
Acharya and BM Reddy College of Pharmacy, Bangalore, Karnataka, India
Email: dilipmr456@gmail.com
Received: 10 Jul 2020, Revised and Accepted: 08 Sep 2020
ABSTRACT
Objective: The objective of our work is to formulate and evaluate acarbose pellets for sustain drug delivery. The present study was aimed to develop sustain drug delivery system of acarbose pellets by extrusion spheronization technique using different polymers like Hydroxypropyl methyl cellulose, chitosan, ethylcellulose, microcrystalline cellulose. Pelletization of acarbose was done to achieve sustain drug release profile suitable for oral administration.
Methods: The acarbose pellets were prepared by extrusion spheronization technique. The Fourier transform-infrared spectrum (FT-IR) and Differential scanning calorimetry thermogram of pure drug and drug-polymer blend showed the stable character of acarbose in the pellets. The prepared pellets were evaluated for different quality control parameters like particle size analysis, drug content, and Drug release characteristics.
Results: The results obtained from different quality control parameters are within acceptable range and In vitro dissolution studies indicated that drug release from pellets follows zero-order kinetics with sustain release drug release up to 12 h with the use of ethyl cellulose as a sustain release polymer and mechanism of drug release is non-fickian. The formulated pellets were stable with respect to their physicochemical characters and drug content over a period of 60 d at accelerated stability condition.
Conclusion: From present study, it was concluded that formulation of acarbose pellets by this will be a promising technique for the preparation of pellets to sustain drug release for the treatment of diabetes with better patient compliance.
Keywords: Acarbose, Sustain drug delivery, Pellets, Extrusion spheronization technique, In vitro drug release
© 2020 The Authors. Published by Innovare Academic Sciences Pvt Ltd. This is an open access article under the CC BY license (http://creativecommons.org/licenses/by/4.0/)
DOI: http://dx.doi.org/10.22159/ijcpr.2020v12i6.40286. Journal homepage: https://innovareacademics.in/journals/index.php/ijcpr
Diabetes mellitus is a type of metabolic and endocrine disease. It is not only long term chronic plasma hyperglycaemia but also accompanied by a variety of adverse complications [1, 2]. Among these complications, cardiovascular complications are some of the most harmful because of their high mortality and morbidity; type II diabetes is associated with a cardiac syndrome, which is characterized by ventricular contractile dysfunction and fibrosis. Insulin is a hormone produced within the pancreas, which enables frame cells to take in glucose, to show into power. If the body cells do no longer absorb the glucose, the glucose accumulates in the blood, leading to vascular, nerve, and other complications [3, 4]. Modified-release drug delivery systems are designed to control the release of drug from the dosage forms. Development of controlled-release formulations has become a challenge to the pharmaceutical technologists, especially for highly water-soluble drugs with constant rate of release [5]. In order to avert repeated administration of unit dosage forms (immediate-release tablets and capsules), extended-release formulations have been produced to maintain the therapeutic level of drug in the plasma and to avoid toxic concentration [6]. Research on oral controlled release preparations has become a topic of interest in the field of new drugs for the treatment of diabetes because traditional preparations can easily reach excessive blood levels, which causes blood glucose to drop too fast and can lead to hypoglycemia, resulting in dizziness and even coma [7]. Although the drug released from the controlled release formulation is slow, such a formulation is capable of controlling a stable blood concentration and prolonging the duration of action, thereby improving oral bioavailability. Previous studies have shown that pellets have technical and unique clinical advantages. As a drug-loading system, pellets provide therapeutic advantages such as the lower risk of side effects [8, 9].
Pellets can be defined as small, free-flowing, round or semi-spherical strong devices, normally from about 0.5 mm to at least 1.5 mm [10], and supposed typically for oral administration, synthetic by using the agglomerates of fine powders or granules of bulk drugs and excipients using appropriate processing equipment. Pellets are produced either by an extrusion/spheronization technique [11, 12]. Hydroxypropyl methylcellulose (HPMC) and cellulose ether are widely used to control the release of drug. Use of single hydrophilic polymer is not justified in case of highly water-soluble drugs because it diffuses out rapidly through the water-filled pores of matrix [13-15]. Hydrophobic polymer glycerides and ethyl cellulose (EC) are used for such drugs. Release of drug through the matrix can be further modified by forming coating layer on the granules [16]. The chance of dose dumping is a major problem when highly water-soluble drug is formulated as matrix dosage form, so development of sustained-release pellets is one of the unique advantages of reducing such problem [17-19].
Acarbose was obtained from Yarrow Chem Mumbai, India. Microcrystalline cellulose, Hydroxypropyl methylcellulose was obtained from Yarrow Chem, Mumbai, India. Ethylcellulose was obtained from Karnataka fine chemicals, Bangalore, India.
Preparation of pellets
A uniform powder mixture of all the ingredients by the addition of distilled water. The dough was then passed through the extruder (1.5 mm) (Shakti) at 50 rpm for 5-10 min to form cylindrical extrudates, which were subsequently broken into smaller cylindrical rods and rounded in to spherical pellets by means of fast rotating friction plates in spheronizer at 800–900 rpm for 40 min and finally dried at 40 °C for 2 h [20].

Fig. I: Formulation of pellets
Table I: Formulation chart of Acarbose
| Formulations | Drug (g) | HPMC K4M (g) | Chitosan (g) | EC (g) | MCC (g) | Water (ml) |
| F1 | 1.3 g | - | - | 1.3 g | 7.4 g | q. s |
| F2 | - | - | 2.6 g | 6.1 g | q. s | |
| F3 | - | - | 3.9 g | 4.8 g | q. s | |
| F4 | 1.3 g | - | - | 7.4 g | q. s | |
| F5 | 2.6 g | - | - | 6.1 g | q. s | |
| F6 | 3.9 g | - | - | 4.8 g | q. s | |
| F7 | - | 1.3 g | - | 7.4 g | q. s | |
| F8 | - | 2.6 g | - | 6.1 g | q. s | |
| F9 | - | 3.9 g | 4.8 g | q. s |
EC= Ethylcellulose, MCC= Microcrystalline cellulose
Evaluation of pellets
Percentage yield: The yield was determined by weighing the drug-loaded pellets and then finding out the percentage yield with respect to weight of input material i.e., the weight of drug and polymer used. Percentage yield is determined by using the mentioned formula [21].
![]()
Flow properties
Angle of repose
The Flowability of pellets formed was assessed by measuring angle of repose (Granulator tester Erweka GT) and compressibility index [22].
Angle of repose was calculated by
θ = tan-1(h/r)
Compressibility index was calculated by determining bulk density and tapped density (Electro lab tap density tester, USP) of pellets using the equation:
![]()
Friability
Accurately weighed sample (5 g pellets) was placed in the drum of Electrolab friabilator (USP XXIII) and rotated for 100 times. The sample was removed, sieved to remove broken pellets and weighed accurately to determine the percentage weight loss of pellets [23].
![]()
Particle size analysis
In the case of pellets, shape and size distribution are important parameters during tableting, capsule filling operation and also for good coating efficiency. Particle size distribution of pellets was evaluated by sieve analysis. Fixed weight of pellets was sieved through a nest of sieves (750–1400 µm) on a vibratory sieve shaker (Vin syst Model AS 200 digit, Retsch, Germany) and the percentage weight of pellets retained on each of the sieves was determined. The procedure was carried out three times for each batch.
Analysis of drug content
Around 1 g of Acarbose pellets was placed in a mortar and then grinded into fine powder using a pestle. Resulting powder was accurately weighed drug equivalent to 50 mg was dissolved in 100 ml phosphate buffer of pH 6.8. 1 ml of the above solution was further diluted to 100 ml filter through 0.45 µm Millipore filters. The concentration of acarbose in the filtrate was determined by using UV visible spectrophotometer [24].
Physiochemical interaction studies: DSC
The Compatibility of acarbose–excipient compatibility was assessed using differential scanning calorimetry (DSC). DSC scans of the pure drug acarbose and F2 were carried out using DSC (Mettler). The calorimetric measurements were made with an empty cell as the reference. The scans were taken under a nitrogen atmosphere over a temperature range of 150–290 °C.
Physiochemical interaction studies: FTIR
The compatibility of Acarbose, acarbose and excipient was confirmed by FT-IR spectroscopy. Samples were prepared in KBr discs using KBr press. The scanning wavenumber range was 400-4000 cm-1
In vitro drug release studies
To study the in vitro dissolution profile, pellets equivalent to 50 mg of Acarbose were filled in hard gelatin capsules. Dissolution studies were carried out initially at gastric pH (pH 1.2) for 2 h followed by phosphate buffer pH 6.8 for the rest of the study, using USP dissolution apparatus type II (basket type) (Electrolab, Mumbai, India). Freshly prepared buffers were used as dissolution media with 50 rpm paddle rotation at 37±1 °C. 5 ml of samples were withdrawn on definite time intervals and immediately replaced with an equal volume of fresh buffer. Filtered each 5 ml withdrawal sample filtered through Whattman filter paper, and then measure the absorbance at 208 nm using UV Visible spectrophotometer and finally calculate the amount of drug release [25].
In vitro release kinetic studies
Zero-order kinetics
The zero-order rate Eq. describes the release of the drug from the system is independent of its concentration.
Qt = Qo+Ko t
Where ‘Qt’ corresponds to the amount of drug dissolved in time‘t’, ‘Qo’ is an initial amount of drug in the solution which is often zero and ‘Ko’ is zero-order release rate constant [26].
First-order kinetics
The first order Eq. describes the release of the drug from the system is concentration-dependent.
Log C = log Co–kt/2.303.
Where Co is the initial concentration of drug and k is the order constant [27].
Higuchi’s model
Higuchi model was developed on the basis of Fick’s law and it describes the fraction of drug release from a tablet is proportional to the square root of time as given below.
Qt = KH √t
Where ‘KH’ is the Higuchi’s rate constant, and ‘Qt’ is the amount of drug released at time‘t’.
Korsmeyer-peppas model
It describes the drug release from the polymeric system in which release deviates from Fickian diffusion, as expressed in the following equation [28].
Mt/M∞ = Kt n
Dissolution study of marketed formulation
The in vitro dissolution studies were performed using USP type II dissolution apparatus (paddle) at 50 rpm. Dissolution media were USP buffer solutions at pH 6.8 (phosphate buffer solution). The medium was maintained at 37±0.5 °C. 5 ml of dissolution sample was withdrawn at 0, 10, 20, 30, 40, 50 and 60 min and replaced with equal volume to maintain sink condition. Samples were filtered and assayed by UV spectroscopic method at 208 nm. The concentration of each sample was determined from a calibration curve obtained from pure samples of acarbose [29].
Stability studies
Stability of a drug has been defined as the stability of a particular formulation, in a specific container, to remain within its physical, chemical, therapeutic and toxicological specifications throughout its shelf life. The selected formulation was filled in capsule shell and packed in tightly closed container and finally kept in a stability chamber (Thermo lab, scientific equipment ltd.) maintained at 40±2 °C/ 75±5%RH for two months. At the end of each month, the drug content, in vitro dissolution studies were performed [30].
Fourier transforms infrared spectroscopy (FTIR)

Fig. 2: FTIR spectra of a) Acarbose, b) Acarbose and EC, c) Acarbose and chitosan, d) Acarbose and HPMC K4M
DSC studies

Fig. 3: DSC Thermogram of A) Acarbose B) Acarbose+EC C) Acarbose+HPMC K4M D) Acarbose+chitosan
Flow properties of the pellets, percentage yield, friability drug content and particle size analysis
Table 2: Evaluation parameters of F1–F9
| S. No. | Evaluation parameters*±SD | ||||
| Percentage yield (%) | Particle size (µm) | Carr’s index | Angle of repose ( °) | Hausner’s ratio | |
| F1 | 85 | 850-1400 | 16.41±0.5 | 27.14±1.00 | 1.07±0.02 |
| F2 | 89 | 1000-1400 | 22.67±0.11 | 30.05±0.82 | 1.07±0.06 |
| F3 | 86 | 1000-1400 | 15.1±0.13 | 29.08±2.44 | 1.10±0.04 |
| F4 | 79.8 | 710-1000 | 19.8±0.4 | 27.85±1.17 | 1.06±0.05 |
| F5 | 79.2 | 710-850 | 20.19±0.6 | 27.36±0.03 | 1.08±0.01 |
| F6 | 83.6 | 710-1400 | 15.06±0.7 | 28.07±0.73 | 1.08±0.01 |
| F7 | 76 | 850-1400 | 8.06±0.4 | 27.51±0.39 | 1.07±0.05 |
| F8 | 89 | 850-1000 | 9.11±0.7 | 27.82±2.03 | 1.08±0.05 |
| F9 | 83 | 850-1000 | 13.5±0.9 | 29.56±1.74 | 1.10±0.04 |
Table 3: Evaluation parameters of F1–F9
| S. No. | Evaluation parameters*±SD | |
| Friability | Drug content (%) | |
| F1 | 0.34±0.05 | 93.65±0.60 |
| F2 | 0.40±0.04 | 96.00±0.10 |
| F3 | 0.58±0.05 | 94.02±0.06 |
| F4 | 0.40±0.07 | 89.04±0.06 |
| F5 | 0.60±0.05 | 94.85±0.05 |
| F6 | 0.48±0.05 | 84.38±0.10 |
| F7 | 0.34±0.06 | 95.95±0.09 |
| F8 | 0.34±0.01 | 92.72±0.05 |
| F9 | 0.40±0.03 | 82.96±0.08 |
The values are expressed in mean±SD
In vitro drug release studies

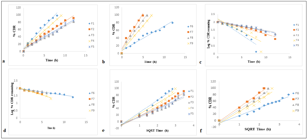
Fig. 4: a) Cumulative drug release data of F1-F5b) Cumulative drug release data of F1-F5
Kinetic parameters for drug release

Fig. 5: a) Zero-order release kinetics of F1-F5 b) Zero-order release kinetics of F6-F9, c) First order release kinetics of F1-F5 d) First order release kinetics of F6-F9, e) Higuchi plot of F1-F5 f) Higuchi plot of F5-F9

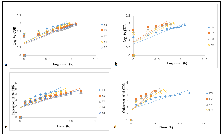
Fig. 6: a) Korsmeyer peppas plot of F1-F5 b) Korsmeyer peppas plot of F6-F9, c) Hixson crowell plot of F1-F5 d) Hixson crowell plot of F6-F9
Dissolution study of marketed formulation

Fig. 7: Dissolution profile of the marketed formulation
Stability studies

Fig. 8: In vitro drug release profile of F2 after stability studies
Fourier transforms infrared spectroscopy (FTIR)
The compatibility between the drug and polymer was performed by FTIR spectrum. The position of peak in FTIR Spectra of pure acarbose is compared with polymer and excipients. FTIR spectra of acarbose, physical mixture of acarbose and EC, acarbose and HPMC K4M, acarbose and chitosan combination are shown in (fig. 2), respectively. IR spectrum of acarbose shows the prominent peaks of (C-N Stretch) 1336 cm-1, (N-H Stretch) 3384 cm-1, (C-O Stretch) 1269 cm-1, (O-H Stretch) 3299 cm-1, (C-H Stretch) 2889 cm-1, (N-H Bend) 1558 cm-1. It was found that the characteristics peaks of the drug were preserved in all scan done in a combination of polymers. Hence it was concluded that the drug can be used with the selected polymer without causing instability in the formulation.
DSC studies
DSC thermogram of acarbose alone showed endothermic peak at 166 °C, corresponding to the melting point of acarbose. An endothermic peak corresponding to the melting point of acarbose was present in the physical mixture of acarbose with ethyl cellulose. There was no change in the peak of acarbose, which suggested clearly that there was no interaction between drug and polymers and drug was existed in its unchanged form. The results were shown in (fig. 3).
Flow properties of the pellets
The values of the angle of repose were between 27.14±1.00 to 30.05±2.44, which are within the normal acceptable range. Formulation F1 had lowest angle of repose and larger particle size as compared to the formulation F2 having highest angle of repose and smaller particle size. It showed that decrease in the particle size leads to a higher angle of repose.
The Carr’s index of formulated pellets was found to be in the range of 8.06±0.4-22.67±0.11 formulation F7 have low Carr’s index of 8.06±0.4 had larger particle size whereas F2 having bulk density of 22.67±0.11. The Hausner’s ratio of formulated pellets were found to be in the range of 1.06-1.10, indicating the good flow characteristics of the pellets. The improved micropolitics properties of the prepared pellets suggest that they can be easily handled and filled into capsules for effective delivery (table 2).
Percentage yield, friability and drug content
The physical evaluation of acarbose pellets showed practical food yield (76-90 %); the low yield of pellets from extrusion spheronization technique might be due to mixture of drug and polymer might stick to the wall of the extruder. result were tabulated in (table 2). The friability was found to be within the limit (<1.000) for all the batches of acarbose pellets (table 3) suggesting that the formulation having required strength and resistibility. The uniformity of drug content is a pharmaceutical analysis parameter for the quality control of capsules or tablets. The drug content of all the formulations was determined. The highest drug content was in F2 (96.00±0.10 %) whereas lowest in F9 (82.96±0.08 %) and result were tabulated in (table 3).
Particle size analysis
Particle size analysis of different formulations was done by using sieve shaker. The particle size was found to be in the range of 710-1400 µm. So the average particle size for all the formulations were within the range (table 2).
In vitro drug release studies
In vitro release testing is an important analytical tool that is used to investigate and establish product behavior during the various stages of drug product development. In vitro drug release studies was carried out for 12 h for formulation (F1-F9). Concentration of release retarding polymer was increased in definite amount for the preparation of different batches of acarbose pellets, which showed that an increase in concentration of EC retards the release of drug from the pellets with time and hence, increase in % cumulative drug release up to 12 h. The amount of cumulative drug release at the end of 12 h was found to be highest in F2 (91.5121±0.10) formulation in pH 6.8. The % CDR vs time of drug is graphically represented in (fig. 4)
Kinetic parameters for drug release
The kinetic studies for drug release of all formulations F1-F9 were done. For this purpose, the regression coefficient of respective formulation was determined by plotting variables as per model (Zero order, First order, Higuchi model, Hixson crowell and Korsmeyer peppas model). It was concluded that the best fitting kinetic model for F2 formulation which is showing maximum regression coefficient of 0.9888 was found in zero-order and ‘n’ values was found to be less than 0.5 showed non-fickian release pattern. The results are shown in (fig. 5 and 6).
Dissolution study of marketed formulation
Dissolution study of the marketed formulation was performed in order to compare with formulated pellets to know the drug release behaviour of acarbose pellets. Marketed formulation shows 95 % of drug release within 60 min. The results are shown in (fig. 7).
Stability studies
A stability study is important method to develop a new product and establish the shelf-life of a product. Stability testing studies shows that a pharmaceutical product can be stored at normal and accelerated conditions without any degradation. Stability studies were carried out for the most satisfactory formulation F2 at 40±2 °C/75±5%RH for two months after the first month and second-month samples were evaluated for drug content and in vitro drug release. On the basis of stability data it concluded that there were no significant changes in result obtained during stability studies, thus indicating that formulation is stable under specified temperature and humidity condition. The results are shown in (fig. 8).
The objective of the present study was to formulate and evaluation of pelletized drug delivery of an antidiabetic drug (Acarbose) which is an alpha-glucosidase inhibitor to implement a design of experimental principles in developing a formulation having better stability, high production, feasibility and better patient acceptability.
Drug characterization studies such as melting point, FTIR, DSC, UV analysis were carried out. Acarbose pellets were prepared by extrusion spheronization technique; formulated pellets were subjected for various evaluation such as flow property, percentage yield drug content and in vitro drug release studies. Pellets of F2 shows the drug release of 91.512±0.98. Thus the F2 formulation was selected as the most satisfactory and was fitted into various in vitro drug release kinetic models. The best fit model was zero order in case of all the formulations rather than first order. The drug release kinetics follows Korsmeyer peppas model and mechanism of release was found to be non fickian. In immediate release dosage forms dose dumping is major problem in order to overcome this problem sustain release pellets were formulated.
Acarbose pellets shows more significant sustain release than immediate release tablets. Stability studies was carried out for F2 showed that there was no significant changes in drug content, in vitro drug release after two months of the prepared formulation indicating the prepared acarbose pellets is stable. From present study it was concluded that formulation of acarbose pellets by this will be a promising technique for the preparation of pellets to sustain drug release for the treatment of diabetes with better patient compliance.
The author would like to thank the co-author J Joysa ruby for supporting and Acharya and BM Reddy College of Pharmacy for providing the facility for completing this research work.
Nil
All the authors have contributed equally.
The author declares no conflict of interest.
Khobare SR, Gajare V, Reddy EV. One-pot oxidative dehydration-oxidation of polyhydroxyhexanal oxime to polyhydroxy oxohexanenitrile: a versatile methodology for the facile access of aza sugar alkaloids. Carbohydr Res 2016;435:1–6.
D'Orazio AM, Martorana G, Filippi N. Spiro fused bicyclic derivatives of deoxynojirimycin: synthesis and preliminary biological evaluation. Chem Select 2016;35:2444–7.
Canadian Diabetes Association Clinical Practice Guidelines Expert Committee. Canadian Diabetes Association 2008 clinical practice guidelines for the prevention and management of diabetes in Canada. Can J Diabetes 2008;32:1-21.
Hillary K, Ronald EA, William HH. Global burden of diabetes prevalence numerical estimates and projections. Diabetic Care 1998;21:141-3.
Siddique S, Khanam J, Bigoniya P. Development of sustained release capsules containing ‘‘coated matrix granules of metoprolol tartrate. Pharm Sci Tech 2010;11:1306–14.
Nasiri MI. Formulation development and characterization of highly water soluble drug-loaded extended-release pellets prepared by extrusion–spheronization technique. J Coat Tech Res 2019;16:1351–65.
Wen C, Lin X, Dong M. An evaluation of 1-deoxynojirimycin oral administration in silkworm through fat body metabolomics based on 1H nuclear magnetic resonance. Bio Med Res Int 2016;45:1–7.
Ya'kobovitz MK, Butters TD, Cohen E. Inhibition of α-glucosidase activity by N deoxynojirimycin analogs in several insect phloem sap feeders. Insect Sci 2016;23:59–67.
Segale P, Mannina L, Giovannelli. Formulation and coating of alginate and alginate-hydroxypropylcellulose pellets containing ranolazine. J Pharm Sci 2016;105:3351–8.
Jawahar N, Anilbhai HP. Multi-unit particulate system: a novel pellets for oral dosage form. J Pharm Sci Res 2012;4:1915-23.
Sibanc R, Kitak T, Govedarica B, Srcic S, Dreu R. Physical properties of pharmaceutical pellets. Chem Eng Sci 2013;86:50–60.
Mannina PL, Segale L, Giovannelli. Self-emulsifying excipient platform for improving technological properties of alginate-hydroxypropyl cellulose pellets. Int J Pharm 2016;499:74–80.
Barakat NS, Elbagory IM, Almurshedi AS. Controlled release carbamazepine matrix granules and tablets comprising lipophilic and hydrophilic components. J Drug Delivery 2009; 16:57–65.
Kiortsis S, Kachrimanis K, Broussali T, Malamataris S. Drug release from tableted wet granulations comprising cellulosic (HPMC or HPC) and hydrophobic component. Eur J Pharm Biopharm 2005;59:73–83.
Kuksal A, Tiwary AK, Jain NK, Jain S. Formulation and in vitro, in vivo evaluation of extended-release matrix tablet of zidovudine: influence of the combination of hydrophilic and hydrophobic matrix formers. Pharm Sci Tech 2009;7:1–9.
Borgquist P, Zackrisson G, Nilsson B, Axelsson A. Simulation and parametric study of a film-coated controlled-release pharmaceutical. J Controlled Release 2002;80:229–45.
Dashevsky A, Kolter K, Bodmeier R. pH-independent release of a basic drug from pellets coated with the extended-release polymer dispersion kollicoat SR 30 D and the enteric polymer dispersion kollicoat MAE 30 DP. Eur J Pharm Biopharm 2004;58:45–9.
Narendra C, Srinath M, Babu G. Optimization of bilayer floating tablet containing metoprolol tartrate as a model drug for gastric retention. Pharm Sci Tech 2006;7:23–9.
Siddique S, Khanam J, Bigoniya P. Development of sustained release capsules containing coated matrix granules of metoprolol tartrate. Pharm Sci Tech 2010;11:1306–14.
Sonawane RO, Patil SD. Fabrication and statistical optimization of starch-κ-carrageenan cross-linked hydrogel composite for extended release pellets of zaltoprofen. Int J Bio Macromol 2018;18:5-45.
Sonawane RO, Patil SD. Gelatin–κ-carrageenan polyelectrolyte complex hydrogel compositions for the design and development of extended-release pellets. Int J Mater Poly Bio 2016;66:812–23.
Arora S, Sharma R, Khatkar A, Singh N, Gagoria J. Development characterization and solubility Study of solid dispersion of cefpodoxime proxetil by solvent evaporation method. Int J Chem Tech Res 2010;2:1275-80.
Gawale D, Sonawane RO, Pandey VV. Formulation and in vitro characterization of multiple unit sustained release matrix pellets of lornoxicam using natural gums. Ind J Novel Drug Del 2013;5:208-20.
Shah HA, Patel RP. Statistical modeling of zaltoprofen loaded biopolymeric nanoparticles: characterization and anti-inflammatory activity of nanoparticles loaded gel. Int J Pharm Invest 2015;5:20-7.
Chhipa P, Pethe AM, Upadhyay S, Tekade A. Formulation optimization of sustained-release pellets of itopride hydrochloride using different polymers. J Pharm Res 2009;2: 1404–8.
Pahwa R, Chhabra L, Lamba AK, Jindal S, Rathour A. Formulation invitro evaluation of effervescent floating tablets of an antiulcer agent. J Chem Pharm Res 2012;4:1066-73.
Khan GM. Controlled release oral dosage forms: some recent advances in matrix type drug delivery systems. J Med Sci 2001;1:350-4.
Morkhade DM. Gum copal and gum dammar: novel matrix-forming material for sustained drug delivery. Ind J Pharm Sci 2006;68:53-8.
Shiva Kumar HG, Yadav KS, Satish CS. Preparation and evaluation of chitosan–polyacrylic acid hydrogel as stomach specific delivery for amoxicillin and metronidazole. Ind J Pharm Sci 2007;69:91-5.
Singh BN. Modified release solid formulations for colonic delivery. Recent Drug Delivery 2007;1:53–63.