
aDepartment of Post Graduate Studies and Research in Chemistry, School of Chemical Sciences, Kuvempu University, P. G. Centre, Kadur, Karnataka 577548, India, bDepartment of Medicinal Chemistry, Scientific Bio-Minds, Bangalore 560092, Karnataka, India
Email: mahadevan.kmm@gmail.com
Received: 13 May 2015, Revised and Accepted: 08 Jun 2015
ABSTRACT
Objective: Synthesis of N-[(2-chloroquinolin-3-yl) methylidene]-2-aniline schiff bases (3a-j) and to study their in vitro antibacterial activity and in silico study towards cancer and malarial proteins.
Methods: Various N-[(2-chloroquinolin-3-yl) methylidene]-2-aniline schiff bases (3a-j) were synthesized by using 2-chloro-3-formyl quinoline and different anilines in presence of acetic acid as catalyst. All the new compounds were characterized by 1H-NMR, 13C-NMR and LCMS analysis. The compounds 3a-j was subjected to antibacterial activity. In silico molecular properties were predicted using various online cheminformatic tools, the binding interactions with Human DNA topoisomerase I and Plasmodium falciparum lactate dehydrogenase proteins was studied through molecular docking and Irinotecan and mefloquine were used as reference drugs.
Results: Fairly good yield of N-[(2-chloroquinolin-3-yl) methylidene]-2-aniline schiff bases (3a-j) were synthesized by convenient and economical procedure. The preliminary in silico pharmacokinetics study reveals that the compounds 3a-j shows excellent drug like property. The toxicity profile of compounds 3a-h was found safe. The compounds 3a-j was exhibited promising MIC values against the both S. aureus and E. coli. Similarly the docking results predict that the compound 3d shown highest interaction by forming two hydrogen bonds against the cancer protein with the interaction energy-20.696 kcal/mol. Compound 3c exhibits highest dock score of-45.703 kcal/mol with two hydrogen bonds against malarial protein.
Conclusion: From the results of docking studies of N-[(2-chloroquinolin-3-yl) methylidene]-2-aniline schiff bases (3a-j), it has been concluded that the compounds were found to exhibit multifunctional lead property, hence these compounds are worth to be considered as potential lead molecules for further study.
Keywords: N-[(2-chloroquinolin-3-yl) methylidene]-2-aniline, 2-chloro-3-formyl quinoline, antibacterial, Molecular docking, ADMET.
INTRODUCTION
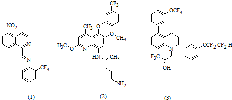
Quinoline Schiff bases form a significant class of compounds in medicinal and pharmaceutical chemistry due to their wide range of biological activities like antimicrobial [1], anticancer [2] anthelmintic [3], anti-inflammatory [4]. Apart from medicinal applications, Schiff bases containing transition metals [5] have been reported as intermediates for the various organic syntheses, corrosion inhibitors [6], dyes, catalysts, pigments and polymer stabilizers [7], Schiff bases have found to be used in optical materials and wide array in the development of inorganic biochemistry [8]. Hence these compounds remain as a vital class of organic compounds, especially in the field of medicinal and pharmaceutical application [9-12] promoted researchers to synthesize various novel heterocyclic/aryl Schiff bases by eco-friendly methods. The schiff bases derived from Quinoline motif are biologically prominent active components [13]. Certain, schiff bases isolated from African plant Cryptolepine Sanguinolenta have been reported as potent antimalarial agents [14]. Further, many fluorinated compounds have been widely used for the treatment of various diseases and substitution of fluorine can alter the chemical properties and biological activity of many drugs [15]. The trifluoro methyl and its homologue CnF2n+1 group into a heterocycle resulted into more potent activity due to the high lipophylicity of per fluoro alkyl substituents [16]. There are 4-[3-alkyl (aryl)-5-hydroxy-5-trifluoro methyl-4,5-dihidro-1H-pyrazol-1-yl]-7-chloroquinolines found to exhibits proven antimalarial activity against the Plasmodium falciparum parasite [17]. Rathelot et. al have reported functionalized 5-nitroisoquinoline Schiff base (1) as novel antimalarial agent [18] (fig. 1). On the other hand the-CF3 (1,2), and-OCF3 (3) (fig. 1) group containing compounds are found to be privileged functional groups which significantly influence on the various biological activities [19].

Fig. 1: Chemical structures of the biologically active molecules
Therefore, keeping in view of biological activities exhibited by various quinoline Schiff and in continuation of our effort to identify new quinoline based therapeutic agents (20-32), in the present investigation we report one pot synthesis of novel N-[(2-chloroquinolin-3-yl) methylidene]-2-anilines (3a-j) which contains-CF3 and-OCF3 groups by using 2-chloro-3-formyl quinoline and various anilines. Thus the various N-[(2-chloroquinolin-3-yl) methylidene]-2-anilines (3a-j) Schiff bases were synthesized by selecting-CF3,-OCF3 and-OPh substituted anilines. In this study, we envisage that molecular docking study is an ideal approach for discovering a new generation drugs for various ailments. Hence, instead of doing random biological testing, we approached the anticancer and antimalarial activity for all the newly synthesized N-[(2-chloroquinolin-3-yl) methylidene]-2-anilines (3a-j) Schiff bases were carried out against the drug targets Human DNA topoisomerase I (PDB ID: 1T8I) and Plasmodium falciparum Lactate dehydrogenase (PDB ID: 1LDH) for cancer and malaria respectively. The synthesized compounds were characterized by 1H NMR, 13C NMR, and LCMS analysis.
MATERIALS AND METHODS
Chemistry
All chemicals were purchased from commercial sources and were used without further purifications. The TLC was done to monitor the progress of reactions using on alumina silica gel 60 F254 (Merck). The mobile phase was hexane and ethyl acetate (9:1 v/v) and detection was made using UV light (254 nm). Melting points of the synthesized compounds were determined by electrothermal apparatus in open capillaries and are uncorrected. The 1H NMR and 13C NMR spectra recorded on Brucker (Bangalore, India) AM 400 (at 400 and 100 MHz, respectively) model spectrophotometer in CDCl3 or DMSO-d6 as solvent. Chemical shifts are expressed as values relative to TMS as internal standard. Mass spectra were recorded on a Jeol SX 102=DA-6000(10 kV) FAB mass spectrometer.
A typical procedure for the synthesis of n-[(2-chloroquinolin-3-yl) methylidene]-2-(trifluoro methyl) aniline (3a)
An equimolar mixture of 2-chloro-3-formyl-quinoline (1) (1.064 g, 0.004 mol) and 2-(trifluoro methyl) aniline 2a (0.37 ml, 0.004 mol) in ethanol with catalytic amount of acetic acid was stirred at room temperature for 6-7 hr at 25 °C. After the completion of the reaction, the separated solid was filtered and dried under vacuum to afford crude product. The crude product was purified by column chromatography using silica gel (60-120 mesh, petroleum ether: ethyl acetate, 9:1 v/v) furnished analytically pure N-[(2-chloroquinolin-3-yl) methylidene]-2-(trifluoro methyl) aniline (3a) (yield 80%). Similarly, all other derivatives (3b-j) were obtained.
Spectral data
(3a) N-[(2-chloroquinolin-3-yl) methylidene]-2-(trifluoro methyl) aniline
1H NMR (400 MHz, CDCl3): δ= 11.90 (s, 1H), 9.51 (s, 1H), 9.09 (s, 1H), 7.55-7.56 (m, 1H), 7.48 (t, J = 7.60 Hz, 2H), 7.28-7.30 (m, 2H), 7.13 (d, J = 8.00 Hz, 1H), 7.04 (d, J = 8.40 Hz, 1H) ppm. 13C NMR (100 MHz, CDCl3): δ = 116.47, 117.11, 118.77, 120.25, 122.62, 124.88, 129.69, 130.01, 132.53, 133.72, 143.25, 152.09, 156.05, 163.98, 172.43, 189.52 ppm. MS: m/z=334.25(M+).
(3b) N-[(2-chloroquinolin-3-yl) methylidene]-3-(trifluoro methyl) aniline
1H NMR (400 MHz, CDCl3): δ = 10.26 (s, 1H), 8.83 (s, 1H), 7.55-7.56 (m, 6H), 7.52 (s, 2H) ppm. 13C NMR (100 MHz, CDCl3): δ = 115.88, 116.12, 116.36, 118.01, 118.34, 122.93, 124.34, 129.74, 130.73, 132.42, 133.89, 143.03, 152.01, 156.57, 163.33, 171.90, 189.41 ppm. MS: m/z=334.25(M+).
(3c) N-[(2-chloroquinolin-3-yl) methylidene]-4-(trifluoromethoxy) aniline
1H NMR (400 MHz, CDCl3): δ = 10.28 (s, 1H), 8.80 (s, 1H), 7.83-7.84 (m, 6H), 7.47-7.50 (m, 2H) ppm. 13C NMR (100 MHz, DMSO-d6): δ = 115.63, 115.66, 121.81, 123.37, 123.33, 124.36, 126.71, 127.29, 127.92, 128.10, 131.20, 137.83, 141.38, 149.93, 152.58, 159.22, 160.41 ppm. MS: m/z=350.12(M+).
(3d) N-[(2-chloroquinolin-3-yl) methylidene]-3,5-bis (trifluoro methyl) aniline
1H NMR (400 MHz, CDCl3): δ = 10.29 (s, 1H), 8.79 (s, 1H), 8.04-8.08 (m, 2H), 7.85-7.87 (m, 2H), 7.29-7.49 (m, 3H) ppm. 13C NMR (100 MHz, DMSO-d6): δ = 121.96, 123.83, 123.95, 124.05, 124.31, 124.94, 126.74, 127.46, 127.98, 128.19, 131.02, 132.76, 132.86, 137.83, 149.56, 149.94, 152.85, 160.98 ppm. MS: m/z=402.12(M+).
(3e) N-[(2-chloroquinolin-3-yl)methylidene]-3,5-dimethyl aniline
13C NMR (100 MHz, DMSO-d6): δ = 24.59, 24.59, 120.39, 120.59, 124.73, 126.57, 127.69, 127.72, 128.31, 129.54, 131.80, 137.38, 139.46, 139.59, 148.78, 149.69, 152.58, 160.41, ppm. MS: m/z=294.17(M+).
(3f) N-[(2-chloroquinolin-3-yl) methylidene]-4-methyl-3-(trifluoro methyl) aniline
1H NMR (400 MHz, CDCl3): δ = 11.73 (s, 1H), 9.45 (s, 1H), 9.05 (s, 1H), 7.78-7.89 (m, 5H), 7.39-7.41 (m, 1H), 2.49-2.53 (m, 3H) ppm. 13C NMR (100 MHz, DMSO-d6): δ = 17.82, 117.17, 119.98, 124.63, 125.45, 126.37, 127.82, 127.59, 128.31, 129.62, 130.47, 131.30, 131.75, 137.58, 149.99, 146.43, 152.78, 160.11 ppm. MS: m/z=348.0(M+).
(3g) 2-chloro-N-[(2-chloroquinolin-3-yl)methylidene]-4-(trifluoro methyl) aniline
1HNMR (400 MHz, CDCl3): δ = 10.27 (s, 1H), 8.81 (s, 1H), 7.89-7.92 (m, 3H), 7.85-7.87 (m, 2H), 7.53-7.54 (m, 2H) ppm. 13C NMR (100 MHz, DMSO-d6): δ = 123.89, 124.60, 124.23, 126.34, 126.78, 127.52, 127.39, 128.07, 128.61, 130.49, 131.03, 137.38, 142.84, 149.59, 152.58, 160.23 ppm. MS: m/z=369.16(M+).
(3h) N-[(2-chloroquinolin-3-yl) methylidene]-4-phenoxyaniline
1H NMR(400 MHz, CDCl3): δ = 11.86 (s, 1H), 10.26 (s, 1H), 9.22 (s, 1H), 9.00 (s, 1H), 8.82 (s, 1H), 7.97-7.99 (m, 2H), 7.93 (d, J = 7.60 Hz, 1H), 7.85-7.86 (m, 1H), 7.48-7.51 (m, 2H), 7.44 (t, J = 8.00 Hz, 1H), 7.25-7.26 (m, 1H), 7.09-7.14 (m, 1H) ppm. 13C NMR (100 MHz, CDCl3): δ = 115.93, 116.26, 118.87, 119.50, 119.90, 122.79, 123.30, 123.35, 123.61, 126.75, 129.45, 129.80, 130.66, 131.94, 133.83, 138.45, 139.26, 146.98, 154.01, 156.13, 163.71, 189.46 ppm. MS: m/z=358.15(M+).
(3i) N-[(2-chloroquinolin-3-yl) methylidene]-2-phenoxyaniline
1H NMR (400 MHz, CDCl3): δ = 11.91 (s, 1H), 8.14-8.29 (m, 6H), 7.58 (d, J = 8.40 Hz, 2H), 7.43-7.45 (m, 2H), 7.36-7.37 (m, 1H), 7.27-7.28 (m, 1H), 7.14 (d, J = 8.40 Hz, 1H), 6.90-6.99 (m, 1H) ppm. 13C NMR (100 MHz, CDCl3): δ = 116.04, 117.93, 118.98, 119.70, 121.23, 122.34, 123.03, 123.63, 123.75, 126.71, 129.03, 129.66, 130.81, 131.78, 133.12, 134.09, 138.28, 140.54, 146.56, 163.51, 168.26, 189.23 ppm. MS: m/z=358.08(M+).
(3j) 5-chloro-N-[(2-chloroquinolin-3-yl) methylidene]-2-phenoxy aniline
1H NMR(400 MHz, CDCl3): δ = 11.29 (s, 1H), 10.26 (s, 1H), 8.82 (s, 1H), 7.93 (d, J = 7.60 Hz, 2H), 7.87 (t, J = 7.60 Hz, 2H), 7.52-7.53 (m, 3H), 7.47 (t, J = 7.20 Hz, 1H), 7.23-7.32 (m, 1H), 7.12 (d, J = 7.60 Hz, 1H), 6.98 (d, J = 8.80 Hz, 1H) ppm. 13C NMR (100 MHz, DMSO-d6): δ = 117.25 117.35, 120.52, 121.59, 122.73, 124.73, 126.57, 127.02, 127.51, 127.89, 128.07, 128.31, 128.34, 128.78, 131.90, 137.58, 140.03, 146.53, 149.79, 152.08, 157.50, 160.91 ppm. MS: m/z=393.11(M+).
Antibacterial activity
The clinical isolations of bacterial strains were purchased from National Chemical Laboratory (NCL), PUNE. Antibacterial efficacies of the synthesized compounds were carried out on gram+ve bacteria Staphylococcus aureus [NCIM-5022] and gram-ve Escherichia coli [NCIM-5051] by using agar well diffusion method with minor modifications [33]. To assess the antibacterial activity through MIC of compounds (3a-j), culture plates were prepared using sterile agar media and swabbed with 100 µl of 24 hr mature broth culture of individual bacterial strains using Sterile L-shaped glass rod. Agar wells were prepared using sterile cork borer, 6 mm wells were made into the each Petri-plate. The 100 µl of each compound at various concentrations of 10, 20, 30, 40, 50, 60 and 80 µg/ml were added to agar wells in order to evaluate the minimum inhibitory concentration at which bacterial growth inhibited. For comparative evaluation standard drug Ciprofloxacin (Hi Media, Mumbai, India) a positive control was used. Then, the MIC was calculated by measuring at each concentration after an incubation period of 36 hr at 37 °C.
In silico molecular property predictions
The Synthesized compounds were checked to satisfy Lipinski’s rule [34] of five using the Molinspiration virtual platform (http://www. molinspiration. com/cgi-bin/properties/) and also used to predict Bioactivity scores for various drug targets. OSIRIS program (http://www. organic-chemistry. org/prog/peo/) used to predict pharmacokinetics profile such as solubility, drug likeness/scores and toxicity potential of synthesized compounds (3a-j). Lipinski’s rule of five is known as thumb rule that indicates whether a chemical can be orally active in humans for drug likeness [35] and the molecular property stated in the rule are very important for drug pharmacokinetics in the human body. The percentage of absorption (%ABS) is calculated by using %ABS=109-(0.345 X TPSA) [36] to express the degree of absorption and prediction of drug transport properties was predicted by using the parameter such as Molecular polar surface area (TPSA) [37]. The predictions are based on the fragments or functional group similarity for the query molecule with the in vitro and in vivo validated and compounds are analyzed [38] topologically with possible mutagenic (Mut.), tumorigenic (Tum.), and irritant (Irr.) and effective reproductive (Eff. Rep.) effects. Therefore, the color coded by yellow indicates medium risks; red color indicates high risk and green color indicates the compounds possess good drug-like properties.
Bioactivity of the synthesized compounds have been checked by calculating the activity score on various human Targets such as GPCR ligand, ion channel modulator, the nuclear receptor legend, kinase inhibitor, protease inhibitor, enzyme inhibitor by using Molinspiration web based tool. Based on the scores of the compounds, the bioactivity has been predicted (39). For organic molecules the probability is if<-5.0 then inactive, if-5.0-0.0 then moderately active and if the bioactivity score is>0 then it is active, the results are mentioned in the table 5.
Pharmacokinetics properties
The absorption, distribution, metabolism, elimination and toxicity (ADMET) properties were estimated for the synthesized compounds (3a-j) by using the Discovery Studio 2.1 (Accelrys, San Diego, CA, USA) [40]. Therefore, the ADMET characteristics were quantitatively predicted for the compounds by a set of keys as mentioned in the table 1, these keys are the six mathematical models in built in the module [41].
Table 1: ADMET descriptors standard and keys
Aqueous solubility & drug likeness |
Blood brain barrier penetration |
Human intestinal absorption |
CYP2D6 | ||||
| Level | Intensity | Level | Intensity | Level | Intensity | Level | Intensity |
| 0 | Extremely low | 0 | Very high | 0 | Good | 0 | Non inhibitor |
| 1 | No, but possible | 1 | High | 1 | Moderate | 1 | inhibitor |
| 2 | Yes, low | 2 | Medium | 2 | Poor | ||
| 3 | Yes, good | 3 | Low | 3 | Very Poor | Hepatotoxicity | |
| 4 | Yes, optimal | 4 | Undefined | Level | Intensity | ||
| 5 | No, too soluble | 0 | Nontoxic | ||||
| 6 | unknown | 1 | Toxic |
Molecular docking and pharmacophore modeling
To gain a better insight on the molecular mechanism of activity of these compounds, we tried to predict by using two methods of computational modeling; molecular docking and pharmacophore modeling. The binding interaction of synthetic compounds with appropriate drug targets can be explained through the following molecular docking studies, while pharmacophore modeling could predict active chemical features of these compounds that are responsible for its biological activity. All molecular modeling calculations were performed using Accelrys Discovery studio [42].
For our studies, a crystal structure of our drug targets Human DNA topoisomerase I and Plasmodium falciparum Lactate dehydrogenase are selected for cancer and malaria respectively. The best protein was selected based on Ramachandran plot analysis [43]. The high resolution x-ray crystal structures of the protein human DNA topoisomerase I in complex with the camptothecin and covalent complex with A 22 base pair DNA duplex (PDB ID: 1T8I) and Plasmodium falciparum l-lactate dehydrogenase complexed with NADH and oxamate (PDB ID: 1LDH) are retrieved from protein data bank [44].
The 3D structure of synthesis compounds was generated using catalyst algorithm in DS. Further, the compound preparations were carried out with constraint parameters such as ionization change, tautomer and isomer generation. By applying the force field CHARMm, minimization is carried out with the steepest descent method which follows by the conjugant gradient method till it satisfies the convergence gradient.
The CDOCKER and Ligand Fit modules in DS are used for molecular docking studies. CDOCKER uses a CHARMm-based molecular dynamics (MD) scheme to dock compounds into a receptor binding site to predict putative geometry of a protein-compound complex [45]. The CDOCKER docking simulations were performed to evaluate the binding mode of synthesized compounds 3a-j, within an active site of Human DNA topoisomerase I (PDB ID: 1T8I). In order to evaluate our compounds docking affinities, docking studies are also carried out for the standard anti cancer Irinotecanin and the results are analyzed.
Ligand Fit is a shape-based method used to dock compounds into the active site of a protein. The determinations of the compound binding affinity are calculated based on the high Dock score of best conformation [46]. The Ligand Fit docking procedure was performed to evaluate the binding mode of synthesized compounds 3a-j, within an active site of Human DNA topoisomerase I. The Docking scores were compared with standard antimalarial drug Mefloquine. The molecular modeling is carried out to construct a hypothetical pharmacophore model for the antitumor and antimalarial activity aiming to study the fitting of the designed compounds 3a-j to the generated pharmacophores of target proteins Human DNA topoisomerase I and Plasmodium falciparum Lactate dehydrogenase. All pharmacophore modeling studies are performed using Catalyst in DS [47].
RESULTS AND DISCUSSION
Chemistry
A common synthetic route was applied to obtain a new N-[(2-chloroquinolin-3-yl) methylidene]-2-anilines (3a-j) Schiff's bases as shown in scheme 1. The 2-chloro-3-formylquinoline was used as key intermediate, with this commercially available appropriately substituted anilines, were condensed in the presence of catalytic amount of acetic acid in ethanol as solvent at 25 °C under stirring for 6-7 hr to get N-[(2-chloroquinolin-3-yl) methylidene]-2-anilines (3a-j) Schiff bases and all the structures were confirmed by 1H NMR, 13C NMR and LCMS analysis.

Scheme 1: Synthesis of N-[(2-chloroquinolin-3-yl) methylidene]-2-anilines (3a-j)
Initially, we examined the reaction of 2-chloro-3-formylquinoline 1 (1 mmol) with 2-(trifluoro methyl)aniline 2a (1 mmol) at room temperature stirring for 6 hours in the presence of catalytic amount of acetic acid in ethanol solvent The smooth reaction was occurred to generate the corresponding N-[(2-chloroquinolin-3-yl) methylidene]-2-(trifluoro methyl)aniline (3a) in 80% yield. The formation and the characterization of 3a was done as under

N-[(2-chloroquinolin-3-yl) methylidene]-2-(trifluoro methyl) aniline (3a)
In 1H NMR spectrum of 3a the peaks of aromatic protons have appeared in the expected region the numbers of protons are in accordance with the expected structure 3a. Triplet at δ = 7.48 ppm with coupling constant J = 7.6 Hz corresponds to C6-H, doublet at δ = 7.04 ppm with coupling constant J = 8.4 Hz corresponds to C18-H and another doublet at δ = 7.13 ppm with coupling constant J = 8.0 Hz corresponds to C15-H. Additional support to elucidate the structures is obtained from 13C NMR spectra of these compounds. The appearance of peak at δ = 116.47, 117.11, 118.77, 120.25, 122.62, 124.88, 129.69, 130.01, 132.53, 133.72, 143.25, 152.09, 156.05, 163.98, 172.43, 189.52 ppm corresponds to C20, C19, C3, C15, C18, C17, C9, C6, C5, C8, C7, C16, C5, C14, C10, C2, C11 carbon atoms respectively. The mass spectrum of 3a was recorded as additional evidence to the proposed structure and it exhibited M+1 peak at m/z 334.25. From all these spectral evidences the structure of N-[(2-chloroquinolin-3-yl) methylidene]-2-(trifluoro methyl) aniline (3a) has been confirmed. Similarly, structures of all other derivatives (3a-j) were established and presented in experimental section and table 2.
Table 2: Physical data of N-[(2-chloroquinolin-3-yl) methylidene]-2-aniline derivatives (3a-j)
| Compounds | Substituted Anilines (2a-j) | Products (3a-j) | Yielda(%) | M. P (oC) |
| 3a | ![]() |
![]() |
80 | 200-205oC |
| 3b | ![]() |
![]() |
80 | 270-275oC |
| 3c | ![]() |
![]() |
83 | 240-245oC |
| 3d | ![]() |
![]() |
85 | 250-255oC |
| 3e | ![]() |
![]() |
80 | 270-275oC |
| 3f | ![]() |
![]() |
83 | 260-265oC |
| 3g | ![]() |
![]() |
82 | 285-290oC |
| 3h | ![]() |
![]() |
80 | 185-190oC |
| 3i | ![]() |
![]() |
85 | 170-175oC |
| 3j | ![]() |
![]() |
80 | 215-220oC |
a = Column Purified
Antibacterial activity
The newly synthesized N-[(2-chloroquinolin-3-yl) methylidene]-2-aniline derivatives (3a-j) were screened for their antibacterial activity against Gram+ve S. Aureus and Gram-ve E. coli, with standard drug Ciprofloxacin. The Determination of Minimum Inhibitory Concentration (MIC) is defined as the highest dilution or least concentration of the compounds that inhibit the growth of organisms. MIC values of the tested compounds are presented in Table-3. Based on the result, compounds 3a and 3i shown the MIC at 20.0 µg/ml against Gram+ve S. aureus, and the reference drug exhibits inhibition at 3.1 µg/ml. The compounds 3f, and 3i inhibit Gram-ve E. coli at MIC 10.0 µg/ml and compounds 3a, 3c, 3g at MIC 30.0 µg/ml, whereas standard Ciprofloxacin found to have 6.1 µg/ml against Gram-ve E. coli.
Table 2: Minimum Inhibitory concentration of the compounds (μg/ml)
| Compounds | S. aureus | E. coli |
| 3a | 20.00 | 30.00 |
| 3b | 40.00 | 60.00 |
| 3c | 60.00 | 30.00 |
| 3d | 60.00 | 60.00 |
| 3e | >80.00 | 60.00 |
| 3f | 30.00 | 10.00 |
| 3g | >80.00 | 30.00 |
| 3h | 80.00 | >80.00 |
| 3i | 20.00 | 10.00 |
| 3j | 80.00 | 60.00 |
| Ciprofloxacin | 3.10 | 6.10 |
MIC of various compounds against Gram+ve S. aureus,
Gram-ve E. coli, expressed as μg/ml
In silico molecular property predictions
Molecular properties of the synthesized compounds N-[(2-chloroquinolin-3-yl) methylidene]-2-anilines (3a-j) are predicted by using Molinspiration online property calculation toolkit, the results are presented in the below table 4. According to, all the synthesized compounds (3a-j) were observed one violation and this clear violation is due to log p, all the synthesized compounds are found higher than 5 this may results poor permeability across the membrane, where as all three standard drugs found be under five and justifiable for oral use. Hydrogen bond acceptors and Donors are found within>10 and>5 as per Lipinski’s rule of five. Molecular weight of all the compounds found to be less than 500 where as reference drug Irinotecan found to be higher than 500. Based on the results synthesized compounds are good diffusion and easily transported. Bioavailability, blood-brain barrier penetration and drug absorption including intestinal absorption are characterized as good descriptors through TPSA parameters [47]. The TPSA values of the synthesized compounds lies between 25.256 and 34.49 Å2 hence, the compounds are proven to have good oral bioavailability as well as penetration through the blood-brain barrier [48]. For all the synthesized compounds % ABS are lies between 97.10 % to 100.29 %. Hence all the compounds found to exhibit good degree of absorption. Compounds 3a-j possess 2-4 rotational bonds, therefore all the synthesized compounds exhibits optimum conformational flexibility. Overall drug score was calculated in combination of drug-likeness, hydrophobicity (LogP), aqueous solubility (LogS), and toxicity risk parameters. The Oral hydrophobicity of the drugs is directly proportional the LogP value, ability of the drug to circulate longer in our body due to higher hydrophobicity.
The toxicity profile evaluation was performed to assess the pharmacological properties and predict the drug-score of the synthesized compounds 3a-j, potential risk has been associated due to the presence of various fragments contained in the synthesized compounds 3a-j are virtually explored. Based on the below results in (table 5), irritating effects of compounds 3c and 3h are at medium risk and 3g shown to be high risk and the remaining compounds are found to be non toxic property. Therefore, the presence-OCF3,-OPh and-CF3 groups at para position in Schiff base fragments and topology of 3c, 3h and 3g shows medium and high risk towards biological toxicity compared with the remaining compounds (table 5). Hence the results indicates that all the synthesized compounds 3a-j would be safe and exhibit low or non toxic towards mutagenicity, Tumorigenicity and Reproductive effect.
Table 3: Calculated molecular properties and Lipinski’s rule of five parameters for the N-[(2-chloroquinolin-3-yl) methylidene]-2-anilines (3a-j)
| Lipinski’s Parameters | TPSA (Ų) | Volume | %ABS | nrotb | natoms | |||||
| Compounds | HBA | HBD | MW | Mi Log P | Violations | |||||
| Rule | >10 | >5 | >500 | >5.0 | >1 | - | - | - | - | - |
| 3a | 2 | 0 | 334.72 | 5.270 | 1 | 25.256 | 263.38 | 100.29 | 3 | 23 |
| 3b | 2 | 0 | 334.72 | 5.294 | 1 | 25.256 | 263.38 | 100.29 | 3 | 23 |
| 3c | 3 | 0 | 350.72 | 5.392 | 1 | 34.490 | 272.36 | 97.10 | 4 | 24 |
| 3d | 2 | 0 | 402.72 | 6.142 | 1 | 25.256 | 294.67 | 100.29 | 4 | 27 |
| 3e | 2 | 0 | 294.78 | 5.248 | 1 | 25.256 | 265.20 | 100.29 | 2 | 21 |
| 3f | 2 | 0 | 348.75 | 5.695 | 1 | 25.256 | 279.94 | 100.29 | 3 | 24 |
| 3g | 2 | 0 | 369.17 | 5.924 | 1 | 25.256 | 276.91 | 100.29 | 3 | 24 |
| 3h | 3 | 0 | 358.82 | 6.177 | 1 | 34.490 | 312.47 | 97.10 | 4 | 26 |
| 3i | 3 | 0 | 358.82 | 6.129 | 1 | 34.49 | 312.47 | 97.10 | 4 | 26 |
| 3j | 3 | 0 | 393.27 | 6.783 | 1 | 34.490 | 326.01 | 97.10 | 4 | 27 |
| Irinotecan | 10 | 1 | 586.68 | 4.100 | 1 | 114.21 | 530.67 | 69.60 | 5 | 43 |
| Ciprofloxacin | 6 | 2 | 331.34 | -0.70 | 0 | 74.569 | 285.46 | 83.27 | 3 | 24 |
| Mefloquine | 3 | 2 | 378.31 | 4.240 | 0 | 45.147 | 296.91 | 93.42 | 4 | 26 |
Log P=logarithm of the octanol/water partition coefficient; TPSA=topological polar surface area; MW=molecular weight; HBA=number of hydrogen bond acceptors; HBD = number of hydrogen bond donors; violations=number of violations of the Lipinski’s rule of five; %ABS=absorption percentage; Log S= solubility
Table 5: Toxicity and Drug-relevant properties prediction for N-[(2-chloroquinolin-3-yl) methylidene]-2-anilines (3a-j)
| Compounds | Potential riskab | Drug-likeness | Drug-Score | |||
| Mut., | Tum., | Irr., | Rep Eff., | |||
| 3a | ![]() |
![]() |
![]() |
![]() |
-8.65 | 0.26 |
| 3b | ![]() |
![]() |
![]() |
![]() |
-6.08 | 0.26 |
| 3c | ![]() |
![]() |
![]() |
![]() |
-14.10 | 0.19 |
| 3d | ![]() |
![]() |
![]() |
![]() |
-22.359 | 0.19 |
| 3e | ![]() |
![]() |
![]() |
![]() |
-4.28 | 0.28 |
| 3f | ![]() |
![]() |
![]() |
![]() |
-8.81 | 0.23 |
| 3g | ![]() |
![]() |
![]() |
![]() |
-6.12 | 0.12 |
| 3h | ![]() |
![]() |
![]() |
![]() |
-2.40 | 0.16 |
| 3i | ![]() |
![]() |
![]() |
![]() |
0.74 | 0.31 |
| 3j | ![]() |
![]() |
![]() |
![]() |
1.92 | 0.28 |
| Irinotecan | ![]() |
![]() |
![]() |
![]() |
0.07 | 0.35 |
| Ciprofloxin | ![]() |
![]() |
![]() |
![]() |
2.07 | 0.82 |
| Melfoquine | ![]() |
![]() |
![]() |
![]() |
-6.62 | 0.20 |
a Colors code for potential risk: Drug-conform, Middle risk, Un desired effects. b (Mut.) Possible mutagenic, (Tum.)Tumorigenic, (Irr.) Irritant and (Rep. Eff.) Re productive effective.
The bioactivity scores of the synthesized compounds N-[(2-chloroquinolin-3-yl) methylidene]-2-anilines (3a-j) were predicted on the basis of GPCR ligand, ion channel modulator, nuclear receptor legend, kinase inhibitor, protease inhibitor and enzyme inhibitor were mentioned in table 6 as per the rule the observations are as follows.
Bioactivity scores towards GPCR ligand all the compounds were found to have moderate bioactivity (<0), whereas reference drug Irinotecan and Mefloquine found to be active with 0.33 and 0.45, Ciprofloxin found to be 0.12 for GPCR ligand. Ion channel modulator all compounds (3a-j) and reference drug Irinotecan and Ciprofloxin found moderate active. But reference drug Mefloquine found active for Ion channel modulator with value 0.21. For Kinase inhibitor all compounds (3a-j) and all three above mentioned reference drugs also found to be moderate active. Again for Nuclear receptor ligand and Protease inhibitor all compounds and reference drug Irinotecan and Ciprofloxin found moderate active, whereas Mefloquine found active with 0.30 and 0.36 score respectively. Enzyme inhibitor all compounds (3a-j) found to be moderate active where as all the reference compounds Molfoquine found active in enzyme inhibition.
Pharmacokinetics properties
The ADMET predictions of the synthesized compound 3a-j as mentioned in the table 7. Compounds 3a, 3b and 3e were shown good absorption, whereas compounds 3c, 3d and 3f-j found to have moderate intestinal absorption. Solubility of compounds in water at 25 °C was predicted through aqueous solubility levels and lower the solubility compounds are favorable for good and complete oral absorption [49]. The compounds 3a-j shown solubility levels 1 which was found to be very low (table 7). All these results were compared against the reference Level (table 1). All the compound 3a-j have shown high BBB penetration efficacy towards the blood brain barrier.
ADMET plasma binding predicts that the all the compounds 3a-j exhibited greater than 95% binding capacity to cross the membrane to plasma protein. ADMET hepatotoxicity indicates organ toxicity, which implies that the compounds except 3e all others are found to be toxic. For CYP2D6 probability, the result shown that the compounds 3h-i did not inhibit the CYP2D6 enzyme, but remaining compounds 3a-g found to inhibit CYP2D6 enzyme during metabolism via cytochrome P450 pathways [50].
Table 6: Predicted bioactivity scores for N-[(2-chloroquinolin-3-yl) methylidene]-2-anilines (3a-j)
| Compounds | GPCR ligand | Ion channel modulator |
Kinase inhibitor | Nuclear receptor ligand |
Protease inhibitor | Enzyme inhibitor |
| 3a | -0.26 | -0.22 | -0.08 | -0.18 | -0.38 | -0.12 |
| 3b | -0.25 | -0.28 | -0.02 | -0.22 | -0.41 | -0.17 |
| 3c | -0.24 | -0.22 | -0.10 | -0.13 | -0.30 | -0.16 |
| 3d | -0.19 | -0.23 | -0.01 | -0.17 | -0.31 | -0.14 |
| 3e | -0.42 | -0.48 | -0.17 | -0.48 | -0.60 | -0.24 |
| 3f | -0.28 | -0.33 | -0.05 | -0.20 | -0.45 | -0.22 |
| 3g | -0.20 | -0.29 | -0.07 | -0.28 | -0.39 | -0.17 |
| 3h | -0.24 | -0.31 | 0.01 | -0.23 | -0.30 | -0.11 |
| 3i | -0.23 | -0.41 | -0.09 | -0.19 | -0.30 | -0.14 |
| 3j | -0.22 | -0.40 | -0.10 | -0.20 | -0.34 | -0.17 |
| Irinotecan | 0.33 | -0.45 | -0.10 | -0.15 | 0.02 | 0.54 |
| Ciprofloxin | 0.12 | -0.04 | -0.07 | -0.19 | -0.21 | 0.28 |
| Melfoquine | 0.45 | 0.21 | -0.05 | 0.30 | 0.36 | 0.21 |
>0-active,-5.0-0.0-moderately active,<-5.0-inactive.
Table 7: ADMET Prediction of N-[(2-chloroquinolin-3-yl) methylidene]-2-anilines (3a-j)
| Compounds | BBB Level |
Absorption _Level |
Solubility Level |
Hepatotoxicity | CYP2D6 | PPB Level |
Unknown AlogP98 |
| 3a | 0 | 0 | 1 | 1 | 0 | 2 | 0 |
| 3b | 0 | 0 | 1 | 1 | 0 | 2 | 0 |
| 3c | 0 | 1 | 1 | 1 | 0 | 2 | 0 |
| 3d | 0 | 1 | 1 | 1 | 0 | 2 | 0 |
| 3e | 0 | 0 | 1 | 0 | 0 | 2 | 0 |
| 3f | 0 | 1 | 1 | 1 | 0 | 2 | 0 |
| 3g | 0 | 1 | 1 | 1 | 0 | 2 | 0 |
| 3h | 0 | 1 | 1 | 1 | 1 | 2 | 0 |
| 3i | 0 | 1 | 1 | 1 | 1 | 2 | 0 |
| 3j | 0 | 1 | 1 | 1 | 1 | 2 | 0 |

Fig. 2: ADMET descriptors, 2D PSA in À for each compounds plotted against their corresponding calculated atom-type partition coefficient (ALogP98)
Molecular docking and pharmacophore modeling of compounds 3a-j against cancer protein Human DNA topoisomerase I (PDB ID: 1T8I)
The synthesized N-[(2-chloroquinolin-3-yl) methylidene]-2-anilines (3a-j) were tested for in silico docking studies within the compound binding poses of cancer protein of Human DNA topoisomerase I by using C-DOCKER and the results were interpreted in table 8. The reference molecule Irinotecan, interacting with Human DNA topoisomerase I, has docking scores of 26.645 (-Cdocker_Energy). As illustrated in table 8 the most potent ligand among the synthesized compound is N-[(2-chloroquinolin-3-yl) methylidene]-4-phenoxy aniline (3d) shows strong binding interaction with active site of ARG364 and ASN718 with high Cdocker energy score of 20.696 kcal/mol and forms two hydrogen bonds with the protein Human DNA topoisomerase (fig. 3a). Therefore, the hydrogen bonds are formed between chlorine atom of compound 3d interacting with hydrogen atom of nitrogen molecule of arginine 364 (A: ARG364:NH2–3d: Cl14) amino acid with a distance of 2.44300 Aoandoxygen atom of compound 3d interacts with the hydrogen atom of threonine 718 (A: THR718:HG1–3d: O21) with a distance of 2.45700 Ao, indicates more potent inhibitor of f Human DNA topoisomerase receptor. Pharmacophore model, for the protein Human DNA topoisomerase I, comprises, one HBA, one HBD and three hydrophobic features and almost all the compound has shown the fit score of 1.96 and the compound 3h shows a fit value of 2. But from the overall docking analysis and pharmacophore mapping, compound 3d is found as the lead compound as it shown stronger binding affinity compared to the other compounds. Fig. 3b shows the mapping of the compound 3d on to the pharmacophore model of Human DNA topoisomerase I.
Table 8: Docking scores of N-[(2-chloroquinolin-3-yl) methylidene]-2-anilines (3a-j) with Cancer protein
| Compounds | Human DNA topoisomerase I (PDB ID: 1T8I) | |
| Cdocker_Energy | Fit value | |
| 3a | 15.355 | 1.960 |
| 3b | 19.365 | 1.960 |
| 3c | 16.895 | 1.968 |
| 3d | 20.696 | 1.960 |
| 3e | 19.667 | 1.959 |
| 3f | 17.521 | 1.960 |
| 3g | 19.476 | 1.960 |
| 3h | 18.985 | 2.000 |
| 3i | 18.249 | 1.960 |
| 3j | 20.267 | 1.960 |
| Irinotecan | 26.645 | - |
Molecular docking of pharmacophore modeling compounds 3a-j against malaria protein Plasmodium falciparum l-lactate dehydrogenase (PDB ID: 1LDH)
To study the binding modes of the N-[(2-chloroquinolin-3-yl) methylidene]-2-anilines (3a-j) in the active sites of Plasmodium falciparum l-lactate dehydrogenase, molecular docking study was performed by ligand fit program. Dock score is used to estimate the ligand-binding energies. The protein Plasmodium falciparum l-lactate dehydrogenase was docked with synthesized compounds (3a-j) and mefloquine as reference drug, results are summarized in table 9. The mefloquine reference drug was found to strong interaction with the protein structure with the Dock score of 47.234 kcal/mol (Ligandfit Dock score). The synthetic ligand N-[(2-chloroquinolin-3-yl) methylidene]-4-methyl-3-(trifluoro methyl)aniline (3c) having the highest dock score of 45.703 kcal/mol with two hydrogen bond formations with the ASN140 residue of protein 1LDH (fig. 4a). The first hydrogen bond is formed between the oxygen atom of ligand 3f interacting with the nitrogen atom of ASN140 with a distance of 2.212000 Ao (A: ASN140:HD22-3c: O21) and second hydrogen bond is formed between the fluorine atom of compound 3c interacting with the amino acid residue ASN140 with a distance of 2.076000 Ao (A: ASN140:HD22-3c: F23). Additionally, Pharmachopore model for protein of Plasmodium falciparum l-lactate dehydrogenase comprising two HBA, two HBD and two hydrophobic features and compound 3c is well fitted into the pharmacophore model with a fit value of 1.937 as shown in the below fig. 4b.

(a)-3d (b)-3h
Fig. 3: (a) Hydrogen bond interactions of compound 3d with Human DNA topoisomerase I and The green dotted lines represents the hydrogen bonds formations and green letters showing the amino acids involved in the bonding and compounds are shown in ball and stick model. (b) Pharmacophore mapping of compound 3h with Human DNA topoisomerase I Green color indicates hydrogen bond acceptor (HBA); cyan indicates hydrophobic (H) and magenta indicates hydrogen bond donor (HBD)
Table 8b: Docking scores of N-[(2-chloroquinolin-3-yl) methylidene]-2-anilines (3a-j) with malarial protein
| Compounds | Plasmodium falciparum (PDB ID: 1LDH) | |
| Ligand fit dock score | Fit value | |
| 3a | 20.097 | 1.685 |
| 3b | 24.367 | 1.891 |
| 3c | 45.703 | 1.937 |
| 3d | 20.509 | 1.892 |
| 3e | 20.751 | 1.921 |
| 3f | 25.555 | 1.899 |
| 3g | 31.574 | 1.731 |
| 3h | 41.991 | 1.904 |
| 3i | 14.310 | 1.936 |
| 3j | 6.614 | 1.532 |
| Mefloquine | 47.234 | - |

(a) 3C (b)3c
Fig. 4: (a) Docking image of compound 3c shown two Hydrogen bonds with Plasmodium falciparum l-lactate dehydrogenase. The green dotted lines represents the hydrogen bonds formations and green letters showing the amino acids involved in the bonding and compounds are shown in ball and stick model. (b) Pharmacophore mapping of compound 3c with Plasmodium falciparum l-lactate dehydrogenase. Green color indicates hydrogen bond acceptor (HBA); cyan indicates hydrophobic (H) and magenta indicates hydrogen bond donor (HBD)
CONCLUSION
Various N-[(2-chloroquinolin-3-yl) methylidene]-2-anilines (3a-j) Schiff bases containing biologically more significant-CF3 and-OCF3 groups were described. The in vitro study reveals that the synthesized compounds 3a-j found to inhibit S. aureus and E. coli with better MIC values. The in silico predictions of the synthesized compounds (3a-j) obeys Lipinski’s rule of five. However, we observed one violation which results in the poor permeability across the membrane, remaining pharmacokinetics studies values was good to excellent with overall positive drug score which intern confirms the durglikeliness of the compounds. Nevertheless, compounds 3a and 3j were prone to plasma binding with >95 % and also found to be toxic for liver which needs certain modification in structure. Similarly among the test compounds 3a-j the compound 3d has shown strong binding interaction with protein Human DNA topoisomerase with an active site amino acid ARG364 and ASN718 with high Cdocker energy score of-20.696 kcal/mol. In the case of malarial protein Plasmodium falciparum the compound 3c had shown the highest dock score of-45.703 kcal/mol forming two hydrogen bonds. In conclusion, the compounds 3d and 3c are found to be promising pharmacophores for antimalarial and anticancer activity and hence can be considered for further evaluation.
CONFLICT OF INTERESTS
Declared None
ACKNOWLEDGMENT
The authors are thankful to IISc Bangalore, University of Mysore for providing spectral data and also thankful to Govt., Science College Tumkur University for providing the facility to carry out antibacterial activity. We also thank the authorities of Kuvempu University for providing the necessary facilities to carry out the present work.
REFERENES