
Department of Pharmaceutical Chemistry, Dr Vithalrao Vikhe Patil Foundation’s College of Pharmacy, Vilad Ghat; M. I.D. C, Ahmednagar 414111, Maharashtra, India
Email: priyankashindep13@gmail.com
Received: 05 Aug 2019, Revised and Accepted: 12 Oct 2019
ABSTRACT
Objective: The present study aims to synthesize and biological evaluation of Spiro-[Indole-Thiazolidine] derivatives as antimicrobial agents.
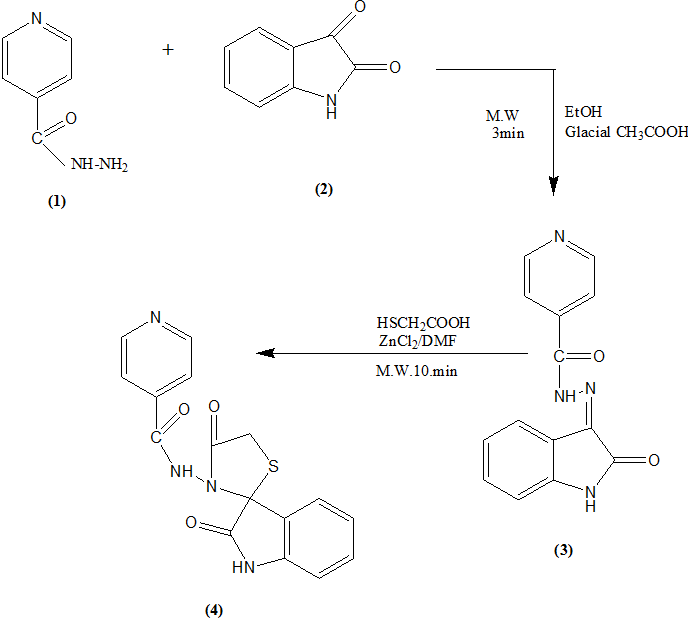
Methods: The reaction sequence involves microwave-induced preparation of N-(2-oxo-1,2-dihydro-3’H-indol-3-ylidene)pyridine-4-carbohydrazide [3] from isoniazid [1] and isatin [2] followed by the cyclo condensation of [3] and mercaptoacetic acid under microwave condition to achieve the synthesis of spiro-[indole-thiazolidine] derivatives [4]. The resulting compounds were then allowed to react with various aromatic and heterocyclic aromatic aldehydes to afford arylidene derivatives [5a-l].
Result: Isoniazid (1) on condensation with isatin (2) in the presence of catalytic amount of glacial acetic acid furnished N-(2-oxo-1,2-dihydro-3’H-indol-3-ylidene) pyridine-4-carbohydrazide (3), which showed characteristic IR, absorption bands. Compound (3) underwent Spiro cyclization upon its reaction with mercaptoacetic acid in the presence of anhydrous ZnCl2 to form spiro-[indole-thiazolidine] compound (4). Compound (4) was then condensed with aromatic aldehydes to give arylidene derivatives (5a-l), which were characterized by IR and 1H NMR spectral data.
Conclusion: All the synthesized compounds were screened for antimicrobial activity by the cup plate method. Most of the derivatives showed good antimicrobial activity against Gram-Positive and Gram-negative bacteria.
Keywords: Microwave irradiation, Spiro-[indole-thiazolidine], Isoniazid, Isatin
© 2019 The Authors. Published by Innovare Academic Sciences Pvt Ltd. This is an open-access article under the CC BY license (http://creativecommons.org/licenses/by/4.0/)
DOI: http://dx.doi.org/10.22159/ijcpr.2019v11i6.36346
Heterocyclic compounds containing nitrogen have been described for their biological activity against various microorganisms. Small ring heterocycles containing nitrogen, sulfur, and oxygen have been under investigation for a long time because for their important properties and also contributed to the society from the biological and industrial point are helps to understand life processes [1].
The heterocyclic compound holds a special place among pharmaceutically important natural and synthetic materials. The remarkable ability of heterocyclic nuclei to serve as reactive pharmacophores has largely contributed to their unique values as traditional key elements of numerous drugs. By far the most important heterocyclic system used in pharmaceuticals are those having five and six-membered rings. Over the past decade, chemists have reported some exciting synthetic strategies for the synthesis of this exclusive class of compounds. Consequently, there is an increased interest in technologies and concepts that facilitates more rapid synthesis and screening of chemical substance to identify compounds with appropriate qualities. One such high-speed technology is microwave Assisted Organic Synthesis [MAOS].
Spirocyclic system containing one carbon atom common to two rings are structurally interesting [2]. Spiro compounds represent an important class of naturally occurring substances and their characteristics is the highly biological properties [3, 4]. 1-H-indole-2,3-dione,[isatin]derivatives possess a broad range of biological and pharmacological properties and are widely used as starting materials for the synthesis of broad range of heterocyclic compounds and substrates for drug synthesis [5]. Spiro compounds are well known to possess varied pharmacological activities [6]. Spiro pyrans are biologically interesting compounds, with antibacterial [7], antioxidant [8], antifungal [9], anticancer [10], antitubercular [11], antihistamic [12] activity.
A microwave-assisted three-component regioselective one-pot cyclo condensation method has been developed for the synthesis of a series of novel Spiro [indole-thiazolidinones] [13], in high yields as compared to a conventional two-step procedure. A green chemical synthesis of novel Spiro [indole-pyrido-thiazines] was carried out under microwave conditions [14], which was reluctant to be formed under thermal conditions. Spiro-fused heterocycles under solvent-free conditions have also been carried out by Shaabani and Bazgir [15], Byk et al. [16]. In the present investigation, isoniazid is condensed with isatin using green pathway (i.e. microwave radiation) to synthesize some new spiro-[indole-thiazolidine] compounds.
All chemicals were supplied by Merck and SD fine chemicals (India). All reactions were carried out in a domestic microwave oven. The melting point was taken in open capillary tube and is therefore uncorrected. The purity of the compounds was checked on silica gel G TLC plates of 2 mm thickness using ethyl acetate: n-hexane (7:3) as solvent system and was detected by iodine vapors. IR spectra (KBr pellets) were recorded on Jasco 4100 (FTIR) spectrophotometer. 1H NMR Spectra (DMSO-d6) were taken on a Bruker DRX spectrophotometer (300MHz FTNMR) using TMS as internal standard and chemical shifts are expressed in δ. Mass spectra were taken on a Jeol sx-102/PA-6000(EI) spectrometer.
Synthesis of N-(2-oxo-1,2-dihydro-3’H-indol-3-ylidene] pyridine -4-carbohydrazide (3)
The reaction mixture of equimolar (0.01 mole) quantities of isoniazid (1) and isatin (2) in alcohol and a catalytic amount of glacial acetic acid was heated for 3 min in a microwave oven. The mixture was then allowed to cool; yellow-colored solid separated out, which was filtered, dried and recrystallized from CH2Cl2.
Synthesis of N-(2,4-dioxo-1,2-dihydro-3’H-spiro[indole-3,2-’[1,3]thiazolidin ]-3’yl)pyridine-4-carbaxamide(4)
To a mixture of (3) (0.01 mole) and mercaptoacetic acid (0.01 mole) in DMF, a pinch of anhydrous ZnCl2 was added and the mixture was irradiated for 10 min. It was cooled to room temperature and then poured into crushed ice. The solid separated was filtered, washed and recrystallized from alcohol.
Synthesis of N-{5’-[(4-substituted phenyl) methylidene]-2,4’-dioxo-1,2-dihydro-3’H-spiro [indole-3.2’-[1,3]thiazolidin]-3’-yl} pyridine-4-carboxamide (5a-5l)
Compound (4)(0.01) was suspended in the minimum quantity of ethanol. To this, aromatic aldehyde (0.01 mole), anhydrous sodium acetate (0.02 mole) and glacial acetic acid (5 ml) were added and irradiated for 17 min under microwave irradiation. Then this reaction mixture was cooled to room temperature and then poured into ice-cold water. The separated solid was filtered, washed with water and recrystallized from alcohol.
Biological activity
Antimicrobial activity [16]
Beef extract, Sodium Chloride and Peptone were dissolved in 250 ml of distilled water. PH of the medium was adjusted to 7.0 by using NaOH. Agar powder was added and medium was heated to dissolve the agar to form a clear liquid, the final volume was made by distilled water. Sterilized it in autoclave at 121 °C, 15 lb pressure for 15 min. The medium was allowed to cool up to 50 °C, and poured quickly into sterile petri plates under aseptic conditions.
The plates were inoculated by specific microorganisms by spread plate technique and allowed to dry. Then bores were made in the solidified agar plate by using a sterile borer. The test solution and standard solution of the specified concentration were added in the bore by using sterile pipette. The plates were then kept in freeze for 1 hour for diffusion and then incubated at 37 °C for 24 h.
Isoniazid (1) on condensation with isatin (2) in presence of catalytic amount of glacial acetic acid furnished N-(2-oxo-1,2-dihydro-3’H-indol-3-ylidene) pyridine-4-carbohydrazide (3), which showed characteristic IR absorption bands at 3234 (N-H str.), 1707 (C=O str.) and 1620 cm-1 (C=N str.) and two sharp singlets at δ 9.1 (-NH of indole ring) and δ 8.4 (-CONH). Compound (3) underwent Spiro cyclisation upon its reaction with mercaptoacetic acid in presence of anhydrous ZnCl2 to form spiro-[indole-thiazolidine] compound (4). Its IR spectrum showed the absence of C=N absorption at 1620 cm-1 and the presence of a band at 1732 cm-1corresponding to C=O str. of thiazolidinone ring and also appearance of a new singlet at δ 3.5 (S-CH2-C) in 1H NMR favours the formation of spiro compound (4). Compound (4) was then condensed with aromatic aldehydes to give arylidene derivatives (5a-l), which were characterized by IR and 1H NMR spectral data. All the above compounds were also confirmed by their physical and analytical data, which was present in table 1 and spectral data present in table 2.


Table 1: Physical and analytical data of synthesized compounds
| Compound | Structure (Ar) | M. P ( °C) | Yield% | Molecular formula | Mol. weight |
| 3 | - | 280 | 88 | C14H10N4O2 | 266 |
| 4 | - | 242 | 85 | C16H12N4O3S | 340 |
| 5a | ![]() |
90 | 70 | C22H14O4N4S | 418 |
| 5b | ![]() |
185 | 80 | C25H17O3N5S | 467 |
| 5c | ![]() |
183 | 84 | C22H17O3N4S2 | 449 |
| 5d | ![]() |
170 | 75 | C23H16O4N4S | 444 |
| 5e | ![]() |
175 | 77 | C23H1404N4S | 444 |
| 5f | ![]() |
145 | 80 | C23H1505N5S | 473 |
| 5g | ![]() |
173 | 45 | C23H16O4N4S | 444 |
| 5h | ![]() |
143 | 83 | C24H16O3N4S | 440 |
| 5i | ![]() |
163 | 79 | C23H15ClO3N4S | 462 |
| 5j | ![]() |
163 | 90 | C23H15ClO3N4S | 462 |
| 5k | ![]() |
193 | 88 | C25H21N5O3S | 471 |
| 5l | ![]() |
173 | 83 | C25H18O3N4S | 471 |
Table 2: Spectral data of synthesized compounds
| Compound | Spectral data |
3 IR(cm-1) 1H NMR(δ) |
3234 (N-H str.), 3131 (C-H str., aromatic), 1707(C=O str.), 1766 (C=O str. of CONH), 1620 (C=N str.) |
| 9.1(s, 1H, NH), 7.1-7.8 (m, 4H, Ar-H), 8.4 (s, 1H, CONH), 8.35 (d, 2H, Ar-H of pyridine ring), 6.5 (d, 2H, Ar-H of pyridine ring). | |
4 IR (cm-1) 1H NMR (δ) |
3361 (N-H str.), 3111(C-H, aromatic), 1706 (C=O str.), 1732 (C=O of thiazolidinone ring) |
| 9.3 (s, 1H, NH), 6.9-7.6 (m, 4H, Ar–H),8.56 (s, 1H, CONH), 8.37 (d, 2H, Ar-Hof pyridine ring), 6.64 (d, 2H, Ar-H) of pyridine ring), 3.6 (s, 2H, S-CH2-C) | |
5a IR (cm-1) |
3444.24(NH),2987.2(CH-Aromatic),2960-2850,(CH-Aliphatic),2251.49 (C=N),1674.21(C=OAmide),1463.97(C=CAromatic),2251(C=CAliphatic),1710.55 (C-N Amides),1317,14(C-N Amine),1301.97(C-O Ether), |
5b IR (cm-1) 1H NMR (δ) |
3444.24(NH),29.87.2(CH-Aromatic),2960-2850,(CH-Aliphatic),2251.49 (C=N),1674.21(C=O Amide),1463.97(C=C Aromatic), 2251 (C=C Aliphatic), 1710.55 (C-N Amides),1317,14(C-N Amine),1301.97(C-O Ether), |
| 8.87(pyridine))8.87 (NH),11.43(NH),7.1(Benzene),1.91(CH),8.081(NH), 6.98(Benzene). | |
5c IR (cm-1) 1HNMR (δ) |
3444.24(NH),29.87.2(CH-Aromatic),2960-2850,(CH-Aliphatic),2251.49 (C=N),1674.21(C=O Amide),1463.97(C=C Aromatic), 2251 (C=C Aliphatic), 1710.55 (C-N Amides),1317,14(C-N Amine),1301.97(C-O Ether), |
| 8.87(pyridine),8,87(NH),11.43(NH),7.1(Benzene),2.49(CH3),6.98(thiophene H), | |
5f IR (cm-1) |
3444.24(NH),29.87.2(CH-Aromatic),2960-2850,(CH-Aliphatic),2251.49 (C=N),1674.21(C=O Amide),1463.97(C=C Aromatic), 2251 (C=C Aliphatic), 1710.55 (C-N Amides),1317,14(C-N Amine),1301.97(C-O Ether), |
Table 3: Antimicrobial activity of synthesized compounds (zone of inhibition)
| Compound | Zone of inhibition (mm) | |||||
| Staphylococcus aureus | E-coli | |||||
| 25µg | 50µg | 100µg | 25µg | 50µg | 100µg | |
| 5a | 10 | 11 | 13 | 12 | 14 | 16 |
| 5b | 9 | 10 | 12 | 11 | 13 | 14 |
| 5c | 12 | 14 | 16 | 8 | 10 | 11 |
| 5d | 10 | 11 | 12 | 12 | 13 | 14 |
| 5e | 10 | 12 | 13 | 12 | 14 | 15 |
| 5f | 13 | 14 | 16 | 9 | 10 | 12 |
| 5g | 9 | 10 | 12 | 10 | 11 | 12 |
| 5h | 8 | 10 | 11 | 11 | 12 | 13 |
| 5i | 10 | 10 | 12 | 14 | 16 | 17 |
| 5j | 8 | 9 | 10 | 12 | 14 | 16 |
| 5k | 14 | 16 | 17 | 8 | 9 | 10 |
| 5l | 12 | 14 | 16 | 8 | 10 | 11 |
| Ampicillin | 15 | 16 | 17 | 14 | 15 | 17 |
Antimicrobial activity of all the newly synthesized compounds was carried out by the agar diffusion method in DMF having a concentration 25µg, 50µg and 100µg. Ampicillin was used as a reference standard for antimicrobial activity. The Zone of inhibition of synthesized compounds was compared with standard drug ampicillin at three different concentrations. Amongst all the synthesized compounds, 5a,5b,5d,5e,5g,5h,5i,5j, (electron-withdrawing group) showed significant activity against Staphylococcus aureus, and good activity against E coli. Amongstall the synthesized compounds; 5c, 5f,5k,5l,(electron-donating group) showed significant activity against E coli, and good activity against Staphylococcus aureus.
The preparation procedure followed in this work for the synthesis of title compounds offers a reduction in the reaction time, operation simplicity and easy work-up. All spectroscopic analysis confirmed the proposed structures for these compounds. Antimicrobial data have shown that synthesized compounds 5a,5b,5d,5e,5g,5h,5i,5j showed significant activity against gram-positive micro-organism and synthesized compounds 5c,5f,5k,5l showed significant activity against gram-negative microorganism.
Authors are thankful to the principal,Dr. V. V. P. F’s College of Pharmacy, Vilad ghat, Ahmednagar for providing research facilities.
All the author have contributed equally.
The authors declare no conflict of interests.
M Gracia Valverde, TomasTorroba. Special issue: sulfur-nitrogen heterocycles. Molecule2005;10:318-20.
Sannigrahi Mousumi. Stereocontrolled synthesis of Spirocyclics. Tetrahedron 1999;55:9007-71.
James DM, Kunze HB, Faulkner DJ. Two new brominated tyrosine derivatives from the sponge druinella (= psammaplysilla) purpurea. J Nat Prod 1991;54:1137-40.
Kobayashi J, Tsuda M, Agemi K, Shigemiri H, Ishibashi M, Sasaki T, et al. Purealidins b and c, new bromotyrosine alkaloids from the okinawan marine sponge psammaplysilla purea. Tetrahedron 1991;47:6617-22.
Joaquim FM, Da Silva, Simon J Garden, Angelo C Pinto. The chemistry of isatins: a review from 1975 to 1999. J Braz Chem Soc 2001;12:273-324.
MJ Kukla, HJ Breslin, CJ Diamond, PAJ Jansen. Microwave assisted synthesis of some new spiro-[indole-thiazolidine] derivatives: a green chemical pathway. J Med Chem 2010;8:809-16.
Doddappa Pralhad Anekal, JS Biradar. Synthesis and biological evaluation of novel indolyl 4-thiazolidinones bearing thiadiazine nucleus. Arabian J Chem 2017;10:S2098-S210.
Rajeev Sakhuja, Siva S Panda, Leena Khanna, Shilpi Khurana, Subhash C Jain. Design and synthesis of spiro [indole-thiazolidine ]spiro[indole-pyrans]as antimicrobial agents. Bioorganic Med Chem Lett 2011;21:5465-9.
Anshu Dandia, Sarita Khaturia, Claude Merienne. Georges morgant efficient microwave enhanced regioselective synthesis of a series benzimidazolyl/trizolyl spiro [indole-thiazolidinones]as potent antifungal agents and crystal structure of spiro[3H-indole-3,2-thiazolidine]-3(1,2,4-triazol-3-yl)-2,4(1H)dione. Bioorganic Med Chem 2006;14:2409-17.
Tarik E Ali, Reda M Abdel-Rahman. Synthesis and antioxidant activities of some novel fluorinated spiro[oxindole-thiazolidine] fused with sulfur and phosphorus heterocycles. J Sulfur Chem 2014;35:399–411.
Ruby Singh, Shakeel Ahmad Ganaie, Aakash Singh, Archana Chaudhry. Synthetic organic chemistry, carban–SO3H catalyzed expedient synthesis of new spiro-[indeno[1,2-b]quinoxaline–[11,2]-thiazolidine]-4-ones as a biologically important scaffold. Int J Rapid Commun 2013;68:245-53.
Kirti Shrimali, Manish Rawal, Pinki B, Suresh C. Microwave-assisted the synthesis of some new spiro-[indole-thiazolidine]derivatives. Int J Chem Sci 2010;8:809-16.
Dandia R Singh, S Khaturia, C Merienne, G Morgant, A Loupy. A facile catalyst and solvent-free synthesis of spiro thia heterocycles on grinding. Biorg Med Chem 2006;14:2409.
Dandia K Arya, M Sati, S Gautam. Mild and ecofriendly tandem synthesis of 1,2,4-triazolo[4,3-a]pyrimidines in aqueous medium. Tetrahedron 2004;60:5253.
Shaabani, A Bazgir. Tetrahedron lettat science direct.com 2004;45:2474-708.
RS Gund, Dr GD Gupta. Practical microbiology. Fifth edition. Nirali prakashan; 2008.