
Department of Pharmaceutical Chemistry, JSS College of Pharmacy, Jagadguru Sri Shivarathreeshwara University, Mysore 570015, Karnataka, India
Email: bmgurupadayya@jssuni.edu.in
Received: 21 Oct 2017, Revised and Accepted: 12 Dec 2017
ABSTRACT
Objective: The aim of the study was to develop an easy, sensible and rapid method for the estimation of amikacin in both pure and marketed formulation using the spectrophotometric method.
Methods: Due to lack of chromophoric group in the amikacin, it was derivatized with 0.1 mmol chloranillic acid reagent. For the estimation of amikacin, Shimadzu UV-1700 model spectrophotometer with UV probe software was used. The method was based on simple charge transfer complexation of the drug with a p-chloranillic acid reagent to give a purple coloured product which was measured at 524nm against blank solution.
Results: The derivatised product of amikacin was detected at a wavelength of 524 nm. Linearity was observed with the concentration range of 20-100 µg/ml with a regression coefficient of 0.9803. Results of all the parameters were within the acceptance criteria with % RSD less than 2.
Conclusion: The spectroscopic method was validated as per ICH guidelines and was found to be applicable for routine quantitative analysis of amikacin in marketed formulations also. The results of linearity, precision, accuracy LOD and LOQ were within the specified limits. The method is highly sensitive, robust, reproducible and specific.
Keywords: Amikacin, Analytical method development, ICH guidelines, Pharmaceutical dosage, Spectrophotometric.
© 2018 The Authors. Published by Innovare Academic Sciences Pvt Ltd. This is an open-access article under the CC BY license (http://creativecommons.org/licenses/by/4.0/)
DOI: http://dx.doi.org/10.22159/ijcpr.2018v10i1.24703
Amikacin is an aminoglycoside antibiotic used for many gram-negative bacterial infections like infections in the urinary tract, infections in brain, lungs and abdomen which are resistant to gentamicin, kanamycin or tobramycin. When compared to other aminoglycosides amikacin has very narrow safety margin i.e., its therapeutic plasma concentration is 8-16 µg/ml. When it is given to renal impaired patients for over a period of time it shows ototoxicity and nephrotoxicity [1-3].
A detailed literature review indicated that there are few analytical and bioanalytical methods were reported like calorimetry [4], HPLC [5-8], LCMS [9] and immunoassay [9]. But till date, there were no reported methods for UV visible Spectroscopy by using choloranilic acid as a derivatizing agent. This method is simple, sensitive, rapid and can be possible to extend to HPLC method using similar reagent.

Fig. 1: Amikacin chemical structure
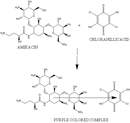
The structure of amikacin was shown in fig. 1, which has four primary amine groups, one secondary amine group, one primary OH group and seven secondary OH groups [10]. Direct UV methods are not available in literature because the drug is not absorbing in the UV region. Hence, it is essential to derivatize with 0.1% chloranilic acid using electron transfer reaction. The detailed chemical reaction between amikacin and chloranillic acid was shown in fig. 2.
Equipment
Absorbance and spectral were measured by using Shimadzu UV-visible spectrophotometer model 1800 with 1 cm pair quartz cells. Shimadzu electronic weighing balance was used for weighing samples.
Chemicals and reagents
Amikacin Sulfate was procured from Shri Chem, Mumbai and Chloranillic acid was procured from Loba chem and acetonitrile from Merck.
Amikacin standard stock solution
100 mg pure drug of amikacin was taken into 100 ml volumetric flask and dissolved with distilled water and made up to mark with distilled water. Further 10 ml was taken from the above solution and diluted to 100 ml with distilled water to get 100µg/ml solution. From these serial dilutions were made to get 20,40,60,80 and 100 µg/ml solutions.
0.1% mmol chloranilic acid reagent [11, 12]
Solution A (1% chloranilic acid): 0.208 gms of cholranilic acid was weighed into 100 ml volumetric flask and dissolved in few ml of acetonitrile. Volume was made up to mark with acetonitrile.
Working solution B (0.1% choloranilic acid): From solution A pipette out 10 ml and dilute to 100 ml using acetonitrile.
Assay procedure
1 ml of the intramuscular injection containing 250 mg was transferred into 10 ml volumetric flask. It was dissolved using distilled water. Finally, volume was made up to 10 ml using distilled water. The solution was further diluted for analysis to get a concentration of 25µg/ml. The assay results are tabulated in table 2.
Validation of the method [13, 14]
According to ICH guidelines validation of the method was carried out. Linearity, accuracy, precision, selectivity, robustness and ruggedness parameters were done.
Linearity
A series of amikacin sulfate solutions were prepared in the range of 20-100µg/ml from the stock solution of 1000µg/ml. The resultant solution was measured at 524 nm against the reagent blank. The overlay graphs of absorption of the standard drug and calibration graph were shown in the fig. 2 and 3 respectively.
Accuracy
Accuracy is the nearness of the measured value to the obtained value of the sample.
To determine this three different standard concentrations of 50%, 100% and 150% are added to the sample which is procured from the market. The results obtained for the spiked drug are given in % recovery (94.44–106.4%) shown in the table 3.
Precision
The precision of the analytical method was determined by measuring the fixed concentration of the drug solution for 6 times within the Beer’s range and absorbance was found. The results of amikacin were given in the table 4-7.
Limit of detection (LOD) and limit of quantitation (LOQ)
The LOD and LOQ for amikacin sulfate were determined using calibration standards. The LOD and LOQ were calculated as 3.3* standard deviation/slope and 10* standard deviation/slope respectively.
Robustness and ruggedness
To determine the robustness of the method, reaction time and reagent concentrations were slightly altered with optimum values in spectrophotometry. To check the ruggedness, the analysis was done by four different analysts and on three different spectrophotometers using the same analyst. The robust data are expressed in % RSD. The results of amikacin were in table 8 and 9.

Fig. 2: Chemical reaction between amikacin and reagent
Sandell’s sensitivity
The serial dilutions of 20-100µg/ml solutions absorbance were taken and the sensitivity is calculated using the formula: Sandell’s Sensitivity (л) = Conc. (µg/100 ml) x 0.001/D1 value. The results were given in the table 10.
Selection of chloranillic acid reagent was based on the higher reactivity due to its stronger chromophore group in its structure when compared to other reagents. It enables its use for colourimetric determination of several amino groups.
The drug shows maximum absorption at 524 nm with a linearity range of 20-100 µg/ml. The method is also validated for precision, accuracy, LOD, LOQ. The precision of the method was found to be 1.78µg/ml,1.76 µg/ml and1.38 µg/ml.
The percentage recovery was ranging from 94.44% to 106.94%. And the LOD and LOQ were found to be 6.49 µg/ml and 19.68 µg/ml respectively. These data’s confirms the method is very sensitive and effectively used for quantification of Amikacin sulfate.

Fig. 3: Linearity plot for amikacin sulfate

Fig. 4: Overlay absorption spectra of amikacin sulphate
Table 1: Optical parameters of the method
| Parameters | Method |
| ƛmax | 524 nm |
| Beers law limits µg/ml | 20-100 |
| Regression equation y=mx+c | Y=0.0021x-0.0075 |
| Slope,m | 0.0021 |
| Intercept,c | -0.0075 |
| LOD, µg/ml | 6.49 |
| LOQ, µg/ml | 19.68 |
| Correlation coefficient(r2) | 0.9803 |
| Sandell’s Sensitivity, µg/cm2/0.001 A. U. | 0.23 |
| Molar absorpitivity, cm-1M-1 | 0.122*104 |
Table 2: Assay procedures
| Brand name | Available form | Label claim | Amount found | Assay |
| MIKACIN | IM injection | 250 mg/ml | 248.97 mg/ml | 99.58 |
Table: 3 Accuracy/% recovery
| Level of recovery | Amount of formulation (µg/ml) | Amount of pure drug (µg/ml) | Total amount of drug (µg/ml) | Absorbance | Difference | % recovery | Mean |
| 50 | 40 | 20 | 60 | 0.113 | 0.073 | 101.39 | 100.46 |
| 40 | 20 | 60 | 0.111 | 0.071 | 98.61 | ||
| 40 | 20 | 60 | 0.113 | 0.073 | 101.39 | ||
| 100 | 40 | 40 | 80 | 0.143 | 0.071 | 98.61 | 100.92 |
| 40 | 40 | 80 | 0.149 | 0.077 | 106.94 | ||
| 40 | 40 | 80 | 0.142 | 0.07 | 97.22 | ||
| 150 | 40 | 60 | 100 | 0.189 | 0.075 | 104.17 | 99.07 |
| 40 | 60 | 100 | 0.182 | 0.068 | 94.44 | ||
| 40 | 60 | 100 | 0.185 | 0.071 | 98.61 |
Table 4: Method precision (intraday)
| Concentration µg/ml | Absorbance | Concentration µg/ml | Absorbance | Concentration µg/ml | Absorbance |
| 20 | 0.0401 | 60 | 0.11 | 100 | 0.203 |
| 0.0409 | 0.109 | 0.201 | |||
| 0.042 | 0.112 | 0.21 | |||
| 0.0405 | 0.107 | 0.209 | |||
| 0.0409 | 0.11 | 0.201 | |||
| 0.04 | 0.106 | 0.203 | |||
| Avg | 0.0407 | Avg | 0.109 | Avg | 0.2045 |
| SD | 0.0006 | SD | 0.002 | SD | 0.003 |
| % RSD | 1.63 | %RSD | 1.83 | %RSD | 1.77 |
Avg: Average SD: Standard Deviation RSD: Relative Standard Deviation
Table 5: Method precision (interday)
| Concentration µg/ml | Absorbance | Concentration µg/ml | Absorbance | Concentration µg/ml | Absorbance |
| 20 | 0.041 | 60 | 0.109 | 100 | 0.209 |
| 0.04 | 0.11 | 0.21 | |||
| 0.042 | 0.113 | 0.205 | |||
| 0.04 | 0.112 | 0.203 | |||
| 0.041 | 0.11 | 0.207 | |||
| 0.04 | 0.115 | 0.213 | |||
| Avg | 0.0406 | Avg | 0.115 | Avg | 0.2078 |
| SD | 0.0007 | SD | 0.002 | SD | 0.003 |
| %RSD | 1.83 | %RSD | 1.84 | %RSD | 1.58 |
Avg: Average SD: Standard Deviation RSD: Relative Standard Deviation
Table 6: System precision (intraday)
| Concentration µg/ml | Absorbance | Concentration µg/ml | Absorbance | Concentration µg/ml | Absorbance |
| 20 | 0.04 | 60 | 0.109 | 100 | 0.199 |
| 0.04 | 0.11 | 0.203 | |||
| 0.042 | 0.114 | 0.201 | |||
| 0.04 | 0.112 | 0.2 | |||
| 0.04 | 0.109 | 0.197 | |||
| 0.0401 | 0.113 | 0.203 | |||
| Avg | 0.0405 | Avg | 0.111 | Avg | 0.2005 |
| SD | 0.0007 | SD | 0.001 | SD | 0.002 |
| %RSD | 1.86 | %RSD | 1.75 | %RSD | 1.06 |
Avg: Average SD: Standard Deviation RSD: Relative Standard Deviation
Table 7: System precision (interday)
| Concentration µg/ml | Absorbance | Concentration µg/ml | Absorbance | Concentration µg/ml | Absorbance |
| 20 | 0.0401 | 60 | 0.112 | 100 | 0.201 |
| 0.04 | 0.114 | 0.199 | |||
| 0.0403 | 0.109 | 0.203 | |||
| 0.042 | 0.11 | 0.2 | |||
| 0.0399 | 0.109 | 0.201 | |||
| 0.0401 | 0.11 | 0.206 | |||
| Avg | 0.0405 | Avg | 0.11 | Avg | 0.201 |
| SD | 0.0007 | SD | 0.001 | SD | 0.002 |
| %RSD | 1.82 | %RSD | 1.62 | %RSD | 1.13 |
Avg: Average SD: Standard Deviation RSD: Relative Standard Deviation
Table 8: Robustness data of the developed method
| Wavelength (nm) | Concentration µg/ml | Absorbance | Wavelength (nm) | Concentration µg/ml | Absorbance |
| 523 | 60 | 0.114 | 525 | 60 | 0.114 |
| 60 | 0.112 | 60 | 0.111 | ||
| 60 | 0.113 | 60 | 0.113 | ||
| Avg | 0.113 | Avg | 0.112 | ||
| St Dev | 0.001 | St Dev | 0.001 | ||
| %RSD | 0.88 | %RSD | 1.35 |
Table 9: Ruggedness of the developed method
| Concentration µg/ml | Linearity absorbance | Change in instrument absorbance | Mean | SD | %RSD |
| 0 | 0 | 0 | 0 | 0 | 0 |
| 20 | 0.04 | 0.041 | 0.04 | 0.0007 | 1.74 |
| 40 | 0.072 | 0.074 | 0.073 | 0.001 | 1.94 |
| 60 | 0.114 | 0.112 | 0.113 | 0.001 | 1.25 |
| 80 | 0.179 | 0.176 | 0.177 | 0.002 | 1.98 |
| 100 | 0.201 | 0.205 | 0.203 | 0.003 | 1.39 |
SD: Standard Deviation RSD: Relative Standard Deviation
Table 10: Sandell’s sensitivity
| S. No. | Concentration(µg/ml) | Absorbance | Sensitivity | Mean sensitivity |
| 1 | 20 | 0.04 | 0.5 | 0.23 |
| 2 | 40 | 0.072 | 0.278 | |
| 3 | 60 | 0.114 | 0.175 | |
| 4 | 80 | 0.179 | 0.112 | |
| 5 | 100 | 0.201 | 0.010 |
The developed spectrophotometric method was easy, responsive and authentic with good precision and accuracy. The procedure did not involve any critical steps; hence it can be used routinely for determination of amikacin in pure and in the marketed formulation.
All the author have contributed equally
Declared none
Feng CH, Lin SJ, Wu HL, Chen SH. Trace analysis of amikacin in commercial preparation by derivatization and HPLC. J Liq Chroma Related Tech 2001;24:381-92.
Ovalles JF, Brunetto Mdel R, Gallignani M. A new method for the analysis of amikacin using 6-aminoquinolyl-N-hydroxy-succinimidyl carbamate (AQC) derivatization and high-performance liquid chromatography with UV-detection. J Pharm Biomed Anal 2005;39:294-8.
Galanakis EG, Megoulas NC, Solich P, Koupparis MA. Development and validation of a novel LC non-derivatization method for the determination of amikacin in pharmaceuticals based on evaporative light scattering detection. J Pharm Biomed Anal 2006;40:1114-20.
Ryan JA. Colorimetric determination of gentamicin, kanamycin, tobramycin, and amikacin aminoglycosides with 2,4-dinitrofluorobenzene. J Pharm Sci 1984;73:1301-2.
Zawilla NH, Li B, Hoogmartens J, Adams E. Improved reversed-phase liquid chromatographic method combined with pulsed electrochemical detection for the analysis of amikacin. J Pharm Biomed Anal 2007;43:168-73.
Maitra SK, Yoshikawa TT, Steyn CM, Guze LB, Schotz MC. Amikacin assay in serum by high-performance liquid chromatography. Antimicrob Agents Chemother 1978;14:880-5.
Sánchez Martinez ML, Aguilar Caballos MP, Gomez Hens A. Selective kinetic determination of amikacin in serum using long-wavelength fluorimetry. J Pharm Biomed Anal 2004;34:1021-7.
Dave Vimal M. Development and validation of an RP-HPLC method for simultaneous estimation of cefepime hydrochloride and amikacin sulphate in injection dosage form. J Pharm Sci Biosci Res 2012;2:58-62.
Nicoli S, Santi P. Assay of amikacin in the skin by high-performance liquid chromatography. J Pharm Biomed Anal 2006;41:994-7.
Baietto L, D'Avolio A, De Rosa FG, Garazzino S, Michelazzo M, Ventimiglia G, et al. Development and validation of a simultaneous extraction procedure for HPLC-MS quantification of daptomycin, amikacin, gentamicin, and rifampicin in human plasma. Anal Bioanal Chem 2010;396:791-8.
Fathima A, Rao S, Venkateshwarlu G. Quantitative determination of drugs and pharmaceuticals using p-chloranilic acid as a reagent. Int J Chem Tech Res 2012;4:79-91.
Darwish IA, Refaat IH. Spectrophotometric analysis of selective serotonin reuptake inhibitors based on the formation of charge-transfer complexes with tetracyanoquinodimethane and chloranilic acid. J AOAC Int 2006;89:326-33.
ICH, Q2B, Validation of Analytical Procedures: Methodology, International Conference on Harmonization, Geneva; 1996. p. 1.
ICH, Q2(R1), Validation of analytical procedures: Text and Methodology; 1995.