
1Department of Pharmaceutical Chemistry, St. Joseph’s College of Pharmacy, 2Dharmagiri College Campus, Cherthala, Kerala 688524, India
Email: vinodbalan76@gmail.com
Received: 12 Jul 2020, Revised and Accepted: 13 Sep 2020
ABSTRACT
Covid 19, the pandemic originated in the Chinese city of Wuhan, had the entire world conquered. The structure and transmission of the causative organism, Coronavirus is well studied. Remdesivir, the product of Gilead pharmaceuticals, was effective against many viral infections, including Ebola and SARS. It comes under the category of nucleoside prodrug and has given promising results in the early trials against SARS COV 19. In depth, research is taking place at a rapid pace, so that Remdesivir will be available to the therapeutic community as an effective remedy for the pandemic caused by SARS COV2. If this meets success, the darkest era in the modern history of mankind may become a memory in the near future.
Keywords: Covid, Remdesivir, Nucleoside, Protide, Virion, Viral replication
© 2020 The Authors. Published by Innovare Academic Sciences Pvt Ltd. This is an open access article under the CC BY license (http://creativecommons.org/licenses/by/4.0/)
DOI: http://dx.doi.org/10.22159/ijcpr.2020v12i6.40298. Journal homepage: https://innovareacademics.in/journals/index.php/ijcpr
Speedy peer review was done as the subject of the manuscript was related with pandemic.
The entire world is reeling under the outbreak of the corona virus. News from across the globe clearly testimonies the conquest of this tiny organism over the entire world. The pandemic which originated in late 2019, in the Chinese city of Wuhan, had it’s source identified as a novel corona virus and was named as Severe Acute Respiratory Syndrome (SARS COV 2) [1, 2] In March 2020, the World Health Organisation (WHO) named this infection as Covid 19 [3]. Corona virus belongs to the family Corona Viridae which are viral organisms with an envelope. They have single-stranded RNA and generally infects humans and animals [4]. Their infections ranges from common cold to life-threatening infections like MERS (Middle East Respiratory Syndrome) SARS (Severe Acute Respiratory Syndrome) and the recent outbreak Covid 19 [5].
Discovered in the 1960s, the coronavirus was originally thought to be only responsible for mild disease, with strains such as HCoV 229E and HCoV OC43 responsible for the common cold Coronaviruses primarily cause infections of the respiratory tract and GIT in humans [6]. They are known to cause similar infections in animals too. The perception that coronaviruses cause only mild infections changed in 2003 with the outbreak of SARS in 2003 and again with the outbreak of MERS in 2012 [7]. Both were declared as pandemics, by the WHO [8]. These two types of coronaviruses are thought to be emerged from native bat populations, which maintain a broad diversity of coronaviruses, and were transmitted through an intermediate host to humans. The SARS COV 19 also had it’s first transmission from bat population and was declared to be a pandemic by WHO in March 2020 after it’s origin in Wuhan and reported spread to more than 190 countries [9]. Presently the country with maximum infected population is the United States of America followed by Brazil, and India [10].
The patients infected with covid 19 develops symptoms ranging from mild fever to severe respiratory failure. The disease was presented as asymptomatic in around 35 % of patients. The common symptoms include fever, cough and myalgia. Symptoms like lack of taste, GI disturbances, headache and sputum production were observed in comparatively less frequency. The progression of the disease to acute respiratory distress syndrome typically occurs in elderly patients who often had a previous history of myocardial ailments or chronic diseases like diabetes. A small portion of affected individuals was observed with symptoms related to the nervous system and coagulopathies [11-15].

Fig. 1: Number of infected patient’s country wise
Virion strucutre of coronavirus
The virion structure of SARS COV 19 is spherical, having a diameter of approximately 125 nm [16]. The club-shaped projections emanate from the virion surface provides the virus the appearance of a solar corona, which prompted the name coronavirus. The nucleocapsid is present inside the viral envelope. Five different proteins play an important role in their mechanism of action. The proteins are Spike protein S, membrane protein M, envelope protein E, nucleocapsid protein N and certain accessory proteins [17]. The S protein helps in binding the virus to the host cell receptor, and also mediates the viral and host cell membranes. The M protein is responsible for maintaining viral integrity [18]. The E protein was known to play a vital role in corona virus assembly. The N protein is responsible for maintaining the nucleo capsid into a helical assembly. The accessory proteins are responsible for viral replication and is also thought to be important for viral-host interactions [19, 20].

Fig. 2: Virion strucutre of corona virus [21]
Entry of sars cov 19 into host cell
After the virus entry in to the host cell, the translocation of virus in to the host cell endosome takes place. The proteases present in the endosme cleave the S protein is mediating fusion of the membrane. The release of viral genome takes place and the viral protein expression follows. The replication of the viral genome occurs and this is mediated by the viral replication complex. The viral replication complex includes an RNA-dependent RNA polymerase, (RdRp), helicase, exonuclease N and accessory proteins [22, 23].
Remdesivir discovery and introduction as antiviral agent
Remdesivir, the antiviral drug that is thought to be the weapon against SARS COV was patented by Gilead following a collaborative research between Gilead pharmaceuticals, US military and the Centre for Disease Control and Prevention (CDC). The compound GS-5734 was one among the successful candidates, in the screening of more than 1000 compounds against RNA viruses like dengue virus, yellow fever virus, influenza virus, para influenza A and SARS. It produced excellent results when screened for in vitro antiviral activity against EBOV during the outbreak of ebola virus infection and has demonstrated its ability aginst a host of corona viruses including SARS, MERS various zoonotic viruses,as well as the circulating human corona viruses HCoV-OC43 and HCoV-229E, causative agents of common cold [24-26].
Remdesivir: chemistry
The molecular formula of remdesivir is C27H35N6O8P and its IUPAC name is 2-ethylbutyl (2S)-2-[[[(2R,3S,4R,5R)-5-(4-aminopyrrolo[2,1-f][1,2,4]triazin-7-yl)-5-cyano-3,4-dihydroxy-oxolan-2-yl]methoxy-phenoxyphosphoryl]amino] propanoate [27]. Remdesivir is an analog of the nucleoside adenosine and designed as a prodrug [28]. Drug latentiation is necessitated by the poor cell permeability of the nucleosides. Generally, antiviral drugs that are nucleoside analogs are modified into their monophosphate, ester or phophoramidate forms. These modifications increase the cellular permeability and once it crosses the cell membrane to be inside the cell, it is biotransformed to the nucleoside or nucleoside monophosphate form [29].
The unique structural feature in remdesivir is the cyano group at the 1’ position of ribose, and is expected to prevent the molecule from binding to the host mitochondrial RNA. The comparative stability of the cyano group during cellular activation can be attributed to the strong nucleophilic C-C bond. The phosphoramido group provides enhanced lipophilicity to the molecule. The phenoxy group attached to phosphorus aids in improved lipophilicity and consequent cell permeability [30, 31].

Fig. 3: Chemical structure of remdesivir
Mechanism ofaction of remdesivir
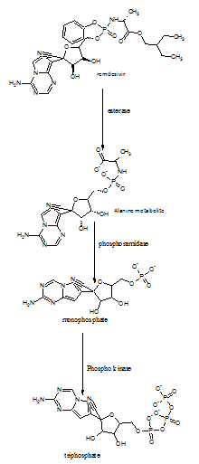
The mode of action of remdesivir is delayed chain termination of viral RNA synthesis [32]. This termination is not spontaneous, but occurs after the addition of 3-5 nucleotide bases to the viral RNA chain. The active metabolite of remdesivir, the triphosphorylated form is structurally similar to adenosine tri phosphate (ATP). This tri phosphorylated form inhibits the activity of viral RNA dependent RNA polymerase (RdRp) in the infected cells. Remdesivir triphophate with the 3’ hydroxyl group can form the phospho diester bond for chain elongation, but the chain elongation is terminated after the addition of 3-5 nucleotide bases to the viral RNA [33]. The under lying molecular mechanism for the chain termination is the steric influence of 1’ cyano group present in remdesivir. The cyano group makes steric interaction with the serine residue S861 [34]. An additional mechanism of action is the inhibition of viral exonucleases responsible for the proofreading of nucleoside anti metabolites by the newly synthesized RNA [35, 36]. This sequence of metabolic conversations is represented in fig.

Fig. 4: Metabolic conversion of remdesivir to remdesivir triphosphate
Remdesivir is designed to be the prodrug of nucleotide monophosphate. Such prodrugs are termed protides [37]. The nucleotide monophosphate is linked to a phosphoramidite ester with a phenyl group. This modification renders the monophosphates highly lipophilic. Remdesivir penetrates into the intra cellular compartment and by the action of the enzyme esterase, undergo molecular cleavage to form the carboxylate [38]. The carboxylate undergoes cyclization, then it loses the phenyl group and gets transformed into an alanine metabolite. The enzyme phosphoramidase cleaves the phosphorus-nitrogen bond to leave the carboxyl amino group so as to regenerate the monophosphate. It then undergoes diphosphorylation to become the triphosphate. The triphosphate form binds to RdRp to terminate chain elongation [39].
Pharmacokinetics of remdesivir
Remdesivir is widely distributed across the tissues like bladder, liver, kidney, prostrate gland, salivary gland and pancreas. It is distributed aas well in the seminal vesicles, epidymis and testes. The unbound fraction is about 12.1%. Remdesivir poorly crosses the blood-brain barrier. The major route of elimination is renal (63%), whereas biliary excretion accounts for 27% [40-43].
The pandemic covid 19 has created irrecoverable damage to global health and economy. Governments, scientists, drug research groups and pharmaceutical organizations across the globe are taking great efforts for the discovery of an effective agent to eradicate covid 19. Simultaneously the efforts to redirect the existing the therapeutic agents for the treatment of covid 19 is also under progress. Remdesivir, the nucleoside analogue has been introduced in to clinical practice successfully for the treatment of viral infections. The in vitro and in vivo screening of remdesivir has yielded promising results. The results of the ongoing clinical trials are expected to be published shortly and if the data pertaining to the clinical trials are promising, it can be concluded that the darkest era in the modern history of the human race may come to an end.
The author acknowledges the support of the management, St. Joseph’s College of Pharmacy, Cherthala, Kerala, India for the support.
Nil
All the authors have contributed equally.
Declared none
Zhu H, Wei L, Niu P, The novel coronavirus outbreak in Wuhan, China. Glob Health Res Policy 2020;5:6.
Lai CC, Shih TP, Ko WC, Tang HJ, Hsueh PR. Severe acute respiratory syndrome coronavirus 2 (SARS-CoV-2) and coronavirus disease-2019 (COVID-19): the epidemic and the challenges. Int J Antimicrobial Agents 2020;55:105924.
WHO. Coronavirus disease (COVID-19) Situtation report; 2019.
Perlman S, Netland J. Coronaviruses post-SARS: update on replication and pathogenesis. Natural Revelutions Microbiol 2009;7:439-50.
Pal M, Berhanu G, Desalegn C, Kandi V. Severe acute respiratory syndrome coronavirus-2 (SARS-CoV-2). Int J Antimicrob Agents 2020;55:105924.
Gao QY, Chen YX, Fang JY. Novel coronavirus infection and gastrointestinal tract. J Digestive Diseases 2019;21:125-6.
Yang Y, Peng F, Wang R. The deadly coronaviruses: the 2003 SARS pandemic and the 2020 novel coronavirus epidemic in China. J Autoimmunity 2020;109:102434.
Yi Y, Lagniton PNP, Ye S, Li E, Xu RH. COVID-19 what has been learned and to be learned about the novel coronavirus disease. Int J Biol Sci 2020;16:1753-66.
World Health Organization. Available from: https://apps.who.int/iris/handle/10665/330987 [Last accessed on 30 Mar 2020]
World Health Organization. Covid 19, coronavirus epidemic has a natural origin. Science. Available from: https:// apps.who.int/iris/handle/10665/330987 [Last accessed on 30 Mar 2020].
Guan W, Ni Z, Hu Y. Clinical characteristics of coronavirus disease 2019 in China. New England J Med 2020;382:1708-20.
Lima KM, Oliveira CM. Information about the new coronavirus disease (COVID-19). Radiologia Brasileira 2020;53:V-VI.
Guzik TJ, Mohiddin SA, Dimarco A, Patel V, Savvatis K, Marelli Berg FM. et al. COVID-19 and the cardiovascular system: implications for risk assessment, diagnosis, and treatment options. Cardiovascular Res 2020;116:1666–87.
Aihua J, Benyong Y, Wei H, Dandan F, Bin Xiu, Lianchun L, et al. Clinical characteristics of patients diagnosed with COVID-19 in Beijing. Biosafety Health 2020;2:104-11.
Hofmann H, Pohlman S. Cellular entry of SARS coronavirus. Trends Microbiol 2004;12:466-72.
Fehr AR, Perlman S. Coronaviruses: an overview of their replication and pathogenesis. Methods Mol Biol 2015;1282:1-23.
Malik YA. Properties of coronavirus and SARS COV-2. Malaysian J Pathol 2020;42:3–11.
Ortega JT, Serrano ML, Pujol FH, Rangel HR. Role of changes in SARS-CoV-2 spike protein in the interaction with the human ACE2 receptor: an in silico analysis. Excli J 2020;19:410-7.
Narayanan K, Maeda A, Maeda J, Makino S. Characterization of the coronavirus M protein and nucleocapsid interaction in infected cells. J Virol 2000;74:8127-34.
Schoeman D, Fielding BC. Coronavirus envelope protein: current knowledge. Virol J 2019;16:69.
Poltronieri P, Sun B, Mallardo M. RNA Viruses: RNA roles in pathogenesis, coreplication and viral load. Curr Genomics 2015;16:327-35.
Li L., Li H, Pauza C. Roles of HIV-1 auxiliary proteins in viral pathogenesis and host-pathogen interactions. Cellular Res 2005;15:923–34.
Venkataraman S, Prasad BV, Selvarajan R. RNA dependent RNA polymerases: Insights from structure, function and evolution. Viruses 2018;10:76.
Smertina E, Urakova N, Strive T, Frese M. Calcivirus RNA dependent RNA polymerases: evolution strucutre, protein dynamics and function. Frontiers Microbiol 2019;10,1280.
Eastman RT, Roth JS, Brimacombe KR. Remdesivir: a review of its discovery and development leading to emergency use authorization for the treatment of covid-19. ACS Central Sci 2020;6:672-83.
Liu C, Zhou Q, Li Y, Garner LV, Watkins SP, Carter LJ, et al. Research and development on therapeutic agents and vaccines for COVID-19 and related human coronavirus diseases. ACS Central Sci 2020;6:315-31.
Popov D. Treatment of covid-19 infection. A rationale for current and future pharmacological approach. EC Pulmonol Respiratory Med 2020;9:38-58.
National Center for Biotechnology Information. PubChem Database. Available from: https://pubchem.ncbi.nlm.nih.gov/ compound/Remdesivir [Last accessed on 27 Jul 2020]
Naser F, Al-Tannak, Ladislav N, Alhunayan A. Remdesivir-bringing hope for covid-19 treatment. Sci Pharm 2020;88:29.
Pruijssers AJ, Denison MR. Nucleoside analogues for the treatment of coronavirus infections. Curr Opinion Virol 2019;35:57-62.
Kadioglu O, Saeed M, Johannes Greten H, Efferth T. Identification of novel compounds against three targets of SARS CoV-2 coronavirus by combined virtual screening and supervised machine learning. [Preprint]. Bull World Health Organisation 2020. http://dx.doi.org/10.2471/BLT.20.255943
Wanchao Y, Chunyou M, Xiagong L, Dan Dan S, Quingya S, Haixia S. Structural basis for inhibition of the RNA-dependent RNA polymerase from SARS-CoV-2. Remdesivir Science 2020;368:1499-504.
Saha A, Sharma AR, Bhattacharya M, Sharma G, Lee SS, Chakraborty C. Probable molecular mechanism of remdesivir for the treatment of covid-19: need to know more archives. Med Res 2020;S0188-440930699-8. DOI:10.1016/j. arcmed.2020.05.001.
Rahman MM, Saha T, Islam KJ, Suman RH, Biswas S, Rahat EU, et al. Virtual screening, molecular dynamics and structure–activity relationship studies to identify potent approved drugs for covid-19 treatment. J Biomolecular Structure Dynamics 2020. DOI:10.1080/07391102.2020.1794974.
Gordon CJ, Tchesnokov EP, Woolner E, Perry JK, Feng JY, Porter DP, et al. Remdesivir is a direct-acting antiviral that inhibits RNA-dependent RNA polymerase from severe acute respiratory syndrome coronavirus 2 with high potency. J Biol Chem 2020;295:6785-97.
Shannon A, Le NT, Selisko B. Remdesivir and SARS-CoV-2: structural requirements at both nsp12 RdRp and nsp14 exonuclease active-sites. Antiviral Res 2020;178:104793.
Pokhrel R, Chapagain R, Liberles JS, Potential RNA-dependent RNA polymerase inhibitors as prospective therapeutics against SARS-CoV-2. J Med Microbiol 2020;69:864-73.
Dustin S, Hui HC, Doerffler E, Clarke MO, Chun K, Zhang L, et al. Discovery and synthesis of a phosphoramidite prodrug of a pyrrolo[2,1-f][triazin-4-amino] adenine c-nucleoside (GS-5734) for the treatment of ebola and emerging viruses. J Med Chem 2017;60:1648–61.
Bugert JJ, Hucke F, Zanetta P. Antivirals in medical biodefense. Virus Genes 2020;56:150–67.
JC Alvarez, Moine P, Eting I, Annane D, Larabi IA. Quantification of plasma remdesivir and its metabolite GS-441524 using liquid chromatography coupled to tandem mass spectrometry. Application to a covid-19 treated patient. Clin Chem Laboratary Med 2020;58:1461-68.
Wang Y, Zhou F, Zhang D. Evaluation of the efficacy and safety of intravenous remdesivir in adult patients with severe covid-19: study protocol for a phase 3 randomized, double-blind, placebo-controlled, multicentre trial. Trials 2020;21:422.
Amirian ES, Levy S. Current knowledge about the antivirals remdesivir (GS-5734) and GS-441524 as therapeutic options for coronaviruses. One Health 2020;9. https://doi.org/ 10.1016/j.onehlt.2020.100128.
Meagan L Adamsick, Ronak G Gandhi, Monique R Bidell, Ramy H Elshaboury, Roby P Bhattacharyya, Arthur Y Kim, et al. Remdesivir in patients with acute or chronic kidney disease and COVID-19. J Asian Soc Neurol 2020;31:1384-6.
Zeitlinger M, Koch B, Bruggemann R, De Cock P, Felton T, Hites M, et al. PK/PD of Anti-infectives study group (EPASG) of the European society of clinical microbiology, infectious diseases (ESCMID) Pharmacokinetics/Pharmacodynamics of antiviral agents used to treat SARS-CoV-2 and their potential interaction with drugs and other supportive measures: a comprehensive review by the PK/PD of anti-infectives study group of the european society of antimicrobial agents. Clinical Pharmacokinetics; 2020. p. 1–22.