
aAl Imam Mohammad Ibn Saud Islamic University, Committee on Radiation and Environmental Pollution Protection, Riyadh, Saudi Arabia, bSudan University of Science and Technology, Department of Chemistry, College of Science, Khartoum, Sudan, cUniversity of the Free State, Department of Chemistry, Nelson Mandela Avenue, Blopngontein 9301, South Africa. dCentral Laboratory, Ministry of Science and Technology, Khartoum, Sudan.
Email: aminosman81@gmail.com
Received: 08 Dec 2014, Revised and Accepted: 28 Dec 2014
ABSTRACT
A novel approach have been developed for synthesis of a series of 2- amino 4,6- diaryl pyrimidines and 3,5-diaryl -1H- pyrazoles, using a condensation reaction of guanidine or hydrazine with enones compounds, in the presence of ethanol as solvent and NaOH as catalyst. Ultrasound was used for solvation of the enones, followed by microwave for heterocyclization reaction. A moderate to good yield has been gotten in a short period of time. The structures of synthetic compounds have been elucidated by 1H NMR, EI-MS, FT-IR and UV-Vis spectroscopy. Moreover, the mechanism of reaction was investigated; the products were formed through direct addition to hard electrophile followed by heterocyclization.
Keyword: Pyrimidine, Pyrazole, Sonochemistry, Microwave synthesis.
INTRODUCTION
Pyrimidines are six-member ring heterocyclic aromatic organic compounds. They are the building blocks of numerous natural compounds including vitamins and synthetic compounds with antibiotic, anti HIV, anti-inflammatory, fungicidal, insecticidal, antibacterial, antioxidant, antihypertensive, anticancer, antimalarial and anticonvulsant activity [1-7]. Pyrazoles have a unique place among heterocyclic compounds. It forms the core structure of biologically active compounds with anti-cancer, anti-microbial, anti-inflammatory, antileishmania, antiasthma, and antioxidant properties. It is also having important in the field of agrochemicals [8-11].
In particular focus, very recently, the 3,5 diaryl 1H pyrazoles and 3,5-diaryl-1H- pyrazoles were found to be inhibit the growth of Mycobacterium tuberculosis, anti-inflammatory and antimicrobial agents, Inhibition of protein kinase B/Akt activity, and neuroprotective activity [12-15].
The pyrimidine and pyrazole ring is usually constructed via a base catalysed condensation between 1,3 dicarbonyl containing compounds with a reagent bearing either an N–C–N moiety, such as urea, amidine, or guanidine for pyrimidine, or an N–N moiety such as hydrazine for pyrazole. High temperatures and long reaction times are required [16-18]. Microwave assisted synthesis of pyrimidine and pyrazole ring has recently become important [16].
However, it is well known the limited choices of solvents for microwave irradiation. For the synthesis of such heterocycles ethanol is a good choice, because of it is safety and it is could stabilize the products, but it is not always good for solvation of the chalcones and their derivatives, leading to formation of heterogeneous mixture, which is not preferred in microwave-assisted synthesis, because it could leads to failure reaction [19]. We have solved this problem by enhancement of the chalcone solid surface in ethanol, only ultrasound can do such effect [20].
Herein we have reported the ultrasound assisted microwave synthesis of a series of 2-amino 4,6-diaryl pyrimidines, and 3,5-diaryl 1H pyrazoles.
Experimental
Reagents and apparatus
All reagents and solvents used in this work study as obtained from the commercial suppliers except the enones compounds have synthesised in our laboratory [21]. IR spectra were recorded on a Burker tensor 27 spectrometer with ZnSi cell. 1H NMR spectra were measured on Bruker 300 MHz spectrometer, using TMS as internal standard and CDCl3 as solvent. Mass spectra were determined on a Shimadzu GC-MS spectrometer using electron impact as ionization technique. Ultraviolet-visible spectra were measured using Waters variable wavelengths (200-700 nm) photo diode array connected to liquid Chromatography with methanol HPLC grade as solvent. Sonication was performed in Bandelin electronic ultrasonic bath 35 KHz – 80/320 w. Microwave irradiation has performed using microwave oven with 2.45 GHz and 700 w.
Experimental procedure for preparation of (a-f)
In a 500 ml conical flask were placed the required enone compound (0.001 mole), sodium acetate (0.003 mole, 0.25 g), guanidine hydrochloride (0.003 mole, 0.29 g) for pyrimidine or hydrazine sulphate (0.003 mole, 0.39 g) for pyrazole and 100 ml ethanol.
The reaction mixture was sonocated for 15 minutes, and transferred to a microwave oven for 30 minutes, the completion of the reaction was monitored by TLC after each 10 minutes. The solvent has been removed and the residues of the products were extracted with acetone and purified using preparative TLC.
2- amino 4,6-diphenyl-pyrimidine (1a)
IR v/cm-1 690, 760, 1544, 1566, 1586, 1604, 1623, 2923, 3189, 3312; 1H NMR (300 MHz, CDCl3) δ 5.16 (s, 2H, NH2), 7.50 (m, 7H, 6Ph-H and 1H, Ar-H), 8.05 (m, 4H, Ph-H); λmax nm (methanol) 253, 330; EIMS m/z 247, (calc. using ChemDraw, for C16H13N3, 247.29) [M+]; mp 192-194 oC.
2-amino 4-(p-N,N dimethylaminophenyl) 6-phenyl pyrimidine (2a): IR v/cm-1 694, 754, 767, 817, 1496, 1527, 1561, 1584, 1606, 2923, 3189, 3311; 1H NMR (300 MHz, CDCl3) δ 3.05, (s, 6H, Me2N), 5.07 (s, 2H, NH2), 6.77 (d, J = 9.08 Hz, 2H, Ph-H), 7.40 (s, 1H, Ar-H), 7.47 (m, 3H, Ph-H), 8.02 (m, 4H, Ph-H); λmax nm (methanol) 246, 371, 426; EIMS m/z 290 [M+] (calc. using ChemDraw, for C18H18N4, 290.36); mp 152-153 oC.
2- amino 4-(p-methoxyphenyl) 6-phenyl pyrimidine (3a)
IR v/cm-1 686, 754, 770, 821, 1176, 1497, 1514, 1536, 1562, 1568, 1608, 1643; 1H NMR (300 MHz, CDCl3) δ 3.87 (s, 3H, MeO), 5.17 (s, 2H, NH2), 6.53 (m, 3H, Ph-H), 7.01 (d, J = 8.9 Hz, 2H, Ph-H), 7.42 (s, 1H, Ar-H), 8.28 (m, 4H, Ph-H); λmax nm (methanol) 253,336; EIMS m/z 277 [M+] (calc. using ChemDraw, for C17H15N3O, 277.32); mp 150-151oC.
2- amino 4-(p-bromophenyl) 6-(p-N,N dimethylaminophenyl) pyrimidine (2b)
IR v/cm-1 771, 828, 1501, 1514, 1536, 1567, 1606, 2935, 3197, 3317; 1H NMR (300 MHz, CDCl3) δ 3.06 (s, 6H, Me2N), 5.10 (s, 2H, NH2), 6.76 (d, J = 8.4 Hz, 2H, Ph-H), 7.61 (d, J = 8.4 Hz, 2H, Ph-H), 7.92 (d, J = 8.4 Hz, 2H, Ph-H), 7.36 (S, 1H, Ar-H), 8.00 (d, J = 8.4 Hz, 2H, Ph-H); λmax nm (methanol) 250, 340; EIMS m/z do not resolve; mp Above 250 oC.
2- amino 4-(p-bromophenyl) 6-(p-methoxyphenyl) pyrimidine (3b)
IR v/cm-1 772, 816, 1178, 1488, 1512, 1533, 1563, 1578, 1607, 2924, 3183, 3351; 1H NMR (300 MHz, CDCl3) δ 3.89 (s, 3H, MeO), 5.17 (s, 2H, NH2), 7.02 (d, 2H, J = 8.9 Hz, Ph-H), 7.46 (s, 1H, Ar-H), 8.06 (d, J = 8.9 Hz, 2H, Ph-H), 8.22 (d, 2H, J = 9.1 Hz, Ph-H), 8.34 (d, J = 9.1 Hz, 2H, Ph-H); λmax nm (methanol) 267, 341; EIMS m/z 355, 357 [M+] (calc. using ChemDraw, for C17H14BrN3O, 356.22); mp 119-120 oC.
2- amino 4-(p-bromophenyl) 6-(furyl) pyrimidine (4b)
IR v/cm-1 772, 815, 1488, 1509, 1535, 1556, 1576, 1600, 2920, 3188, 3327; 1H NMR (300 MHz, CDCl3) δ 5.11 (s, 2H, NH2), 6.57 (dd, J = 1.7, 3.4 Hz, 1H, Ar-H), 7.19 (1H, d, J = 3.4 Hz, Ar-H), 7.38 (s, 1H, Ar-H), 7.59 (m, 3H, 2Ph-H and 1H, Ar-H), 7.94 (d, 2H, J = 8.5 Hz, Ph-H); λmax nm (methanol) 269, 347; EIMS m/z 315, 317 [M+] (calc. using ChemDraw, for C14H10BrN3O, 316.15); mp 174-175 oC.
2- amino 4-(p-bromophenyl) 6-(ethenyl-2-phenyl) pyrimidine (5b)
IR v/cm-1 699, 772, 810, 1462, 1494, 1529, 1561, 1577, 1589, 1650, 2923, 3199, 3332;1H NMR (300 MHz, CDCl3) δ 5.08 (s, 2H, NH2), 7.00 (d, J = 16.0 Hz, 1H, CH), 7.08 (s, 1H, Ar-H), 7.39 (m, 3H, Ph-H), 7.59 (d, J = 6.5 Hz, 2H, Ph-H), 7.61 (d, J = 8.5 Hz, 2H, Ph-H), 7.81 (d, J = 16.0 Hz, 1H, CH), 7.92 (d, J = 8.5 Hz, 2H, Ph-H); λmax nm (methanol) 269, 360 EIMS m/z do not resolve; mp Above 250 oC.
2- amino 4-(p-nitrophenyl)-6-(p-N,Ndimethylaminophenyl)-pyrimidine (2c)
IR v/cm-1772, 815, 1348, 1494, 1536, 1565, 1605, 2982, 3197, 3334 1H NMR (300 MHz, CDCl3) δ 3.06 (s, 6H, Me2N), 5.10 (s, 2H, NH2), 6.76 (d, J = 9.1 Hz, 2H, Ph-H), 7.43 (s, 1H, Ar-H), 8.02 (d, J = 9.1 Hz, 2H, Ph-H), 8.22 (d, J = 9.0 Hz, 2H, Ph-H), 8.33 (d, J = 9.0 Hz, 2H, Ph-H); λmax nm (methanol) 272, 390; EIMS m/z do not resolve; mp 187-188 oC.
2- amino 4-(p-nitrophenyl)-6-(p-methoxyphenyl) pyrimidine (3c)
IR v/cm-1760, 825, 1177, 1348, 1514, 1540, 1568, 1604, 2931, 3197, 3324; 1H NMR (300 MHz, CDCl3) δ 3.89 (s, 3H, MeO), 5.19 (s, 2H, NH2), 7.01 (d, J = 8.9 Hz, 2H, Ph-H), 7.45 4.2.10. (s, 1H, Ar-H), 8.06 (d, J = 8.9 Hz, 2H, Ph-H), 8.22 (d, J = 8.9 Hz, 2H, Ph-H), 8.33 (d, J = 8.9 Hz, 2H, Ph-H); λmax nm (methanol) 277, 347; EIMS m/z do not resolve; mp 153-154 oC.
2- amino 4-(p-nitrophenyl)-6-(ethenyl-2-phenyl) pyrimidine (5c)
IR v/cm-1693, 755, 772, 810, 1362, 1487, 1530, 1561, 1577, 1589, 1651, 2922, 3190, 3327 1H NMR (300 MHz, CDCl3) δ 5.15 (s, 2H, NH2), 7.03 (d, J = 16.0 Hz, 1H, CH), 7.15 (s, 1H, Ar-H), 7.37 (m, 3H, Ph-H), 7.60 (d, J = 6.9 Hz, 2H, Ph-H), 7.85 (d, J = 16.0, 1H, CH), 8.21 (d, J = 8.8 Hz, 2H, Ph-H), 8.34 (d, J = 8.9 Hz, 2H, Ph-H); λmax nm (methanol) 271, 352; EIMS m/z do not resolve; mp 177-179 oC.
3,5-diphenyl-1H-pyrazole (1d)
IR v/cm-1687, 753, 771, 838, 1462, 1495, 3004, 3134; 1H NMR (300 MHz, CDCl3) δ 6.83 (s, 1H, NH), 7.34 (m, 7H, 6Ph-H and 1H, Ar-H), 7.73 (m, 4H, Ph-H); λmax nm (methanol) 257; EIMS m/z 220 [M+] (calc. using ChemDraw, for C15H12N2, 220.27); mp 186-188 oC.
3-phenyl-5-(p-N,Ndimethylaminophenyl)-1H-pyrazole (2d)
IR v/cm-1702, 772, 820, 1461, 1524, 1616, 2924, 3167;1H NMR (300 MHz, CDCl3) δ 3.00 (s, 6H, Me2N), 6.73 (s, 1H, NH), 6.77 (d, J = 8.9 Hz, 2H, Ph-H), 7.33 (t, J = 7.1 Hz, 1H, Ph-H), 7.55 (d, J = 8.9 Hz, 2H, Ph-H), 7.42 (dd, J = 7.1 Hz, 2H, 7.5, Ph-H), 7.42 (s, 1H, Ar-H) 7.55 (d, J = 8.9 Hz, 2H, Ph-H), 7.77 (d, J = 7.5 Hz, 2H, Ph-H); λmax nm (methanol) 260, 285; EIMS m/z 263 [M+] (calc. using ChemDraw, for C17H17N3, 263.34); mp 227-229 oC.
3-phenyl-5-(p-methoxyphenyl)-1H-pyrazole (3d)
IR v/cm-1691, 771, 833, 1252, 1460, 1508, 1614, 2924, 3129; 1H NMR (300 MHz, CDCl3) δ 3.81 (s, 3H, MeO), 6.73 (s, 1H, NH), 6.89 (d, 2H, J = 8.8 Hz, Ph-H), 7.33 (m, 4H, 3Ph-H and 1H, Ar-H), 7.62 (d, J = 8.7 Hz, 2H, Ph-H), 7.71 (d, J = 6.8 Hz, 2H, Ph-H); λmax nm (methanol) 263; EIMS m/z 250 [M+] (calc. using ChemDraw, for C16H14N2O, 250.30); mp 153-154 oC.
3-(p-bromophenyl)-5-(p-N,Ndimethylaminophenyl)-1H-pyrazole (2e)
IR v/cm-1772, 818, 1443, 1522, 1617, 2922, 3219;1H NMR (300 MHz, CDCl3) δ 3.01 (s, 6H, Me2N), 6.70 (s, 1H, NH), 6.76 (d, J = 8.9 Hz, 2H, Ph-H), 7.49 (d, J = 8.9 Hz, 2H, Ph-H), 7.53 (d, J = 8.7 Hz, 2H, Ph-H), 7.54 (s, Ar-H, 1H,), 7.68 (d, J = 8.5 Hz, 2H, Ph-H); λmax nm (methanol) 264, 290; EIMS m/z 341, 343 [M+] (calc. using ChemDraw, for C17H16BrN3, 342.23) mp 204-206 oC.
3-(p-bromophenyl)-5-(p-methoxyphenyl)-1H-pyrazole (3e)
IR v/cm-1772, 830, 1250, 1438, 1512, 1615, 2923, 3229; 1H NMR (300 MHz, CDCl3) δ 3.83 (s, 3H, MeO), 6.69 (s, 1H, NH), 6.89 (d, J = 8.6 Hz, 2H, Ph-H), 7.48 (d, J = 8.4 Hz, 2H, Ph-H), 7.57 (m, 5H, 4Ph-H and 1H, Ar-H); λmax nm (methanol) 264; EIMS m/z 328, 330 [M+] (calc. using ChemDraw, for C16H13BrN2O, 329.19) mp 189-191 oC.
3-(p-nitrophenyl)-5-phenyl-1H-pyrazole (1f)
IR v/cm-1685, 772, 853, 1334, 1458, 1497, 1519, 1602, 2923, 3184; 1H NMR (300 MHz, CDCl3) δ 6.95 (s, 1H, NH), 7.47 (m, 4H, 3Ph-H and 1H, Ar-H), 7.64 (d, J = 7.7 Hz, 2H, Ph-H), 7.99 (d, J = 8.9 Hz, 2H, Ph-H), 8.30 (d, J = 9.0 Hz, 2H, Ph-H); λmax nm (methanol) 256, 309; EIMS m/z 265 [M+] (calc. using ChemDraw, for C15H11N3O2, 265.27); mp 236-238 oC.
3-(p-nitrophenyl)-5-(p-methoxyphenyl)-1H-pyrazole (3f)
IR v/cm-1773, 834, 854, 1254, 1340, 1454, 1518, 1602, 1616, 2923, 3134 1H NMR (300 MHz, CDCl3) δ 3.85 (s, 3H, MeO), 6.84 (s, 1H, NH), 6.96 (d, J = 8.9 Hz, 2H, Ph-H), 7.25 (s, 1H, Ar-H), 7.55 (d, J = 8.9 Hz, 2H, Ph-H), 7.95 (d, J = 8.85 Hz, 2H, Ph-H), 8.26 (d, J = 8.85 Hz, 2H, Ph-H); λmax nm (methanol) 267, 295; EIMS m/z 295 [M+] (calc. using ChemDraw, for C16H13N3O3, 295,29) mp 193-194 oC.
3-(p-nitrophenyl)-5-(furyl)-1H-pyrazole (4f)
IR v/cm-1 773, 853, 1342, 1474, 1509, 1602, 2923, 3240; 1H NMR (300 MHz, CDCl3) δ 6.88 (s, 1H, NH), 6.54 (dd, J = 1.9 Hz, 1H, 4.7, Ar-H), 6.69 (d, J = 4.9 Hz, 1H, Ar-H), 7.26 (1H, overlapped with solvent peak, Ar-H), 7.51 (s, 1H, Ar-H), 7.89 (d, J = 8.8 Hz, 2H, Ph-H), 8.3 (d, J = 8.9 Hz, 2H, Ph-H); λmax nm (methanol) 227, 276; EIMS m/z 255 [M+] (calc. using ChemDraw, for C13H9N3O3, 255.23) mp 218-220 oC.
3-(p-nitrophenyl)-5-(ethenyl-2-phenyl)-1H-pyrazole (5f)
IR v/cm-1772, 854, 1339, 1448, 1516, 1602, 2923, 3155; 1H NMR (300 MHz, CDCl3) δ 6.85 (s, 1H, NH), 6.99 (d, J = 16.0 Hz, 1H, CH), 7.11 (d, J = 16.4 Hz, 1H, CH), 7.37 (m, 4H, 3Ph-H and 1H, Ar-H), 7.50 (d, J = 7.9 Hz, 2H, Ph-H), 7.97 (d, J = 7.9 Hz, 2H, Ph-H), 8.29 (d, J = 7.7 Hz, 2H, Ph-H); λmax nm (methanol) 225, 310; EIMS m/z 291 [M+] (calc. using ChemDraw, for C17H13N3O2, 291.30); mp 216-218 oC.
Spectral data of the intermediate compound (N)
IR v/cm-1691, 751, 772, 850, 1345, 1450, 1493, 1518, 1576, 2923; 1H NMR (300 MHz, CDCl3) δ 3.24 (dd, J = 8.7, 6.6 Hz, 1H), 3.60 (dd, J = 10.7, 16.6 Hz, 1H), 5.44 (m, 1H), 6.28 (dd, J = 7.54, 15.8 Hz, 1H), 6.74 (d, J = 15.8 Hz, 1H), 6.74 (d, J = 15.8 Hz, 1H), 7.41 (d, J = 7.91 Hz, 2H), 7.33 (m, 4H), 7.85 (d, J = 9.0 Hz, 2H), 8.28 (d, J = 9.0 Hz, 2H); λmax nm (methanol) 251, 314; EIMS m/z 294 [M+] (calc. using ChemDraw, for C17H14N2O3, 294.30).
Supplementary Information
The supplementary data with the spectra of (H1 NMR, FTIR, UV-Vis and Mass spectroscopy) is available.
RESULTS AND DISCUSSION
Synthesis
In the present study a series of 2-amino-4,6-diaryl pyrimidines and 3,5-diaryl-1H- pyrazoles, as shown in Scheme 1, have been synthesised using condensation reaction of enones compounds with guanidine hydrochloride and hydrazine sulphate for pyrimidines and pyrazoles respectively, with use of ethanol as solvent and NaOH as catalyst. Ethanol has been chosen because of its safety purpose. The starting materials of enones have been synthesised as described before [21].
The reactions were attempted with an assistance of combination of ultrasound and microwave irradiations subsequently. Ultrasound was used in order to assist solvation of enones compounds in ethanol, and then the reactions were carried out under microwave irradiation. TLC monitoring has shown that the most of the attempted synthesis was completed after twenty minutes.
In general, good to moderate yields were obtained (Table 1 and 2); it is clearly that the poor solubility of enones in ethanol was enhanced via ultrasonic irradiation, whilst microwave irradiation enhanced the reaction rate.
This novel approach provides good yield, fast and safety synthesis.

Scheme 1
Table 1: Yield % and properties of synthetic pyrimidines

| No. | R | Ar | Yield % | Melting point | Colour |
| 1a | H | ![]() |
88 | 192-194 | Yellow |
| 2a | H | ![]() |
64 | 152-153 | Dark-Yellow |
| 3a | H | ![]() |
79 | 150-151 | Dark-Yellow |
| 5a | H | ![]() |
Not observed | ||
| 2b | Br | ![]() |
50 | Above 250 | Light-Brown |
| 3b | Br | ![]() |
50 | 119-120 | Light-Brown |
| 4b | Br | ![]() |
51 | 174-175 | Brown |
| 5b | Br | ![]() |
37 | Above 250 | Brown |
| 2c | NO2 | ![]() |
46 | 187-188 | Brown |
| 3c | NO2 | ![]() |
43 | 153-154 | Brown |
| 5c | NO2 | ![]() |
46 | 177-179 | Dark-Yellow |
Table 2: Yield % and properties of synthetic pyrazoles

| No. | R | Ar | Yield % | Melting point | Colour |
| 1d | H | ![]() |
97 | 186-188 | Dark-Yellow |
| 2d | H | ![]() |
35 | 227-229 | Brown |
| 3d | H | ![]() |
94 | 153-154 | Yellow |
| 2e | Br | ![]() |
23 | 204-206 | Brown |
| 3e | Br | ![]() |
61 | 189-191 | Dark-Yellow |
| 1f | NO2 | ![]() |
23 | 236-238 | Dark-Yellow |
| 2f | NO2 | ![]() |
Not observed | ||
| 3f | NO2 | ![]() |
26 | 193-194 | Brown |
| 4f | NO2 | ![]() |
33 | 218-220 | Brown |
| 5f | NO2 | ![]() |
37 | 216-218 | Brown |
Characterization
The structures of synthetic compounds were elucidated by 1H NMR, EI-MS, FT-IR and UV-Vis spectroscopy. 1H NMR (CD3Cl) has a characteristic singlet at about 5.1 ppm for the pyrimidine NH2 and at about 6.8 ppm for the pyrazole N-H. A singlet at about 7.4 ppm is characteristic H-5 in the pyrimidine ring while the hydrogen H-4 of pyrazole not resolved in the most of the compounds. This resonance shifted to 7.1 ppm when the pyrimidine ring is conjugated with ethene (5b and 5c).
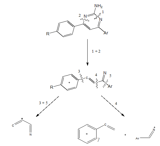
The FTIR spectra of the pyrimidines have both symmetric and assymmetric stretching for the NH2-moiety, while the pyrazoles have a week and broad band for the N-H moiety due to tautomerism. The mass spectra, which carried out using GC-MS, have the required mass for pyrazoles and five out of pyrimidines. Non-resolved pyrimidines have a higher mass, higher melting point and/or higher susceptibility to make hydrogen bond. In pyrimidines the molecular ion has observed as a base beak, the supposed fragmentation ions pathways where shown in Fig. 1.
The most popular ion is a result from the loss of nitrogen 1 with carbon 2 and the NH2 group (pathway 1+2), this fragment has observed in all resolved compounds, which could fragments again through pathways of 3+5 and 4, and these have also observed in the entire of the products. For pyrazoles, mass spectroscopy has shown the molecular ion of all gotten compounds.
The most important recorded ion results from the loss of N2 through pathway 1+3 as shown in fig. 2, this ion has observed in all compounds except those containing bromine, this observation suggest that the loss of bromine in this compounds is much easier than the breakdown of pyrazole ring.
Another fragment ion with mass of 104 has also observed in all compounds, it results from the cleavage through pathway 2+4+5. Moreover, UV-Vis spectra have shown the expected π-π* and n-π* transition of synthetic compounds.

Fig. 1: General eventualities of EI-MS fragmentation pathways of the prepared pyrimidines

Fig. 2: General eventualities of EI-MS fragmentation pathways of the prepared pyrazoles
Reaction mechanism perspective
The guanidine and hydrazine used for heterocyclization are symmetrical; and whatever the reaction goes through conjugate addition to the soft electrophilic site of enone or to the hard one no change in the final product will occur. The hydroxylamine reagent has not this feature, and could give two regioisomers of isoxazole with enones compounds; that thing could bring to the light the preference electrophilic site for heterocyclization at this condition. Herein we have reported identification of two isoxazole intermediates synthesised by this method.
One of these intermediates is 1,5-diphenyl (2E,4E)-pentadien-1-oxime, the characterization of this compound (Scheme 2d) has shown insight chemistry about the reaction mechanism, this compound is the intermediate of the compound a 3-phenyl-5-(ethenyl-2-phenyl)-isoxazole (Scheme 2a).
The characterization using EI-MS provides a mass of 249 which is slightly higher than the mass of the final compound of 247, it is equal to the mass of dihydroisoxazole (Scheme 2b); but the IR has shown incompatible spectra with a broad band at OH region. There are only two possible intermediates with OH group (Scheme 2c and d) result of direct or conjugate addition respectively. The intermediate d have a molecular weight higher than the estimated one, therefore the product must be the intermediate c

Scheme 2
This observation has been supported by 1H NMR and UV-Vis spectra. The UV-Vis spectroscopy gives two λmax at 254 and 321 nm due to π-π* and n-π*. The 1H NMR spectra have shown the multiple bands of ten phenyl protons at the region of 7.27-7.65 ppm. The remaining five protons are more interested, the integration has shown three protons in the unsaturated region and two in the saturated one (fig. 3, the part A in Hz is at unsaturated region).
However, Four protons were expected to be found at the unsaturated region, this insuper-paradox is the point of matter, the more deshielded proton a 7.19 (d, 1H, J =15.64) ppm has coupled with proton b 6.61 (dd, J= 10.74, 15.64) ppm (fig. 3A). Proton b has also coupled with proton c 6.98 (dd, 0.74 H, J =10.74, 15.45) ppm. Proton d 6.66 (d, J =15.45) ppm has coupled with proton c, and overlapped with proton b, their bands have been illustrated with two circles as shown in fig. 3A. The highly observation herein is that the NMR feels quantitatively with three protons instead of four! And proton e 3.64 (s, 0.46 H) ppm of the OH group appears as a half of proton. 1.5 proton has missed out!? The loss of area under peak occurred at protons e, c and d is very reasonable, as these protons are the site of heterocyclization to produce the dihydroisoxazole (Scheme 2b). The first triplet and overlapped double doublet peak (fig. 3B) is due to formation of the diastereotopic protons d’ and the last multiple pand due to appearance of the proton c’.

Fig. 3: Interested parts of 1H NMR of 1,5-diphenyl (2E,4E)-pentadien-1-oxime

These results suggest that these heterocycles produced by direct addition to the hard nucloephiclic site of enone. The heterocyclization to the dihydroisoxazole or unsaturated form in general is a reversible, and/or could present in two forms (Scheme 3a) with special focus to C3; the lowest electrophilicity the more oxime product and vice versa. This has shown the obvious role of the structural feature of the enone in determination of the final product.
The above result was consistent with the product of heterocyclization of the enone shown in Scheme 3b, the only the product of direct addition has observed, this intermediate compound has well characterized by 1H NMR, MS, IR and UV-Vis spectra. The formation of this compound also proves that the reaction is carried out through direct addition to carbonyl group of enone, as well as the importance role of the structural features of starting material.
CONCLUSION
To conclude, this work have described the synthesis of a series of 2-amino-4,6-diaryl pyrimidines and 3,5-diaryl-1H- pyrazoles, in moderate to good yield, using a novel approach of combining ultrasound and microwave irradiation to overcome solubility constraints, low yields and long reaction times. Moreover, the isolated intermediates compounds have shown that the attempted reactions in this protocol were underwent by direct addition to hard electrophilic site of enone.
ACKNOWLEDGMENT
Amin is a gratefully thanks the staff of organic section at Department of Chemistry, University of the Free State, with particular thanks to Dr. Anwar Nor Aljaleel, Dr. Pravin Kendrekar and Dr. Linette Twigge for kind and appreciated collaboration and help during my work among Prof. Van der Westhuizen.
REFERENCES