
Department of Pharmaceutical Chemistry, Shantiniketan College of Pharmacy, Dhotre (BK), Ahmednagar 414304
Email: waghmaresweeti11@gmail.com
Received: 20 Jun 2022, Revised and Accepted: 05 Aug 2022
ABSTRACT
1,3-diazole is also known as imidazole.1, 3-diazole is amphoteric in nature i.e. it shows both acidic and basic properties 1, 3-diazole is a five-member heterocyclic aromatic compound that possesses two nitrogen, three carbon, four hydrogen atom and two double bond. It has two nitrogen atom are present; both nitrogen atom are sp2 hybridized. It contains two nitrogen atoms, in which one nitrogen bear a hydrogen atom, and the other is called pyrrole type nitrogen. The derivatives of 1,3-diazole show different biological activities such as. Anti-inflammatory, antimicrobial, analgesic and anti-tubercular activities, etc. as reported in the literature. There are different examples of commercially available drugs in the market which contains a 1,3-diazole ring, such as Miconazole, Clotrimazole, Econazole, Enilconazole, Sulconazole etc This present review summarized some pharmacological activities and various kinds of synthetic routes for 1, 3-diazoleand their derived products.
Keywords: 1, 3-diazole, Anti-inflammatory, Anticancer, Antimicrobial, Analgesic, Anti-tubercular, Heterocyclic, Biological active
© 2022 The Authors. Published by Innovare Academic Sciences Pvt Ltd. This is an open access article under the CC BY license (https://creativecommons.org/licenses/by/4.0/)
DOI: https://dx.doi.org/10.22159/ijcpr.2022v14i5.2030 Journal homepage: https://innovareacademics.in/journals/index.php/ijcpr
Medicinal chemistry is the discipline concerned with determining the influence of chemical structure on biological activity [1]. Medicinal chemistry is concerns with the discovery, development, interpretation and identification of the mechanism of action of biological active compound at the molecule level [2]. It containing two nitrogen atom in a five-membered aromatic azole ring have received special attention in recent years as reported imidazole ring are widely employed as spin trapping species in the interesting application of designing drug with neuroprotective activity [3, 4]. A great deal of azole based antibacterial antifungal agent have been extensively studied as a drug candidates and some of them have used in clinic, for instance, Itraconazole, fluconazole, Posaconazole and voriconazole which suggest the great development value of azole compound [5]. Antifungal agents are common immune compromised patients as reflected in their chemotherapy-acquired immune deficiency syndrome or organ transplantation [6]. The over use of antifungal agents increased the opportunistic pathogens resistance [7].
Lafleur M. D et al. studies on 1-substituted-2-(2,4-dichlorophenyl) ethyl)-1H-imidazole derivatives and checked their Anti-fungal activity [8]

Fig. 1: 1-(2-(2,4-Dichlorobenzyloxy)-2-(2,4-dichlorophenyl)ethyl)-1H-imidazole
Molecular formula: C18H14Cl4N2O
Molecular weight: 416.127 gmol-1
Melting point: 159-163 °C
Synonyms: Miconazole
Lloyd D. H et al. synthesized 1, 3-diazole derivatives shows antifungal activity [9]

Fig. 2: 1-[(2-clorophenyl) diphenyl methyl] imidazole
Molecular formula: C22H17ClN2
Molecular weight: 344.84 gmol-1
Melting point: 148 °C
Synonyms: Lotrimin
Wang X. L et al. synthesized a series of 1, 3-diazole derivatives where this compound showed good antifungal and antibacterial activity [10]

Fig. 3: 1-[2-[(2-clorothiophene-3-y1) methoxy]-2-(2,4-diclorophenylethyl) imidazole
Molecular formula: C16H13Cl13N2O5
Molecular weight: 387.70 gmol-1
Melting point: 82.8 °C
Synonyms: INN Spanish
MT uncbilek M, Kiper T et al. synthesized 1, 3-diazole derivatives and tested for their antifungal activity using the standard method [11].

Fig. 4: 1-[2-[(4-clorophenyl)methoxy ]-2(2,4-diclorophenyl)ethyl)]imidazole
Molecular formula: C18H15Cl3N2O
Molecular weight: 381.68 gmol-1
Melting point: 162 °C
Synonyms: Econazole nitrate
Sharma S., Gangal S. et al. synthesized 1, 3-diazole derivatives and antifungal screening of 1-[2-(2,4-diclorophenyl)-2-prop-2-enoxyethyl]imidazole against antifungal activity [12].

Fig. 5: 1-[2-(2,4-diclorophenyl)-2-prop-2-enoxyethyl]imidazole
Molecular formula: C14H14Cl2N2O
Molecular weight: 297.2 gmol-1
Melting point: 50 °C
Boiling point: 374 °C
Synonyms: Imazalil
Khan Z. K et al. synthesized 1, 3-diazole derivatives shows antifungal activity [13]

Fig. 6: 1-(2-{[(4-clorophenyl)methyl]sulfanyl}-2-(2,4-diclorophenyl)ethyl)-1H imidazole
Molecular formula: C18H15Cl3H2S
Molecular weight: 397.75 gmol-1
Melting point: 558.2 °C
Boiling point: 130.5 °C-132 °C
Synonym: Sulcanazolum
Rani N., Sharma A et al. synthesized1, 3-diazole derivatives and tested for their antifungal activity using the standard method [14].

Fig. 7: 1-[biphenyl-4-yl(phenyl)methyl]imidazole
Molecular formula: C22H18N2
Molecular weight: 310.392 gmol-1
Melting point: 142 °C
Boiling point: 491.7 °C
Synonyms: Trifonazole
Antibacterial agent
Dhainaut A., Tizot A et al. synthesized 1, 3-diazole derivatives describe antibacterial activity substituted ring [15]

Fig. 8: 1-[2-(2,4-dichlorophenyl)-2-{[4-(phenylsalfanyl) phenyl ]methoxy}ethyl]-1H-imidazole
Molecular formula: C24H20CI2N2O
Molecular weight: 455.40 gmol-1
Melting point: 139 °C
Boiling point: 579.8 °C
Synonyms: fenizolan
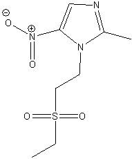
Sharma D. et al. synthesized 1, 3-diazole derivatives shows antibacterial activity [16]

Fig. 9: 1-2(ethylsulfonylethyl)-2-methyl-5nitroimidazole
Molecular formula: C8H13N3O4S
Molecular weight: 247.27 gmol-1
Melting point: 127 °C-128 °C
Synonyms: Tindamax
A novel series of 1, 3-diazole derivatives on the basis of various literature survey shows different activity against the anti-bacterial and antifungal activity. Various recent new drugs developments in 1, 3-diazole derivatives show better effect.
Nil
All the authors have contributed equally.
Declared none
DA Williams, TL Lemke. Foye’s principle of medicinal chemistry. Vol. 5. Lippincott Williams & Wilkins; 2002. p. 36.
Singh H, Kapoor VK. Medicinal and pharmaceutical Chemistry, Vallabh Prakashan; 2008;2:1-2.
Boiani M, Gonzalez M. Imidazole and benzimidazole derivatives as chemotherapeutic agents. Mini Rev Med Chem. 2005;5(4):409-24. doi: 10.2174/1389557053544047, PMID 15853629.
Dhainaut A, Tizot A, Raimbaud E, Lockhart B, Lestage P, Goldstein S. Synthesis, structure, and neuroprotective properties of novel imidazolyl nitrones. J Med Chem. 2000;43(11):2165-75. doi: 10.1021/jm991154w, PMID 10841795.
Peng XM, Cai GX, Zhou CH. Recent developments in azole compounds as antibacterial and antifungal agents. Curr Top Med Chem. 2013;13(16):1963-2010. doi: 10.2174/ 15680266113139990125, PMID 23895097.
Pianalto KM, Alspaugh JA. New horizons in antifungal therapy. J Fungi (Basel). 2016;2(4):26. doi: 10.3390/jof2040026, PMID 29376943.
Carmona EM, Limper AH. Overview of treatment approaches for fungal infections. Clinics in Chest Medicine. 2017;38(3):393-402. doi: 10.1016/j.ccm.2017.04.003.
Lafleur MD, Sun L, Lister I, Keating J, Nantel A, long L, Ghannoum M, North J, Lee R E, Coleman K. Potentiation of azole antifungal by 2-adamantanamine. antimicrob. Agent Chemother 2013;57:3585-91.
Lloyd DH. Alternatives to conventional antimicrobial drugs: a review of future prospects. Vet Dermatol. 2012;23(4):299-304. doi: 10.1111/j.1365-3164.2012.01042.x, PMID 22409347.
Wang XL, Zhou CH, Geng RX. Advance in the research of antimicrobial drugs with sulfamide group. Chin J New Drugs. 2010;19:2050-9.
Tuncbilek M, Kiper T, Altanlar N. Synthesis and in vitro antimicrobial activity of some novel substituted benzimidazole derivatives having potent activity against MRSA. Eur J Med Chem. 2009;44(3):1024-33. doi: 10.1016/j.ejmech.2008.06.026, PMID 18718694.
Sharma S, Gangal S, Rauf A. Convenient one-pot synthesis of novel 2-substituted benzimidazoles, tetrahydrobenzimidazoles and imidazoles and evaluation of their in vitro antibacterial and antifungal activities. Eur J Med Chem. 2009;44(4):1751-7. doi: 10.1016/j.ejmech.2008.03.026, PMID 18472189.
Khan ZK, Jain P. Antifungal agents and immunomodulators in systemic mycoses. Indian J Chest Dis Allied Sci. 2000;42(4):345-55. PMID 15597684.
Rani N, Sharma A, Gupta GK, Singh R. Imidazoles as potential antifungal agents: a review. Mini Rev Med Chem. 2013;13(11):1626-55. doi: 10.2174/13895575113139990069, PMID 23815583.
Dhainaut A, Tizot A, Raimbaud E, Lockhart B, Lestage P, Goldstein S. Synthesis, structure, and neuroprotective properties of novel imidazolyl nitrones. J Med Chem. 2000;43(11):2165-75. doi: 10.1021/jm991154w, PMID 10841795.
Sharma D, Narasimhan B, Kumar P, Jalbout A. Synthesis and QSAR evaluation of 2-(substituted phenyl)-1H-benzimidazoles and [2-(substituted phenyl)-benzimidazol-1-yl]-pyridin-3-yl-methanones. Eur J Med Chem. 2009;44(3):1119-27. doi: 10.1016/j.ejmech.2008.06.009, PMID 18657885.