
Department of Pharmaceutical Chemistry, Dr Vithalrao Vikhe Patil Foundation’s College of Pharmacy, Vilad Ghat; M. I.D. C, Ahmednagar 414111, Maharashtra, India
Email: shindevandana224@gmail.com
Received: 10 Aug 2019, Revised and Accepted: 12 Oct 2019
ABSTRACT
Objective: The present study aims to synthesize and biological evaluation of benzimidazole derivatives as antimicrobial agents.
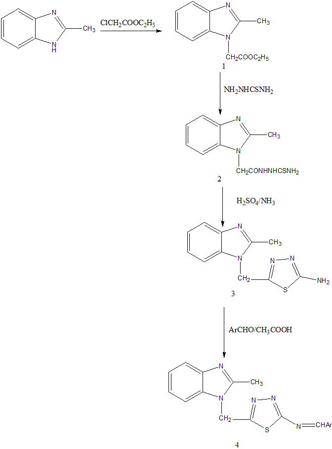
Methods: 2-Methylbenzimidazole react with ethyl-chloroacetate gives N1-Ethylacetate-2-methyl-benzimidazole (1), which on reaction with thiosemicarbazide gives N1-acetylthiosemicarbazide-2-methyl-benzimidazole (2). The compound (2) on dehydrative annulation by mineral acid gives N1-(2’-amino-5’-methylene)-1’,3’,4’-thiadiazole-2-methyl-benzimidazole(3), which on condensation with various aromatic and hetero aromatic aldehydes gives N1-(2-substituted-Benzylidene-imino-5’-methylene)-1’, 3’, 4’-Thiadiazole]-2-methyl-benzimidazole(4a-4l).
Results: The reaction sequence involves microwave-induced preparation of N1-Ethylacetate-2-methyl-benzimidazole (1) from reaction of 2-methylbenzimidazole with ethyl-chloroacetate. Further reaction with thiosemicarbazide gives N1-acetylthiosemicarbazide-2-methyl-benzimidazole (2). The compound (2) on dehydrative annulation by sulfuric acid gives N1-(2’-amino-5’-methylene)-1’,3’,4’-thiadiazole-2-methyl-benzimidazole(3), which on condensation with various aromatic and hetero aromatic aldehydes gives N1-(2-substituted-Benzylidene-imino-5’-methylene)-1’, 3’, 4’-Thiadiazole]-2-methyl-benzimidazole(4a-4l). Which were characterized by IR and 1H NMR spectral data.
Conclusion: All the synthesized compounds were screened for antimicrobial activity by cup plate method. Most of the derivatives showed good antimicrobial activity against Gram-Positive and Gram-negative bacteria.
Keywords: Benzimidazole, Thiadiazole, Microwave irradiation, Spectral studies, Antimicrobial activity
© 2019 The Authors. Published by Innovare Academic Sciences Pvt Ltd. This is an open access article under the CC BY license (http://creativecommons.org/licenses/by/4.0/)
DOI: http://dx.doi.org/10.22159/ijcpr.2019v11i6.36356
Benzimidazole is a heterocyclic aromatic organic compound. It is an important pharmacophore and a privileged structure in medicinal chemistry. This compound is bicyclic in nature which consist of fusion of benzene and imidazole. Benzimidazole derivatives were reported to possess analgesic and anti-inflammatory activity [1], antimicrobial [2, 3], anticancer [4], anticonvulsant [5], antiviral [6], antioxidant [7], antihypertensive [8], anti-tubercular [9], anthelmintic [10],proton pump inhibitor activity [11]. In this present study benzimidazole derivatives of Schiff bases containing various aldehydes have been synthesized. These synthesized compounds were screened for antibacterial activity by cup plate method.
Melting points of all synthesized compounds were determined in open capillary tubes and were uncorrected. The purity of the compounds was checked by TLC on pre-coated silica gel G plates and visualized in iodine vapour. The IR spectra were recorded on FT-IR 1800 (Perkin-Elmer)spectrophotometer by KBr pellets technique.1H NMR spectra were recorded on Jasco 4100 spectrophotometer using DMSO-d6 as solvent and TMS as internal standard.
Synthesis of N1-Ethylacetate-2-methyl-benzimidazole (1)
A mixture of 2-methyl–benzimidazole(0.30 mole, 39.60 g) and ethyl-chloroacetate (0.30 mole,36.74 g) with K2CO3(6.16 g) was added and mixed thoroughly. The reaction mixture was air dried and subjected to microwave irradiation for 3 min. The completion of reaction was monitored by thin layer chromatography. The reaction mixture was cooled and separated, solid extracted with ethanol to give the desired product as a colourless crystalline solid.
Synthesis of N1-Acetylthiosemicarbazide-2-methyl-benzimidazole (2)
The N1-Ethylacetate-2-methyl-benzimidazole (0.15 mole, 32.70 g) and thiosemicarbazide (0.15 mole, 30.67 g) was ground in a mortar using a pestle for uniform mixing. The mixture was kept inside a microwave irradiation for 10 min. The completion of the reaction was monitored by thin layer chromatography. The product was recrystallized using ethanol.
Synthesis of N1-(2’-amino-5’-methylene)-1’, 3’,4’-thiadiazole-2-methyl-benzimidazole (3)
Equimolar solution of compound 2(0.10 mole, 26.30 g) dissolved in chloroform and concentrated H2SO4 (0.10 mole, 9.80 g) was added in to above solution at room temperature. This reaction mixture was subjected to microwave irradiation for 15 min. The sample was cooled in ice bath and irradiation was repeated several times. Completion of the reaction was monitored by TLC. The resulting product was neutralized with conc. Liq. ammonia. The final product was recrystallized from ethanol to give compound 3.
Synthesis of N1-(2-Benzylidene-imino-5’-methylene)-1,’3,’4’-thiadiazole]-2-methyl-benzimidazole (4)
Equimolar solution of compound 3 (0.0085 mole, 2.08 g) and benzaldehyde (0.0085 mole, 0.902 g) in methanol (20 ml) with 4-5 drops of glacial acetic acid was subjected to microwave irradiation for 15 min. The sample was cooled in an ice bath and TLC was used to monitor the reaction progress. The reaction product was recrystallized with ethanol that gave the final compound.
Synthesis of N1-(2-substituted-Benzylidene-imino-5’-methylene)-1,’3,’4’-Thiadiazole]-2-methyl-benzimidazole (4a-4l)
The N1-(2-amino-5’-methylene)-1’, 3’, 4’-thiadiazole 2-methyl-benzimidazole (0.0085 mole,2.08 g) and substituted aldehyde (0.0085 mole, 0.902 g) in methanol with 4-5 drops of glacial acetic acid was subjected to microwave irradiation for 15 min. The sample was cooled in an ice bath and TLC was used to monitor the reaction progress. The reaction product was recrystallized with ethanol that gave the final compound.
Biological activity
Antimicrobial activity
All synthesized benzimidazole derivatives 4a-4l were screened for in vitro antibacterial activity against strain of gram-positive (Staphylococcus aureus) and gram-negative (Escherichia coli) bacteria using cup plate method (agar diffusion method) [12]. Ampicillin was used as standard drug for antibacterial activity. The solutions of 25, 50, 100 µg/ml concentration of synthesized benzimidazole derivatives and standard drug were used to evaluate antimicrobial potential. The result of antibacterial activity is shown in table 3.

2-Methyl benzimidazole react with ethyl-chloroacetate gives N1-Ethylacetate-2-methyl-benzimidazole (1) which showed characteristic IR absorption band at 1427 (-CH2 bending), 1720 (C=O str) and 1640 cm-1 (C=N str). Compound (1) which on reaction with thiosemicarbazide gives N1-Acetylthiosemicarbazide-2-methyl-benzimidazole (2). Further on dehydrative annulation by mineral acid gives N1-(2’-amino-5’-methylene)-1’,3’,4’-thiadiazole-2-methyl-benzimidazole (3) which showed characteristic IR absorption band at 1630 (C=N), 2830 cm-1 (-CH3). The compound (3) which on condensation with various aromatic and hetero aromatic aldehydes gives N1-(2-substituted-Benzylidene-imino-5’-methylene)-1’,3’,4’-Thiadiazole]-2-methyl-benzimidazole (4a-4l). The physical and analytical data is presented in table 1. The structures of these newly synthesized compounds were characterized on the basis of IR and1H NMR spectroscopy. The result of spectral data is presented in table 2.
Table 1: Physical and analytical data of synthesized compounds
| Compound code | Structure (Ar) | Molecular formula |
Molecular weight |
Melting point ( °C) |
Yield (%) |
| 4a | ![]() |
C18H15N5O4 | 365.45 | 201 | 89 |
| 4b | ![]() |
C16H14N6O2S | 323.37 | 180 | 78 |
| 4c | ![]() |
C18H14N6O2S | 378.40 | 171 | 80 |
| 4d | ![]() |
C18H15N5OS | 349.40 | 191 | 79 |
| 4e | ![]() |
C18H14N6O2S | 378.40 | 210 | 85 |
| 4f | ![]() |
C18H15N5OS | 349.40 | 185 | 71 |
| 4g | ![]() |
C20H20N6S | 376.47 | 211 | 76 |
| 4h | ![]() |
C20H10N5O2S | 393.46 | 205 | 84 |
| 4i | ![]() |
C18H14FN5S | 351.40 | 197 | 90 |
| 4j | ![]() |
C20H17N5S | 359.44 | 178 | 88 |
| 4k | ![]() |
C20H16N5S | 372.46 | 223 | 73 |
| 4l | ![]() |
C17H15N5S2 | 353.46 | 177 | 71 |
Table 2: Spectral data of synthesized compounds
| Compound | Spectral data |
1 IR(cm-1) 1H NMR(δ) |
1270, 1470 (-NCH2), 1427(-CH2 bending), 1384 (-CH3bending), 1720 (>C=O of ester) 16.40 (benzimidazole ring) |
| 1.90(t, 3H J=7.0 Hz,-COOCH2CH3), 4.19 (q, 2H, J=7.0 Hz,-CH2CH3), 2.64(s, 1H,--CH3), 7.35 (m, 4H, Ar-H), 3.63 (s, 2H,-NCH2) | |
2 IR(cm-1) 1H NMR(δ) |
1274,1471(-NCH2), 3275 (NH), 1128(>C=S), 2822(-CH3), 1601 (-C=N of benzimidazole ring) |
| 8.26 (m, 4H,-NHNHCSNH2), 2.65(s, 1H,-CH3), 3.68(s, 2H,-NCH2), 7.36(m, 4H, Ar-H) | |
3 IR(cm-1) 1H NMR(δ) |
1279, 1463(-NCH2), 3396(-NH2), 1408, 1630(C=N,C-N of benzimidazole ring), 1603(Thiadiazole ring), 2830 (-CH3) |
| 4.81(s, 1H,-NH2), 2.64(s, 1H,-CH3), 7.24(m, 4H, Ar-H) | |
4 IR(cm-1) 1H NMR(δ) |
1546(-N=CH), 2824(-CH3), 1276, 1467(-NCH2), 1632(Thiadiazole ring), 1610(benzimidazole ring) |
7.24(m, 9H, Ar-H), 2.66(s, 1H,-CH3), 3.65(-NCH2), 4.91(s, 1H, -N=CH) |
|
4k IR(cm-1) 1H NMR(δ) |
1466(-NCH2), 2846(-CH3),1635 (benzimidazole ring),1631 (Thiadiazole ring), 1640(-NH) |
| 2.57(s, 1H,-CH3), 3.34(-CH2), 4.91(s, 1H,-N=CH), 7.3(benzene), 8.02(imidazole ring) | |
4l IR(cm-1) 1H NMR(δ) |
1465(-NCH2), 1630(benzimidazole ring), 1621(Thiadiazole ring), 2550 (C-S) |
| 2.52(s, 1H, CH3), 3.30 (-CH2), 4.93(s, 1H,-N=CH) 7.4(benzene), 8.35 (Thiophene ring) |
Table 3: Antimicrobial activity of synthesized compounds (zone of inhibition)
| Compound | Zone of inhibition (in mm) | |||||
| S. aureus | E. coli | |||||
| 25µg/ml | 50µg/ml | 100 µg/ml | 25 µg/ml | 50 µg/ml | 100 µg/ml | |
| 4a | 14 | 15 | 16 | 15 | 16 | 17 |
| 4b | 12 | 13 | 15 | 14 | 14 | 16 |
| 4c | 16 | 18 | 20 | 12 | 13 | 14 |
| 4d | 13 | 12 | 14 | 13 | 14 | 16 |
| 4e | 15 | 18 | 19 | 11 | 12 | 13 |
| 4f | 12 | 14 | 15 | 14 | 16 | 18 |
| 4g | 16 | 15 | 19 | 10 | 12 | 13 |
| 4h | 17 | 17 | 20 | 12 | 11 | 12 |
| 4i | 11 | 12 | 13 | 13 | 15 | 17 |
| 4j | 16 | 18 | 17 | 11 | 13 | 12 |
| 4k | 13 | 12 | 14 | 14 | 14 | 16 |
| 4l | 16 | 17 | 20 | 10 | 11 | 11 |
| Ampicillin | 17 | 19 | 21 | 16 | 17 | 19 |
A novel series of benzimidazole derivatives (4a-4l) were successfully synthesized and characterized by IR, NMR spectroscopy. The final compounds were screened for in vitro antibacterial activity against both Gram-positive and Gram-negative strains of bacteria by cup-plate method. Among all the various derivative, compounds 4a, 4b, 4d, 4f, 4g, 4k showed significant activity against E coli and compounds 4c, 4e,4g, 4h, 4j,4lshowed significant activity against S. aureus as compared to standard drug ampicillin.
Authors are thankful to the principal, Dr. V. V. P. F’s College of Pharmacy, Vilad ghat, Ahmednagar for providing research facilities.
All the author have contributed equally.
The authors declare no conflict of interests
BV Kumar. Synthesis and evaluation of n-mannich bases of substituted 2-mercapto-1H-benzimidazoles. Int J Appl Biol Pharm Technol 2013;4:38-46.
B Soni. Synthesis and evaluation of some new benzimidazole derivatives as potential antimicrobial agents. Int J Comprehensive Pharm 2012;3:1-4.
BV Kumar. Synthesis and anti-bacterial activity of some novel 2-(6-fluorochroman-2-yl)-1-alkyl/acyl/aroyl-1H-benzimidazoles. J Med Chem 2006;41:599-604.
NR Thimmegowda. Synthesis and biological evaluation of novel 1-(4-methoxyphenethyl)-1Hbenzimidazole-5-carboxylic acid derivatives and their precursors as antileukemic agents. Bioorg Med Chem 2009;19:4594-600.
CS Sharma. Synthesis and biological evaluation of some novel mannich bases of benimidazole derivatives. Int J Adv Res Pharm Bio Sci 2011;1:9-15.
K Tewari. Synthesis and antiviral activities of N-substituteed-2-substituted-benzimidazole derivatives. Indian J Chem 2006;45:489-93.
IJ Kerimov. Synthesis, antifungal and antioxidant screening of some novel benzimidazole derivatives. Enzyme Inhib Med Chem 2007;22:696-701.
MC Sharma. Synthesis and antihypertensive activity of some new benzimidazole derivatives of 4’-(6-methoxy-2-substituted-benzimidazole-1-ylmethyl)-biphenyl-2-carboxylic acid in the presences of BF3, OEt2. Pelagia Res Library 2010;1:104-15.
MS Yar. In vitro anti-tubercular screening of newly synthesized benzimidazole derivatives. World Academy Sci Engineering Technol 2009;55:593-9.
RL Sawant. Synthesis and biological evaluation of some novel 2-phenyl benzimidazole-1-acetamide derivatives as potential anthelmintic agents. Acta Pharma 2011;61:353-61.
SS Mahajan. Studies in the synthesis of 2-mercapto-5-methoxybenzimidazole. Indian J Chem 2006;45:1756-8.
RS Gaud, GD Gupta. Practical microbiology. 5th edition. Nirali Prakashan; 2006. p. 111-4.