
Department of Pharmaceutical Chemistry, St Joseph’s College of Pharmacy, Cherthala, Kerala India 688524
Email: vinodbalan76@gmail.com
Received: 05 Nov 2021, Revised and Accepted: 10 Jan 2022
ABSTRACT
Covid 19, the disease first identified in the Chine city of Wuhan in December 2019 had been declared as a pandemic by WHO. This pandemic caused by Sars Cov 2 has resulted in 165.5 million infections and 3.5 million deaths globally, as of now. Till now no drug isavailable to fight against this deadly disease. The strategy adopted by drug discovery groups is drug repurposing which has not met much success with chloroquine as well as remdesivir. A relatively new candidate in the fray is favipravir which was originally developed by Toyama chemical company against influenza strains. Few synthetic routes are developed for this compound and the safety concerns are relatively few. If favourable results from the ongoing clinicaltrials arise, that may provide the therapeutic community a lethalweapon against the virus.
Keywords: Favipravir, Sars Cov 2, Drug Repurposing, Purine nucleoside, Chemical synthesis, Clinical trials, FPV
© 2022 The Authors. Published by Innovare Academic Sciences Pvt Ltd. This is an open-access article under the CC BY license (https://creativecommons.org/licenses/by/4.0/)
DOI: https://dx.doi.org/10.22159/ijcpr.2022v14i2.1957 Journal homepage: https://innovareacademics.in/journals/index.php/ijcpr
Sars Cov 2, which was first identified in the Chinese city of Wuhan has been declared as a pandemic by the WHO in Feb 2020 [1]. The exact cause of the outbreak of this pandemic is yet to be identified by scientists. The viral reservoir is beleived to be the native bat population and it is hypothesed that the first transmission would have occured from a wild meat market in Hubei province in China [2]. The disease then spread to different countries and had accounted for 165.5 million infections and 3.5 million deaths globally. The pandemic has become a public health and economic burden worldwide. The morphology of Sars Cov 2, molecular mechanisms behind the viral entry, infective process and replication have now been well known to the research community [3-11].
The capability to mutate rapidly and to aquire genetic changes frequently by the virus is acting as great obstacles for drug discovery scientists to introduce a novel therapeutic agent to fight against covid-19 [12].
The tool widely used to fight against this pandemic is the drug repurposing strategy which has a coming of age effect in the present scenario. Few antivirals like remdesivir, favipravir etc has been introduced into clinical practice against sars cov 2 and their effectiveness is still under debate. In the present article a detailed review is attempted about the development and efficacy of favipravir, as an anti covid medication.
Favipravir was invented by Toyama chemical co. Japan in 2002 and was introduced as a therapy for infections by influenza virus. It could be effectively used against infleunza A, B and C infections. It is a broad-spectrum antiviral agent and is known to be active against bunyavirus, yellow virus, West Nile fever virus as well as influenza and ebola. It also has inhibitory effects on human norovirus and human arenavirus [13, 14].
Chemistry of favipravir
Favipravir chemically is a pyrazine carboxamide and it can be regarded as a purine nucleoside analogue.

The chemical name of FPV is 6-fluoro-3-oxo-1H-pyrazine-2-carboxamide. Its molecular formula is C5H4FN3O2 and the molecular weight is 157. 02. FPV is slightly soluble in water and is soluble in organic solvents. Due to the presence of the hydroxy group, the compound is acidic and is expected to exhibit keto-enol tautomerism [15].

Enol Form Keto form
Polymorphism of favipravir
Favipravir reportedly exhibits polymorphism. FPV predominantly exists as orthothrombic polymorph. Goloveshkin et al. had identified a tetragonal polymorph with crystal parameters similiar to those of the known orthothrombic polymorph. The orthothrombic polymorph is readily formed from solvents and posess a more wide spreadigng H-bond architecture. The two tetragonal form gets converted to orthothrombic form at room temperature [16].
Chemical synthesis of favipravir
Many synthetic routes for FPV has been formulated by various research groups with the original route employing 2-amino–bromo pyrazine-1-carboxylate as the starting material. This route includes five steps and the steps are diazotization/alcoholysis, imine substitution/hydrolysis catalyzed by Pd, aminolysis, Schiemann fluorination and demethylation [17]. This scheme is presented in fig. I.
Scheme of synthesis of favipravir
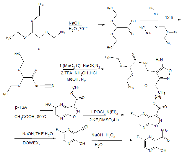
Several synthetic schemes of FPV were introduced by drug syntheitic groups and most of these schemes employ 3-amino pyrazine 2-carboxylic acid as the starting material with modifications in the succeeding steps [18]. This synthesis is presented in scheme 1. A completely different scheme of synthesis is reported by Titova et al. where diethyl malonate is the starting material and the synthesis includes isoxazole ring formation and cleavage in subsequent steps [19]. This scheme is presented in fig. 2.

Fig. 1: Scheme I

Fig. 2: Scheme II

Fig. 3: Mechanism of action of FPV
Mechanism of action of favipravir
FPV is a prodrug that becomes activated by ribosylation and phosphorylation. The active cellular form is FPV-ribosyl-5-triphosphate. FPV binds and inhibits RdRp, which is ultimately preventing viral genome RNA transcription and replication. The ribosylated and triphosphorylated active metabolite TP705 inhibits RdRp by chain termination of the nascent viral RNA strand. It is also hypothesed to act by binding with conserved viral polymerase domains thus preventing incorporation of nucleotides for viral RNA replication and transcription [20]. Previous studies suggest that favipiravir has virucidal effects, implicating the mutagenesis by favipiravir may be engaged in various types of RNA viruses. Compared to viral cells human cells do not have RdRp, but have DNA-dependent RNA polymerase. (DdRp) and DNA-dependent DNA polymerase.(DdDp) FPV does not have inhibitory effects on these enzymes.[21] The schematic representation of the mechanism of action is presented in fig. 3.
Pharmacokinetics of favipravir
The drug FPV is absorbed from the oral route and is bound to plasma protein by 54% in humans [22]. The drug follows nonlinear kinetics.(Du and Chen 2020) The major portion of FPV administered will be distributed to the liver, kidney, brain tissue and stomach [23].
The drug is metabolized by aldehyde oxygenase (AO) mainly and partially by xanthine oxidase(XO) [24]. FPV is known to inhibit the activity of AO. The product of the metabolism is an inactive oxidative metabolite. Mainly the kidneys excrete the inactive metabolite. Un metabolized FPV and metabolites were identified in semen and breast milk [25].
Adverse effects
In the reported clinical trials, FPV was well tolerated. However, it is related to dose-dependent, asymptomatic increases in serum uric acid levels and must be administered with caution in patients with a history of gout. Caution is advised in patients with hyperuricemia. The adverse effects may also include mild to moderate diarrhoea [26].
Drug-drug interactions
A potential risk of drug interaction occurs between the drugs that inhibit aldehyde oxidase, and favipiravir administration needs to be monitored cautiously. There is a risk of interaction of FPV with pyrazinamide, repaglinide, theophylline, famciclovir, and sulindac [27].
Effectiveness of favipravir in sars Cov-2 infection
In a pre-clinical study conducted by Driouich et al. by Syrian hamster model FPV administration has reportedly reduced infectious titers in the lungs and clinical alleviation of the disease [28].
In clinical trials conducted, FPV has been found to be effective in controlling disease progression and in enhancing viral clearance in COVID‐19 patients [29]. (Takahashi et al. 2020) Apart from being administered alone, FPV can be used along with other drugs or therapies to tackle COVID‐19. According to Dabbous et al. (2021) in a multicenter randomized controlled study, FPV was known to reduce the hospital stay and need for mechanical ventilation in Sars Cov-2 infected patients [30].
The pandemic SARS COV-2 has shattered global public health and the economy irrecoverably. Due to the rapidly mutating nature of the virus, the discovery of an effective medication seems to be an uphill task. An attempt to introduce an anti-Sars Cov-2 medication is through drug repurposing. Agents like chloroquine, dexamethasone, ivermectin, remdesivir were few of the repurposed agents, but the results were not very promising. A relatively new entrant in the repurposed category in the fight against Sars Cov-2 is Favipravir, originally developed against influenza strain. Compared to the above-mentioned agents, the early clinical trials of FPV gave promising results. The comparatively simple chemical structure, analogousness to purine nucleosides, is an advantage in the synthetic process and the ADME parameters are non-complicated. If positive results from the ongoing trials are declared soon, with sincere hope, it can be expected that the end of the darkest era in modern human history can be seen.
The author wishes to acknowledge the management St Joseph’s College of Pharmacy, Cherthala, Kerala for the support.
Nil
All the authors have contributed equally.
Declared none
Mohan BS, Vinod N. COVID-19: An Insight into SARS-CoV2 Pandemic Originated at Wuhan City in Hubei Province of China. J Infect Dis Epidemiol. 2020;6(4):146. doi: 10.23937/2474-3658/1510146.
Zhao GP. SARS molecular epidemiology: a Chinese fairy tale of controlling an emerging zoonotic disease in the genomics era. Philos Trans R Soc Lond B Biol Sci. 2007;362(1482):1063-81. doi: 10.1098/rstb.2007.2034, PMID 17327210.
Sharma A, Garcia G, Wang Y, Plummer JT, Morizono K, Arumugaswami V, Svendsen CN. Human iPSC-derived cardiomyocytes are susceptible to SARS-CoV-2 infection. Cell Rep Med. 2020. July 21;1(4):100052. doi: 10.1016/j.xcrm.2020.100052.
Naqvi AAT, Fatima K, Mohammad T, Fatima U, Singh IK, Singh A, Atif SM, Hariprasad G, Hasan GM, Hassan MI. Insights into SARS-CoV-2 genome, structure, evolution, pathogenesis and therapies: structural genomics approach. Biochim Biophys Acta Mol Basis Dis. 2020;1866(10):165878. doi: 10.1016/j.bbadis.2020.165878. PMID 32544429.
V’kovski P, Kratzel A, Steiner S, Stalder H, Thiel V. Coronavirus biology and replication: implications for SARS-CoV-2. Nat Rev Microbiol. 2021;19(3):155-70. doi: 10.1038/s41579-020-00468-6, PMID 33116300.
Rabi FA, Al Zoubi MS, Kasasbeh GA, Salameh DM, Al-Nasser AD. SARS-CoV-2 and Coronavirus Disease 2019: What we know so far. Pathogens. 2020;9(3):231-8. doi: 10.3390/ pathogens9030231, PMID 32245083.
Dhama K, Khan S, Tiwari R, Sircar S, Bhat S, Malik YS, Singh KP, Chaicumpa W, Bonilla-Aldana DK, Rodriguez-Morales AJ. Coronavirus disease 2019–COVID-19. Clin Microbiol Rev. 2020;33(4):e00028-20. doi: 10.1128/CMR.00028-20, PMID 32580969.
Simabuco FM, Tamura RE, Pavan ICB, Morale MG, Ventura AM. Molecular mechanisms and pharmacological interventions in the replication cycle of human coronaviruses. Genet Mol Biol. 2020;44(1) Suppl 1:e20200212. doi: 10.1590/1678-4685-GMB-2020-0212. PMID 33237152.
Feng TS, Liu DX. Human coronavirus: Host-Pathogen Interaction. Annu Rev Microbioogy. 2019 Sep 8;73:529-57. doi: 10.1146/annurev-micro-020518-115759, PMID 201973.
Haque SM, Ashwaq O, Sarief A, Azad John Mohamed AK. A comprehensive review about SARS-CoV-2. Future Virol. 2020;15(9):625-48. doi: 10.2217/fvl-2020-0124, PMID 33224265.
Robson B. COVID-19 coronavirus spike protein analysis for synthetic vaccines, a peptidomimetic antagonist, and therapeutic drugs, and analysis of a proposed Achilles’ heel conserved region to minimize probability of escape mutations and drug resistance. Comput Biol Med. 2020;121:103749. doi: 10.1016/j.compbiomed.2020.103749.
Singh TU, Parida S, Lingaraju MC, Kesavan M, Kumar D, Singh RK. Drug repurposing approach to fight COVID-19. Pharmacol Rep. 2020;72(6):1479-508. doi: 10.1007/s43440-020-00155-6, PMID 32889701.
Seifi T, Kamali RA. Antiviral performance of graphene-based materials with emphasis on COVID-19: a review, medicine in. Drug Discov. 2021;11. doi: 10.1016/j.medidd.2021,100099. PMID 100099.
Arora G, Shrivastava R, Kumar P, Bandichhor R, Krishnamurthy D, Sharma R, Matharu A, Pandey J, Rizwan M. Recent advances made in the synthesis of small drug molecules for clinical applications: an insight. Current Research in Green and Sustainable Chemistry. 2021;4:100097.
Zhu W, Chen C, Gorshkov K, Xu M, Donald C. Zheng W. RNA-dependent RNA polymerase as a target for COVID-19. Drug Discov. 2021;25(10):1141-51.
Antonov L. Favipiravir tautomerism: A short theoretical report. ChemRxiv; 2020. Available from: https://doi.vol.1.doi: 10.26434/chemrxiv.12115620.
Goloveshkin AS, Korlyukov AA, Vologzhanina AV. Novel polymorph of favipiravir-an antiviral medication. Pharmaceutics. 2021;13(2):139-46. doi: 10.3390/ pharmaceutics13020139, PMID 33494498.
Guo Q, Xu M, Guo S, Zhu F, Xie Y, Shen J. The complete synthesis of favipiravir from 2-aminopyrazine. Chem Pap. 2019;73(5):1043-51. doi: 10.1007/s11696-018-0654-9.
Bocan TM, Basuli F, Stafford RG, Brown JL, Zhang X, Duplantier AJ, Swenson RE. Synthesis of 18F favipiravir and biodistribution in C3H/HeN mice as assessed by positron emission tomography. Sci Rep. 2019;9(1):1785. doi: 10.1038/s41598-018-37866-z, PMID 30741966.
Titova YA, Fedorova OV. Favipiravir- a modern antiviral drug: synthesis and modifications. Chem Heterocycl Compd (N Y). 2020;56(6):659-62. doi: 10.1007/s10593-020-02715-3, PMID 32836314.
Furuta Y, Komeno T, Nakamura T. Favipiravir (T-705), a broad spectrum inhibitor of viral RNA polymerase. Proc Japan Acad Ser B Phys Biol Sci. 2017;93(7):449-63. doi: 10.2183/ pjab.93.027, PMID 28769016.
Aftab SO, Ghouri MZ, Masood MU, Haider Z, Khan Z, Ahmad A, Munawar N. Analysis of SARS-CoV-2 RNA-dependent RNA polymerase as a potential therapeutic drug target using a computational approach. J Transl Med. 2020;18(1):275. doi: 10.1186/s12967-020-02439-0, PMID 32635935.
Agrawal U, Raju R, Udwadia ZF. Favipiravir: A new and emerging antiviral option in COVID-19. Med J Armed Forces India. 2020;76(4):370-6. doi: 10.1016/j.mjafi.2020.08.004.
Vora A, Tiwaskar M. Favipiravir. J Assoc Physicians India. 2020 Aug;68(8):91-2. PMID 32738849.
Joshi S, Parkar J, Ansari A, Vora A, Talwar D, Tiwaskar M, Patil S, Barkate H. Role of favipiravir in the treatment of COVID-19, Int Nat J Infect Dis. 2021;102:501-8.
Yaylaci S, Dheir H, Şenocak D, Genc AB, Kocayigit H, Çekiç D, Varım C, Aydın A, Koroglu M, Karabay O. The effects of favipiravir on hematological parameters of covıd-19 patients. Rev Assoc Med Bras. 2020;66 Suppl 2:65-70. doi: 10.1590/1806-9282.66.s2.65.
Lemaitre F, Solas C, Gregoire M, Lagarce L, Elens L, Polard E, Saint-Salvi B, Sommet A, Tod M, Barin-Le Guellec C. French society of pharmacology, therapeutics (SFPT), the international association of therapeutic drug monitoring, clinical toxicology (IATDMCT). Potential drug–drug interactions associated with drugs currently proposed for COVID‐19 treatment in patients receiving other treatments. Fundam Clin Pharmacol. 2020;34(5):530-47. doi: 10.1111/fcp.12586, PMID 32603486.
Driouich JS, Cochin M, Lingas G. Favipiravir antiviral efficacy against SARS-CoV-2 in a hamster model. Nat Commun 2021;12:173. doi: 10.1038/s41467-021-21992.
Takahashi H, Iwasaki Y, Watanabe T, Kobayashi T, Moriyo M, Ichinose N, Okada Y, Oiwa A, Oda T. Case studies of Sars cov-2 treated with favipravir among patients in critical or severre condition, Int Nat J Infect Dis. 2020;100:283-5.
Dabbous HM, Abd-Elsalam S, El-Sayed MH, Sherief AF, Ebeid FFS, El Ghafar MSA, Soliman S, Elbahnasawy M, Badawi R, Tageldin MA. Efficacy of favipiravir in COVID-19 treatment: a multi-center randomized study. Arch Virol. 2021;166(3):949-54. doi: 10.1007/s00705-021-04956-9, PMID 33492523.