
School of Studies in Chemistry, Jiwaji University, Gwalior 474001, Madhya Pradesh, India
Email: drenu23@gmail.com
Received: 08 May 2015, Revised and Accepted: 07 Jun 2015
ABSTRACT
Objective: Thiazolidinone, a saturated form of thiazole with carbonyl group on the fourth carbon, has been considered as magic moieties (Wonder nucleus) which possess almost all types of biological activities. This diversity in the biological response profile has attracted the attention of many researchers to explore this skeleton to its multiple potential against several activities
Methods: Looking to the importance of N and S hetero cycles in the medical field, 4-thiazolidinone derivatives (3b,4b) have been synthesized by cyclization of substituted imines(1a,2a) with mercaptoacetic acid in presence of anhydrous ZnCl2 as a catalyst in DMF. The 4-thiazolidinone derivatives have also been tested against two bacterial strains viz. S. aureus and E. coli and two fungal pathogens viz. A. niger and C. albicans using Kirby-Bauer method.
Result: New series of azomethines and 4 thiazolidinones compounds have been prepared. The synthesized compounds were characterized on the basis of IR, 1H-NMR, and elemental analysis. The purity of the compounds was checked using pre coated TLC plates (MERCK) using n-hexane: ethyl acetate (8:2) solvent system. The synthesized compounds show good antimicrobial acivity.
Conclusion: The zone of inhibition is directly proportional to the degree of sensitivity of the bacterial, fungal strain and concentration of compound under test. A systematic perusal data of antimicrobial activity reveals that, with the increase in concentration of drug, increase in zone of inhibition occur in petridish. Better antimicrobial activity have been pointed out in synthesized compounds
Keywords: Schiff bases, 4-thiazolidinones, Antibacterial activity, Antifungal activity etc.
INTRODUCTION
An antimicrobial is a substance that kills or inhibits the growth of microorganisms such as bacteria, fungi, or protozoans. Antimicrobial drugs either kill microbes (microbicidal) or prevent the growth of microbes (microbistatic). The history of antimicrobials begins with the observations of Pasteur and Joubert, who discovered that one type of bacteria could prevent the growth of another. They did not know at that time that the reason one bacterium failed to grow was that the other bacterium was producing an antibiotic. Technically, antibiotics are only those substances that are produced by one microorganism that kill, or prevent the growth, of another microorganism. Of course, in today's common usage, the term antibiotic is used to refer to almost any drug that attempts to rid your body of a bacterial infection. Antimicrobials include not just antibiotics, but synthetically formed compounds as well. Schiff bases are the important compound owing their wide range of biological activities and industrial application. They have been found to possess the pharmacological activities such as anticancer [1] antibacterial [2-7] antifungal [8-9], antitubercular [10], antiinflammetery [11,12], antimicrobial [13-16] and antiviral [17], antioxidant [18] etc.
They also serve as a backbone for the synthesis of various heterocyclic compounds. The presence of azomethine functional group is responsible for antimicrobial activitiy, which can be altered depending upon the type of substituent present on 4-thiazolidinones have been shown to have various important biological activities [19-21]. Some of these compounds were screened for their antibacterial and antitubercular static activities, and it has been found that some of them have moderate to good biological properties [22]. The biological significance of this class of compounds impelled us to continue working on the synthesis of new thiazolidinone derivatives.
MATERIALS AND METHODS
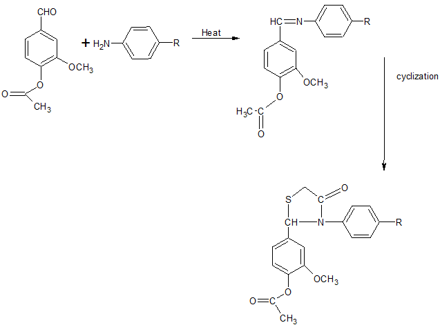
(A) Synthesis of 3-methoxy 4–acetyloxy benzaldehyde
The vanillin (5.3 gm; 0.970 M) was dissolved in aqueous sodium hydroxide solution (25 mL, 2.5N) and crushed ice (50 gm) along with acetic anhydride (5.7 ml) was added. The contents were vigorously stirred, for one hour. The solid were filtered washed successively with sodium hydroxide solution (0.1N, 20 ml) and water (20 ml). The product was recrystallised from petroleum ether or ethanol, white shining crystals were obtained.
(B) Synthesis of Schiff Bases of 2 methoxy-4-[N-(4 substituted) carboximidoyl] phenol
3–methoxy 4–acetyloxybenzyldehyde (0.005 M) were dissolved in absolute ethanol and the contents were refluxed for 5 hrs. The reaction mixture was cooled in ice water and acidified with a drop of sulphuric acid. It was filtered under suction washed with ethanol and recrystallised from aq, ethyl alcohol, when white crystals of the schiff base were obtained.
(C) Synthesis of 2–[(4–substituted phenyl)–2–(4–methylphenyl) ]–1, 2–thizolidin–4–one
In a round bottom flask schiff base (0.001 M), in dimethyl formamide was mixed with mercaptoacetic acid (0.001 M, in DMF) with continous stirring. A pinch of anhydrous ZnCl2 was added followed by refluxing for 16 hrs. The resction mixture was then allowed to cooled and poured over crushed ice. The solid thus obtained was filtered, washed and recrystallized with aq. glacial acetic acid.
1apale yellow solid, 72%, mp 121oC IR(KBr cm-1): 3000 cm-1 (C=H stretch), 1725 cm-1 (C=O stretch), 1601 cm-1 (C=NH stretch), 758 cm-1 (C-Cl stretch) 1HNMR: δ 8.7 (S, 1H,-CH=N), δ 7.6 (t, 2H, Ar-H), δ 7.8-δ 7.9 (d, 1H, Ar-H), δ 3.4 (S,1H, OCH3)
2a white solid, 84%, mp 130oC IR (KBR cm-1): 1700 cm-1 (C=O stretch), 1623 cm-1 (C=N stretch), 3000 cm-1 (C-H stretch) 1HNMR: δ 8.7 (s, 1H, CH=N), δ 7.6 (t, 2h, Ar-H), δ 2.4 (s, 3H, CH3)
3b Light Brown, 69%, mp 190oC IR (KBR cm-1): 3460 cm-1 (N-H stretch), 1690 cm-1(C=Ostretch) 1HNMR: δ 8.5 (S, 1H,CH-N). δ6.9-7.4 (m, 4H, Ar-H), δ 5.7 (s, 1H, CH2), δ 3.4 (s, 1H, OCH3), δ 2.4 (s, 1H, CH3)
4b Light Brown, 78%, mp 169oCIR (KBR cm-1): 3350 cm-1 (N-H stretch), 1690 cm-1(C=Ostretch) 1HNMR: δ 8.5 (S, 1H,CH-N). δ6.9-7.4 (m, 4H, Ar-H), δ 5.7 (s, 1H, CH2), δ 3.4 (s, 1H, OCH3), δ 2.4 (s, 1H, CH3), δ 3.9 (s, 1H, SCH)
Antimicrobial studies
The 5–membered compounds are evaluated for antimicrobial activity against the two bacterial strains viz. S. aureus and E. coli and two fungal pathogens viz. A. niger and C. albicans using the disc diffusion method. Results obtained were compared with that of standard drug Chloramphenicol and Clotrimazole for antibacterial and antifungal activity respectively
Disc diffusion assay
Using Kirby-Bauer method to determine the antibacterial susceptibility of a compound at fixed concentration doses. For this, few colonies of organisms were inoculated in 2–5 ml broth and grown for2.5 hours. The agar plates were dried for 30 minutes before inoculation, to prevent flow of inoculated material during incubation. A sterile cotton swab is dipped into the bacterial suspension and used to spread evenly the dilute culture on the agar surface. The disc (5 mm diameter were made up of Whatman filter paper No. 1) was autoclaved and then dried at 60oC for one hour. The sterile filter paper discs, impregnated with fixed doses viz 400 µg (10 ml) and 800 µg (10 ml) of compound were placed on the pre-inoculated surface by flamed forceps. The disc bearing plates were incubated within 30 minutes at 37oC for 24 hours. After incubation, the inhibition zone diameter was measured. The zone of inhibition is directly proportional to the degree of sensitivity of the bacterial, fungal strain and concentration of compound under test. A systematic perusal data of antimicrobial activity reveals that. With the increase in concentration of drug, increase in the zone of inhibition occurs in petridish.
RESULTS AND DISCUSSION
Evaluation of antimicrobial activity of Schiff bases and thiazolidinones
Two compounds of schiff bases and two compounds of 4-thiazolidinones were screened against selected strains of bacteria viz S. aureus, E. coli and fungal A. niger, C. albicans using disc diffusion assay.
The zone of inhibition around the disc against the test bacteria and fungus was determined at 400 µg and 800 µg (10 ml) concentration by disc diffusion assay as indicative of the antibacterial and antifungal activity.
Table 1: Antimicrobial studies of Schiff bases and 4-thiazolidinones compounds
| S. No. | Compound | Diameter of zone of inhibition in mm | |||||||
| Bacteria | Fungi | ||||||||
| S. aureus | E. coli | A. niger | C. albicans | ||||||
| 400 µg/disc | 800 µg/disc | 400 µg/disc | 800 µg/disc | 400 µg/disc | 800 µg/disc | 400 µg/disc | 800 µg/disc | ||
| 1 | 1a | - | 05 | 09 | 14 | 09 | 12 | 11 | 13 |
| 2 | 2a | 06 | 09 | 10 | 12 | 06 | 09 | 10 | 12 |
| 3 | 3b | 09 | 11 | 04 | 13 | 06 | 11 | 05 | 09 |
| 4 | 4b | - | 06 | 04 | 14 | 11 | 16 | 10 | 14 |
| 5 | Chloramphenicol | 16 | 22 | 12 | 26 | - | - | - | - |
| 6 | Clotrimazole | - | - | - | - | 22 | 30 | 16 | 20 |


R= CH3, Cl
CONCLUSION
The result study reports the successful synthesis and antimicrobial activity of new imines and 4-thiazolidinone derivatives. The antimicrobial activity revealed that all the compounds have good antibacterial and antifungal activity which may be due to the presence of azomethine linkage in imines and NandS containing 5 membered compounds.
ACKNOWLEDGEMENT
The authors are grateful to Prof and Head S. K. Shrivastava, School of studies in Chemistry Jiwaji University, for providing necessary facilities to carry out this work.
CONFLICT OF INTERESTS
Declared None
REFERENCES