
Department of Quality Assurance, Raghavendra Institute of Pharmaceutical Education and Research (RIPER)-Autonomous, Ananthapuramu 515721, Andhra Pradesh, India
Email: tausif2999gty@gmail.com
Received: 03 May 2021, Revised and Accepted: 27 Jun 2021
ABSTRACT
Over the previous decade, considerable advancement has been made in research on the regular items having hostility to HIV movement. An assortment of optional metabolites got from natural origin demonstrated mild to strong anti-HIV properties. Nature has consistently given a wellspring of medications to different sicknesses. Various therapeutic plants have been accounted for to have against HIV. The investigation of regular items in biomedical exploration is not an advanced idea. vast numbers of the best medicinal therapeutic drugs are extracted from natural products and concentrated in HIV/AIDS. The Biomedical review has a long history of disclosure depending on the screen of medicinal spices and conventional medicines. It is essential to remember the clinical study convention to conclude Therapies based on these herbal products combat the negative view of alternative medicine as therapeutic remedies. This review addressed different herbal products that are having anti-HIV properties.
Keywords: HIV, Natural products
© 2021 The Authors. Published by Innovare Academic Sciences Pvt Ltd. This is an open access article under the CC BY license (https://creativecommons.org/licenses/by/4.0/)
DOI: https://dx.doi.org/10.22159/ijcpr.2021v13i4.42740 Journal homepage: https://innovareacademics.in/journals/index.php/ijcpr
The human immunodeficiency infection (HIV) is assembled to the class Lentivirus inside the group of Retroviridae, subfamily Orthoretrovirinae [1]. HIV is categorized into types 1 and 2 based on genetic characteristics and contrasts in the viral antigens (HIV-1, HIV-2). The immunodeficiency infections of non-human primates are additionally gathered to the class Lentivirus. Epidemiological and phylogenetic studies currently available indicate that HIV was spread to the human population between 1920 and 1940. HIV-1 developed from infections of non-human primate immunodeficiency caused by Central African chimpanzees and HIV-2 from filthy West African mangabeys [2, 3]. Infections can be an etiological operator in infective sickness in individual and different creatures, are actually an assorted gathering of infective specialists which varies extensively fit as a fiddle, size, compound structure, impacts on hosts and host range. Helps is an infection for the human safe framework spread out through HIV [4]. HIV is essentially communicated through hypodermic needles, unprotected sex, debased blood bondings, from mother to kid during pregnancy. HIV doesn't communicate through salivation and tears. Helps can't be restored, anyway, antiretroviral treatment could slow the course of illness, and cause too close to the ordinary future. Antiretroviral treatment diminishes the likely danger of passings, which medications can be pricey and produce serious results. Without antiretroviral treatment, a normal endurance time span after the disease is determined around 9 to 11 y, concerning the sort of HIV [5]. HIV is ordered into two kinds like HIV 1, and HIV 2. Each started from nonhuman primates in West-focal Africa during the twentieth century. HIV 1 is starting from Chimpanzees and HIV 2 is beginning from Old World Monkey [6]. Helps was at first distinguished by the U. S Centres for Disease Control and Prevention (CDC) in 1981, and it is causing the HIV contamination had been recognized during the early piece of the decade. At the hour of 2012, AIDS has prompts an expected 36 million passings around the globe, and around 35.3 million people live with HIV everywhere on the world [7]. Assortments of synthetic substances were surveyed for inhibitory impacts upon HIV replication in vitro. HIV has two primary focuses in vivo like tissue macrophages and CD4 lymphocytes. The medicines focused at the control of HIV replication in both cell types. The replicative pattern of HIV comprises of ten stages that may be viewed as alluring focuses for the medicines of HIV. Various exploration research centres are associated with the improvement of antiviral operators which influence with HIV in various phases of viral replication. In view of the stage from which they interact with the HIV replication cycle, a significant number of the counter HIV substances are allocated to one of these ten groups of HIV inhibitors, analogous to mix, adsorption, uncoating, DNA replication, incorporation, turn around record, interpretation, record, development, and get together or discharge [8]. The following text categorizes new natural products with anti-HIV action according to their chemical structures: terpenes, phenolics, alkaloids, peptides and carbohydrates, together with IC50 values [9].
Retrovirus replication: The mechanism of retrovirus replication [10] (fig. 1).
Treatment for HIV
Natural products: Nature has an extensive range of medicine to fight against many diseases which are to be safe. The natural products used for the treatment of HIV are given in below.
During the 1970s, one advantage of finding out how retroviruses replicate the detection of potential focus for antiviral therapies was not frequently addressed, when a large portion of the study was completed, the identified retroviral viruses were confined to a few animal forms of creatures. The disclosure of the lethal human retrovirus HIV, however, changed all of that in the mid-1980s. Everyone who studied the rise in creature retroviruses quickly realized that retroviral replication cycle experiments may distinguish drug targets that could be beneficial in treating HIV-contaminated individuals and experiencing AIDS. Maximum anti-HIV drugs now in extensive use hinder reverse transcriptase and some obstruct the viral protease from another retroviral enzyme (To produce the final components of virus particles, this breaks viral proteins) [53]. As of late, In the treatment of HIV infection, a blockage of viral integrase was also reported, one more vindication of endeavours to seek after the occasionally elusive procedures for infection replication [54]. As so numerous major advancements in research, the revelation of opposite transcriptase in 1970 stamped not merely the intersection of an end target. Likewise, the beginning stage for inspecting different parts of the augmentation pattern of retroviruses, the combination of viral DNA and dissemination of endogenous provirusarting points of viral oncogenes and the revelation of proto-oncogenes.

Fig. 1: The mechanism of retrovirus replication

Fig. 2: Life cycle of virus
Table 1: Anti-retroviral therapy
| S. No. | Active constituent name | Chemical structure | Source | IC50 |
| 1 | Suksdorfin [11] | ![]() |
Common name–Angelica scientific name- Angelicamorii family–Apiaceae |
IC50 value-2.6 μM [12] |
| 2 | Maslinic acid [13] | ![]() |
Common name-Asian herb bennet scientific name-Geum japonicum family–Rosaceae |
IC50 value-17.9 μM [14] |
| 3 | Anolignan-A [15] | ![]() |
Common name-Axle wood. scientific name-Anogeissus acuminate family–Combretaceae |
IC50 value-60.4 μg/ml [16] |
| 4 | Anolignan-B [15] | ![]() |
common name-Axle wood scientific name– Anogeissusacuminate family–Combretaceae |
IC50 value =1,072 μg/ml [17] |
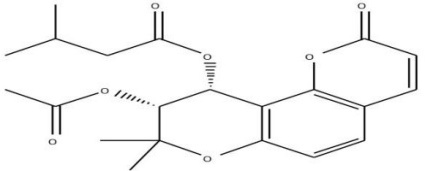
| 5 | Calanolide-A [18] | ![]() |
Common name-Calophyllum scientific name–Calophyllucardato-oblongum family–Calophyllaceae |
IC50 value-20μM [19] |
| 6 | Calanolide-B [18] | ![]() |
Common name-Calophyllum scientific name–Calophyllucardato-oblongum family–Calophyllaceae |
IC50 value-15μM [20] |
| 7 | Retrojusticidin-B [21] | ![]() |
Common name-Ceylon myrtle scientific name-Phyllanthumyrtifolius family–Euphorbiaceae |
IC50 value-5.49μM [22] |
| 8 | Xanthohumol [23] | ![]() |
Common name-Common hop scientific name-Humulus lupulus family–Cannabaceae |
IC50 value-0.50 μ g/ml [24] |
| 9 | Baicalin [25] | ![]() |
Common name-Chinese skullcap scientific name– Scrutellaribicalensis family–Lamiaceae |
IC50 value-5.7 µM [26] |
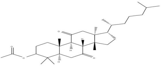
| 10 | Lanostanetriter pene [27] | ![]() |
Common name-Corky debar tree scientific name- Polyalthiasuberosa family–Annonaceae |
IC50 value-4.1 µM [28] |
| 11 | Mallotojaponin [29] | ![]() |
Common name-Food wrappeplant scientific name-Mallotus japonicas family-Euphorbiaceae |
IC50 value-26.9 µM [30] |
| 12 | Macluraxantho ne-B [31] | ![]() |
Common name-Fustic tree scientific name-Maclura tinctoria family–Moraceae |
IC50 value-13.3 µM [32] |
| 13 | Repandusinicaci d [33] | ![]() |
Common name-Gale of the wind scientific name-Phyllanthus nirari family–Phyllanthaceae |
IC50 value-12.5 µM [34] |
| 14 | Wikstrol-B [35] | ![]() |
Common name-Indian string bush scientific name-Wikstroemia indica family–Thymelaeaceae |
IC50-184±6 µM[36] |
| 15 | Robustaflavone [ 37] | ![]() |
Common name-Japanese wax tree scientific name-Rhus succedanea family-Anacardiaceae | IC50 value-65 µM[38] |
| 16 | Lancilactone-C [ 39 ] | ![]() |
Common name–Kadsura scientific name- Kadsulancilimba family-Schisandraceae |
IC50 value->100 µg/ml[40] |
| 17 | Prostratin [41] | ![]() |
Common name–Mamala tree scientific name- Homalanthus nutans family-Euphorbiaceae |
IC50 value-0.5 µM [42] |
| 18 | Lithospermicaci d [43] | ![]() |
Common name-Red sage/Danshen scientific name-Salviamiltiorrhiza family–Lamiaceae |
7.91±1.59 μmol·L-1. [44] |
| 19 | Caffeic acid [45] | ![]() |
Common name-Ratanjot scientific name-Arnebiaeuchroma family–Boraginaceae | IC50 value-18.9±10.1 µM [46] |
| 20 | Curcuminoids [4 7] | ![]() |
Common name-Turmeric scientific name-Curcuma longa family–Zingibaraceae |
IC50 value-100 μM [48] |
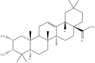
| 21 | Oleanolic acid [49] | ![]() |
Common name-Yellowwhorn scientific name-Xanthocerussorbifolia family-Sapindaceae | IC50 value-21.8μM [50] |
| 22 | 12-o- tetradecano ylphorbol- 13-acetate [51] |
![]() |
Common name–Purging croton Scientific name–Croton tiglium Family-Euphorbiaceae |
IC50 value-0.48 mg/ml [52] |
Curcuma longa for treatment of COVID-19
Curcumin is a polyphenolic compound isolated from establishments of rhizome plant curcuma longa (family Zingiberaceae), shows a wide extent of remedial belongings including disease counteraction specialist, unfriendly to microbial, against proliferative, alleviating, neuroprotective and cardioprotective properties [55]. Curcumin applies antiviral activities against the wide scope of contaminations including HIV, HSV-2, HPV diseases, Influenza, Hepatitis, Zika virus Adenovirus contamination. Continuous experiments have shown that a related new SARS-CoV, SARS-COV2, also targets human host cells by zeroing on the film receptor Angiotensin-Converting Enzyme 2 (ACE2), the entry site for COVID-19 [56].
Despite the fact that HIV-1 has been the most examined irresistible specialist over the most recent 30 y, the new accessible advances have permitted the picking up of new data about infection structure and replication. Natural products, especially those in traditional medication have provided a premise of new medication possibility for some illnesses, HIV and, other neurocognitive issues.
Nil
All the authors have contributed equally.
Declared none
Luciw PA. Human immunodeficiency viruses and their replication. In: Fields BN. Editor. Virology. 3rd ed. Philadelphia: Lippincott-Raven; 1996. p. 1881–952.
Gao F, Bailes E, Robertson DL, Chen Y, Rodenburg CM, Michael SF, et al. Origin of HIV-1 in the chimpanzee pan troglodytes. Nature 1999;397:436–41.
Sharp PM, Hahn BH. Origins of HIV and the AIDS pandemic. Cold Spring Harb Perspect Med 2011;1:a006841.
Sepkowitz KA. AIDS-the first 20 y. New England J Med 2001;344:1764–72.
UNAIDS, WHO, AIDS epidemic update; 2007.
Sharp PM, Hahn BH. Origins of HIV and the AIDS pandemic. Cold Spring Harbor Perspectives Med 2011;1:a006841.
Gallo RC. A reflection on HIV/AIDS research after 25 y. Retrovirology 2006;3:72.
Rajandeep Kaur, Rajeev Kharb. Anti-HIV potential medicinally important plants. Int J Pharma Bio Sci 2011;2:387-98.
Mankil Jung, Seokjoon Lee, Hanjo Kim, Haesook Kim. Recent studies on natural products as anti-HIV agents. Curr Med Chem 2000;7:649-61.
De Clercq E. Antiviral therapy for human immunodeficiency virusinfections. Clin Microbiol Rev 1995;8:200–39.
Ohtake N, Nakai Y, Yamamoto M, Sakakibara I, Takeda S, Amagaya S, et al. Separation and isolation methods for analysis of the active principles of Sho-saiko-to (SST) oriental medicine. J Chromatogr B 2004;812:135–48.
Cos P, Maes L, Vlietinck A, Pieters L. Plant-derived leading compounds for chemotherapy of human immunodeficiency virus (HIV) infection–an update (1998–2007). Planta Med 2008; 74:1323-37.
Li HY, Sun NJ, Kashiwada Y, Sun L, Snider JV, Cosentino LM, et al. Anti-AIDS agents, 9. Suberosol, a new C31 lanostane-type triterpene and anti-HIV principle from polyalthia suberosa. J Nat Prod 1993;56:1130–3.
Chattopadhyay D, Naik TN. Antivirals of ethnomedicinal origin: structure-activity relationship and scope. Mini Rev Med Chem 2007;7:275-301.
H Nakane, M Arisawa, A Fujita, S Koshimura, K Ono. Inhibition of HIV-reverse transcriptase activity by some phloroglucinol derivatives. FEBS Lett 1991;286:83–5.
Rimando AM, Pezzuto JM, Farnsworth NR, Santisuk T, Reutrakul V, Kawanishi K. New lignans from anogeissus acuminata with HIV-1 reverse transcriptase inhibitory activity. J Nat Prod 1994;57:896-904.
Rimando AM, Pezzuto JM, Farnsworth NR, Santisuk T, Reutrakul V, Kawanishi K. New lignans from anogeissus acuminata with HIV-1 reverse transcriptase inhibitory activity. J Nat Prod 1994;57:896-904.
Ogata T, Higuchi H, Mochida S, Matsumoto H, Kato A, Endo T, et al. HIV-1 reverse transcriptase inhibitor from phyllanthus niruri. AIDS Res Hum Retrovir 1992;8:1937–44.
Kashman Y, Gustafson KR, Fuller RW, Cardellina JH, McMahon JB, Currens MJ, et al. The calanolides, a novel HIV-inhibitory class of coumarin derivatives from the tropical rainforest tree, Calophyllum lanigerum. J Med Chem 1992;35:2735-43.
Kashman Y, Gustafson KR, Fuller RW, Cardellina JH, McMahon JB, Currens MJ, et al. The calanolides, a novel HIV-inhibitory class of coumarin derivatives from the tropical rainforest tree, Calophyllum lanigerum. J Med Chem 1992;35:2735-43.
Hu K, Kobayashi H, Dong A, Iwasaki S, Yao X. Antifungal, antimitotic and anti-HIV-1 agents from the roots of Wikstroemia indica. Planta Med 2000;66:564–7.
Chang CW, Lin MT, Lee SS, Liu KCC, Hsu FL, Lin JY. Differential inhibition of reverse transcriptase and cellular DNA polymerase-α activities by lignans isolated from Chinese herbs, phyllanthus myrtifolius moon, and tannins from lonicera japonica thunb and castanopsis hystrix. Antiviral Res 1995;27:367-74.
Chen DF, Zhang SX, Wang HK, Zhang SY, Sun QZ, Cosentino LM, et al. Novel anti-HIV lancilactone C and related triterpenes from Kadsura lancilimba. J Nat Prod 1999;62:94–7.
Chinsembu KC. Chemical diversity and activity profiles of HIV-1 reverse transcriptase inhibitors from plants. Rev Brasileira Farmacognosia 2019;29:504-28.
Rukachaisirikul V, Pailee P, Hiranrat A, Tuchinda P, Yoosook C, Kasisit J, et al. Anti-HIV-1 protostane triterpenes and digeranylbenzophenone from trunk bark and stems of garcinia speciosa. Planta Med 2003;69:1141–6.
Kaur R, Sharma P, Gupta GK, Ntie Kang F, Kumar D. Structure-activity-relationship and mechanistic insights for anti-HIV natural products. Molecules 2020;25:2070.
Gulakowski RJ, McMahon JB, Buckheit RW, Gustafson KR, Boyd MR. Antireplicative and anticytopathic activities of prostratin, a non-tumor-promoting phorbol ester, against human immunodeficiency virus (HIV). Antiviral Res 1997;33:87–97.
Hattori M, Ma CM, Wei Y, Dine RSE, Sato N. Survey of anti-HIV and anti-HCV compounds from natural sources. Can Chem Trans 2013;1:116-40.
Decosterd LA, Parsons IC, Gustafson KR, Cardellina JH, Mcmahon JB, Cragg GM, et al. HIV inhibitory natural products. 11. Structure, absolute stereochemistry, and synthesis of conocurvone, a potent, novel HIV inhibitory naphthoquinone trimer from a conospermum sp. J Am Chem Soc 1993;115:6673–9.
Raissi A, Arbabi M, Roustakhiz J, Hosseini M. Haplophyllum tuberculatum: an overview. J Herb Med Pharmacol 2016;5:125-30.
El-Mekkawy S, Meselhy MR, Nakamura N, Hattori M, Kawahata T, Otake T. Anti-HIV-1 phorbol esters from the seeds of croton tiglium. Phytochemistry 2000;53:457–64.
https://pubchem.ncbi.nlm.nih.gov/compound/Macluraxanthone-B#section=BioAssay- [Last accessed on 10 Apr 2021]
Abd-Elazem IS, Chen HS, Bates RB, Huang RC. Isolation of two highly potent and non-toxic inhibitors of human immunodeficiency virus type 1 (HIV-1) integrase from salvia miltiorrhiza. Antiviral Res 2002;55:91–106.
Xu HX, Wan M, Dong H, BuT PPH, Foo LY. Inhibitory activity of flavonoids and tannins against HIV-1 protease. Biol Pharm Bull 2000;23:1072-6.
Kashiwada Y, Nishizawa M, Yamagishi T, Tanaka T, Nonaka GI, Cosentino LM, et al. Anti-AIDS Agents, 18. sodium and potassium salts of caffeic acid tetramers from Arnebia euchroma as anti-HIV agents. J Nat Prod 1995;58:392–400.
Kaur R, Sharma P, Gupta GK, Ntie Kang F, Kumar D. Structure-activity-relationship and mechanistic insights for anti-HIV natural products. Molecules 2020;25:2070.
Yao Haur K, Li-Ming Yang K. Antitumour and anti-AIDS triterpenes from celastrus hindsii. Phytochemistry 1997;44:1275–81.
Lin YM, Anderson H, Flavin MT, Pai YHS, Mata Greenwood E, Pengsuparp T, et al. In vitro anti-HIV activity of biflavonoids isolated from Rhus succedanea and garcinia multiflora. J Nat Prod 1997;60:884-8.
Roth GN, Chandra A, Nair MG. Novel bioactivities of curcuma longa constituents. J Nat Prod 1998;61:542–5.
Chen DF, Zhang SX, Wang HK, Zhang SY, Sun QZ, Cosentino LM, et al. Novel anti-HIV lancilactone C and related triterpenes from Kadsura lancilimba. J Nat Prod 1999;62:94-7.
Emini EA, Fan HY. Immunological and pharmacological approaches to the control of retroviral infections. In: Coffin. editors. Retroviruses; 1999. p. 637–706.
http://www.caymanchem.com/pdfs/10272.pdf [Last accessed on 10 Apr 2021]
Pang XF, Zhang LH, Bai F, Wang NP, Garner RE, McKallip RJ, et al. Attenuation of myocardial fibrosis with curcumin is mediated by modulating expression 2015;9:6043-54.
http://en.cnki.com.cn/Article_en/CJFDTotal-ZXYZ200805011.htm [Last accessed on 10 Apr 2021]
Das S, Sarmah S, Lyndem S, Roy AS. An investigation into the identification of potential inhibitors of SARS-CoV-2 main protease using molecular docking study. J Biomol Struct Dyn 2020;13:1–11.
Fesen MR, Kohn KW, Leteurtre F, Pommier Y. Inhibitors of human immunodeficiency virus integrase. Proc Natl Acad Sci 1993;90:2399-403.
Roth GN, Chandra A, Nair MG. Novel bioactivities of curcuma longa constituents. J Nat Prod 1998;61:542–5.
Chattopadhyay D, Naik TN. Antivirals of ethnomedicinal origin: structure-activity relationship and scope. Mini Rev Med Chem 2007;7:275-301.
Kashiwada Y, Wang HK, Nagao T, Kitanaka S, Yasuda I, Fujioka T, et al. Anti-AIDS agents. 30 anti-HIV activity of oleanolic acid, pomolic acid, and structurally related triterpenoids. J Nat Prod 1998;61;1090–5.
Jung M, Lee S, Kim H. Recent studies on natural products as anti-HIV agents. Curr Med Chem 2000;7:649-61.
El-Mekkawy S, Meselhy MR, Nakamura N, Hattori M, Kawahata T, Otake T. Anti-HIV-1 phorbol esters from the seeds of croton tiglium. Phytochemistry 2000;53:457–64.
Chattopadhyay D, Naik TN. Antivirals of ethnomedicinal origin: structure-activity relationship and scope. Mini Rev Med Chem 2007;7:275-301.
Emini EA, Fan HY. Immunological and pharmacological approaches to the control of retroviral infections. In: Coffin. editors. Retroviruses; 2007. p. 637–706.
http://www.hivandhepatitis.com/recent/2007/1101607_a.html. [Last accessed on 10 Apr 2021]
Pang XF, Zhang LH, Bai F, Wang NP, Garner RE, McKallip RJ, et al. Attenuation of myocardial fibrosis with curcumin is mediated by modulating expression of angiotensin II AT1/AT2 receptors and ACE2 in rats. Drug Des Dev Ther 2015;9:6043–54.
Das S, Sarmah S, Lyndem S, Roy AS. An investigation into the identification of potential inhibitors of SARS-CoV-2 main protease using molecular docking study. J Biomol Struct Dyn 2020;13:1–11.