
Department of Pharmaceutical Science, Jayoti Vidyapeeth Women’s University, Jaipur
Email: shrivastava.shobhit@gmail.com
Received: 10 Oct 2022, Revised and Accepted: 14 Dec 2022
ABSTRACT
Objective: Synthesis and in vitro antimicrobial screening of 2,6-diaminopyridine Schiff bases of isatin derivatives.
Methods: Isatin and it’s 5-substituted derivatives (S1-5) were prepared by Sandmeyer method and N2-Benzylidenepyridine-2,6-Diamine (M) was obtained by the reacting 2,6-diaminopyridine with benzaldehyde. Schiff bases (MS1-5) were prepared by reacting isatin derivatives (S1-5) with N2-Benzylidenepyridine-2,6-Diamine (M). Resultant compound structures were confirmed by some analytical techniques’ data. All synthesized compound were screened for in vitro antimicrobial activity by broth dilution methods against Staphylococcus aureus (MTCC-3160), Bacillus subtilus (MTCC-441), Escherichia coli (MTCC-452), Klebsiella pneumoniae (MTCC-432), Candida albicans (MTCC-183), Aspergillus flavus (MTCC-277) using ciprofloxacin and fluconazole as standard drugs.
Results: All compounds exhibited better antibacterial activity compared to standard. Among all compounds, MS2 and MS4 were found most effective against all strains of bacteria. Only MS3 and MS5 showed antifungal activity against both fungal strains.
Conclusion: All newly synthesized Schiff bases of isatin showed significant antibacterial activity against the tested strain of bacteria, only a few compounds were found effective as antifungal.
Keywords: Isatin, Schiff base, Antimicrobial activity, 2,6-diaminopyridine
© 2023 The Authors. Published by Innovare Academic Sciences Pvt Ltd. This is an open access article under the CC BY license (https://creativecommons.org/licenses/by/4.0/)
DOI: https://dx.doi.org/10.22159/ijcpr.2023v15i1.2071 Journal homepage: https://innovareacademics.in/journals/index.php/ijcpr
Microbial resistance against the antimicrobial agents kindles the researcher to arouse the search of new antimicrobial agents. Isatin was reported an endogenous compound [1] and disclosed its role in chemotherapy of infectious microbes [2]. Schiff bases reported enormous promising applications in chemical biology. Schiff bases of isatin were accounted for their broad spectrum activity viz. antimicrobial [3-7], anti HIV [3], anti-inflammatory [8], analgesic [8, 9], anticonvulsant [10], anticancer [11, 12] and anti-tuberculosis activity [13, 14]. As per literature in isatin Position C-5 with electron-donating and withdrawing groups were more favaourable for its biological activity. Along with this another substitution at C-3 with aromatic and heterocyclic rings has been reported with antimicrobial profiles. In recent years, derivatives of 2,6-diaminopyridine with aldehydes were reported for their antimicrobial activity [15-20], cytotoxic activity [19] and, anticancer activity [21], DNA binding activity [19]. Prompted by these, in this article a new series of Schiff bases of isatin/substituted isatin with 2,6-diaminopyridine has been reported. All synthesized compounds were characterized and investigated for their antimicrobial activity against some pathogenic gram+ve, gram–ve bacteria and fungus.
Chemicals were procured from CDH, Chemcho and SRL used without further purification. Melting points were determined by open capillary tube apparatus and are uncorrected. Purity of the compound was checked by TLC on pre-coated SiO2 gel (HF254, 200 Mesh) using chloroform: methanol (9:1) and spots were visualized by iodine vapour. IR spectra were recorded on JASCO FTIR 460+ using KBr dispersion diffuse reflectance technique. 1H NMR Spectra were recorded on 400 MHzJEOL JNM ECS 400 using DMSO-d6 solvent and tetramethylsilane (Me4Si) as internal standard. All spectra were consistent with the assigned structure. The physio-chemical data was presented in table 1.
Method for synthesis
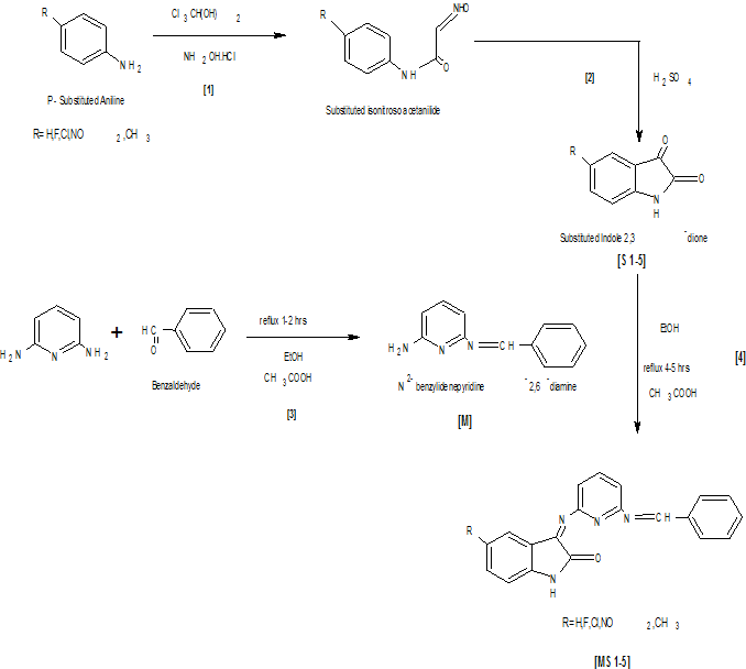
General method of isatin/5-substituted isatin (S 1-5) (Sandmeyer method) [22]
It was prepared by reported method, in which aniline/substituted aniline (0.05 mol) was treated with chloral hydrate (0.05 mol) and sodium sulphate (0.05 mol) in presence of hydroxylamine hydrochloride to get desired isonitrosoacetanilide [1]. Then this intermediate was carried to cyclization to form substituted isatin by the help of sulphuric acid, re-crystallize with suitable solvent [2].
Preparation of N2-Benzylidenepyridine-2, 6-Diamine (M) [23]
Compound was prepared as per literature by refluxing equimolar (2 mmol) quantity of 2,6-diaminopyridine and benzaldehyde in ethanol using few ml of glacial acetic acid for 2 h. Purity was compound was checked by TLC using chloroform: methanol (9:1). Cool the resulting mixture and filtered the solid obtained, re-crystallized it with methanol to get pure product [3].
General method for synthesis of Schiff base: [24] (MS 1-5)
Equimolar quantity of N2-benzylidenepyridine-2,6-Diamine and isatin/5-substituted isatin (2 mmol) was taken in 25 ml ethanol containing 1 ml of glacial acetic acid. Resulting mixture was refluxed on steam bath for 4-5 h and then cooled at room temperature. Reaction was monitored by TCL using chloroform: methanol (9:1). Solid was obtained by filtration and washed with cold ethanol, dried in air and then re-crystallized from a suitable solvent [4].
Antimicrobial activity
The antimicrobial screening of all synthesized compounds was done by using the broth dilution technique. All compounds were investigated against two gram-positive, two gram negative bacteria and two pathogenic fungus, viz. Staphylococcus aureus (MTCC-3160), Bacillus subtilus(MTCC-441), Escherichia coli (MTCC-452), Klebsiella pneumoniae (MTCC-432), Candida albicans (MTCC-183), Aspergillus flavus (MTCC-277) using ciprofloxacin and fluconazole as standard drugs. Both standard and tested compounds were dissolved in dimethyl sulphoxide (DMSO) and diluted to get 100, 50, 25, 12.5, 6.25 µg/ml. To each tube i.e. test and standard, 9 ml of sterile broth nutrient after seeding with microbes was added; followed by 1 ml of test and standard solution of different concentrations. Negative and Positive control tubes were also prepared by taking sterile nutrient broth only and nutrient broth with microbes, respectively. All tubes were incubated at 37 °C for 24 h to observe the antimicrobial activity. After 24 h lowest concentration of the substance was recorded as the MIC value that showed no visible turbidity.
Schiff bases of isatin/substituted isatin with N2-Benzylidenepyridine-2, 6-Diamine
MS1: 3-{[6-(benzylideneamino)pyridin-2-yl]imino}-1,3-dihydro-2H-indol-2-one: yield 72%, M. P. 295-298 °C; IR (KBr, cm-1): 3372 (v, N-H), 3024 and 3061 (v, C=CH), 2922 (v, CH Ar), 1723 (v, C=O), 1603 (v, CH=N), 1449 (v, C=C Ar), 1185 (v, C-F); 1H NMR (DMSO-d6, 400MHz): δ 6.63-7.24 (8H, m Ar), 7.12-7.79 (3H, m, Pyri), 8.38 (1H, s CH=N), 10.89 (1H, s, NH).
MS2: 3-{[6-(benzylideneamino)pyridin-2-yl]imino}-5-fluoro-1,3-dihydro-2H-indol-2-one: yield 78%, M. P. 285-288 °C; IR (KBr, cm-1): 3363 (v, N-H), 3200 and 3237 (v, C=CH), 3027 (v, CH Ar), 1718 (v, C=O), 1607 (v, CH=N), 1483 (v, C=C Ar), 1185 (v, C-F); 1H NMR (DMSO-d6, 400MHz): δ 6.25-7.16 (8H, m, Ar), 7.11-7.26 (3H, m, Pyri), 8.39 (1H, s, CH=N), 10.52 (1H, s, NH).
MS3: 3-{[6-(benzylideneamino)pyridin-2-yl]imino}-5-chloro-1,3-dihydro-2H-indol-2-one: yield 66%, M. P. 265-268 °C; IR (KBr, cm-1): 3369 (v, N-H), 3208 (v, C=CH), 3024 (v, CH Ar), 1721 (v, C=O), 1606 (v, CH=N), 1454 (v, C=C Ar), 702 (v, C-Cl); 1H NMR (DMSO-d6, 400MHz): δ 6.74-7.52 (8H, m, Ar), 7.29-7.59 (3H, m, Pyri), 8.42 (1H, s, CH=N), 11.09 (1H, s, NH).
MS4: 3-{[6-(benzylideneamino)pyridin-2-yl]imino}-5-nitro-1,3-dihydro-2H-indol-2-one: yield 73%, M. P. 278-280 °C; IR (KBr, cm-1): 3333 (v, N-H), 3228 and 3101 (v, C=CH), 3024 (v, CH Ar), 1749 (v, C=O), 1605 (v, CH=N), 1456 (v, C=C Ar), 1517 and 1336 (v, C-NO2); 1H NMR (DMSO-d6, 400MHz): δ 6.83-7.50 (8H, m, Ar), 8.17-8.40 (3H, m, Pyri), 8.42 (1H, s, CH=N), 11.62 (1H, s, NH).
MS5: 3-{[6-(benzylideneamino)pyridin-2-yl]imino}-5-methyl-1,3-dihydro-2H-indol-2-one: yield 69%, M. P. 245-248 °C; IR (KBr, cm-1): 3375 (v, N-H), 3061 and 3024 (v, C=CH), 2912 (v, CH Ar), 1719 (v, C=O), 1616 (v, CH=N), 1454 (v, C=C Ar); 1H NMR (DMSO-d6, 400MHz): δ 2.21 (3H, s, CH3) 6.78-7.28 (8H, m, Ar), 7.15-7.88 (3H, m, Pyri), 8.89 (1H, s, CH=N), 10.89 (1H, s, NH).

Scheme 1: Synthesis of schiff bases
Table 1: Physio-chemical properties of the compounds
| S. No. | Compound | R | Molecular formula | M. P. (°C) | % Yield | Rf Value |
| 1 | MS1 | H | C20H14N4O | 295-298 | 72% | 0.69 |
| 2 | MS2 | F | C20H13FN4O | 285-288 | 78% | 0.79 |
| 3 | MS3 | Cl | C20H13ClN4O | 265-268 | 66% | 0.82 |
| 4 | MS4 | NO2 | C20H13N5O3 | 278-280 | 73% | 0.75 |
| 5 | MS5 | CH3 | C21H16N4O | 245-248 | 69% | 0.66 |
Table 2: In vitro antibacterial activities of synthesized compounds in opposition to selected strains (MICs in μg/ml)
| S. No. | Compound | MIC in µg/ml | |||
| S. aureus | B. subtilis | E. coli | K. pneumoniae | ||
| 1 | MS 1 | 12.5 | 25 | 25 | 12.5 |
| 2 | MS 2 | 12.5 | 12.5 | 12.5 | 6.2 |
| 3 | MS 3 | 25 | 25 | 12.5 | 6.2 |
| 4 | MS 4 | 12.5 | 25 | 12.5 | 12.5 |
| 5 | MS 5 | 12.5 | 25 | 25 | 12.5 |
| 6 | Ciprofloxacin | 6.2 | 12.5 | 6.2 | 6.2 |
Table 3: In vitro antifungal activities of synthesized compounds in opposition to selected strains (MICs in μg/ml)
| S. No. | Compound | MIC in µg/ml | |
| C. albicans | A. niger | ||
| 1 | MS1 | 12.5 | 50 |
| 2 | MS2 | 12.5 | 50 |
| 3 | MS3 | 25 | 25 |
| 4 | MS4 | 12.5 | 50 |
| 5 | MS5 | 12.5 | 25 |
| 6 | Fluconazole | 6.2 | 12.5 |
All compounds were investigated for their antimicrobial activity and results are shown in table 2 and table 3 for antibacterial and antifungal, respectively. MIC values were determined as the lowest concentration that completely inhibited visible growth of the microorganism. All synthesizedcompounds showed varying activity against the tested microorganism. Results revealed that all compounds expressed significant, mild to moderate activity against the tested microorganisms. Compound MS2 (3-{[6-(benzylideneamino) pyridin-2-yl]imino}-5-fluoro-1,3-dihydro-2H-indol-2-one) and MS4 3-{[6-(benzylideneamino)pyridin-2-yl]imino}-5-nitro-1,3-dihydro-2H-indol-2-one showed significant activity against both gram-positive and negative bacteria. MS4 Compound showed two time more MIC value against most bacteria strain compared to standard. Compound MS2 and MS3 (MIC 6.2 µg/ml) exhibited equipotent antibacterial activity against K. pneumonia, compared to standard drug ciprofloxacin (MIC 6.2 µg/ml). Compound MS1, MS4 and MS5 showed equal potency against the K. pneumonia. Compounds MS2, MS3 and MS4 exhibited good antimicrobial activity against the E. coli while MS1 and MS5 showed mild potency for the same. Compounds MS2 showed equal potency against B. subtilis as compared to the reference drug ciprofloxacin. MS1, MS2, MS4 and MS5 exhibited the similar MIC value i.e. 12.5 µg/ml, against the S. aureus. Only compound MS3 and MS5 showed just two times more MIC value against A. niger as compared to standard. From antifungal activity, it was observed that newly synthesized isatin derivatives are more active in opposition to C. albicans as compared to A. niger.
Present study reported a new Schiff bases of isatin/substituted isatin with N2-benzylidenepyridine-2, 6-Diamine. New synthesized Schiff bases were screened in vitro for their antimicrobial activity against some pathogenic strain of bacteria and fungus. Compound MS2 and MS4 showed significant activity against most gram+ve and gram–ve bacteria. All compound showed activity antifungal activity against C. albicans. Only MS3 and MS5 compound exhibited good antifungal activity against A. niger. All newly synthesized Schiff bases were more active against tested bacteria than fungus.
Nil
All the authors have contributed equally.
Declared none
Glover V, Halket JM, Watkins PJ, Clow A, Goodwin BL, Sandler M. Isatin: identity with the purified endogenous monoamine oxidase inhibitor tribulin. J Neurochem. 1988;51(2):656-9. doi: 10.1111/j.1471-4159.1988.tb01089.x, PMID 3392550.
Delabre Defayolle I, Sarciron ME, Aodin P, Gabrion C, Duriez T, Paris J. Echinococcus muttilocularis metacestodes: biochemical and ultrastructural investigations on the effect of isatin (2-3 indolinedione) in vivo. J Antimicro Chemoth. 1989;23:237-45.
Pandeya SN, Sriram D, Nath G, de Clercq E. Synthesis, antibacterial, antifungal and anti-HIV evaluation of Schiff and mannich bases of isatin and its derivatives with triazole. Arzneimittelforschung. 2000;50(1):55-9. doi: 10.1055/s-0031-1300164, PMID 10683717.
Sridhar SK, Saravanan M, Ramesh A. Synthesis and antibacterial screening of hydrazones, schiff and mannich bases of isatin derivatives. Eur J Med Chem. 2001;36(7-8):615-25. doi: 10.1016/s0223-5234(01)01255-7, PMID 11600231.
Prakash CR, Raja S, Selvam TP, Saravanan G, Karthick V, Kumar PD. Synthesis and antimicrobial activities of some novel schiff bases of 5-substituted isatin derivatives. Rasayan J Chem. 2009;2(4):960-8.
Karki SS, Kulkarni AA, Thota S, Nikam S, Kamble AS, Dhawale ND. Synthesis, antimicrobial screening and beta-lactamase inhibitory activity of 3-(3-chloro-4-Fluorophenylimino) indolin-2-on and 5-chloro indolin-2-on derivatives. Turk J Pharm Sci. 2012;9(3):353-8.
Sing UK, Pandey SN, Jindal S, Pande M, Srivastava BK, Singh A. Synthesis and antimicrobial activity of schiff’s and mannich bases of 1H-indole-2,3-dione derivatives. Pharm Chem. 2010;2(2):392-9.
Sridhar SK, Ramesh A. Synthesis and pharmacological activities of hydrazones, schiff and mannich bases of isatin derivatives. Biol Pharm Bull. 2001;24(10):1149-52. doi: 10.1248/bpb.24.1149, PMID 11642321.
Chinnasamy RP, Sundararajan R, Govindaraj S. Synthesis, characterization, and analgesic activity of novel schiff base of isatin derivatives. J Adv Pharm Technol Res. 2010;1(3):342-7. doi: 10.4103/0110-5558.72428, PMID 22247869.
Verma M, Pandeya SN, Singh KN, Stables JP. Anticonvulsant activity of schiff bases of isatin derivatives. Acta Pharm. 2004;54(1):49-56. PMID 15050044.
Aboul Fadl T, Radwan AA, Attia MI, Al-Dhfyan A, Abdel-Aziz HA. Schiff bases of indoline-2,3-dione (isatin) with potential antiproliferative activity. Chem Cent J. 2012;6(1):49. doi: 10.1186/1752-153X-6-49, PMID 22647272.
Gudipati R, Anreddy RNR, Manda S. Synthesis, characterization and anticancer activity of certain 3-{4-(5-mercapto-1,3,4-oxadiazole-2-yl)phenylimino}indolin-2-one derivatives. Saudi Pharmaceutical Journal. 2011;19(3):153-8. doi: 10.1016/j.jsps.2011.03.002.
Karalı N, Gursoy A, Kandemirli F, Shvets N, Kaynak FB, Ozbey S. Synthesis and structure-antituberculosis activity relationship of 1H-indole-2,3-dione derivatives. Bioorg Med Chem. 2007;15(17):5888-904. doi: 10.1016/j.bmc.2007.05.063, PMID 17561405.
Sriram D, Aubry A, Yogeeswari P, Fisher LM. Gatifloxacin derivatives: synthesis, antimycobacterial activities, and inhibition of mycobacterium tuberculosis DNA gyrase. Bioorg Med Chem Lett. 2006;16(11):2982-5. doi: 10.1016/j.bmcl.2006.02.065, PMID 16554151.
Sathya R, Xavier A. Antimicrobial studies of newly synthesized transition metal complexes using Schiff base ligand (E)-N2–(furan-2-ylmethylene) pyridine 2,6-diamine. Int J Cu Res. 2018;10(08):72833-42.
Ali OAM, El-Medani SM, Ahmed DA, Nassar DA. Synthesis, characterization, fluorescence and catalytic activity of some new complexes of unsymmetrical Schiff base of 2-pyridinecarboxaldehyde with 2,6-aminopyridine. Spectrochim Acta A Mol Biomol Spectrosc. 2015;144:99-106. doi: 10.1016/j.saa.2015.02.078, PMID 25748987.
Surabhi AK, Pradeepkumar K. Syntheses and characterization of fluorescent schiff bases and their copper complexes from salicylaldehyde. J Appl Chem (IOSR-JAC). 2016;9(11):11-8.
Singh DP, Malik V, Kumar K, Sharma C, Aneja KR. Macrocyclic metal complexes derived from 2,6-diaminopyridine and isatin with their antibacterial and spectroscopic studies. Spectrochimica Acta Part A: Molecular and Biomolecular Spectroscopy. 2010;76(1):45-9. doi: 10.1016/j.saa.2010.02.044.
AlZamil NO. Synthesis, DFT calculation, DNA-binding, antimicrobial, cytotoxic and molecular docking studies on new complexes VO(II), Fe(III), Co(II), Ni(II) and Cu(II) of pyridine schiff base ligand. Mater Res Express. 2020;7(6):065401. doi: 10.1088/2053-1591/ab95d6.
Kandile NG, Mohamed MI, Ismaeel HM. Synthesis of new schiff bases bearing 1,2,4-triazole, thiazolidine and chloroazetidine moieties and their pharmacological evaluation. J Enzyme Inhib Med Chem. 2017;32(1):119-29. doi: 10.1080/14756366.2016.1238365, PMID 27766903.
Farhan LK, Awad MA, Kshash AH. Synthesis, characterization and evaluation of anticancer activity of Fe(III), Co(II), Ni(II) and Cu(II) complexes derived from heterocyclic schiff bases ligands. J Pharm Sci Res. 2019;11(4):1577-81.
Isatin synthesis organic syntheses. Collect. 1963;1-9:553.
Manchanda D, Sidhu A, Gumber K, Kaur J. Synthesis and antifungal potential of some transition metal complexes of tridentate N2-Benzylidenepyridine-2,6-diamine. Int J Chem Stu. 2017;5(2):455-9.
Haj Mohammad Ebrahim Tehrani KHME, Hashemi M, Hassan M, Kobarfard F, Mohebbi S. Synthesis and antibacterial activity of schiff bases of 5-substituted isatins. Chin Chem Lett. 2016;27(2):221-5. doi: 10.1016/j.cclet.2015.10.027.