
*1Dept. of Pharmaceutical Sciences, M. G University, Kottayam 686631, Kerala, India, 2College of Pharmaceutical Sciences Govt. Medical College, Thiruvananthapuram 695011, Kerala, India, 3Nehru College of Pharmacy, KUHS University, Thrissur 680597, Kerala, India
Email: sarath.pharm@gmail.com
Received: 27 Jul 2016, Revised and Accepted: 06 Sep 2016
ABSTRACT
Objective: A series of 1, 2-Benzisoxazole derivatives were synthesized and characterized by various analytical techniques like Melting point, Rf, FTIR, and NMR spectra.
Methods: Structures of the compounds were elucidated and evaluated for anti-inflammatory activity by HRBC membrane stabilization method, antibacterial activity against Escherichia coli and Staphylococcus aureus by cup plate method.
Results: The compounds 4a and 4e showed good anti-inflammatory activity compared with standard drug Diclofenac sodium and compounds 4b and 4d showed good antibacterial activity on compared with standard drug Gentamycin.
Conclusion: These compounds may serve as future leads for anti-inflammatory and antibacterial drug discovery.
Keywords: 1, 2-Benzisoxazole, Anti-inflammatory, Antibacterial activity
© 2016 The Authors. Published by Innovare Academic Sciences Pvt Ltd. This is an open access article under the CC BY license (http://creativecommons.org/licenses/by/4.0/)
DOI: http://dx.doi.org/10.22159/ijcpr.2016v8i4.15281
INTRODUCTION
The nucleus selected for the present work is 1, 2 benzisoxazole which is a versatile molecule. Benzisoxazole is an aromatic organic compound with a molecular formula C7H5NO containing a benzene fused isoxazole ring structure. Benzisoxazole has no household use. It is used primarily in industry and research. Being a heterocyclic compound, benzisoxazole finds use in research as a starting material for the synthesis of larger, usually bioactive structures. It is found within the chemical structures of pharmaceutical drugs such as the antipsychotic Risperidone [1] and the anticonvulsant Zonisamide [2-4]. Its aromaticity makes it relatively stable, although as a heterocycle, it has reactive sites which allow for functionalization. Molecules with substituted 1, 2-benzisoxazole often exhibit anti-inflammatory [5], analgesic, antifungal [6], antioxidant [5], analgesic [7], and antibacterial activity [8].
MATERIALS AND METHODS
All the chemicals and reagents used in the synthesis of titled compounds were of the analytical or synthetic grade. The melting points of synthesized compounds were determined by open capillary tube method, using liquid paraffin and are uncorrected. Infra-red spectra of the compounds were recorded using KBr pellets in the range of 4000-500 cm-1 on Jasco FTIR model 6200. 1H NMR (300 MHz) spectra were recorded on Bruker Avance DPX 300 instruments using DMSO as solvent and Tetramethyl silane (TMS) as an internal standard; Chemical shifts were recorded in parts per million (PPM). Analytical thin-layer chromatography (TLC) was performed on precoated TLC sheets of silica gel using toluene: chloroform: methanol (9: 3: 1) as mobile phase; Iodine vapour was used to identify the location of spots.
Experimental section
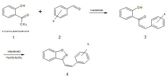
In the synthetic scheme, different aromatic aldehydes were treated with O-hydroxy acetophenone in ethanol with a catalytic amount of 40% KOH, stirred and kept at RT for 24 hr, acidified with conc. HCl to form chalcones by Aldol condensation. It involves the acid-base reaction between a strong base (hydroxide ion) and a hydrogen located alpha to a carbonyl group and forms an enolate. The enolate attacks the carbonyl group of aromatic aldehyde without alpha hydrogens. The aldol undergoes an acid-base reaction with the remaining acidic α-hydrogen is lost, followed by the loss of OH-as a leaving group to give an enal. The net loss of H+and OH-represents the loss of water. Various chalcones were treated with Hydroxylamine hydrochloride and potassium carbonate under reflux in ethanol; nucleophilic attach by the basic nitrogen compound (Hydroxylamine) on carbonyl carbon (Nucleophilic addition) to form Benzisoxazole derivatives [8].
Fig. 1: Scheme for the synthesis of 1, 2-benzisoxazole derivatives
Synthesis of [3-[2-phenylethenyl]-1, 2-benzisoxazole] (4a)
Step-1: A mixture of o-hydroxy acetophenone (0.01 M) and Benzaldehyde (20% 0.04 M) was dissolved in 10 ml ethanol. To this mixture 10 ml of 40% KOH was added, the reaction mixture was stirred and kept at RT for 24 hr. Then the reaction mixture was poured over crushed ice and contents were acidified with concentrated hydrochloric acid. Chalcone thus obtained was purified by recrystallization from ethanol [8].
Step-2: A mixture of 2.77 gm of chalcone (10 mmol), 0.7 gm of Hydroxylamine hydrochloride (10 mmol) and 1.4 gm of anhydrous potassium carbonate (10 mmol) in 50 ml of ethanol was refluxed for 8 h, then left to cool. The reaction mixture was poured into cold water, and the solid product was filtered off, washed with water, dried and finally crystallized from ethanol to afford Benzisoxazole derivative [8].
Synthesis of [3-[2-(2-chlorophenyl) ethenyl]-1,2-benzisoxazole] (4b)
Step-1: A mixture of o-hydroxy acetophenone (0.01 M) and 2-chlorobenzaldehyde (20% 0.04 M) was dissolved in 10 ml ethanol. To this mixture 10 ml of 40% KOH was added, the reaction mixture was stirred and kept at RT for 24 hr. Then the reaction mixture was poured over crushed ice and contents were acidified with concentrated hydrochloric acid. Chalcone thus obtained was purified by recrystallization from ethanol.
Step-2: A mixture of 2.77 gm of chalcone (10 mmol), 0.7 gm of Hydroxylamine hydrochloride (10 mmol) and 1.4 gm of anhydrous potassium carbonate (10 mmol) in 50 ml of ethanol was refluxed for 8 hours, then left to cool. The reaction mixture was poured into cold water, and the solid product was filtered off, washed with water, dried and finally crystallized from ethanol to afford Benzisoxazole derivative.
Synthesis of [3-[2-(2, 4-dichlorophenyl) ethenyl]-1, 2 benz-isoxazole] (4c)
Step-1: A mixture of o-hydroxy acetophenone (0.01 M) and 2,4-dichlorobenzaldehyde (20% 0.04 M) was dissolved in 10 ml ethanol. To this mixture 10 ml of 40% KOH was added, the reaction mixture was stirred and kept at RT for 24 hr. Then the reaction mixture was poured over crushed ice and contents were acidified with concentrated hydrochloric acid. Chalcone thus obtained was purified by recrystallization from ethanol.
Step-2: A mixture of 2.77 gm of chalcone (10 mmol), 0.7 gm of Hydroxylamine hydrochloride (10 mmol) and 1.4 gm of anhydrous potassium carbonate (10 mmol) in 50 ml of ethanol was refluxed for 8 h, then left to cool. The reaction mixture was poured into cold water and the solid product was filtered off, washed with water, dried and finally crystallized from ethanol to afford Benzisoxazole derivative.
Synthesis of [4-2-(1, 2-benzisoxazol-3-yl) ethenyl]-N, N-dimethylaniline] (4d)
Step-1: A mixture of o-hydroxy acetophenone (0.01 M) and p-dimethylamino benzaldehyde (20% 0.04 M) was dissolved in 10 ml ethanol. To this mixture 10 ml of 40% KOH was added, the reaction mixture was stirred and kept at RT for 24 hr. Then the reaction mixture was poured over crushed ice and contents were acidified with concentrated hydrochloric acid. Chalcone thus obtained was purified by recrystallization from ethanol.
Step-2: A mixture of 2.77 gm of chalcone (10 mmol), 0.7 gm of Hydroxylamine hydrochloride (10 mmol) and 1.4 gm of anhydrous potassium carbonate (10 mmol) in 50 ml of ethanol was refluxed for 8 h, then left to cool. The reaction mixture was poured into cold water, and the solid product was filtered off, washed with water, dried and finally crystallized from ethanol to afford Benzisoxazole derivative.
Synthesis of [3-[2-(4-fluorophenyl) ethenyl]-1,2-benzisoxazole] (4e)
Step-1: A mixture of o-hydroxy acetophenone (0.01 M) and 4-flurobenzaldehyde (20% 0.04 M) was dissolved in 10 ml ethanol. To this mixture 10 ml of 40% KOH was added, the reaction mixture was stirred and kept at RT for 24 hr. Then the reaction mixture was poured over crushed ice and contents were acidified with concentrated hydrochloric acid. Chalcone thus obtained was purified by recrystallization from ethanol.
Step-2: A mixture of 2.77 gm of chalcone (10 mmol), 0.7 gm of Hydroxylamine hydrochloride (10 mmol) and 1.4 gm of anhydrous potassium carbonate (10 mmol) in 50 ml of ethanol was refluxed for 8 h, then left to cool. The reaction mixture was poured into cold water, and the solid product was filtered off, washed with water, dried and finally crystallized from ethanol to afford Benzisoxazole derivative. The Physical characteristics of all the synthesized compounds are listed in table 1.
Table 1: Physical characterization data of all the synthesized compounds

| Compound | R | Molecular formula | Molecular weight | Yield (%) | m. p.( °C) | *Rf value |
| 4a | R1-H, R2-H, R3-H | C15H11NO | 221.259 | 45 | 110-114 | 0.44 |
| 4b | R1-Cl, R2-H, R3-H | C15H10ClNO | 255.704 | 52 | 95-97 | 0.55 |
| 4c | R1-H, R2-Cl, R3-Cl | C15H9Cl2NO | 290.149 | 58 | 78-80 | 0.68 |
| 4d | R1-H, R2-N(CH3)2, R3-H | C17H16N2O | 264.328 | 55 | 92‑95 | 0.52 |
| 4e | R1-H, R2-F, R3-H | C15H10FNO | 239.249 | 60 | 83-87 | 0.62 |
* Solvent system for TLC-toluene: chloroform: methanol (9:3:1)
[3-[2-phenylethenyl]-1, 2-benzisoxazole] (4a)
IR (KBr Vmax cm-1): Aromatic C-H str at 3253 cm-1, C=C str at 1454 cm-1, C=N str at 1603 cm-1, C-O str at 1222 cm-1. 1HNMR(CDCl3) δ ppm: 7.0-8.3 (Ar-H, 9H), 3.5-5.3 (olefinc-H, 2H), 1.5-2.9 (cyclic-H, 2H).
[3-[2-(2-chlorophenyl) ethenyl]-1,2-benzisoxazole] (4b)
IR (KBr Vmax cm-1): Aromatic C-H str at 3261 cm-1, C=C str at 1482 cm-1, C=N str at 1604 cm-1, C-O str at 1225 cm-1, C-Cl str at 754 cm-1. 1HNMR(CDCl3) δ ppm: 7.0-8.4 (Ar-H, 8H), 3.8-5.6 (olefinc-H, 2H), 1.6-2.7 (cyclic-H, 2H).
[3-[2-(2, 4-dichlorophenyl) ethenyl]-1, 2 benzisoxazole] (4c)
IR (KBr Vmax cm-1): Aromatic C-H str at 3270 cm-1, C=C str at 1526 cm-1, C=N str at 1609 cm-1, C-O str at 1225 cm-1, C-Cl str at 737 cm-1.1HNMR(CDCl3) δ ppm: 7.0-8.4 (Ar-H, 7H), 3.8-5.6 (olefinc-H, 2H), 1.6-2.7 (cyclic-H, 2H).
[4-2-(1, 2-benzisoxazol-3-yl) ethenyl]-N, N-dimethylaniline] (4d)
IR (KBr Vmax cm-1): Aromatic C-H str at 3254 cm-1, C=C str at 1482 cm-1, C=N str at 1603 cm-1, C-O str at 1222 cm-1, C-N str at 1328 C-H str (in CH3) at 2905 cm-1. 1HNMR(CDCl3) δ ppm: 7.0-8.2 (Ar-H, 8H), 3.8-5.6 (olefinc-H, 2H), 1.6-2.7 (cyclic-H, 2H).
[3-[2-(4-fluorophenyl)ethenyl]-1,2-benzisoxazole] (4e)
IR (KBr Vmax cm-1): Aromatic C-H str at 3225 cm-1, C=C str at 1482 cm-1, C=N str at 1604 cm-1, C-O str at 1225 cm-1, C-F str at 1324 cm-1. 1HNMR(CDCl3) δ ppm: 7.0-8.3 (Ar-H, 8H), 3.8-5.6 (olefinc-H, 2H), 1.6-2.7 (cyclic-H, 2H).
In vitro anti-inflammatory activity [9, 10]
Anti-inflammatory activities of the synthesized analogs were carried out by using Human Red Blood Cell (HRBC) membrane stabilization method at doses of 100 μgm, 250 μgm, and 500 μgm. To the control test tube added 1 ml solvent, 2 ml phosphate buffer, 1 ml hyposaline and 0.5 ml of HRBC suspension. To the test tube add 1 ml of the test compound, 2 ml of phosphate buffer, 1 ml of hyposaline and 0.5 ml of HRBC suspension. The assay mixture was incubated at 37 °C for 30 min and centrifuged at 3000rpm. The hemoglobin content in the supernatant solution was estimated by measuring the absorbance at 500 nm. Diclofenac sodium (100μgm/ml) was used as the standard drug. The control group was given Dimethyl sulphoxide (DMSO). Percentage inhibition of hemolysis can be calculated by the following formula,
![]()
Where,
OD2 = optical density of sample
OD1 = optical density of control
The results were analyzed for statistical significance by one-way ANOVA followed by Dunnett’s test and reported in table 2.
Antibacterial activity [8]
Antibacterial activity of the synthesized compounds was assessed by cup plate method. All the five synthesized analogs of Benzisoxazole were evaluated for in vitro antibacterial activity against Escherichia coli (Gram–ve) and Staphylococcus auerus (Gram+ve). Nutrient agar (Hi-media) was used for culturing the bacteria. The sample solutions were prepared in chloroform. The concentrations used for antibacterial screening were 100, 250, 500 μg/ml. Standard drug solution of Gentamicin (100μg/ml) was prepared in distilled water. Using a sterile cork borer of about 5 mm diameters, 5 wells were made in each Petri dish. Numbers were marked on the bottom of Petri dish to identify each cup. The sample solutions, standard solution and the vehicle control (chloroform) were placed in each cup of each Petri dish and incubated at 37±0.5 °C for 24 h. The presence of a definite zone of inhibition of any size observed and compared with standard drug and is given in table 3.
Table 2: In vitro anti-inflammatory activity of synthesized analogues*
| Compound | Concentration (μg/ml) | Mean absorbance | % inhibition |
| Control | - | 1.710+0.0351 | - |
| Diclofenac sodium | 100 | 0.655+0.0130 | 61.11 |
| 4a | 100 | 0.717+0.0209 | 58.07 |
| 250 | 0.462+0.0141 | 72.98 | |
| 500 | 0.228+0.0102 | 86.66 | |
| 4b | 100 | 0.743+0.0321 | 56.54 |
| 250 | 0.642+0.0127 | 62.45 | |
| 500 | 0.335+0.0133 | 80.40 | |
| 4c | 100 | 0.841+0.0382 | 50.81 |
| 250 | 0.657+0.0126 | 61.57 | |
| 500 | 0.361+0.0140 | 78.88 | |
| 4d | 100 | 0.821+0.0367 | 51.98 |
| 250 | 0.524+0.0198 | 69.35 | |
| 500 | 0.301+0.0138 | 82.39 | |
| 4e | 100 | 0.721+0.0212 | 58.61 |
| 250 | 0.462+0.0141 | 72.98 | |
| 500 | 0.276+0.0101 | 83.85 |
*Data expressed as mean±SEM. (n=4) and results considered significant when P˂ 0. 01.
Table 3: Antibacterial activities of synthesized analogs
Compound |
Concentrations (μg/ml) |
Zone of inhibition (mm) |
|
S. aureus |
E. coli |
||
4 ° |
100 |
10 |
8 |
250 |
12 |
10 |
|
500 |
13 |
12 |
|
4b |
100 |
12 |
10 |
250 |
14 |
12 |
|
500 |
15 |
14 |
|
4c |
100 |
8 |
7 |
250 |
10 |
9 |
|
500 |
12 |
10 |
|
4d |
100 |
12 |
12 |
250 |
13 |
14 |
|
500 |
15 |
15 |
|
4e |
100 |
12 |
8 |
250 |
14 |
9 |
|
500 |
15 |
10 |
|
Gentamycin |
100 |
16 |
16 |
Control |
- |
- |
- |
RESULTS AND DISCUSSION
The 1,2 Benzisoxazole analogs were synthesized using conventional synthetic methods, further recrystallized using ethanol and checked the purity by thin layer chromatography. Characterizations of the derivatives were carried out by melting point, Rf value, FTIR and 1HNMR.
FTIR spectra of all synthesized compounds show absorbance bands at range 3225-3270 cm-1 associated with Ar C-H str, bands at 1603-1609 cm-1 for C-N str and bands at 1222-1225 cm-1 for C-O str. The 1HNMR spectrum of synthesized compounds exhibit peaks in the range of 7.0-8.4 (Ar H) and 3.5-5.6 (olefinic H) of benzisoxazole.
The results of in vitro anti-inflammatory activity of test compounds given in table show that compounds 4a and 4e showed significant anti-inflammatory activity similar to that of Standard drug Diclofenac sodium. The results of antibacterial activity of test compounds given in table shows that compounds 4b and 4d showed significant antibacterial activity against staphylococcus aureus and Escherichia coli.
CONCLUSION
A series of 1,2-Benzisoxazole derivatives were successfully synthesized and characterized. The compounds were further screened for in vitro anti-inflammatory and antibacterial activity. Compounds 4a and 4e showed significant anti-inflammatory activity similar to that of Standard drug Diclofenac sodium. Compounds 4b and 4d exhibited significant antibacterial activity against staphylococcus aureus, and Escherichia coli on compared with standard drug Gentamycin. The analogs can be subjected to further detailed studies for consideration as drug candidates.
ACKNOWLEDGEMENT
The authors are thankful to the faculties of the college of Pharmaceutical Sciences, Govt. Medical College, Thiruvanantha-puram for their assistance.
CONFLICT OF INTERESTS
Declare none
REFERENCES
How to cite this article