of Chemistry, VHNSN College, Virudhunagar 626001, India
Email: ramchem1964@gmail.com
Received: 20 Apr 2016, Revised and Accepted: 31 May 2016
ABSTRACT
Schiff bases have been exposed to reveal a wide range of biological activities, including antifungal, antibacterial, antimalarial, anti-proliferative, anti-inflammatory, antiviral, and antipyretic properties. Mixed ligand complexes can be a synthetic challenge to tune the properties of the transition metal complexes. The review of this paper covers updated information on the most active mixed ligand metal complexes of 1,10-phenanthroline derivatives that have been reported to prove considerable pharmacological actions such as, antifungal, antibacterial, antitumor, antimalarial, antiviral and other biological activities. In the present study, we summarized the biological aspects, chemistry and applications of some important mixed ligand complexes. This review is balancing to earlier reviews and aims to review the work reported on various biological activities of mixed ligand complexes bearing 1,10-phenantroline derivatives from the year 2000 to the beginning of 2016.
Keywords: 1,10-phenanthroline, Mixed ligand complexes, Antibacterial investigation, Antifungal investigation, Antitumor investigation
© 2016 The Authors. Published by Innovare Academic Sciences Pvt Ltd. This is an open access article under the CC BY license (http://creativecommons.org/licenses/by/4.0/)
INTRODUCTION
One of the major applications of the transition metal complexes is their medical testing as antibacterial and antitumor agents aiming toward the discovery of an effective and safe therapeutic regimen for the treatment of bacterial infections and cancers. Research in medicinal inorganic chemistry has prolonged in current years by exploiting a variety of chelating ligands to amend and control the properties of metal ions in biological systems [1–3].
Finding of newer and more potent analogs of molecules with already established activities form a key part of research in the pharmaceutical field. In chemotherapy, the extensive applications have been found to be transition metal ions coordinated to a nitrogen containing ligands, such as 1,10–phenanthroline and/or 2,2'–bipyridine. There are several biologically active molecules which contain various heteroatoms such as nitrogen, sulphur and oxygen, for perpetuity drawn the attention of chemist over the years mainly because of their biological consequence. The ligands (1,10–phenanthroline and 2,2'–bipyridine) are sturdy field bidentate ligands that form very stable chelates with many first-row transition metals [4].
The medicinal utilize of metal complexes has also been a theme of great curiosity recently. In addition, many Schiff base complexes with metals have also aggravated extensive attention because they possess a diverse spectrum of biological and pharmaceutical activities, including antitumor, antioxidative, antifungal, and antibacterial activities [5–11]. Schiff bases and their complexes have been used as biological models to understand the structures of biomolecules and biological processes [12, 13]. The study of complexes involving an aromatic Schiff base and 1, 10-phenanthroline has been studied extensively [14]. To design effective chemotherapeutic agents and better anticancer drugs, it is essential to explore the interactions of metal complexes with DNA [15].
1,10-Phenanthroline(phen) is a rigid, planar, hydrophobic, electron-poor heteroaromatic system whose nitrogen atoms are marvelously situated to act cooperatively in cation binding. These structural features resolve its coordination aptitude toward metal ions. Phen easily forms in aqueous solution octahedral complexes of the type [M(phen)(H2O)4]2+, [M(phen)2(H2O)2]2+ and [M(phen)3]2+with first-row transition metal cations. The interaction of transition metal complexes containing multidentate aromatic ligands, predominantly N-containing ligands, with DNA has gained a lot of curiosity in current years. This is due to their possible application as therapeutic agents and photochemical properties which make them budding probes of DNA structure and conformation. Further, transition metal complexes of 1,10-phenanthroline or their modified variants have been extensively employed in DNA studies due to their applicability in several areas of research, including bioinorganic and biomedicinal chemistry [16-18].
In the present review, the emphasis is given on diverse pharmacological properties associated with mixed ligand metal complexes containing 1,10-phenanthroline (phen) as co-ligand. The review wraps advances made in the last fifteen years and provides an exhaustive discussion on various biological studies.
Antibacterial chattels of mixed ligand complexes
The increase in the mortality rate linked with infectious diseases is directly related to bacteria that demonstrate multiple resistances to antibiotics. The lack of effective treatments is the main cause of this problem [19]. The development of new antibacterial agents with novel and more efficient mechanisms of action is definitely an urgent medical need [20].
Schiff bases have been imperative to as promising antibacterial agents. For example, Mahalakshmi et al. [21] and Raman et al. [22] synthesized a few new Schiff base ligands (obtained by the condensation of N-(4-aminophenyl)acetamide and 4-chloro-benzaldehyde/4-hydroxybenzaldehyde) as main ligand with 1,10-phenanthroline as co-ligand and their Cu(II), Co(II), Ni(II) and Zn(II) complexes (fig. 1) of the composition [M(L)(phen)2]Cl2, these complexes were tested against bacteria. The agar diffusion method was used to evaluate the antibacterial activity of the synthesized metal complexes. The in vitro antimicrobial screening effects of the synthesized compounds were tested against five bacterial strains namely, Staphylococcus aureus, Pseudomonas aeruginosa, Escherichia coli, Staphylococcus epidermidis and Klebsiella pneumoniae. It is found that all the metal complexes have greater inhibitory effects than the free ligand. The DMSO control showed no activity against any bacterial strain.
Raman et al. [23, 24] also synthesized and studied the antibacterial activity of complex combinations of Cu(II), Zn(II) and Ni(II) with Schiff bases obtained by the condensation reaction of diphenyl glyoxal and N-acetoacetyl-o-toluidine with 1-amino-4-nitrobenzene (L1)/1-amino-4-chlorobenzene (L2) as main ligand and 1,10–phenanthroline as co-ligand respectively (fig 2). The disc diffusion method was used for antibacterial activity of Schiff bases, and its complexes have been evaluated by the several bacterial strains, Staphylococcus aureus, Pseudomonas aeruginosa, Escherichia coli, Staphylococcus epidermidis and Klebsiella pneumoniae. Ciprofloxacin was used as the standard compound for antibacterial activity. All the Schiff base (L1/L2) metal complexes of Cu(II), Ni(II) and Zn(II) revealed potential antibacterial activity against all the bacterial strains than the respective Schiff bases.

Fig. 1

Fig. 2
Sobha et al. [25] studied the in vitro antibacterial activities of Schiff base and its mixed ligand Cu(II), Ni(II), Co(II) and Zn(II) complexes using a tryptophan-derived Schiff base (obtained by the condensation of tryptophan and benzaldehyde) as primary ligand and 1,10-phenantroline as the co-ligand. The Schiff base and its mixed ligand complexes have been assayed by the disc diffusion method for antibacterial activity against Staphylococcus aureus, Pseudomonas aeruginosa, Escherichia coli, Bacillus subtilis and Salmonella typhi. It is found that all the metal complexes have greater inhibitory effects than the free ligand. The higher antibacterial activities of the metal complexes compared to the Schiff base may be due to the changes in structure that occur due to coordination and chelation that causes the metal complexes to act as more powerful antibacterial agents.
Sakthivel et al. [26] also analyzed the in vitro antibacterial activities of Schiff base and its mixed ligand Mn(II), Cu(II), Ni(II), Co(II) and Zn(II) complexes using 4-[(furan-2-ylmethylene)amino]-1,2-dihydro-1,5-dimethyl-2-phenyl-3-H-pyrazol-3-one as the main ligand and 1,10-phenantroline as the co-ligand. The Schiff bases have been assayed by the disc diffusion method for antibacterial activity against Staphylococcus aureus, Bacillus subtilis, Escherichia coli, and Klebsiella pneumoniae. All the metal complexes were found to have higher antibacterial activity than the Schiff base ligand.
Patel et al. [27] pageant the results of the antimicrobial assessment of compounds, expressed in growth inhibitory effects, against the following bacterial pathogens, Pseudomonas pyocyanea, Staphylococcus aureus and Klebsiella acrogens. It was noted that [Cu (PMDT)(bipy)](ClO4)2 was more effective against P. pyocyanea and Klebsiella sp. than S. aureus. [Cu(PMDT)(phen)](ClO4)2 and [Cu(PMDT) (bipy)](ClO4)2 compounds expose their potent antibacterial effect.
Shiva Prasad et al. [28] showed the results of the activity of transition metal complexes with 3-(2-hydroxybenzylideneamino)-2-methylquinazolin-4(3H)-one and 1,10-phenanthroline (fig. 3). The in vitro antimicrobial screening effects of the synthesized compounds were tested against five bacterial strains namely, Bacillus subtilis, Escherichia coli, Staphylococcus aureus, Ralstonia solanacearum and Xanthomonas vesicatoria by disk diffusion method, using nutrient agar medium. The results were compared with that of chloramphenicol (MIC= 4 µg ml-1) [23], a standard antibiotic for bacterial strains. The metal complexes showed antimicrobial activities against all the tested bacterial strains with the MIC values in the range of 8-32 µg/ml. The cobalt(II) and oxovanadium(IV) complexes were found to be most active against the tested bacterial strains at 8-16 µg ml-1, whereas copper(II) complex inhibited the bacterial growth at a concentration of 32 µg ml-1.
Mixed ligand complexes of o-vanillidene-2-aminobenzothiazole and 1,10-phenanthroline have been screened for their in vitro bacterial activity against Escherichia coli, Pseudomonas aeruginosa, Salmonella typhi and Vibrio parahaemolyticus by well diffusion method using agar nutrient [29].
Prafulla et al. [30] studied a few mixed fluoroquinolone and N-donor ligands and their complexes. Among the complexes studied, the zinc complexes (fig. 4) were found most active ones against E. coli compared to S. aureus. Especially, the zinc-norfloxacin-N-donor complex was the most active one against E. coli and S. aureus when compared to other corresponding zinc–quinolone complexes.

Fig. 3

Fig. 4

Fig. 5
Sreekanth et al. [31] investigated the antibacterial properties for a few novel ligands and their complexes (fig. 5). Gram-positive bacteria (Staphylococcus aureus and Proteus vulgaris), and Gram-negative bacteria (Escherichia coli and Pseudomonas aeruginosa) were used in this study to assess their antibacterial properties. The tested compounds were dissolved in DMSO and the solutions were serially diluted in order to find the MIC values. The antibiotic chloramphenicol was used as the standard reference in the case of Gram-negative bacteria and amikacin was used as the standard reference in case of Gram-positive bacteria. The solvent DMSO was used as negative control. A comparative study of the Minimum Inhibitory Concentration (MIC) values of the ligands and their complexes indicate that the complexes exhibit moderate antimicrobial activity than the free ligand and control.
From the results, it is inferred that the complexes have a higher inhibitory effect than free ligands. This higher antimicrobial activity of the metal complexes compared to Schiff bases may be due to the change in structure due to coordination and chelating effect to make metal complexes to act as more powerful antibacterial agents, thus killing the microbe or by inhibiting multiplication of the microbe by blocking their active sites [32].
Such increased activity of the metal chelates can be explained by the reduced polarity of the ligand due to the overlap of the ligand orbital and partial sharing of the positive charge of the metal ion with electron releasing groups. It is obvious that reducing the total electron density on free ligands makes the diffusion proceed faster through the bacterial cells [33].
Antifungal chattels of mixed ligand complexes
Raman et al. [22] synthesized a new Schiff base ligand (obtained by the condensation of N-(4-aminophenyl)acetamide and 4-hydroxy-benzaldehyde) as the main ligand with 1,10-phenanthroline as co-ligand and their metal complexes [M(L)(phen)2]Cl2, where M= Cu, Co, Ni, Zn. The agar diffusion method was used to evaluate the antifungal activity of the synthesized metal complexes. The Schiff base ligands and their metal complexes were also screened in vitro in order to find out the antifungal activity against Aspergillus niger, Aspergillus flavus, Curvularia lunata, Rhizoctonia bataticola and Candida albicans. All the metal complexes were found to have higher antifungal activity than the Schiff base ligand.
Raman et al. [23, 24] also synthesized and found out the antibacterial activity of complex combinations of Cu(II), Zn(II) and Ni(II) with Schiff bases obtained by the condensation reaction of diphenyl glyoxal and N-acetoacetyl-o-toluidine with 1-amino-4-nitrobenzene (L1)/1-amino-4-chlorobenzene (L2) as main ligand and 1,10–phenanthroline as co-ligand respectively. The Schiff base ligands and their metal complexes were also tested in vitro to explore the antifungal activity against Aspergillus niger, Aspergillus flavus, Curvularia lunata, Rhizoctonia bataticola and Candida albicans. The agar diffusion method was used to evaluate the antifungal activity of the synthesized metal complexes. The metal complexes were found to have higher antifungal activity comparing to Schiff base ligand. The DMSO control showed no activity against any fungal strain.
Sakthivel et al. [26] explored the in vitro antifungal activities of a new type of Schiff base ligand and its metal complexes. They were also screened in vitro in order to find out the antifungal activity against Aspergillus niger, Curvularia lunata, Rhizoctonia bataticola and Fusarium solani. The agar diffusion method was used to evaluate the antifungal activity of the synthesized metal complexes. All the metal complexes were found to have higher antifungal activity against Schiff base ligand.
Patel et al. [27] studied the biological effects of three fungal species namely Rhizopus sp., Aspergilles flavus and Fusarium sp. The zones of inhibition of these compounds against those fungi were recorded. It was noted that Fusarium sp. was highly susceptible against [Cu(PMDT)(phen)](ClO4)2. Another two fungi Rhizopus sp. and Aspergillus flavus showed the least effectiveness against [Cu(PMDT)(bipy)](ClO4)2 but comparatively more susceptible towards [Cu(PMDT)(phen)](ClO4)2 compound.
Shiva Prasad et al. [28] investigated the biological activity of transition metal complexes having 3-(2-hydroxybenzylideneamino)-2-methylquinazolin-4(3H)-one and 1,10 phenanthroline. The in vitro antifungal screening effects of the synthesized compounds were tested against four fungal strains namely, Aspergillus niger, Aspergillus flavus, Fusarium oxysporum and Alternaria solani by disk diffusion technique using potato dextrose agar as a medium. The results were compared with that of amphotericin-B (4-8 µg ml-1) for fungal strains. The complexes exhibited effective antifungal activities with the MIC values in the range of 8-64 µg ml-1. Particularly, the oxovanadium (IV) complex was effective against all the fungal strains at 8 µg ml-1. The cobalt(II) and copper(II) complexes showed moderate to better effectiveness at variable concentrations (8-64 µg ml-1).
Mixed ligand complexes of o-vanillidene-2-aminobenzothiazole and 1, 10-phenanthroline have been screened for their in vitro antifungal activities against Aspergillus niger and Penicillium trichodermaviride [29].
Anticancer chattels of mixed ligand complexes
The antitumor activity of mixed ligand complexes of copper(II)-N,N,N′,N",N"–pentamethyldiethylenetriamine with 2,2′-bipyridine and 1,10-phenanthroline has been studied, and the activity is due to their superoxide scavenging ability [34]. The superoxide dismutase activity data suggest that the square pyramidal [(Cu(PMDT)(phen)](ClO4)2 shows moderate activity. In these complexes, axial and remaining equatorial position occupied by either 2,2′-bipyridine or 1,10-phenanthroline causes enhancement of SOD activity. The higher SOD activity is due to the presence of diimine ligands (bipy or phen). Greater interaction between superoxide ion and Cu(II) ion in mixed ligand complex is induced due to the stronger axial bond [35].
Copper complex with mixed ligands such as phenanthroline or 2,2'-bipyridine and acetylacetonate or glycinate are known as casiopeinas [36]. They exhibit significant antineoplastic activity in vitro and in vivo, against a variety of tumor cell lines.
Ferrocene-conjugated reduced Schiff base copper(II) complexes of L-methionine and phenanthroline bases showed cytotoxic in HeLa (human cervical cancer) and MCF-7 (human breast cancer) cells [37].
Kellett et al. [38] synthesized two copper complexes [Cu(ph)(1,10-phen)].2H2O (1) and [Cu(ph)(2,2’-bipy)].2H2O (2) (fig. 6). The in vitro cytotoxic activity of the copper complexes was assessed against breast (MCF-7), prostate (DU145), colon (HT29), and intrinsically cisplatin-resistant ovarian (SK-OV-3) human cancer cell lines by using MTT method. The inhibitory activity of the copper complex 1 was almost identical in all cell lines with IC50 values between 3.4 to 5.6 µM. The 2,2′-bipy-containing complex 2 was active against all cell line after 96 h with IC50 value ranges between 51.8 to 82.7µM. It is evident from the studies that the 1,10-phen copper complex 1, was more active than the 2,2′-bipy copper complex 2.

Fig. 6
Anbu et al. [39] have synthesized a new type of copper(II) complex, [CuL(phen)2] (NO3)(CuIP), where L = ((E)-N′-(2-oxoindolin-3-ylidene)benzo hydrazide). The in vitro antiproliferative activity of the CuIP against the human cervical (HeLa) and breast (MCF7) cancer cells and non-cancer breast epithelial (MCF10a) cells has been investigated by MTT assay. IC50 values of CuIP indicate higher anticancer potency against the human cervical (HeLa) and breast (MCF7) cancer cells than against the non-cancer breast epithelial cells.
Ganeshpandian et al. [40] have synthesized a few mixed ligand copper(II) complexes of the type [Cu(L)(2,9-dmp)]2+. The cytotoxicity of [Cu(L1)(2,9-dmp)](ClO4)2, [Cu(L2)(2,9-dmp)](ClO4)2, Cu(L3)(2,9-dmp)](ClO4)2 and [Cu(L4)(2,9-dmp)](ClO4)2 complexes against MCF 7 breast cancer cell lines has been investigated by using MTT assay. IC50 value of the complexes at 24 h for [Cu(L1)(2,9-dmp)](ClO4)2 is 16.7±1.5, [Cu(L2)(2,9-dmp)](ClO4)2 is 18.6±2.2, [Cu(L3)(2,9-dmp)](ClO4)2 is 21.6±0.9, [Cu(L4)(2,9-dmp)](ClO4)2 is 21.1±1.5, compared to cisplatin whose IC50 is 36.8±1.9 and 48 h for [Cu(L1)(2,9-dmp)](ClO4)2 is 11.3±1.1, [Cu(L2)(2,9-dmp)](ClO4)2 is 12.4±1.8, [Cu(L3)(2,9-dmp)](ClO4)2 is 16.1±0.5, [Cu(L4)(2,9-dmp)](ClO4)2 is 16.4±1.2, compared to cisplatin whose IC50 is 26.2±1.1. The IC50 values of all mixed ligand Cu(II) complexes are lower than that of cisplatin, which indicates the high potent nature of the Copper(II) complexes.
Inci et al. [41] reported the synthesis and characterization of two new water-soluble copper(II) complexes, [Cu(dmphen)2(NO3)]NO3 (1), [Cu(dmphen)(tyr)(H2O)] NO3. H2O (2) and the diquarternary salt of dmphen. The cytotoxicity of the compounds was investigated against different cancer cell lines (A549, Caco-2 and MCF-7) and a healthy cell line (BEAS-2B). Both the copper complexes exhibit higher cytotoxicity activity with low IC50 values (<4 µM) and show selective cytotoxicity. Among the copper complexes, complex 1 shows higher cytotoxicity against the Caco-2 cell line than cisplatin and complex 2 shows higher cytotoxicity than cisplatin against the MCF-7cell line. The differences in the activity of the copper complexes may be due to the difference between the coordinated modes of complexes 1 and 2. Thus the copper complexes exhibited higher cytotoxic effects on the cancer cell lines with lower IC50values indicating their efficiency in killing cancer cells even at low concentrations compared to cisplatin.
Gianella Facchin et al. [42] synthesized a series of mononuclear mixed ligand copper(II) complexes of the type [Cu(L-dipeptide)(5-NO2-phen)]·nH2O (whereL-dipeptide; Ala-Phe,Phe-Ala, Phe-Val and Phe-Phe) and evaluated their cytotoxic activity. Cell lines were obtained from the American Type Culture Collection (ATCC); HeLa (CCL-2™, human cervical adenocarcinoma) and MDAMB-231(HTB-22™, human metastatic breast adenocarcinoma) were used in the cytotoxic activity. All of them have higher cytotoxic activity [lower IC50 (13-20µM) for all heteroleptic Cu(II) complexes with L-dipeptide and 5-NO2-1,10-phenanthroline on HeLa and MDA-MB-231; lower IC50 (4.0-9.3µM) cells that of cisplatin. HeLa was 50 µM and IC50 value of cisplatin MDA-MB-231 was 30 µM]. [Cu(dipeptide)(5-NO2phen)] complexes show similar activity to [Cu(5-NO2-phen2Cl2]; IC50value was 16 µM on HeLa and IC50 value of MDA-MB-231was 5.8µM].
Lakshmipraba et al. [43] have synthesized and characterized water soluble polyethyleneimine–copper(II) complexes, [Cu(phen)(L-tyr)BPEI]ClO4 with various degree of copper(II) complex units in the polymer chain. In vitro cytotoxicity of polymer–copper(II) complexes was evaluated by MTT assay on MCF-7 cells. The polymer–copper(II) complex inhibited the growth of the cancer cells significantly, in a dose-and duration-dependent manner. The IC50 values of the complexes are 20.4±2.5 and 14.3±1.7µg/ml after 24 h and 48 h respectively. The polymer–copper(II) complex showed highly effective cytotoxic activity against MCF-7cancer cells which was lesser than the cisplatin (IC5013.71±0.5 and 12.56±0.8 µg/ml for 24 h and 48 h). However, cisplatin shows toxic side effects, which is not expected with the polymer–copper(II) complex. Hence it can be used as a potent anticancer agent.
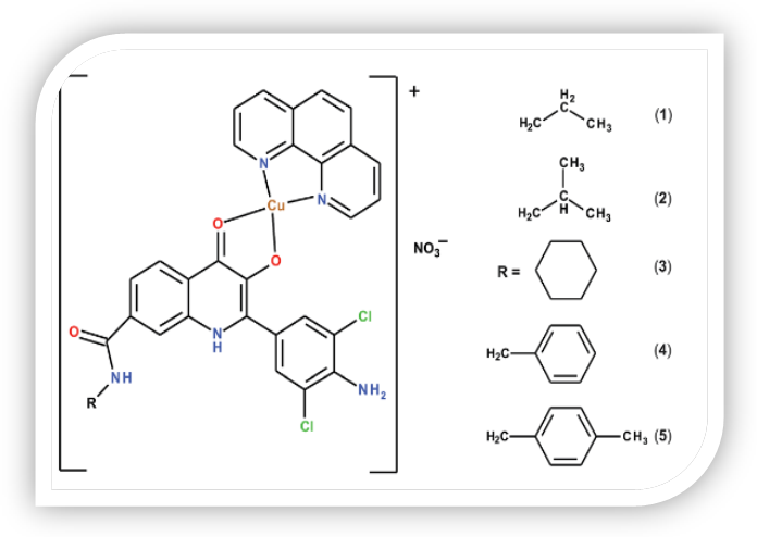
A series of five copper(II) mixed-ligand complexes [44] with the composition [Cu(quix)(phen)]NO3. yH2O(1 to 5),where Hquixstands for 2-(4-amino-3,5-dichlorophenyl)-3-hydroxy-4(1H)-quinolinone-7-carboxamides with different N-substitutions: Hqui1=N-propyl (1), Hqui2= N-isobutyl (2), Hqui3 = N-cyclohexyl (3), Hqui4 = N-benzyl (4), and Hqui5 = N-p-xylyl (5); phen = 1,10-phenanthroline and y = 0 or 1, (Scheme 1) were synthesized, characterized and screened for in vitro antitumor activity on a panel of six human cancer cell lines, including osteosarcoma (HOS), breast adenocarcinoma (MCF7), malignant melanoma (G361), cervix carcinoma (HeLa), ovarian carcinoma (A2780) and cisplatin-resistant ovarian carcinoma (A2780R). All the complexes, except for limitedly soluble complex 4, showed very potent cytotoxicity (IC501–7 mM). The best IC50 value was found for complex 5 against A2780, with IC50 = 0.6(1) mM.
Moreover, complex 5 was found to be non-toxic up to 50 mM against non-malignant lung fibroblast cells (MRC-5); therefore, showing a promising selectivity index [IC50 (MRC-5)/IC50(A2780)] that was higher than 80. The results of this study clearly showed that optimization of the composition of Cu-quinolinonato complexes can lead to compounds with increased anticancer effects and simultaneously increased selectivity, which is connected with the reduction of negative side effects.

Scheme 1
CONCLUSION
In this review, a summary of the metal complexes which has shown auspicious results has been conversed. Metal complexes proposed a platform for the design of novel therapeutic compounds. The activity of the compound can be increased by the formation of a complex with the different metal ion. It seems that opportunities exist to develop metal and metal-based drug candidates in the discovery and development of novel therapeutic agents. The encouraging results of preclinical and clinical studies with metal compounds form the basis for further investigations towards the development of metal complexes for the better therapeutic profile. Although metal complexes have some side effects, they are successfully being used in cancer therapy and several other therapies. Therefore there is a need for new approaches that are required to circumvent these drawbacks and pave a way for potent drug therapies.
The growth of conflict to anticipated chemotherapeutic drugs shown by some bacteria and fungi has serious insinuations for the sustained success of conventional antibacterial and/or antifungal therapy. However, some transition metal complexes of 1,10–phenanthroline epitomize a novel set of highly active antimicrobial agents whose approach of action is challengingly different to that of the prescription drugs. Hence, by supervisory their selective toxicity or devising appropriate pharmacological properties, they may be used either in combination with existing drugs or where resistance to conservative drugs has emerged.
Transition metal complexes of 1,10-phenanthroline or 2,2'-bipyridine afford a mechanism of action provokingly different to that of the clinically used drug cisplatin. These novel set of drugs have recognized therapeutic prowess in some cells that have shown resistance to conformist anticancer drugs like cisplatin. Rapid advances in the field of bioinorganic chemistry are increasingly making it possible to design purposely and synthesize metal based pharmaceutical agents that serve valuable roles as diagnostic or therapeutic agents. Beyond choosing the correct metal ion for a particular application, the key to this process is finding a suitable ligand for the job, whether to enhance uptake, to target a particular biomolecule, or to ensure that the metal ion remains securely sequestered. Many exciting developments currently in medicinal inorganic chemistry are in areas of imaging research, in which the nuclear and electronic properties of the metal ions are key factors in being able to envisage their presence in vivo, whether by fluorescence, electronic properties, positron emission, or gamma emission. In all instances, secure binding of the metal ion with appropriate targeting functionalities is critical to the success of these agents.
ACKNOWLEDGEMENT
The authors express their heartfelt thanks to the College Managing Board, Principal and Head of the Department of Chemistry, VHNSN College, Virudhunagar for providing necessary research facilities.
CONFLICT OF INTERESTS
Declare none
REFERENCES
Ronconi L, Sadler PJ. Using coordination chemistry to design new medicines. Coord Chem Rev 2007;251:1633-48.
Thompson KH, Orvig C. Metal complexes in medicinal chemistry: new vistas and challenges in drug design. Dalton Trans 2006;6:761-4.
Mewis RE, Archibald SJ. Biomedical applications of macrocyclic ligand complexes. Coord Chem Rev 2010;254:1686–712.
Lee JD. Concise Inorganic chemistry. 4th ed. Champman and Hall: London; 1991. p. 607.
Hegg EL, Burstyn JN. Toward the development of metal-based synthetic nucleases and peptidases: a rationale and progress report in applying the principles of coordination chemistry. Coord Chem Rev 1998;173:133-65.
Casella L, Gullotti M. Synthesis, stereochemistry, and oxygenation of cobalt(II)-pyridoxal model complexes, A new family of chiral dioxygen carriers. Inorg Chem 1986;25:1293-303.
Aminabhavi TM, Biradar NS, Patil SB, Roddabasanagoudar VL, Rudzinski WE. aminoacid schiff base complexes of dimethyldichlorosilane. Inorg Chim Acta1985;107:231-4.
Sattari D, Alipour E, Shirani S, Amighian JJ. Metal complexes of N-salicylideneamino acids. Inorg Biochem 1992;45:115-25.
Sigman DS, Mazumder A, Perrin DM. Chemical nucleases. Chem Rev 1993;93:2295-316.
Wang MZ, Meng ZX, Liu BL, Cai GL, Zhang CL, Wang XY, et al. Novel tumor chemotherapeutic agents and tumor radio-imaging agents: potential tumor pharmaceuticals of ternary copper(II) complexes. Inorg Chem Commun 2005;8:368-71.
Sharma V, Piwnica-Worms D. Metal complexes for therapy and diagnosis of drug resistance. Chem Rev 1999;99:2545-60.
Wolfe A, Shimer Jr GH, Meehan T. Polycyclic aromatic hydrocarbons physically intercalate into duplex regions of denatured DNA. Biochemistry 1987;26:6392-6.
Soliman AA, Linert W. Investigations on new transition metal chelates of the 3-methoxy-salicylidene-2-aminothiophenol schiff base. Thermochim Acta 1999;338:67-75.
Zhang C, Janiak CJ. Six-coordinated zinc complexes: [Zn(II)(H2O)4(phen)](NO3)2·H2O and [Zn(II)NO3 (H2O)(bipy) (Him)]NO3 (phen = 1,10-phenanthroline, bipy = 2,2’-bipyridine and Him =imidazole). J Chem Crystallogr 2001;31:29-35.
Patra AK, Nethaji M, Chakravarty AR. Synthesis, crystal structure, DNA binding and photo-induced DNAcleavage activity of (S-methyl-l-cysteine)copper(II) complexes of heterocyclic bases. J Inorg Biochem 2007;101:233-44.
Ji L N, Zou XH, Liu JG. Shape-selective and enantioselective interaction of Ru(II)/Co(III) poly pyridyl complexes with DNA. Coord Chem Rev 2001;513:216-7.
Nagababu P, Naveena J, Latha L, Satyanarayana S. DNA-Binding studies of mixed-ligand (Ethylenediamine) ruthenium(II) complexes. Chem Biodiversity 2006;3:1219-28.
Kelly SO, Antimicrob, Barton JK, In Sigel A, Sigel H. Eds. Metal ions in biological systems. New York: Marcel Dekker; 1998.
Baquero F. Gram-positive resistance: a challenge for the development of new antibiotics. J Chemother 1997;39 (Suppl A):1-6.
Rice LB. Unmet medical needs in antibacterial therapy. Biochem Pharmacol 2006;71:991-5.
Mahalakshmi R, Raman N. Enthused research on DNA-binding and DNA-Cleavage aptitude of mixed ligand metal complexes. Spectrochim Acta Part A 2013;112:198-205.
Raman N, Mahalakshmi R, Mitu L. Bio-sensitive activities of coordination compounds containing 1,10-phenanthroline as co-ligand: synthesis, structural elucidation and DNA binding properties of metal(II) complexes. Spectrochim Acta Part A 2014;131:355-64.
Raman N, Mahalakshmi R. Bioactive mixed ligand complexes of Cu(II), Ni(II) and Zn(II): Synthesis, spectral, XRD, DNA binding and cleavage properties. Inorg Chem Commun 2014;40:157-63.
Raman N, Mahalakshmi R, Arun T, Packianathan S, Rajkumar R. Metal based pharmacologically active complexes of Cu(II), Ni(II) and Zn(II): synthesis, spectral, XRD, antimicrobial screening, DNA interaction and cleavage investigation. J Photochem Photobiol B 2014;138:211-22.
Raman N, Sobha S, Selvaganapathy M. Probing the DNA-binding behavior of tryptophan incorporating mixed-ligand complexes. Monatsh Chem 2012;143:1487-95.
Sakthivel A, Raman N, Mitu L. DNA interaction studies of pyrazolone-and diimine-incorporated Mn(II), Co(II), Ni(II), Cu(II), and Zn(II) complexes: synthesis, spectroscopic characterization and antimicrobial study. Monatsh Chem 2013;144:605-20.
Patel RN, Singh N, Shukla K, Chauhan UK, Niclós-Gutiérrez J, Castiñeiras A, et al. Magnetic, spectroscopic, structural and biological properties of mixed-ligand complexes of copper(II) with N,N,N′,N″,N″-pentamethyldiethylenetriamine and polypyridine ligands. Inorg Chim Acta 2014;357:2469-76.
Shiva Prasad K, Shiva Kumar L, Prasad M, Jayalakshmi B, Revanasiddappa HD. Synthesis, spectral characterization, DNA interaction studies, the anthelmintic and antimicrobial activity of transition metal complexes with 3-(2-hydroxy-benzylideneamino)-2-methylquinazolin-4(3H)-one and 1,10 phenanthroline. Biointerface Res Appl Chem 2011;1:127-38.
Neelakantan MA, Esakkiammal M, Mariappan SS, Dharmaraja J, Jeyakumar T. Synthesis characterization and biocidal activities of some schiff base metal complexes. Indian J Pharm Sci 2010;72:216-22.
Sabale PM, Patel J, Patel Y. Metal. Complexes: current trends and future potential. Int J Pharm Biol Sci 2012;2:251-65.
Sreekanth B, Vishnuvardhan TK, Pillai VV, Murali Krishna P, Gobal Reddy NP, Reddy JM, et al. Synthesis, characterization, antimicrobial and DNA binding studies on Mn(II) and Zn(II) metal complexes containing mixed ligands. Int J Chem Tech Res 2013;5:2540-7.
Ramesh R, Maheswaran S. Synthesis, spectra, dioxygen affinity and antifungal activity of Ru(III)Schiff base complexes. J Inorg Biochem 2003;96:457-62.
Raman N, Kulandaisamy A, Jeyasubramanian K. Synthesis, spectral, redox and antimicrobial activity of Schiff transition metal (II) complexes derived from 4-aminoantipyrine and Benzil. Synth React Inorg Met-Org Nano-Met Chem 2002;32:1583-610.
Sorenson JRJ. Copper complexes in biochemistry and pharmacology. Chem Br 1984;16:1110-2.
Collman JP, Halbert TR, Suslick KS, Spiro TG. Ed. Metal ion activation of dioxygen. John Wiley New York; 1980. p. 1–72.
Marin-Hernandez A, Gracia MoraI, Ruiz Ramirez L, Moreno Sanchez R. Toxic effects of copper-based antineoplastic drugs (Casiopeinas®) on mitochondrial functions. Biochem Pharm 2003;65:1979-89.
Sathyadevi P, Krishnamurthy P, Rachel RB, Alan HC, Nallasamy D. Synthesis of novel heterobimetallic copper(I) hydrazone schiff base complexes: a comparative study on the effect of heterocyclic hydrazides towards interaction with DNA/protein, free radical scavenging and cytotoxicity. Metallomics 2012;4:498-511.
Andrew K, Howe O, Connor M, McCann M, Creaven BS, McClean S, et al. Radical-induced DNA damage by cytotoxic square-planar copper(II) complexes incorporating o-phthalate and 1,10-phenanthroline or 2,2’dipyridyl. Free Radical Biol Med 2012;53:564-76.
Anbu S, Paul A, Ravishankaran R, Guedes MFC, Karande AA, Pombeiro AJL, et al. Phenyl carbohydrazone conjugated 2-oxoindoline as a new scaffold that augments the DNA and BSA binding affinity and anti-proliferative activity of a 1,10-phenanthroline based copper(II) complex. Inorg Chim Acta 2014;423:183–93.
Ganeshpandian M, Ramakrishnan S, Palaniandavar M, Suresh E, Riyasdeen A, Akbarsha MA, et al. Mixed ligand copper(II) complexes of 2,9-dimethyl-1,10-phenanthroline: tridentate 3N primary ligands determine DNA binding and cleavage and cytotoxicity. J Inorg Bio Chem 2014;140:202-12.
Inci D, Aydin R, Yilmaz D, Mutlu Genckal H, Vatan O, Cinkilic N, et al. New water-soluble copper (II) complexes including 4,7-dimethyl-1,10-phenanthroline and L-tyrosine: Synthesis, characterization, DNA interactions and cytotoxicities. Spectrochim Acta Part A 2015;136:761–70.
Sebastian I, Natalia A, Maria HT, Eduardo K, Javier E, Ronny RR, et al. Synthesis, structural characterization and cytotoxic activity of ternary copper(II)–dipeptide–phenanthroline complexes. A step towards the development of new copper compounds for the treatment of cancer. J Inorg Biochem 2014;139:117–23.
Lakshmipraba J, Arunachalam S, Riyasdeen A, Dhivya R, Akbarsha MA. Polyethyleneimine anchored copper(II) complexes: synthesis, characterization, in vitro DNA binding studies and cytotoxicity studies. J Photochem Photobiol B 2015;142:56-67.
Krikavova R, Vanco J, Travncek Z, Buchtk R, Dvoak Z. Copper(II) quinolinonato-7-carboxamido complexes as potent antitumor agents with broad spectra and selective effects. RSC Adv 2016;6:3899-909.