
1Faculty of Pharmacy, Dharamsinh Desai University, Nadiad-387001, Gujarat, India. 2Department of Pharmacology, L.J. Institute of Pharmacy, LJ University, Ahmedabad, Gujarat, India. 3L.M. College of Pharmacy, Ahmedabad-380009, Gujarat, India
*Corresponding author: Mansi Shah; *Email: mansi.shah2809@gmail.com
Received: 20 Sep 2024, Revised and Accepted: 28 Oct 2024
ABSTRACT
Objective: The study aimed to determine the biological activity of various novel tetracycline hybrids using way 2 drug platform's online pass software.
Methods: Novel structures were designed computationally by hybridization of 9-amino tetracycline with various phyotchemicals using various covalent linkers and prediction of biological activity was done using online pass software.
Results: The study investigated showed the antibacterial activity of almost all hybridized tetracycline compounds. The PASS predictions suggested that modifications at the 9th position of tetracycline with various phytochemicals enhanced the antibacterial activity or retained the antibacterial activity for several of the designed structures when compared with standard tetracycline.
Conclusion: With an alarming increase of antibiotic resistance, we must identify ways to combat these diseases. This work implies that combining antimicrobials with phytochemicals can create new antimicrobial-photochemical conjugates, potentially addressing antimicrobial resistance in bacteria. Tetracycline hybrids can be used in the future to produce many more hybrids, potentially embarking in a new era of medicine research.
Keywords: Tetracycline hybrids, Hybridization, PASS software
© 2024 The Authors. Published by Innovare Academic Sciences Pvt Ltd. This is an open access article under the CC BY license (https://creativecommons.org/licenses/by/4.0/)
DOI: https://dx.doi.org/10.22159/ijcpr.2024v16i6.6011 Journal homepage: https://innovareacademics.in/journals/index.php/ijcpr
Diseases caused by microbial infections are the second leading cause of mortality globally, following heart attacks. Approximately 700,000 deaths are anticipated annually owing to drug-resistant microorganisms, a fig. that may escalate to 10 million by 2050 [1]. The growth of multidrug-resistant (MDR) microorganisms coincides with a decrease in antibiotic development. Antimicrobial-resistant (AMR) microorganisms pose a concern to human health, according to the U. S. Centers for Disease Control and Prevention (CDC) and World Health Organization (WHO) [2]. In the early stages of antibiotic use, diseases caused by bacteria were thought to be manageable. However, the development of antibiotic-resistant infections, especially multidrug-resistant forms, has been accelerated by the extensive use of antibiotics. The transmission of resistance characteristics is happening at a rapid pace, especially in healthcare settings where different bacteria are constantly interacting with each other, as example, nosocomial antibiotic resistance can spread to nearby communities because bacteria share resistance genes [3]. Common genetic mechanisms for bacterial resistance include altering or over-expressing antibiotic targets, reducing intracellular antibiotic concentration through efflux systems or mechanisms, and expressing enzymes that deactivate antibiotics [4].
In February 2017, the World Health Organization (WHO) published a list of pathogens for which novel antimicrobial agents are urgently needed. Within this broad list, ESKAPE (Enterococcus faecium, Staphylococcus aureus, Klebsiella pneumoniae, Acinetobacter baumannii, Pseudomonas aeruginosa, and Enterobacter species) pathogens were assigned "priority status". ESKAPE pathogens have developed resistance mechanisms against various antibiotics, including oxazolidinones, lipopeptides, macrolides, fluoroquinolones, tetracyclines, β-lactams, β-lactam–lactamase inhibitor combinations, carbapenems, glycopeptides, and clinically unfavorable polymyxins, through genetic mutation and the acquisition of mobile genetic elements [2, 5]. The escalating antimicrobial resistance throughout history, coupled with the advancement of pharmaceuticals, underscores the pressing necessity for the discovery and development of novel and effective medications capable of either eradicating or inhibiting microbial growth within the host organism [6].
Amongst the various approaches, one of the approaches is to modify the structure of current antibiotics by hybridization. Hence, antibiotic hybrids can be successfully developed without the need to establish new biological targets or identify antibacterial pharmacophores. This method combines many antibiotics that block different bacterial targets into a single molecule. Hybrid compounds block many targets concurrently, enhancing efficacy against drug-resistant strains, widening the spectrum of activity, and reducing the risk of bacterial resistance [7-11].
Tetracycline antibiotics are well known for their broad spectrum of activity, spanning a wide range of g-positive and g-negative bacteria, spirochetes, obligate intracellular bacteria, as well as protozoan parasites. Amongst the tetracyclines, the semi-synthetic derivatives methacycline, rolitetracycline, lymecycline, doxycycline and minocycline showed improved antimicrobial potency and resistance coverage. They have been used to treat uncomplicated respiratory, urogenital, gastrointestinal, and other rare and serious infections. However, the continued utility of all generations of tetracycline antibiotics is threatened by the emergence of resistance mechanisms by various tetracycline-inactivating enzymes [12]. A few of the tetracycline hybrids (Tetracycline-amino acid conjugates) have been reported by Usai et al. based on the click chemistry approach, which exhibited exceptional potency against TetR (Tet repressor protein), which mediated tetracycline resistance [13].
Natural products have a significant role in therapeutic research, particularly for infections, cancer, and immunosuppressive substances. Natural items have a limited quantity, but millions of hybrids can be created by combining pieces of different natural products. This approach has been a promising approach for developing leads for pharmaceutical and agrochemical applications, as numerous novel hybrids exhibit higher biological activity than their parent chemicals. Compared to combinatorial chemistry, this technique offers greater diversity and biological activity in hybrids [14].
The way 2 drug platform's online PASS software (version 2023) is used to predict the biological antibacterial activity spectrum of the novel tetracycline hybrid compounds. The chemical structures of the compounds under study has to be entered as SMILES structures into an online program and processed using a Bayesian algorithm to get the biological activity spectra. The software leverages training data to achieve excellent prediction accuracy. The biological activity spectrum is evaluated by analyzing the substance's chemical structure against a training sample and displaying the results as an ordered list of predicted activities [15-17].
The prediction results are provided as predicted activities and corresponding probabilities as Pa (to be active) and Pi (to be inactive), ranging from 0 to 1. When the Pa>Pi, the activity is probable for the compound. Pa>0.7 means in an experiment the chance of finding the predicted activity is high. When Pa<0.5, the chance of finding the predicted activity in an experiment is low; however, it also means that there is a chance of finding a structurally new compound. Between those values, which are 0.5<Pa<0.7, the probability of finding the activity in an experiment is less since the compound is not similar to known pharmaceuticals. Therefore, the higher Pa values increase the chance to find the activity experimentally; also indicate the compound is similar to known pharmaceutical agents [18-22].
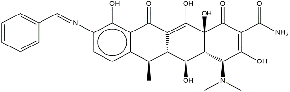
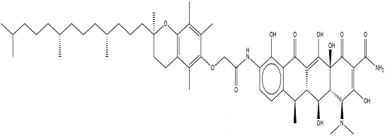
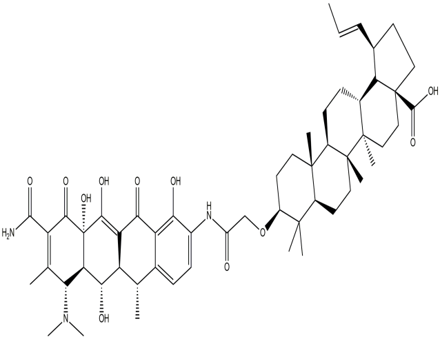
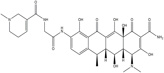
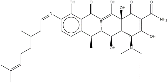
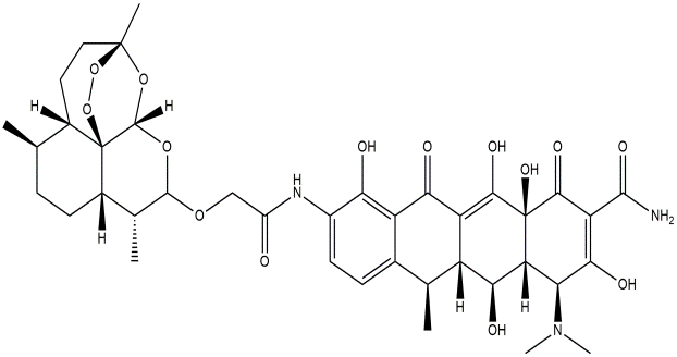
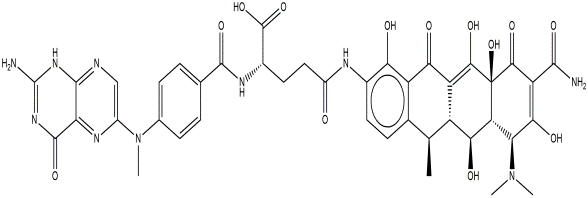
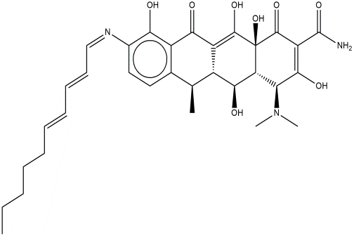
Literature has been reported that modification at the 9th position enhances the antibacterial activity of tetracyclines [23]. In the present study, novel tetracycline hybrid compounds have been designed by linking the tetracycline moiety with various phytoconstituents at the 9th position of tetracycline and computational screening of designed library of compounds had been undertaken using Way2drug PASS online software to predict the biological activity of the novel designed compounds.
MATERIALS AND METHODS
Simplified molecular input line entry specification (SMILES) generation for the compounds
A SMILE is an ASCII string which is used to represent the chemical structure of the compound. SMILES strings of all the hybrid compounds were generated by using ChemDraw Ultra 12.0.
In silico prediction using PASS
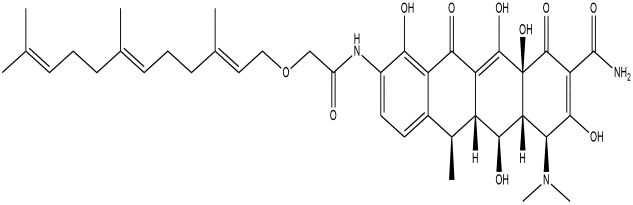
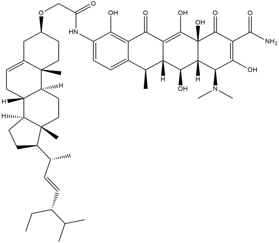
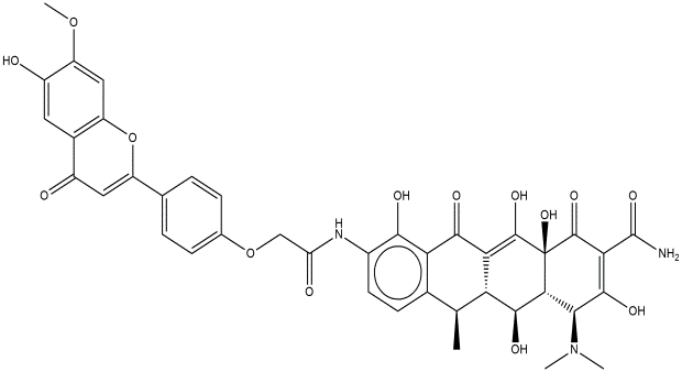
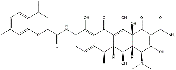
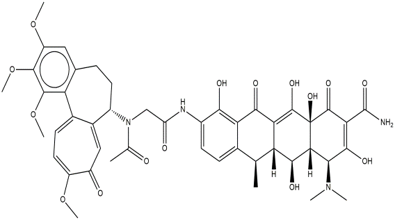
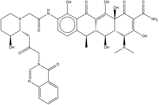
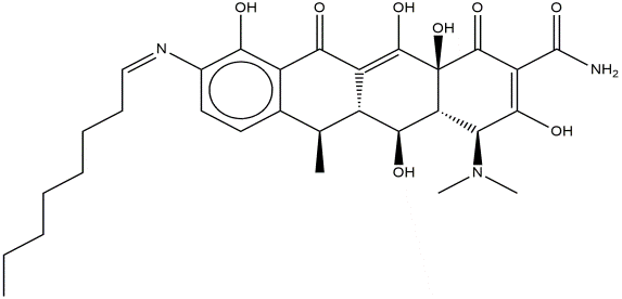
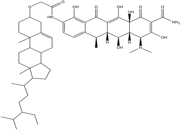
Based upon the literature reviewed and several photochemical components availability, several compounds with novel structure were predicted using PASS Prediction software [24], wherein a 9-amino tetracycline was covalently linked to a photochemical either directly or using a small linker based upon the functional groups present.
According to PASS prediction, the biological activity of tetracycline and tetracycline hybrid compounds have been predicted. Pa and Pi values have been reported for antibacterial activity of various proposed hybrids.
Table 1: Prediction of antibacterial activity of tetracycline and tetracycline hybrids based on PASS software
| S. No. | Antibiotic/Phytoconstituent/Hybrid compound | Chemical structure | Antibacterial activity | |
| Pa | Pi | |||
| Tetracycline | ![]() |
0,642 | 0,007 | |
| Terpenoids | ||||
| Tetracycline+Abietic acid | ![]() |
0,596 | 0,009 | |
Tetracycline+ Betulin |
![]() |
0,612 | 0,008 | |
| Tetracycline+bisabolol | ![]() |
0,759 | 0,003 | |
| Tetracycline+Borneol | ![]() |
0,734 | 0,004 | |
| Tetracycline+Carvacrol | ![]() |
0,697 | 0,005 | |
| Tetracycline+carveol | ![]() |
0,777 | 0,003 | |
Tetracycline+dihydro Artemisinin |
![]() |
0,578 | 0,010 | |
| Tetracycline+eugenol | ![]() |
0,713 | 0,004 | |
| Tetracycline+Farnesol | ![]() |
0,772 | 0,003 | |
| Tetracycline+geraniol | ![]() |
0,772 | 0,003 | |
| Tetracycline+linalool | ![]() |
0,742 | 0,003 | |
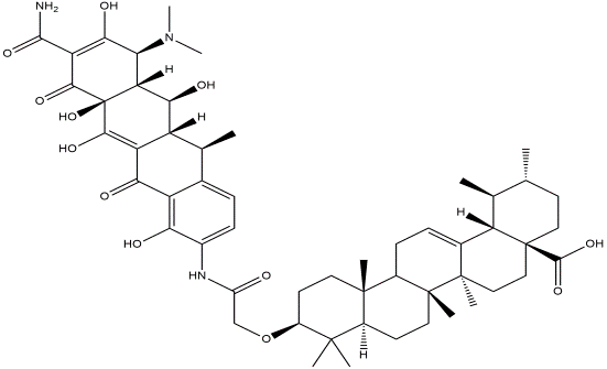
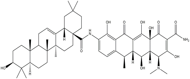
| Tetracycline+Lupeol | ![]() |
0,669 | 0,005 | |
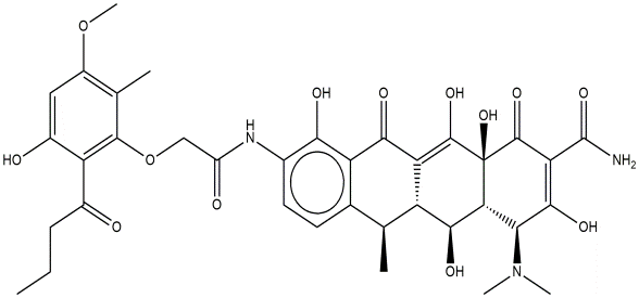
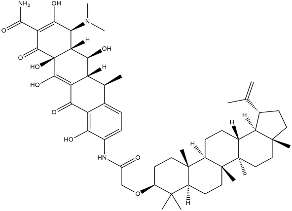
| Tetracycline+oleanolic acid 1 | ![]() |
0,621 | 0,008 | |
| Tetracycline+oleanolic acid 2 | ![]() |
0,640 | 0,007 | |
| Tetracycline+Sitosterol | ![]() |
0,669 | 0,005 | |
| Tetracycline+Stigmasterol | ![]() |
0,597 | 0,009 | |
| Tetracycline+terpeniol | ![]() |
0,700 | 0,005 | |
| Tetracycline+thymol | ![]() |
0,705 | 0,004 | |
| Tetracycline+ursolicacid 1 | ![]() |
0,592 | 0,009 | |
| Tetracycline+ursolic acid 2 | ![]() |
0,647 | 0,006 | |
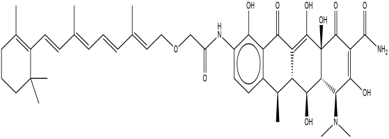
| Tetracycline+zeaxanthin | ![]() |
0,757 | 0,003 | |
| Tannins | ||||
| Tetracycline+Betulinic acid | ![]() |
0,639 | 0,007 | |
Tetracycline+chlorogenic acid 1 |
![]() |
0,810 | 0,002 | |
Tetracycline+chlorogenic acid 2 |
![]() |
0,793 | 0,002 | |
| Tetracycline+Ellagic Acid | ![]() |
0,735 | 0,004 | |
| Tetracycline+Gallic Acid 1 | ![]() |
0,724 | 0,004 | |
| Tetracycline+Gallic Acid 2 | ![]() |
0,729 | 0,004 | |
| Tetracycline+Gallic acid 3 | ![]() |
0,585 | 0,010 | |
| Alkaloids | ||||
| Tetracycline+piperic acid | ![]() |
0,741 | 0,004 | |
| Tetracycline+Ajmaline | ![]() |
0,518 | 0,015 | |
| Tetracycline+Belladine | ![]() |
0,585 | 0,010 | |
| Tetracycline+evocarpine | ![]() |
0,665 | 0,006 | |
| Tetracycline+Berberine | ![]() |
0,679 | 0,005 | |
| Tetracycline+Colchicine | ![]() |
0,603 | 0,009 | |
| Tetracycline+Coniine | ![]() |
0,619 | 0,008 | |
| Tetracycline+Febrifugine | ![]() |
0,459 | 0,021 | |
| Tetracycline+Arecoline | ![]() |
0,618 | 0,008 | |
| Tetracycline+Guvacine | ![]() |
0,669 | 0,005 | |
| Tetracycline+Morphine | ![]() |
0,514 | 0,015 | |
| Tetracycline+Quinine | ![]() |
0,715 | 0,004 | |
| Tetracycline+Skimmianine | ![]() |
0,716 | 0,004 | |
| Tetracycline+Vasicine | ![]() |
0,607 | 0,008 | |
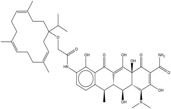
| Tetracycline+Squalamine | ![]() |
0,772 | 0,003 | |
| Tetracycline+Xanthine | ![]() |
0,575 | 0,010 | |
| Natural acids and alcohols | ||||
| Tetracycline+Aluretic acid | ![]() |
0,716 | 0,004 | |
| Tetracycline+Arjunolone | ![]() |
0,702 | 0,004 | |
| Tetracycline+Caffeic Acid | ![]() |
0,734 | 0,004 | |
| Tetracycline+chavicol | ![]() |
0,716 | 0,004 | |
| Tetracycline+Cinnamic Acid | ![]() |
0,728 | 0,004 | |
| Tetracycline+Coniferyl alcohol | ![]() |
0,721 | 0,004 | |
| Tetracycline+exogonic acid | ![]() |
0,810 | 0,002 | |
| Tetracycline+Ferulic acid | ![]() |
0,723 | 0,004 | |
| Tetracycline+Gingerol | ![]() |
0,675 | 0,005 | |
| Tetracycline+serratol | ![]() |
0,759 | 0,003 | |
| Tetracycline+shagoal | ![]() |
0,686 | 0,005 | |
| Tetracycline+Umbellic Acid | ![]() |
0,740 | 0,004 | |
| Tetracycline+Zingerone | ![]() |
0,640 | 0,007 | |
| Tetracycline+Aspidinol | ![]() |
0,719 | 0,004 | |
| Lipids and Fatty acids | ||||
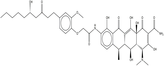
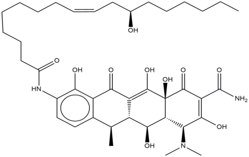
| Tetracycline+Hyndnocarpic Acid | ![]() |
0,774 | 0,003 | |
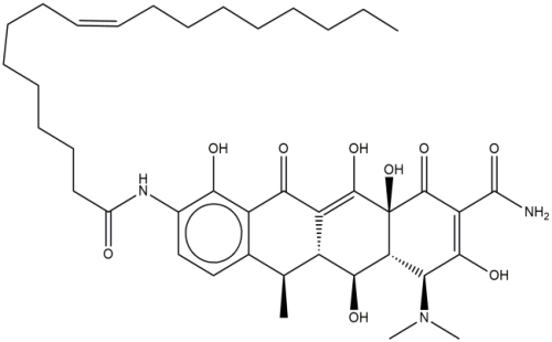
| Tetracycline+linoleic acid | ![]() |
0,740 | 0,004 | |
| Tetracycline+Myrestic acid | ![]() |
0,723 | 0,004 | |
| Tetracycline+oleic Acid | ![]() |
0,739 | 0,004 | |
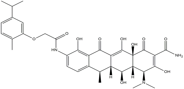
| Tetracycline+Palmatic Acid | ![]() |
0,787 | 0,004 | |
| Tetracycline+Ricinoleic Acid | ![]() |
0,764 | 0,003 | |
| Vitamins | ||||
| Tetracycline+Retinol | ![]() |
0,723 | 0,004 | |
| Tetracycline+Biotin | ![]() |
0,748 | 0,003 | |
| Tetracycline+Folic Acid | ![]() |
0,526 | 0,014 | |
| Tetracycline+Nicotinamide | ![]() |
0,717 | 0,004 | |
| Tetracycline+Pantothenic Acid | ![]() |
0,721 | 0,004 | |
| Tetracycline+Pyridoxal | ![]() |
0,697 | 0,005 | |
| Tetracycline+pyridoxamine | ![]() |
0,605 | 0,009 | |
| Tetracycline+pyridoxine | ![]() |
0,643 | 0,007 | |
| Tetracycline+alpha tocopherol | ![]() |
0,636 | 0,007 | |
| Aldehydes | ||||
| Tetracycline+isovanillin | ![]() |
0,766 | 0,003 | |
| Tetracycline+Vanillin | ![]() |
0,766 | 0,003 | |
| Tetracycline+2,4-didecanal | ![]() |
0,806 | 0,002 | |
Tetracycline+p-hydroxy Benzaldehyde |
![]() |
0,770 | 0,003 | |
| Tetracycline+trihydroxy benzaldehyde | ![]() |
0,787 | 0,003 | |
Tetracycline+ 4-amino-benzaldehyde |
![]() |
0,789 | 0,002 | |
Tetracycline+ 4-chloro-benzaldehyde |
![]() |
0,749 | 0,003 | |
Tetracycline+ 4-methoxy-benzaldehyde |
![]() |
0,760 | 0,003 | |
Tetracycline+ 4-methyl-benzalaldehyde |
![]() |
0,771 | 0,003 | |
Tetracycline+ 4-nitro-benzalaldehyde |
![]() |
0,788 | 0,003 | |
| Tetracycline+benzaldehyde | ![]() |
0,770 | 0,003 | |
| Tetracycline+Cinnamaldehyde | ![]() |
0,793 | 0,002 | |
| Tetracycline+citral | ![]() |
0,803 | 0,002 | |
| Tetracycline+Citronellel | ![]() |
0,791 | 0,002 | |
| Tetracycline+Octanal | ![]() |
0,778 | 0,003 | |
| Flavanoids | ||||
| Tetracycline+Curcumin Hybrid-1 | ![]() |
0,569 | 0,011 | |
| Tetracycline+Curcumin Hybrid-2 | ![]() |
0,510 | 0,010 | |
| Tetracycline+Garcinol | ![]() |
0,768 | 0,003 | |
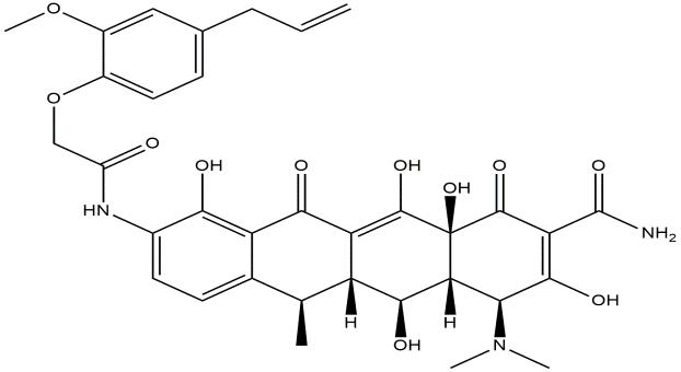
| Tetracycline+Formononetin | ![]() |
0,563 | 0,011 | |
| Tetracycline+Apigenin | ![]() |
0,591 | 0,009 | |
| Tetracycline+Hesperitin Hybrid 1 | ![]() |
0,799 | 0,002 | |
| Tetracycline+Hesperitin Hybrid 2 | ![]() |
0,795 | 0,002 | |
| Tetracycline+Diadzein | ![]() |
0,567 | 0,011 | |
| Tetracycline+Rutin | ![]() |
0,799 | 0,002 | |
| Tetracycline+Naringin | ![]() |
0,795 | 0,002 | |
| Tetracycline+Hesperidin 1 | ![]() |
0,788 | 0,002 | |
| Tetracycline+Hesperidin 2 | ![]() |
0,790 | 0,002 | |
| Tetracycline+Hesperidin 3 | ![]() |
0,815 | 0,002 |
The antibacterial activity of tetracycline hybrids have been compared with the standard tetracycline and biological spectrum based on Pa>Pi have been considered probable. Table 2 indicates the comparison of Pa values of various tetracycline hybrids with standard tetracycline, indicating increased, decreased or retention of antibacterial activity.
Table 2: Probable anti-bacterial activity of antibiotic hybrids based on PASS online software
| S. No. | Antibiotic/Antibiotic hybrids | Probable antibacterial activity based on Pa value as per PASS online software | |||
| Antibacterial activity | ↑sed activity | ↓sed activity | Retains activity | ||
| Tetracycline | 0,642 | ||||
| Terpenoids | |||||
| Tetracycline+Abeitic acid | 0,596 | - | ↓ | - | |
| Tetracycline+Betulin | 0,612 | - | ↓ | - | |
| Tetracycline+Bisabolol | 0,759 | ↑ | - | - | |
| Tetracycline+Borneol | 0,734 | ↑ | - | - | |
| Tetracycline+Carvacrol | 0,697 | ↑ | - | - | |
| Tetracycline+Carveol | 0,777 | ↑ | - | - | |
| Tetracycline+Dihydroartemisinin | 0,578 | - | ↓ | - | |
| Tetracycline+Eugenol | 0,713 | ↑ | - | - | |
| Tetracycline+Farnesol | 0,772 | ↑ | - | - | |
| Tetracycline+Geraniol | 0,772 | ↑ | - | - | |
| Tetracycline+Linalool | 0,742 | ↑ | - | - | |
| Tetracycline+Lupeol | 0,669 | ↑ | - | - | |
| Tetracycline+Oleanolic acid 1 | 0,621 | - | ↓ | - | |
| Tetracycline+Oleanolic acid 2 | 0,640 | - | - | √ | |
| Tetracycline+Sitosterol | 0,669 | ↑ | - | - | |
| Tetracycline+Stigmasterol | 0,597 | - | ↓ | - | |
| Tetracycline+Terpeniol | 0,700 | ↑ | - | - | |
| Tetracycline+Thymol | 0,705 | ↑ | - | - | |
| Tetracycline+Ursolic acid 1 | 0,592 | - | ↓ | - | |
| Tetracycline+Ursolic acid 2 | 0,647 | - | - | √ | |
| Tetracycline+Zeaxanthin | 0,757 | ↑ | - | - | |
| Tetracycline+betulinic acid | 0,639 | ↓ | |||
| Tannins | |||||
| Tetracycline+Chlorogenic Acid 1 | 0,810 | ↑ | - | - | |
| Tetracycline+Chlorogenic Acid 2 | 0,793 | ↑ | - | - | |
| Tetracycline+Ellagic Acid | 0,735 | ↑ | - | - | |
| Tetracycline+Gallic Acid 1 | 0,724 | ↑ | - | - | |
| Tetracycline+Gallic Acid 2 | 0,729 | ↑ | - | - | |
Tetracycline+Gallic Acid 3 |
0,585 | - | ↓ | - | |
| Alkaloids | |||||
| Tetracycline+Piperic acid | 0,741 | ↑ | - | - | |
| Tetracycline+Ajmaline | 0,518 | - | ↓ | - | |
| Tetracycline+Belladine | 0,585 | - | ↓ | - | |
| Tetracycline+Evocarpine | 0,665 | ↑ | - | - | |
| Tetracycline+Berberine | 0,679 | ↑ | - | - | |
| Tetracycline+Colchicine | 0,603 | - | ↓ | - | |
| Tetracycline+Coniine | 0,619 | - | ↓ | - | |
| Tetracycline+Febrifugine | 0,459 | - | ↓ | - | |
| Tetracycline+Arecoline | 0,618 | - | ↓ | - | |
| Tetracycline+Guvacine | 0,669 | ↑ | - | - | |
| Tetracycline+Morphine | 0,514 | - | ↓ | - | |
| Tetracycline+Quinine | 0,715 | ↑ | - | - | |
| Tetracycline+Skimmianine | 0,716 | ↑ | - | - | |
| Tetracycline+Vasicine | 0,607 | - | ↓ | - | |
| Tetracycline+Squalamine | 0,772 | ↑ | - | - | |
| Tetracycline+Xanthine | 0,575 | - | ↓ | - | |
| Natural acids and alcohols | |||||
| Tetracycline+Aluretic acid | 0,716 | ↑ | - | - | |
| Tetracycline+Arjunolone | 0,702 | ↑ | - | - | |
| Tetracycline+Caffeic Acid | 0,734 | ↑ | - | - | |
| Tetracycline+Chavicol | 0,716 | ↑ | - | - | |
| Tetracycline+Cinnamic Acid | 0,728 | ↑ | - | - | |
| Tetracycline+Coniferyl alcohol | 0,721 | ↑ | - | - | |
| Tetracycline+Exogonic acid | 0,810 | ↑ | - | - | |
| Tetracycline+Ferulic acid | 0,723 | ↑ | - | - | |
| Tetracycline+Gingerol | 0,675 | ↑ | - | - | |
| Tetracycline+Serratol | 0,759 | ↑ | - | - | |
| Tetracycline+Shagoal | 0,686 | ↑ | - | - | |
| Tetracycline+Umbellic Acid | 0,740 | ↑ | - | - | |
| Tetracycline+Zingerone | 0,640 | - | - | √ | |
| Tetracycline+Aspidinol | 0,719 | ↑ | - | - | |
| Lipids and Fatty acids | |||||
| Tetracycline+Hyndnocarpic Acid | 0,774 | ↑ | - | - | |
| Tetracycline+Linoleic acid | 0,740 | ↑ | - | - | |
| Tetracycline+Myrestic acid | 0,723 | ↑ | - | - | |
| Tetracycline+Oleic Acid | 0,739 | ↑ | - | - | |
| Tetracycline+Palmatic Acid | 0,787 | ↑ | - | - | |
| Tetracycline+Ricinoleic Acid | 0,764 | ↑ | - | - | |
| Vitamins | |||||
| Tetracycline+Retinol | 0,723 | ↑ | - | - | |
| Tetracycline+Biotin | 0,748 | ↑ | - | - | |
| Tetracycline+Folic Acid | 0,526 | - | ↓ | - | |
| Tetracycline+Nicotinamide | 0,717 | ↑ | - | - | |
| Tetracycline+Pantothenic Acid | 0,721 | ↑ | - | - | |
| Tetracycline+Pyridoxal | 0,697 | ↑ | - | - | |
| Tetracycline+Pyridoxamine | 0,605 | - | ↓ | ||
| Tetracycline+Pyridoxine | 0,643 | - | - | √ | |
| Tetracycline+Alpha tocopherol | 0,636 | - | ↓ | - | |
| Aldehydes | |||||
| Tetracycline+Isovanillin | 0,766 | ↑ | - | - | |
| Tetracycline+Vanillin | 0,766 | ↑ | - | - | |
| Tetracycline+2,4-didecanal | 0,806 | ↑ | - | - | |
| Tetracycline+p-hydroxy benzaldehyde | 0,770 | ↑ | - | - | |
| Tetracycline+trihydroxy benzaldehyde | 0,787 | ↑ | - | - | |
| Doxy-4-amino-benzaldehyde | 0,789 | ↑ | - | - | |
| Tetracycline+4-chloro-benzaldehyde | 0,749 | ↑ | - | - | |
| Tetracycline+4-methoxy-benzaldehyde | 0,760 | ↑ | - | - | |
| Tetracycline+4-methyl-benzalaldehyde | 0,771 | ↑ | - | - | |
| Tetracycline+4-nitro-benzalaldehyde | 0,788 | ↑ | - | - | |
| Tetracycline+Benzaldehyde | 0,770 | ↑ | - | - | |
| Tetracycline+Cinnamaldehyde | 0,793 | ↑ | - | - | |
| Tetracycline+Citral | 0,803 | ↑ | - | - | |
| Tetracycline+Citronellel | 0,791 | ↑ | - | - | |
| Tetracycline+Octanal | 0,778 | ↑ | - | - | |
| Flavanoids | |||||
| Tetracycline+Curcumin Hybrid-1 | 0,569 | - | ↓ | - | |
| Tetracycline+Curcumin Hybrid-2 | 0,510 | - | ↓ | - | |
| Tetracycline+Garcinol | 0,768 | ↑ | - | - | |
| Tetracycline+Formononetin Hybrid | 0,563 | - | ↓ | - | |
| Tetracycline+Apigenin | 0,591 | - | ↓ | - | |
| Tetracycline+Hesperitin Hybrid 1 | 0,799 | ↑ | - | - | |
| Tetracycline+Hesperitin Hybrid 2 | 0,795 | ↑ | - | - | |
| Tetracycline+Diadzein | 0,567 | - | ↓ | - | |
| Tetracycline+Rutin | 0,799 | ↑ | - | - | |
| Tetracycline+Naringin | 0,795 | ↑ | - | - | |
| Tetracycline+Hesperidin 1 | 0,788 | ↑ | - | - | |
| Tetracycline+Hesperidin 2 | 0,790 | ↑ | - | - | |
| Tetracycline+Hesperidin 3 | 0,815 | ↑ | - | - | |
Several of the plant secondary metabolites have been reported to possess antibacterial activity, but due to several structural requirements, they fail to be bioavailable in human body and exert their potential. Moreover, the therapeutic potential of tetracyclines also over the years has been declined due to resistance. Bio-conjugating tetracycline with plant phytoconstituents generating a hybrid conjugate was thought to enhance the overall therapeutic index of the molecule. Series of such different novel hybrids were designed and evaluated using pass software to predict the therapeutic efficiency. Extremely positive results were obtained for several of the designed conjugates, suggesting better probability of being active substances. This study thus helps to open a new area wherein several such hybrid conjugates can be designed and, using software, a series of compounds with good probability of being active can be taken ahead for synthesis and actual experimentation.
Several other computational parameters can be explored in order to establish the designed compounds ADMET and drug likeliness. This can help reduce the chances of a failure of new chemical entity in being a drug for patients, preventing time loss and economic loss to the pharmaceutical companies.
With an alarming increase of antibiotic resistance, we must identify ways to combat these diseases. This work implies that combining antimicrobials with phytochemicals can create new antimicrobial-phytochemical conjugates, potentially addressing antimicrobial resistance in bacteria. Tetracycline hybrids can be used in the future to produce many more hybrids, potentially embarking in a new era of medicine research.
Nil
All the authors contributed for conceptualization of work. Mansi Shah did all the computational and software-associated work and prepared an initial draft of the article. Bhanubhai Suhagia and Sunita Goswami did proofreading and preparation of the final draft.
The authors declare that they have no known competing financial interests or personal relationships that could have appeared to influence the work reported in this paper.
Yadav M, Lal K, Kumar A, Kumar A, Kumar D. Indole chalcone linked 1,2,3-triazole hybrids: facile synthesis antimicrobial evaluation and docking studies as potential antimicrobial agents. J Mol Struct. 2022;1261(5):132867. doi: 10.1016/j.molstruc.2022.132867.
DE Oliveira DM, Forde BM, Kidd TJ, Harris PN, Schembri MA, Beatson SA. Antimicrobial resistance in ESKAPE pathogens. Clin Microbiol Rev. 2020;33(3):e00181-19. doi: 10.1128/CMR.00181-19, PMID 32404435.
Kumar A, Schweizer HP. Bacterial resistance to antibiotics: active efflux and reduced uptake. Adv Drug Deliv Rev. 2005;57(10):1486-513. doi: 10.1016/j.addr.2005.04.004, PMID 15939505.
Klahn P, Bronstrup M. Bifunctional antimicrobial conjugates and hybrid antimicrobials. Nat Prod Rep. 2017;34(7):832-85. doi: 10.1039/c7np00006e, PMID 28530279.
Zhivich A. Fighting bacterial resistance: approaches challenges and opportunities in the search for new antibiotics part 1 antibiotics used in clinical practice: mechanisms of action and the development of bacterial resistance. Microbiology Independent Research Journal. 2017;4(1):31-51. doi: 10.18527/2500-2236-2017-4-1-31-51.
Kumar L, Lal K, Kumar A, Paul AK, Kumar A. Pyrazoline tethered 1,2,3-triazoles: synthesis antimicrobial evaluation and in silico studies. Journal of Molecular Structure. 2021 Dec 15;1246:131154. doi: 10.1016/j.molstruc.2021.131154.
Mohammed HH, Ali DM, Badr M, Habib AG, Mahmoud AM, Farhan SM. Synthesis and molecular docking of new N4-piperazinyl ciprofloxacin hybrids as antimicrobial DNA gyrase inhibitors. Mol Divers. 2023;27(4):1751-65. doi: 10.1007/s11030-022-10528-z, PMID 36152132.
Kuppusamy R, Browne K, Suresh D, DO Rosario RM, Chakraborty S, Yang S. Transition towards antibiotic hybrid vehicles: the next generation antibacterials. Curr Med Chem. 2022;30(1):104-25. doi: 10.2174/0929867329666220613105424, PMID 35702780.
Miller JR, Waldrop GL. Discovery of novel antibacterials. Expert Opin Drug Discov. 2010;5(2):145-54. doi: 10.1517/17460440903493449, PMID 22822914.
Parkes AL, Yule IA. Hybrid antibiotics clinical progress and novel designs. Expert Opin Drug Discov. 2016;11(7):665-80. doi: 10.1080/17460441.2016.1187597, PMID 27169483.
Pokrovskaya V, Baasov T. Dual acting hybrid antibiotics: a promising strategy to combat bacterial resistance. Expert Opin Drug Discov. 2010;5(9):883-902. doi: 10.1517/17460441.2010.508069, PMID 22823262.
Grossman TH. Tetracycline antibiotics and resistance. Cold Spring Harb Perspect Med. 2016;6(4):a025387. doi: 10.1101/cshperspect.a025387, PMID 26989065.
Usai I, Krueger M, Einsiedel J, Hillen W, Gmeiner P. Click chemistry derived tetracycline amino acid conjugates exhibiting exceptional potency and exclusive recognition of the reverse tet repressor. Chembiochem. 2010;11(5):703-12. doi: 10.1002/cbic.200900710, PMID 20148427.
Tietze LF, Bell HP, Chandrasekhar S. Natural product hybrids as new leads for drug discovery. Angew Chem Int Ed Engl. 2003;42(34):3996-4028. doi: 10.1002/anie.200200553, PMID 12973759.
Filimonov DA, Druzhilovskiy DS, Lagunin AA, Gloriozova TA, Rudik AV, Dmitriev AV. Computer-aided prediction of biological activity spectra for chemical compounds: opportunities and limitations. Biomed Chem Res Methods. 2018;1(1):e00004. doi: 10.18097/BMCRM00004.
Filimonov DA, Lagunin AA, Gloriozova TA, Rudik AV, Druzhilovskii DS, Pogodin PV. Prediction of the biological activity spectra of organic compounds using the PASS online web resource. Chem Heterocycl Comp. 2014;50(3):444-57. doi: 10.1007/s10593-014-1496-1.
Poroikov VV, Filimonov DA, Borodina YV, Lagunin AA, Kos A. Robustness of biological activity spectra predicting by computer program PASS for noncongeneric sets of chemical compounds. J Chem Inf Comput Sci. 2000;40(6):1349-55. doi: 10.1021/ci000383k, PMID 11128093.
Sucularlı C, Tozkoparan B, Aytac SP. In silico activity and target prediction analyses of three triazolothiadiazine derivatives. Acta Med. 2022;53(3):251-60. doi: 10.32552/2022.ActaMedica.737.
Bocharova OA, Ionov NS, Kazeev IV, Shevchenko VE, Bocharov EV, Karpova RV. Computer-aided evaluation of polyvalent medications pharmacological potential multiphytoadaptogen as a case study. Mol Inform. 2023;42(1):e2200176. doi: 10.1002/minf.202200176, PMID 36075866.
Arabi II, Kawsar SM. In silico investigations of some carbohydrate derivatives: pass prediction ADMET QSAR and molecular docking studies against pseudomonas aeruginosa. Philipp J Sci. 2023;152(4):1397-412. doi: 10.56899/152.04.11.
Stepanchikova AV, Lagunin AA, Filimonov DA, Poroikov VV. Prediction of biological activity spectra for substances: evaluation on the diverse sets of drug-like structures. Curr Med Chem. 2003;10(3):225-33. doi: 10.2174/0929867033368510, PMID 12570709.
Basanagouda M, Jadhav VB, Kulkarni MV, Rao RN. Computer-aided prediction of biological activity spectra: study of correlation between predicted and observed activities for coumarin-4-acetic acids. Indian J Pharm Sci. 2011;73(1):88-92. doi: 10.4103/0250-474X.89764, PMID 22131629.
Zhang J, Ponomareva LV, Marchillo K, Zhou M, Andes DR, Thorson JS. Synthesis and antibacterial activity of doxycycline neoglycosides. J Nat Prod. 2013;76(9):1627-36. doi: 10.1021/np4003096, PMID 23987662.