
Department of Quality assurance technique, MET’s Institute of Pharmacy, Bhujbal Knowledge City, Adgaon, Nashik-422003, Maharashtra, India
Email: manishasbhoskar@gmail.com
Received: 08 Mar 2015, Revised and Accepted: 28 Mar 2015
ABSTRACT
Objective: The aim of this paper was to develop and evaluate of paclitaxel (PTX) loaded bovine serum albumin (BSA) nanoparticals using 24 factorial designs.
Methods: Bovine serum albumin nanoparticals prepared by using desolvation technique method followed by spray drying. In the next step, the effect of different formulation variables, including the amount of polymer BSA (A), Tween 80 (B), Glutarldehyde (C) and Speed (D) on the particle size, entrapment efficiency and % cumulative release of drug was investigated. Based on the type and the variables studied, 16 formulations were designed using factorial design method and were then prepared. The prepared antiparticle was characterized for particle size, drug entrapment, and percentage yield, scanning electron microscopy (SEM), Differential scanning calorimetry, zeta potential and in-vitro release study.
Results: In order to detect the precise effect of the variables and their interactions, design expert software was used. Among the formulations suggested and based on the predicted responses and their desirability indices two formulations were selected as the optimum formulations and evaluated. Based on in-vitro release study formulations show biphasic release pattern with initial burst effect followed by a slower and sustained release.
Conclusion: The result showed that the method was easy and efficient for the entrapment of the drug as well as the formation of spherical nanoparticles.
Keywords: Nanoparticles, Targeted drug delivery system, Paclitaxel, Bovine serum albumin, factorial design.
INTRODUCTION
Cancer is a leading cause of death around the world. Today’s research in cancer therapy focuses mainly on pharmaceutical systems which are able to reduce the side effects of anticancer drug and target tumour tissues by taking advantage of their physiology [1, 2].
A major disadvantage of conventional drug delivery system is their lack of selectivity for tumor tissue, which causes severe side effects and results in low cure rates. Major challenges in cancer chemotherapy are related to toxicity on healthy proliferating cells and multi-drug resistance (MDR) against anticancer agents. The life threatening side-effects caused by nonspecific tissue distribution of the anticancer agents has restricted the systemic high dose strategy. Therefore, a distinct capacity to target tumors with limited effect on healthy tissues is the most essential for the success of cancer therapy hence to overcome these problems targeted drug delivery system was selected [3].
Targeted drug delivery refers to predominant drug accumulation within a target zone. Nanoparticles accumulate in tumor cells due to enhanced permeation and retention effect (EPR) [4, 5]. Nanoparticles (NP) are a type of colloidal drug delivery system defined as particulate dispersions or solid particles with a size in the range of 10-1000 nm. Depending upon the method of preparation nanoparticles, nanospheres or nanocapsules can be obtained. The drug is dissolved, entrapped, encapsulated or attached to a nanoparticles matrix [6, 7].
Paclitaxel is a naturally occurring diterpenoid extracted from bark of Taxus brevifolia, is one of the best antineoplastic drugs used in treatment of breast cancer, ovarian cancer, lung cancer, head and neck carcinomas. It blocks the G-2 M phase of the cell cycle of proliferating cell and stabilizes tubulin polymer formation by promoting microtubule assembly [8]. PTX belongs to the biopharmaceutical class IV [9]. To enhance its solubility of PTX, cremphor EL is used as a solvent. Cremophor EL causes side effects. Paclitaxel loaded albumin nanoparticle (Abraxane) is a novel formulation, developed to overcome the insolubility of paclitaxel and to reduce the incidence of adverse effects associated with solvent containing formulations [8].
Albumin is used polymers because it is natural, non-toxic, biodegradable, biocompatible, non-immunogenic polymer ability to target particular organs/tissue hence make it an ideal carrier 10. Albumin uptake in malignant tissue is mediated by the pathophysiology of tumor tissue, characterized by angiogenesis, hypervascularization, a defective vascular architecture and an impaired lymphatic drainage combined with the lack or the presence of a defective lymphatic drainage system (Enhanced Permeation and Retention EPR effect) [11].
Desolvation method is mainly used for preparartion of nanoparticles for protein. A desolvating agent is slowly added to the solution with stirring, until the system begins to coacervate. Energy (from homogenizer) is then applied to form the nanodispersions. The nanodispersions are then chemically stabilized by glutaraldehyde cross-linking. The use of dispersing agents to form stable nanodispersions is still necessary hence we used Tween 80 [12].
Factorial design is an efficient tool to obtain an appropriate mathematical model with minimum experiments for optimization of formulation. Factorial designs are the designs of choice for simultaneous determination of the effects of several factors at each level and their interactions. Most important variables which affect the system function are selected and experiments are then performed to be specified factorial design [13, 14].
By considering an above need an attempt to prepare spray dried albumin nanoparticles for a poorly water-soluble drug PTX using 24 factorial designs by desolvation technique. Furthermore, in this study factorial design was adopted to optimize effective factors for in-vitro drug release. A 24 full factorial design was employed to evaluate the effect of each of the selected variables and their interactions on the response.
MATERIALS AND METHODS
Materials
Paclitaxel was obtained as gift sample from Alchem R and D, Haryana, (India); Bovine serum albumin and Tween 80 were purchased from Lobachemie laboratory, Mumbai, (India); Glutaraldehyde was supplied by Molychem laboratory Mumbai, (India); Acetone was supplied by Thomas baker, Mumbai, (India); AR grade reagents and chemicals were used.
Formulation of Paclitaxel loaded bovine serum albumin nanoparticles
Albumin nanoparticles were prepared using the desolvation technique. The process involved the intermittent addition of a 20 ml acetone containing PTX to 5 ml of BSA solution containing Tween 80 in a 50 ml beaker. The solution turned milky white. The resulting suspension was homogenized by using homogenizer (IKA ultra turrex T25) at room temperature for 30 minutes. During homogenization, the nanoparticles formed were cross-linked by drop-wise addition of aqueous GTA solution. The cross-linking reaction was allowed to continue at room temperature for another three hours. The particles were collected at-10 ̊C by centrifugation at 15,000 rpm for 20 min. Using cooling centrifuge. The supernatant was decanted and the particles were washed three times with acetone. The resulting pellet was spray dried using spray dryer the Labultima (LU222, India) at Inlet temp 55 ˚C, Outlet temp 40 ˚C, Inlet high temp 90 ˚C, Outlet high temp 70 ˚C, Flow rate was kept at 2 ml/min, Aspirator 35 Nm3/hr. [12, 15-18].
Experimental design
Factor was tested at two levels designated as-1 (low levels) and+1 (high levels) and are mentioned in table 1. These limits were selected on the basis of previous studies and the optimization procedure was carried out within these domains. Sixteen formulations of nanoparticles were prepared by using 24 full factorial designs by design expert 8.0.6.1 as mentioned in table 2. BSA (A), Tween 80 (B) as a surfactant, GTA (C) as a cross-linking agent and stirring speed (D) were used as independent variables where entrapment efficiency, particle size and percent cumulative release were taken as the dependant variable.
The experimental results were analyzed using Design Expert software (8.0.6.1). ANOVA was applied to verify the fitted model [13, 14].
% practical yield
Spray dried nanoparticles were collected and weighed to determine % practical yield using following formula [19].
Particle size and size distribution
The average particle size and size distribution are important parameters because they influence the physicochemical properties and biological fate of the NP after in vivo administration. Dynamic light scattering method was used to determine particle size using the particle size analyzer (Nanophax, NX0080), cross correlation). Accordingly, the spray dried NP samples were suspended in acetone. The obtained homogenous suspensions were examined to determine the mean diameter and polydispersity index. Values reported being the mean diameter±standard deviation for three replicate samples [20].
Drug entrapment efficiency
Nanoparticles equivalent to 3 mg of PTX were dissolved in 10 ml of methanol in 100 ml volumetric flasks and then make up the volume with water. Then sonicate it for 15 min. Absorbance was measured by a UV spectrophotometer (Jasco V 600, Japan) at 227 nm. The % entrapment efficiency was calculated from following formula [21, 22].
Shape and surface morphology
The scanning electron microscope (SEM) is a type of electron microscope that gives images of the sample surface by scanning it with a high-energy beam of electrons in a raster scan pattern. The morphology of the prepared nanoparticles was investigated by scanning electron microscopy (JEOL Model JSM-6390 LV). The nanoparticles were fixed on adequate supports and coated with gold under an argon atmosphere using a gold sputter module in a high-vacuum evaporator. Observations under different magnifications were performed at 15 kV 23.
In-vitro drug release study
The in-vitro release of drug from the nanoparticulate formulations was determined using membrane diffusion technique. PTX-BSA NP (spray dried product) equivalent to 3 mg of PTX from each batch were taken and suspended in 10 ml of phosphate buffer pH 7.4 saline solution. A glass tube of length 7 cm and diameter 2 cm was tied with a dialysis membrane at one end (previously soaked in medium for 24 hours). The suspension of nanoparticles were taken in the dialysis tube (donor compartment) which was immersed in a beaker containing 100 ml of pH 7.4 phosphate buffer saline solution as the diffusion medium (Receiver compartment) and was stirred with heating magnetic stirrer maintaining temperature at 37 ˚C. The dialysis tube was held in position by means of clamps. The time at which diffusion was initiated was noted and 10 ml of diffusate was withdrawn with pipette at various time intervals of 1, 2, 4, 6, 8, 12, 24 hours, and replaced by the same volume of fresh phosphate buffer to maintain a sink condition. These samples were filtered through 0.22 membrane filter. The obtained solution was analyzed spectrophotometrically (Jasco V-600, Japan) at 240 nm after suitable dilution if necessary, using appropriate blank [24-26].
Differential scanning calorimetry (DSC)
The thermal properties of PTX, BSA, and PTX-loaded BSA nanoparticles were investigated by Differential Scanning Calorimetry (DSC). Samples (3-5 mg) were sealed in aluminum pans with lids and heated in a rate of 10 ̊C/min using dry nitrogen as carrier gas with a flow rate of 25 ml/min. The heat flow being recorded from 30 to 400˚C. Indium was used as the standard reference material to calibrate the temperature and energy scales of the DSC instrument (Mettler TIodo by Zurich Switzerland) [20, 23, 27].
Zeta potential
The Zeta potential of the sample was determined with a Nano ZS-90 by Malvern. Measurements were recorded at 25˚C suspended in Hepes buffer (ionic strength 40 mM, pH 7.4) with an Ag electrode using Phase Analysis Light Scattering mode. To determine the zeta potential, nanoparticles sample was diluted with KCl (0.1 mM) and placed in the electrophoretic cell where an electric field of 15.2 V/cm was applied. Each sample was analyzed in triplicate [28-30].
Effect of temperature and humidity
Effect of temperature and humidity was studied by analyzing the optimized batch kept at room temperature, 45 % RH (stability chamber) and at 4 ˚C for 7, 14, and 28 days. After one month, the drug release, and entrapment efficiency of optimized formulation was determined by the methods discussed previously [31, 32].
Table 1: High and low levels of four factors
| Level | Factor A BSA (%w/v) | Factor B tween 80 (%v/v) | Factor C GTA (%v/v) | Factor D speed (r. p. m.) |
| Low level | 20 | 2 | 10 | 5000 |
| High level | 40 | 5 | 25 | 16000 |
Table 2: Formulations for PTX-BSA nanoparticles
| Formulation Code No. | Drug (PTX) mg | BSA (%w/v) X1 | Tween 80 (%v/v) X2 | GTA (%v/v) X3 | Speed (r. p. m.) X4 |
| F-1 | 100 | 40 | 2 | 25 | 5000 |
| F-2 | 100 | 20 | 2 | 25 | 5000 |
| F-3 | 100 | 40 | 5 | 25 | 5000 |
| F-4 | 100 | 40 | 2 | 10 | 16000 |
| F-5 | 100 | 20 | 2 | 25 | 16000 |
| F-6 | 100 | 40 | 5 | 10 | 5000 |
| F-7 | 100 | 40 | 2 | 10 | 5000 |
| F-8 | 100 | 20 | 2 | 10 | 5000 |
| F-9 | 100 | 20 | 5 | 25 | 5000 |
| F-10 | 100 | 40 | 5 | 25 | 16000 |
| F-11 | 100 | 20 | 5 | 25 | 16000 |
| F-12 | 100 | 20 | 2 | 10 | 16000 |
| F-13 | 100 | 40 | 5 | 10 | 16000 |
| F-14 | 100 | 40 | 2 | 25 | 16000 |
| F-15 | 100 | 20 | 5 | 10 | 5000 |
| F-16 | 100 | 20 | 5 | 10 | 16000 |
Table 3: Result obtained from formulations
| S. No. | Formulation code | Levels of factors | Particle size nm | Entrapment efficiency (%) | % Yield |
| 1 | F1 | +-+- | 1046.44 | 57.29 | 69.12 |
| 2 | F2 | --+- | 18.13 | 61.36 | 58.18 |
| 3 | F3 | +++- | 403.55 | 42.42 | 72.48 |
| 4 | F4 | +--+ | 574.64 | 40.74 | 39 |
| 5 | F5 | --++ | 1063.88 | 42.59 | 46.3 |
| 6 | F6 | ++-- | 7.1 | 55.95 | 34.65 |
| 7 | F7 | +--- | 1122.96 | 30.89 | 55.07 |
| 8 | F8 | ---- | 469.55 | 26.09 | 49.08 |
| 9 | F9 | -++- | 818.47 | 36.09 | 33.2 |
| 10 | F10 | ++++ | 50.49 | 28.21 | 50.50 |
| 11 | F11 | -+++ | 470.07 | 47.32 | 54.31 |
| 12 | F12 | ---+ | 833.13 | 42.83 | 31.09 |
| 13 | F13 | ++-+ | 986.55 | 23.18 | 56.36 |
| 14 | F14 | +-++ | 1280.8 | 43.29 | 55.29 |
| 15 | F15 | -+-- | 37.44 | 30.04 | 56.01 |
| 16 | F16 | -+-+ | 790.06 | 19.80 | 36.66 |
Table 4: Anova test for determining the significance of the variables
| Source | Sum of squares | DF | Mean squares | F-Value | P-Value Prob>F |
| Model | 2361.49 | 9 | 262.39 | 15.12 | 0.0018 |
| B-tween 80 | 105.39 | 1 | 105.39 | 6.07 | 0.0488 |
| C-GTA | 289.37 | 1 | 289.37 | 16.68 | 0.0065 |
| D-speed | 60.70 | 1 | 60.70 | 3.50 | 0.1106 |
| AB | 197.14 | 1 | 197.14 | 11.36 | 0.0150 |
| AC | 474.62 | 1 | 474.62 | 27.36 | 0.0020 |
| BD | 408.07 | 1 | 408.07 | 23.52 | 0.0029 |
| ABD | 262.90 | 1 | 262.90 | 15.15 | 0.0081 |
| BCD | 383.99 | 1 | 383.99 | 22.13 | 0.0033 |
| ABCD | 179.31 | 1 | 179.31 | 10.33 | 0.0183 |
| Residual | 104.10 | 6 | 17.35 | ||
| Cor Total | 2465.59 | 15 | |||
| Std. Dev. | 4.17 | R-Squared | 0.9578 | ||
| Mean | 36.69 | Adj R-Squared | 0.8944 | ||
| C. V. % | 11.35 | Pred R-Squared | 0.6998 | ||
| PRESS | 740.27 | Adeq Precision | 15.773 |
Table 5: Low and high level for the optimized batch
| Name | Goal | Lower limit | Upper limit | Lower weight | Upper weight | Importance |
| A: BSA | Is in range | 20 | 40 | 1 | 1 | 3 |
| B: Tween 80 | Is in range | 2 | 5 | 1 | 1 | 3 |
| C: GTA | Is in range | 10 | 25 | 1 | 1 | 3 |
| D: Speed | Is in range | 5000 | 16000 | 1 | 1 | 3 |
| Entrap. efficiency | Maximize | 19.80 | 80 | 1 | 1 | 3 |
Table 6: Selective formulations that DE.8.0.6.1 predicted out of the specified limit for each variable
| S. No. | BSA %v/v | Tween 80 %v/v | GTA %v/v | Speed r. p. m. | Particle size (nm) | Entrap. efficiency (%) | In-vitro release (%) | Desirability |
| 1 | 20.00 | 2.00 | 25.00 | 5000.0 | 18.076 | 61.667 | 91.816 | 0.859 |
| 2 | 20.00 | 2.00 | 25.00 | 5117.7 | 20.816 | 61.4622 | 91.805 | 0.857 |
| 3 | 20.40 | 2.00 | 25.00 | 5020.6 | 24.017 | 60.9442 | 91.361 | 0.853 |
| 4 | 20.00 | 2.00 | 25.00 | 5596.2 | 33.520 | 60.6697 | 91.746 | 0.850 |
| 5 | 20.82 | 2.00 | 24.90 | 5000.1 | 30.422 | 60.1007 | 90.909 | 0.846 |
| 6 | 20.00 | 2.01 | 24.27 | 5000.0 | 26.935 | 59.8238 | 92.239 | 0.843 |
| 7 | 20.00 | 2.00 | 25.00 | 6133.3 | 51.531 | 59.7641 | 91.685 | 0.842 |
| 8 | 20.00 | 2.00 | 25.00 | 6829.7 | 80.510 | 58.605 | 91.602 | 0.831 |
| 9 | 20.00 | 2.00 | 23.92 | 5518.2 | 45.871 | 58.3262 | 92.348 | 0.830 |
| 10 | 20.00 | 2.36 | 25.00 | 5108.6 | 55.356 | 58.2921 | 92.629 | 0.829 |
| 11 | 20.00 | 2.00 | 25.00 | 7346.6 | 106.54 | 57.7184 | 91.549 | 0.822 |
| 12 | 20.09 | 2.00 | 25.00 | 7365.3 | 110.784 | 57.5876 | 91.462 | 0.821 |
| 13 | 20.00 | 2.75 | 24.84 | 5000.0 | 108.253 | 54.7279 | 93.577 | 0.796 |
| 14 | 40.00 | 5.00 | 10.00 | 5000.0 | 7.133 | 51.4337 | 99.843 | 0.770 |
Table 7: Obtained responses of three of selected formulation
| Solutions No. | Obtained particle size (nm) | Obtained % entrapment efficiency | Obtained in-vitro release (%) |
| S1 | 17.34 | 60.32 | 92.48 |
| S9 | 41.23 | 58.71 | 93.67 |
| S14 | 8.29 | 50.98 | 98.32 |
Table 8: Results of optimized batch
| Solution | Particle size (nm) | % Entrapment efficiency | % Release at 24th hr |
| S1 | 20.13 | 62.35±0.7382 | 92.48±0.46 |

Fig. 1: (a) Graphical representation of comparative release profile of 1-8 formulations

Fig. 1: (b) Graphical representation of comparative release profile of 9-16 formulations

Fig. 2: Half-Normal plot obtained by D. E.8.0.6.1 related to the given data

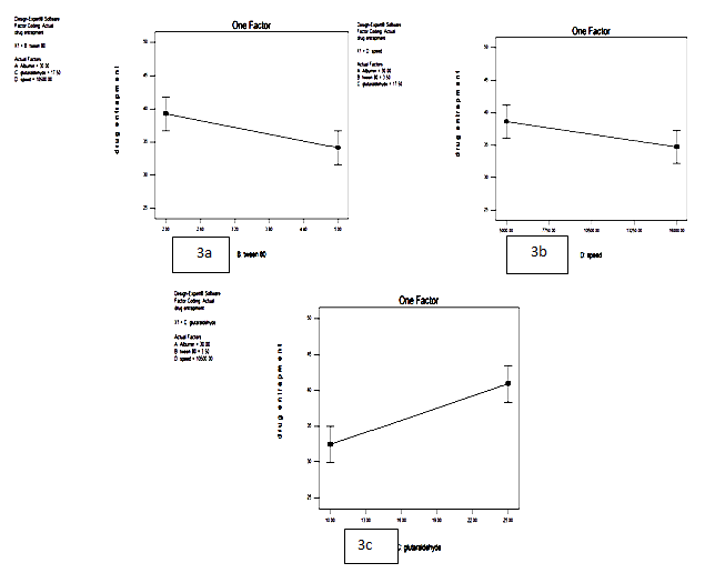
Fig. 3: Effect of variables on the entrapment efficiency (3a) tween 80 (3b) GTA (3c) Speed
RESULTS AND DISCUSSION
The aim of present work was to achieve optimized formulations for PTX-loaded BSA nanoparticles by determining the effects of some important factors and their interactions during the process of preparation on nanoparticles. Mean while the nanoparticles were being processed; the impact of different factors had been evaluated by making changes in their quantity. Finally, four of the most significant factors had been chosen as the independent variables. In the next step the low and high levels of each factor had determine and as shown in table 1. According to a 24 factorial design and considering these four variables, 16 experiments had been performed as shown in table 2.
The results of percent practical yield are shown in table 3. The percent practical yield was varied among the formulation due to variation in the composition of formulations. Formulation F3 shows high yield i.e. 72.48 %. The % yield increased as the concentration of BSA increased.
The mean particle size of nanoparticles formulation was in the range of nm. Formulation F14 showed relatively large size i.e. 1280.8 nm and formulation F6 showed relatively small size i.e. 7.1 nm of nanoparticles. The table 3 shows mean particle size of various batches. Nanoparticles size can be affected by amount of desolvating agent (acetone), BSA concentration, ratio of acetone/BSA and Tween 80 as surfactant. Stirring speed and cross-linking agent do not have significant effect on particle size. The concentration of BSA increased, the particle size increased. High BSA concentration increases the chances for coagulation; especially the protein molecules have had more chances to undergo electrostatic and hydrophobic interactions. Larger hydrophobic interaction of BSA increased the coagulation of the molecules and subsequently resulted in larger particles. The NPs size was increased as acetone/water ratio decreased and the smallest nanoparticles were obtained at ratio 4.
The entrapment efficiency of sixteen batches of PTX nanoparticles was studied. The drug entrapment efficiency of different batches of nanoparticles was found in the range of 19.807 % to 61.36 %. The result for entrapment efficiency is shown in table 3. The maximum entrapment was found in F-2 i.e. 61.36 %.
The photographs of SEM showed that in the samples with high polymer concentration the particles are spherical possessing smooth surfaces. On the other hand, the low concentration caused a coarse covering, likely due to drug's residue that has not been surrounded by polymer, thoroughly. The surface roughness decreased with increasing GTA concentration.
All the formulations showed a biphasic release with an initial burst effect. The release profile of PTX loaded BSA nanoparticles exhibits an initial burst release of about 50% in the first 4 hours followed by a slow release of 50% for the subsequent 24 hours shown in fig. 1 (a) and fig. 1 (b). The mechanism for the burst release can be attributed to the drug adsorbed on the nanoparticles or weakly bound to the large surface area of the NPs or rapid release by diffusion of dissolved drug initially deposited inside the pores or due to leakage of the drug from nanoparticles. The second part of the release profile is related to the slow release of entrapped PTX molecules at an approximately constant rate that arises from the slow degradation of nanoparticles and the release rate in the second phase is in controlled manner by diffusion, erosion of drug across the polymer matrix. The amount of drug incorporation in the formulation and the drug entrapment efficiency has a direct effect on the drug release profile. It was observed that the drug release from the formulation decreases as the GTA conc. increases and Tween 80 decreases.

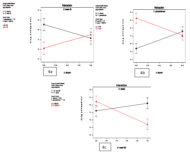
Fig. 4: Interaction effect of variables (4a) Interaction between A and B (4b) Interaction between A and C (4c) Interaction between B and D

Fig. 5: Desirability plot obtained by D. E.8.0.6.1. related to the given data



Fig. 6: DSC curves of (6a) paclitaxel (6b) BSA polymer (6c) paclitaxel loaded BSA nanoparticles

Fig. 7: Zeta potential for optimized batch

Fig. 8: SEM Study for optimized batch
Experimental design and data analysis
The main part of analysis was performed using the design expert software 8.0.6.1. This software is able to evaluate each factor in regarding to its importance in particles characteristics based on the achieved responses. Moreover, it examines the interactions between the variables affecting the amount of drug-loading in nanoparticles. The obtained results were entered in design expert software 8.0.6.1 and influence of each independent variable on entrapment was checked.
Combined effect of AC considered having the highest effect in drug loading of nanoparticles and the amount of polymer (factor A) has the least influence as shown in fig. 2.
In the next step, significance of this influence was also statistically confirmed by ANOVA Test (P<0.05). The results of the statistical evaluation and variance analysis of the experiments are shown in table 4 and shows all of the variables and their interactions had significant effects except speed as factor D. After studying the various effects of factors on the responses the design suggested low and high levels for the optimized batch shown in the table 5 and some formulations in regard to the results of analysis.
Design Expert software 8.0.6.1. then evaluate the effects of variables that were plotted in some diagrams. In each plot, two factors remained constant and the other factor was in the given range between its high and low levels; therefore, its influence can be seen as a line that represented the demanded response. The entrapment efficiency increases with decreasing the Tween 80 concentration and speed when A and C are in its medium amount. And the entrapment efficiency increases with increasing the GTA concentration A and C are in its medium amount and D is in its lowest level as shown in fig. 3. Effects of the interactions were plotted in diagrams in that one factor was plotted against the entrapment efficiency and the second variable remained constant. Here were two lines that the red one represented high level of this variable and the black one was referred to the low level. Fig. 4 shows the interaction effect. Interaction of AC and BD has negative significant effect and AB have positive significant effect on entrapment efficiency.
At last, according to the final results, this program suggested some formulations and also predicted their responses containing a probability factor named "Desirability" that ranged between 0-1. That the most presumable answer would be the nearest to 1. Table 6 includes some of the suggested formulations of DE 8.0.6.1 and the desirability of each item could be observed. Desirability plot obtained by D. E. 8.0.6.1 shown in fig. 5, Out of those 3 samples were selected, formulated and evaluated as results shown in table 7. Particle size measurement of these 3 formulations was done which obtained in the range of 5-50 nm. Solution 1 was found to be an optimum batch entrapment up to 62.35±0.7382 and minimum size 20 nm.
DSC thermograph of PTX, BSA and PTX-loaded BSA nanoparticles are shown in fig.6. A physical change gives the endothermic peak and chemical changes give rise exothermic peak. The pure drug PTX (fig. 6a) gives rise to a sharp endothermic peak that corresponds to melting at 213.32˚C with an onset at 211.91 ̊C, indicating its crystalline nature. A broad peak is observed due to the dehydration reaction of the drug. The pure BSA polymer also gives rise to sharp endothermic peak that corresponds to the melting point at 55.34˚C with an onset at 53.33 ̊ C (fig. 6b). No distinct melting point was observed because BSA is amorphous in nature. The two peaks at 55.34˚C and 213.32˚C are related to the thermal decomposition of the polymer and drug as shown in fig. 6c. The DSC curves of optimized batch are observed at 68.58˚C and 238.54˚C, it showed that the shifting of melting endotherm of PTX and BSA, which could indicate the amorphous nature of the drug as well as loss of crystalline, indicates change in melting point, which releases kinetics and bioavailability.
The zeta potential is the electrostatic potential that exists at the shear plane of a particle, which is related to both the surface charge and the local environment of the particle. Zeta potential for optimized batch was determined and it was found–10.4 mV, showed in fig. 7 which indicates moderate stability with no agglomeration. The negative surface charge originates from free carboxylic acid groups at the chain ends of the BSA polymer. The possible effects of surface charge may affect the in-vivo life span of the natural drug delivery system.
The SEM photographs of optimized batch showed that the particles are spherical possessing smooth surfaces as shown in fig. 8.
Stabilities studies of the optimized batch of BSA nanoparticles were carried out, by storing formulation at 4±2 ˚C, 25±2 ̊C 60±5% RH and 37±2 ̊C, 65±5% RH in humidity control oven for 30 days. Two parameters namely entrapment efficiency and in-vitro release studies were carried out. These results indicate that the drug release from the formulation stored at 4±2 ̊C was lowest followed by formulation stored at 25±2 ̊C; 60±5% RH and 37±2 ̊C; 65±5% RH. It was also revealed that optimized batch stored at 4±2 ̊C showed maximum drug content followed by that stored at 25±2 ̊C; 60±5% RH and 37±2 ̊C; 65±5% RH.
CONCLUSION
Results from our study indicates that paclitaxel loaded BSA nanoparticles were successfully formulated by desolvation technique using high speed homogenizer and spray drying technique, optimized and evaluated in-vitro. Application of factorial design demonstrates a useful method for optimization of nanoparticles. Further DE 8.0.6.1 analysis of the obtained results described the influence of the selected variables (BSA, GTA, Tween 80 and speed) at different levels on the entrapment efficiency. The formulated PTX-BSA nanoparticles were of optimum particle size, high entrapment efficiency, spherical and smooth surface morphology and successful retarding drug release over the period of 24 hr in in-vitro studies. BSA concentration and ratio of desolvating agent/BSA have more effect on particle size. In contrast, the concentration of GTA and agitation speed had shown less effect on particle size. Stability studies indicated that 4 °C is the most suitable temperature for storage of BSA nanoparticles. From the above studies it is revealed that the present work was a satisfactory with several exclusive advantages and hence holds potential for further research and clinical application.
CONFLICT OF INTERESTS
Declared none
REFERENCES