
Department of Chemistry, Shri. J. N. P. G. College, Lucknow (U. P.)
Email: niharikaverma15@gmail.com
Received: 21 Sep 2016, Revised and Accepted: 15 Nov 2016
ABSTRACT
Hyperlipidemia is a family of disorders that are characterised by abnormally high levels of lipida (fats) in the blood. While fats play a vital role in the body’s metabolic processes, high blood levels of fats increase the risk of coronary heart disease (CHD). Cardiovascular diseases, especially coronary heart disease (CHD), are epidemic in India. According to American Heart Association, the Centres for Disease Control and Prevention, the National Institutes of Health and other government sources, cardiovascular disease is the leading global cause of death, accounting for more than 17.3 million deaths per year, a number that is expected to grow to more than 23.6 million by 2030. India has seen a rapid transition in its heart disease burden over the past couple of decades. Of the 30 million heart patients in India, 14 million reside in urban areas and 16 million in rural areas. If the current trend continues, by the year 2020, the burden of atherothrombotic cardiovascular diseases in India will surpass that of any other country in the world. The Registrar General of India reported that CHD led to 17% of total deaths and 26% of adult deaths in 2001-2003, which increased to 23% of total and 32% of adult deaths in 2010-2013. The global increase in the prevalence of hyperlipidemia is due to unhealthy eating habits, obesity and physical inactivity. The emergencies, risk factors and remedies are described in the literature.
Keywords: Hyperlipidemia, Coronary heart disease, lipoproteins
© 2017 The Authors. Published by Innovare Academic Sciences Pvt Ltd. This is an open access article under the CC BY license (http://creativecommons.org/licenses/by/4.0/)
DOI: http://dx.doi.org/10.22159/ijcpr.2017v9i1.16616
INTRODUCTION
Hyperlipidemia disease has afflicted humankind since antiquity. In 2002, coronay heart Epidemiological evidence strongly supported the positive correlation between blood lipids, hyperlipidemia and its complications, mainly CHD [1]. This relationship has been shown between and within cultures [2-4]. The hyperlipidemia is traditionally defined as conditions in which the concentration of cholesterol or triglyceride-carrying lipoproteins in plasma exceeds an arbitrary normal limit [5]. These lipoproteins deposit in the interstitial space of arteries arising from aorta, restricting the blood supply to the heart. This phenomenon is known as atherosclerosis. Higher deposition of lipoproteins completely blocked the blood supply to the heart, and thus myocardial infarction (MI) occurs, which is commonly known as heart attack.
Cholesterol
It is a vital component of the mammalian cell membrane of all tissues and is a precursor of steroid hormones and bile acids. It occurs, either free or as many fatty esters in all animal cells, but is absent in plant fats. Its structure is depicted in fig. 1.
Fig. 1: Structure of cholesterol
Triglycerides
These are the most abundant of all lipids. It is found abundantly in adipocytes. These are major components of storage fats in plant and animal cells. Excess calories, alcohol and sugar in the body get converted into triglycerides and stored in fat cells throughout the body [6]. Chemically triglycerides are esters of glycerol with 3 fatty acid molecules. The generic formula is shown in fig. 2. Data obtained from National Institute of Health, limits triglycerides value to 200 mg/dl as the normal range and 500 mg/dl as an abnormal range. Range higher than 500 mg/dl is considered dangerous for the development of cardiovascular diseases [7].
Fig. 2: Structure of triglyceride (R1, R2, R3 = Alkyl group)
Lipoproteins: These are large globular particles that contain an oily core of nonpolar lipid (cholesteryl esters of triglycerides) surrounded by a polar coat of phospholipids free (i.e. unesterified) cholesterol and apoproteins. There are six classes of lipoproteins (table 1) that differ from one another in size, density and properties of triglycerides and cholesterol.
Table 1: Characteristics of major lipoprotein classes
| Lipoprotein class | Density (g/ml) | Diameter (nm) |
| Chylomicrons | <<1.006 | 500-80 |
| VLDL | <1.006 | 80-30 |
| IDL | 1.006-1.019 | 35-25 |
| LDL | 1.019-1.063 | 25-18 |
| HDL | 1.063-1.210 | 5-12 |
| Lp(a) | 1.055-1.085 | 30 |
Chylomicrons
These are the largest particles both in size as well as in density, and its concentration is directly correlated with dietary triglyceride contents.
VLDL: Very low-density lipoproteins are smaller particles carrying lesser triglyceride contents than chylomicrons, and are secreted from the liver. VLDL carries cholesterol from the liver to organ and tissues in the body. They are formed from the combination of cholesterol and triglycerides [8].
IDL: VLDL particles after degradation by lipase enzyme in the capillaries of adipose tissue and muscle give rise to intermediate density lipoprotein.
LDL: According to Lee et al., and Galeano et al., low-density lipoproteins are synthesised partly in intestinal chyle and partly after lipolysis of VLDL. It is directly correlated to CHD [9, 10]
HDL: HDL is commonly referred as good cholesterol. High-density lipoproteins are synthesised in the liver. It carries cholesterol and other lipids from tissues back to the liver for degradation [11]. HDL plays an antiatherogenic role.
Lp(a): It is secreted from the liver. Berg defined lipoprotein (a) as a cholesterol-rich plasma lipoprotein, which is directly correlated with atherosclerosis [12]. The risk of CHD is increased 2 to 5 fold with higher Lp(a) plasma concentration level.
Studies by Nago et al., concluded that Lp(a) levels were higher in females in contrary to males and statistically significant increase were observed in Lp(a) plasma level concentration with age. They also reported the lower Lp(a) plasma levels in alcohol drinkers, contrary to non-drinkers [13].
Classification of hyperlipidemia.
On the basis of lipid type
Hypercholesterolemia-In this the level of cholesterol is elevated.
Hypertriglyceridemia-It is defined as an elevated level of triglycerides.

On the basis of causing factor
Familial (Primary) hyperlipidemia–On the basis of causing factors hyperlipidemia can be designated as either primary or secondary [14]. According to Fredrickson familial hyperlipidemia is classified into five types (table 2) on the basis of electrophoresis or ultracentrifugation pattern of lipoproteins [15].
This classification was later adopted by WHO. This method does not directly account for HDL and also does not distinguish among the different genes that may be partially responsible for some of these conditions. It remains a popular system of classification but is considered dated by many [16].
Table 2: Fredrickson classification for hyperlipidemia
Hyperlipo- proteinemia |
Synonyms | Defect | Increased lipoprotein | Symptoms | Treatment |
| Type I | Familial hyperchylomicronemia | Decreased lipoprotein lipase (LPL) | Chylomicrons | Acute pancreatitis, lipemia retinalis, xanthomas, hepatosplenomegaly | Diet control |
| Familial apoprotein CII deficiency | Altered ApoC2 | ||||
| LPL inhibitor in blood | |||||
| Type II | Familial hypercholesterolemia | LDL receptor deficiency | LDL | Xanthelasma, arcus senilis, tendon xanthomas | Bile acid sequestrants, statins, niacin |
| Familial combined hyperlipidemia | Decreased LDL receptor and increased Apo B | LDL and VLDL | Statins, niacin, fibrate | ||
| Type III | Familial dysbetalipoproteinemia | Defect in Apo E2 synthesis | IDL | Tuboruptive xanthomas and palmar xanthomas | Fibrate, statins |
| Type IV | Familial hypertriglyceridemia | Increased VLDL production and decreased elimination | VLDL | Can cause pancreatitis at high triglyceride levels | Fibrate, niacin, statins |
| Type V | Increased VLDL production and decreased LPL | VLDL and chylomicrons | Niacin, fibrate |
Acquired (Secondary) hyperlipidemia–Acquired hyperlipidemia (secondary dyslipoproteinemias) results from underlying disorders and lead to alterations in plasma lipid and lipoprotein metabolism [17]. This type of hyperlipidemia may mimic primary forms of hyperlipidemia and can have similar consequences. They may result in increased risk of premature atherosclerosis, pancreatitis and other complications of the chylomicronemia syndrome. The most common causes of acquired hyperlipidemia are given below [18].
Major primary and secondary forms of hyperlipidemia, their lipoprotein abnormalities and drugs used for their treatment are listed in table 3 and table 4.
Table 3: Common forms of primary hyperlipidemia
| Disorder | Lipoprotein abnormality | Drug therapy |
| Familial hypercholesterolemia | ↑↑LDL | Lovastatin |
| Familial defective apolipoprotein B | ↑↑LDL | None |
| Polygenic hypercholesterolemia | ↑LDL | Lovastatin |
| Familial lipoprotein lipase deficiency | ↑Chylomicrons | Nicotinic acid |
| Familial hypertriglyceridemia | ↑VLDL | Gemfibrozil |
| Familial combined hyperlipidemia | ↑VLDL, ↑LDL, ↓HDL | Nicotinic acid, clofibrate |
| Familial dysbetalipoproteinemia | ↑Chylomicrons, ↑LDL, ↓IDL, ↓HDL | Gemfibrozil |
Table 4: Common forms of secondary hyperlipidemia
| Condition | Lipid abnormalities | Lipoprotein abnormalities |
| Diabetes mellitus | ↑TG | ↑VLDL, ↓HDL |
| Nephrotic syndrome | ↑Chol | ↑LDL |
| Uremia | ↑TG | ↑VLDL, ↓HDL |
| Hypothyroidism | ↑Chol | ↑LDL |
| Obstructive liver disease | ↑Chol | ↑Lp(a) |
| Alcoholism | ↑TG | ↑VLDL |
| Oral contraceptive | ↑TG | ↑VLDL, ↓HDL |
| β-Adrenergic blocking agents | ↑TG | ↑VLDL, ↓HDL |
| Isotretinoin | ↑TG | ↑VLDL |
Several prospective studies have identified hypertension [19] higher concentration of lipids in serum [20-22] and cigarette smoking [23, 24] as the three treatable risk factors that have the highest association with CHD. The association of total plasma cholesterol levels (TC) with the incidence of CHD is well established [25, 26]. The low-density lipoprotein cholesterol (LDL-C) is directly correlated [27-29], while high-density lipoprotein cholesterol (HDL-C) is inversely related [30-32] to CHD incidence. Human plasma IDL-C are a heterogeneous collection of particles which vary in buoyant density, size, lipid and protein composition [33, 34]. The presence of estrogens in female lowers serum lipids [35].
Complications of hyperlipidaemia
Causes of hyperlipidemia
Symptoms of hyperlipidemia
Hyperlipidemia usually has no noticeable symptoms and tends to be discovered during routine examination for atherosclerotic cardiovascular disease [42, 43].
Pathogenesis of hyperlipidemia
Cholesterol, triglycerides, and phospholipids are transported in the bloodstream as complexes of lipid and proteins known as lipoproteins. Elevated total and low-density lipoprotein (LDL) cholesterol and reduced high-density lipoprotein (HDL) cholesterol are associated with the development of coronary heart disease (CHD).
During the early stages of the hyperlipidemia, blood monocytes and platelets attach to a vessel wall at the sites of endothelial damage. The release of the mediators such as platelet derived groth factors leads to a proliferation of smooth cells in the intimal and medial lining of the vessel, collagen synthesis, cholesterol uptake and the beginning of the hyperlipidemic plaque results. Plaque ruptures are resulting in the acute syndromes of unstable angina, myocardial infarction and sudden cardiac death [44].
Diagnosis of hyperlipidemia
Hyperlipidemia typically shows no symptoms and can only be detected by a blood test. Screening for hyperlipidemia is done with a blood test called a lipid profile. According to National Cholesterol Education Program (NECP) screening [45] should start at age 20, and if the report is normal, it should be repeated at least every five years. Normal levels for a lipid profile [46, 47] are listed below (table 5).
Prevention of hyperlipidemia
Controllable lifestyle changes are the best way to fight hyperlipidaemia. But when lifestyle changes fail to control the disease then treatment with cholesterol-lowering drugs is required.
Table 5: Normal levels for a lipid profile
| Lipids | Desirable value | Borderline | High risk |
| Cholesterol | Less than 200 mg/dl | 200-239 mg/dl | 240 mg/dl |
| Triglycerides | Less than 140 mg/dl | 150-199 mg/dl | 200-499 mg/dl |
| HDL cholesterol | 60 mg/dl | 40-50 mg/dl | Less than 40 mg/dl |
| LDL cholesterol | 60-130 mg/dl | 130-159 mg/dl | 160-189 mg/dl |
| Cholesterol/HDL ratio | 4.0 | 5.0 | 6.0 |
Treatment of hyperlipidemia
In 1987 the National Institute of Health (NIH) established the National Cholesterol Education Program (NCEP) to be directed by the Adult Treatment Panel (ATP) for the purpose of issuing information for health professionals and the general public concerning testing, evaluating, monitoring and treating hyper-lipidemia. An important criterion of ATP guidelines is the development of treatment goals for hyperlipidemia based on patient’s risk of CHD.
ATP recommends two methods of treatment:
1) Therapeutic lifestyle changes; 2) Drug therapy.
Therapeutic lifestyle changes
Diet modification, regular physical activity, smoking cessation, and weight reduction should be tried as initial treatment, especially in mild cases of hyperlipidemia and in persons without CHD or CHD risk equivalent and<2 risk factors. It should be kept in mind that when dieting, cholesterol intake is reduced. At the same time, production of cholesterol, especially by the liver, increases. It is recommended that the intake should be restricted to 25%-35% of energy intake and that saturated fatty acids make up less than 7% of energy intake and that cholesterol intake should be less than 200 mg daily. The intake of plant sterol esters and soluble fibre is advisable. A healthy diet can result in 10% to 15% reduction of cholesterol blood level.
Drug therapy
High LDL, the presence of risk factors, and documentation of CHD should qualify initiating drug therapy along with TLC. Monotherapy has been shown to be effective in treating hyperlipidemia, but combination therapy may be required for a comprehensive approach. Current lipid-lowering drugs include statins, ezetimibe, bile acid sequestrants or bile binding resins, niacin, fibric acid derivatives, and plant sterols.
Medication specially designed to reduce blood cholesterol levels may be prescribed when dietary modifications prove inadequate. In rare patients with extremely high cholesterol levels, repeated removal of blood plasma may be recommended to lower blood cholesterol levels. Most people require lifelong treatment of hyperlipidemia with both lifestyle measures and medications.
Pharmacological treatment
Numbers of hypolipidemic drugs are available in the market for the treatment of hyperlipidemia. The existing hypolipidemic drugs are listed in table 6. In 1975, the results of the Coronary Drug Project indicated that the drugs are relatively ineffective for preventing myocardial infarction in patients with pre-established CHD.
This project examined the effects of estrogens, D-thyroxin, clofibrate and nicotinic acid. The high-dose estrogens were discontinued in 1970 because of an increased number of fatal cardiovascular events without any indication of benefit.
The low-dose estrogens were discontinued in 1975 because of suggestion of an excess incidence of mortality from cancer. D-thyroxin was discontinued in 1971 because of increased mortality in this group [48].
Ayurvedic treatment
Ayurvedic medicine is one of the world’s oldest medical systems. Ayurvedic therapeutics is based on the “laws” of nature. Its approach to health-care is based on understanding the interrelationship of body, mind and spirit. The aim of ayurveda medicine is to integrate and balance these elements to prevent illness and promote wellness through diet, nutrition, herbs, yoga, meditation and daily seasonal routines [49].
Table 6: Existing hypolipidemic drugs
| Class | Drug | Major effect | Dose | Side effects |
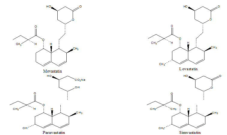
HMG Co A Reductase inhibitor (fig. 3) |
Mevastatin | Lowers LDL-C concentration | 20-40 mg/day orally | Depression, anxiety, indigestion |
| Lovastatin | Same as above | 40 mg/day orally | Headache, rashes, gastrointestinal symptoms | |
| Pravastatin | Same as above | 30 mg/day orally | Depression, anxiety, alopecia | |
| Simvastatin | Same as above | 5-10 mg/day orally | Memory loss, dyspenea | |
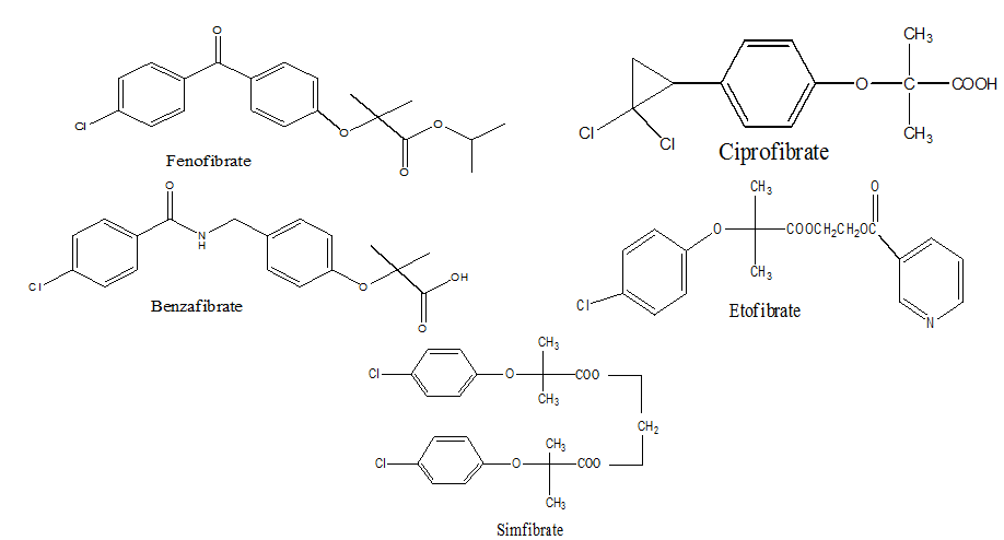
| Fibrates (fig. 4) | Clofibrate | Lowers serum TG. concentration | 2 gm/day orally | Nausea, diarrhoea, arthralgias |
| Gemfibrozil | Lowers plasma TG by 40-55% | 1.2 gm/day orally | Abdominal pain, nausea, diarrhoea | |
| Fenofibrate | Lowers plasma LDL-C concentration and rise HDL-C concentration | 2-5 gm/day orally | Nausea, constipation, skin rashes | |
| Ciprofibrate | Same as above | 5 gm/day orally | Constipation, skin rashes | |
| Benzafibrate | Supresses endogenous chol and TG synthesis | 5 gm/day orally | Myalgia, diarrhoea, skin rashes | |
| Simfibrate | Lowers Chol and TG concentration | 1.5 gm/day orally | Skin rashes, nausea, myalgia | |
| Etofibrate | Lowers VLDL and LDL concentration | 900 mg/day orally | Flushing | |
| Antioxidant (fig. 5) | Probucol | Lowers plasma Chol by 10-15% | 250-500 mg/day orally | Flatulence, eosinophilia, paresthesia |
| Other lipid lowering drugs (fig. 6) | Nicotinic acid | Lowers LDL-C concentration | 2-6 gm/day orally | Vomiting, dyspepsia |
| Neomycin | Same as above | 0.5-2 gm/day orally | Malabsorption diarrhoea | |
| β-Sitosterol | Same as above | 6 gm/day orally | Laxative effect, vomiting | |
| Dextro Thyroxin | Lowers plasma LDL-C concentration | 1-2 gm/day orally | Serious cardiac toxicity | |
| Aminosalicylic acid | Same as above | 2 gm/day orally | Steatorrhea | |
| Tiadenol | Lowers plasma Chol level | 1600 mg/day orally | Nausea | |
| Sorbinicate | Lowers Chol and TG plasma level | 800 mg/day orally | Malabsorption | |
| Bile acid binding resins (fig. 7) | Cholestyramin | Binds bile acid resulting Chol catabolism | 12-16 mg/day | Nausea, indigestion |
| Colestipol | Lowers plasma LDL-C levels | 15-30 gm/day orally | Nausea, constipation |
Fig. 3: HMG-CoA reductase inhibitor

Fig. 4: Fibrates
Fig. 5: Antioxidant
Fig. 6: Other lipid-lowering drugs
Fig. 7: Bile acid binding resins
There is no term for hyperlipidemia in Ayurveda. But distinct nomenclature is used, e. g., Rasagata Sneha Vriddhi (increased lipid plasma level), Rasa Raktagata Sneha Vriddhi (increased lipid plasma and lipid blood level), Medovriddhi (generalised lipid increase), Medoroga (obesity), AAMA Medo Dhatu (abnormally formed adipose tissue).
AAMA is the primary cause of all metabolic disorders in Ayurveda. A detailed study of hyperlipidemia reveals its similarity to Asthayi Medo Dhatu Vriddhi (abnormal increase in circulating lipids). This excessively increased circulating lipid is AAMA in nature, resulting in further complications [50].
Ayurvedic medicine has been used for thousands of years for treatment of various metabolic disorders. However, few studies have been conducted to evaluate the effectiveness of Ayurveda herbal medicine formulae on hyperlipidemia. Higher quality studies, such as randomised clinical trials, are lacking [51]. Some Ayurvedic herbs used in reducing the body cholesterol are listed in table 7.
Table 7: Cholesterol reducing herbs
| Herbs | Botanical name | Function |
| Alfalfa | Medicago satina | Helps in clearing arteries congested with cholesterol. |
| Arjuna | Terminalia arjuna | It dissolves cholesterol in the coronary artery. |
| Coriander | Coriandrum sativum | It is diuretic in nature and flush out excess cholesterol from the body. |
| Garlic | Allium cepa | Reduces blood cholesterol level. |
| Guggulu | Commiphora mukul | Reduces blood cholesterol level. |
| Holy Basil | Ocimum sanctum | It dissolves the cholesterol accumulated in the arteries. |
Ayurveda also prescribes “Yoga” as a beneficial tool for proper blood circulation and elimination of the cholesterol build up in the body [52]. Some of the useful asanas for the treatment of hyperlipidemia are-Ardhamatsyendrasana, Shalabhasana, Padmasana, Vajrasana.
Home medications
Besides, pharmacological and ayurvedic treatment, some home remedies are also beneficial in the treatment of hyperlipidemia.
Some home ingredients which help in lowering lipid and cholesterol level in the body are listed in table 8.
Plants having hypolipidemic activity
Medicinal plants have always been considered as a healthy source of life for all people due to its rich therapeutic properties and being 100% natural [53]. Medicinal plants are widely used by the majority of populations to cure various diseases and illness and have a high impact on the world’s economy [54].
Over the past decade, herbal medicine has become a topic of global importance, making an impact on both world health and international trade. Continuous usage of herbal medicine by a large proportion in the developing countries is largely due to the high cost of Western Pharmaceuticals and Healthcare [55]. Medicinal plant-based drug industries is progressing very fast in India. The medicinal plants play a major role in hypolipidemic activity [56]. The advantages of herbal medicines are effectiveness, safety, affordability and acceptability. Some plants having hypolipidemic property are listed in table 9.
Table 8: Home remedies for dipping high cholesterol levels
| Ingradients | Role |
| Nuts | Almonds lower LDL by 4.4%, Walnuts lower LDL by 16%. |
| Oatmeal | Drops LDL by 12-24%. |
| Orange juice | Reduce blood cholesterol level. |
| Coriander seeds | Lower cholesterol and triglycerides levels. |
| Fish oil | Lower triglycerides levels. |
| Honey | Lower cholesterol level. |
| Soyabeans | Reduce the production of new cholesterol. |
| Indian Gooseberry | Reduces excess cholesterol build-up. |
| Brown Rice | Lower cholesterol level. |
| Turmeric | Lowers LDL cholesterol levels. |
| Brinjal | Lowers LDL cholesterol levels. |
| Coconut oil | Increases HDL and improves the LDL/HDL ratio. |
| Fenugreek seeds | Lowers cholesterol level by 14%. |
| Beans | Lowers LDL level |
| Avocados | Lowers cholesterol level and boost up HDL level. |
| Olive oil | Lowers LDL-C levels. |
| Apples | Lowers cholesterol level. |
| Broccoli | Lowers blood cholesterol level. |
| Chocolate | Maintain HDL-C and reduces LDL-C levels. |
| Barley | Lower blood cholesterol and triglyceride levels. |
| Tomatoes | Lycopene lowers LDL-C level. |
| Spinach | Lutein present prevents the cholesterol from sticking to the arterial wall. |
| Yogurt | Reduces LDL level by 4%. |
| Beets | Checks the build-up of LDL. |
| Green Tea | Lowers the cholesterol level. |
| Margarine | Lower LDL level |
| Ginger | Lower cholesterol level. |
| Garlic | Reduces the formation of plaque in the blood vessels. |
| Apple Cider Vinegar | Lower triglyceride level. |
Table 9: Plants having hypolipidemic activity
| Plant | Botanical name | Part used | Family |
| Inca wheat | Amaranthus caudatus | Leaves | Amaranthaceae |
| Palash | Butea monosperma | Leaves | Fabaceae |
| Amaltas | Cassia fistula | Legume | Fabaceae |
| Guggul | Commiphora mukul | Gum resin | Burseraceae |
| Kesraj | Eclipta alba | Flower | Asteraceae |
| Kalajam | Eugenia Jambolana | kernels | Myrtaceae |
| Pipal | Ficus racemosa | Bark | Moraceae |
| Mulethi | Glycyrrhiza glabra | Root | Leguminoceae |
| Bottle gourd | Lagenaria siceraria | Fruit | Cucurbitaceae |
| Musli | Cholophytum borivilianum | Root | Liliaceae |
| Drumstick tree | Moringa oleifera | Leaves, root, seed | Moringaceae |
| Snake jasmine | Rhinacanthus nasutus | Whole plant | Acanthaceae |
| Java jute | Hibiscus cannabinus | Pericarp | Sapindaceae |
CONCLUSION
The prevalence of hyperlipidemia, a major cause for coronary heart disease is very high in India. The relation between hyperlipidemia and occurrence of cardiovascular diseases has been already established. Various studies have reported the treatment of hyperlipidemic patients with antioxidants, fibrates, bile acid binding resins, etc.
Though many Ayurvedic formulations and herbal remedies are available to treat hyperlipidemia, the problem of enhanced cholesterol levels in the blood is still prevailing and is being a cause for many coronary disorders.
Recently, certain medicinal plants and herbs have seen light in treating these elevated lipid levels and reducing the risk of heart attacks. To reduce the risk of cardiovascular diseases due to hyperlipidemia requires urgent lifestyle intervention strategies and drugs that can reduce the cholesterol and triglyceride levels in the blood. Further studies are mandatory in order to provide more information about the safety and efficacy of novel anti-hyperlipidemic agents.
CONFLICT OF INTERESTS
Declared none
REFERENCES
How to cite this article