
1Gahlot Institute of Pharmacy, Plot No-59, Sector-14, Koperkhairane, Navi Mumbai 400709 (M. S.), India, 2J. K. K. Nataraja College of Pharmacy, Komarapalayam, (T. N.), India
Email: rupalilikhar09@gmail.com
Received: 20 Jul 2015, Revised and Accepted: 03 Sep 2015
ABSTRACT
Objective: A series of 2-aryl substituted benzothiazole was designed and synthesized with various substituted benzoic acid. 2-mercaptobenzothiazole and thionyl chloride also used to get carbothiaote. The present study was carried to assess the pharmacological potential towards antioxidant activity of 2-aryl substituted benzothiazole derivatives.
Methods: The antioxidant activity of the synthesized compounds was evaluated by 2, 2-diphenyl-1-picrylhydrazyl (DPPH), and superoxide radical scavenging assay methods.
Results: Compounds showed significant radical scavenging potential due to the presence of electron donating substituent.
Conclusion: These indicate that benzothiazole derivatives showed the defence mechanism to prevent formation of excess free radicals.
Keywords: Synthesis, Anti-oxidant activity and 2-aryl substituted benzothiazole derivatives.
INTRODUCTION
The small and simple benzothiazole nucleus is present in compound involved in research aimed at evaluating new product that possesses activity such as antimicrobial, anthelmentic, antileishmanial, anticonvulsant, anti-inflammatory, cardiovascular, central dopaminergic and antitubercular activity.
2-aryl substituted benzothiazole derivatives are case in point. Literature survey reveals that 2-aryl substituted benzothiazole possess vasodilator, antitubercular, antifungal, central nervous stimulant and antioxidant activity [1].
Reactive oxygen species such as superoxide, hydroxyl radical, iron-exchange complexes, hydrogen peroxides are generated by several reactions. These are metabolism of triplet oxygen molecule, one electron reduction of oxygen, catalytic decomposition of hydrogen peroxides, lipid peroxides by metal ion, attack of metal and/or metal oxygen complex, irradiation of visible light and x-rays, and intake of exogenous radicals. These radical react with biological molecule such as DNA, proteins and phospholipids and eventually destroy the structure of other membrane and tissue.
Antioxidant plays an important role in inhibiting and scavenging free radicals, thus providing protection to human against infection and degenerative disease.
MATERIALS AND METHODS
Experimental
The melting range of the synthesized compounds was performed by LAB INDIA visual melting range apparatus. The UV-visible studies were performed by instrument ELICO SL164 double beam spectrophotometer. The IR spectrum studies of the synthesized compounds were prepared by pressed-pellet technique. IR spectra were recorded in KBr discon a FTIR 8300, KBr press (shimadzu). Mass studies of the synthesized compounds were performed by using the instrument SHIMADZU QP 500.
The 1HNMR spectral study was performed by instrument R32PERKIN ELMER the solvent system used for the study was DMSO-d6. X-ray diffraction study of benzothiazole derivatives was performed by PANALYTICALl technique with model X’pro with the help of source Cu k (2.2kw max). Reaction progress was checked by TLC in solvent vapors saturated chamber on glass plates coated with silica gel G 254 provided by Merk followed by visualization under UV light. The solvent system used for thin layer chromatography was acetonitrile: methanol: water (40:40:20).
General method of synthesis of 2-substituted phenyl benzothiazole (Comp: -1, 2, 4) (Scheme I)
Equimolar quantities of O-aminothiophenol (0.04 mol) and substituted benzoic acid were added to 15g of poly phosphoric acid and refluxed for 4 hr at 220 °C. The reaction mixture was cooled and poured into ice-cold 10% sodium carbonate solution. The precipitates were filtered and recrystallized from methanol (90%)
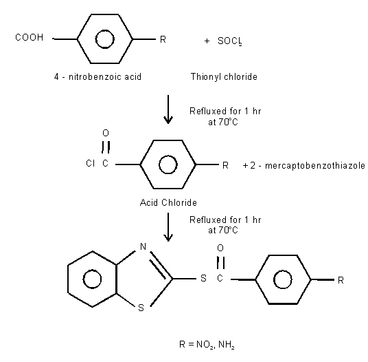
General method of synthesis of substituted benzothiazol-2-yl benzothioate (Comp:-5, 6) (Scheme-II)
A quantity equivalent to 0.01 mol of substituted benzoic acid and 0.04 mol of thionyl chloride were magnetically stirred and refluxed at 70 °C for 1hr. The excess of thionyl chloride was removed from distilling with benzene to get acid chloride. The acid chloride (0.01 mol) and 0.01 mol of mercaptobenzothiazole were added in 25 ml pyridine and heated on water bath for15 min. The reaction mixture was cooled and poured in ice cold water to get precipitate that was crystallized from 95 % methanol.
General Method of synthesis of 4-(benzothiazol-2-yl)-N, N-bis (2-chloroethyl) benzenamine ((Comp: -3, 7) (Scheme-III)
Equimolar quantities of O-aminophenol (0.04 mol) and substituted benzoic acid were added to 15g of polyphosphoric acid and refluxed for 4 hour at 220 °c. The reaction mixture was cooled and poured in 10% sodium carbonate solution. The precipitate was filtered and recrystallized from methanol (90%) to get the product. 2-susbstituted phenyl benzothiazole (0.01 mol) and 0.01 mol of diethanolamine were dissolved in 25 ml pyridine and refluxed for 4 h, cooled and poured in cold water.
The mixture was filtered after 1hour and precipitates recrystallized from methanol to get the product. The resultant product (0.01 mol) was refluxed with 0.03 mol of thionyl chloride for 4 hour. The excess of thionyl chloride was removed by distilling with benzene. After distillation, residue was collected, washed with cold water and recrystallized from ethanol (95%) [2, 3].

Scheme I

Scheme II

Scheme III
Table 1: List of synthesized compounds
| S. No. | Name of compounds | Chemical structure |
| 1. | 2-(4 aminophenyl) benzothiazole | ![]() |
| 2. | 2-(2-chloro-4-flurophenyl) benzothiazole | ![]() |
| 3. | 2-[4-(N,N dichloroethyl amino) Phenyl] benzothiazole | ![]() |
| 4. | 2-[3-bromo-4-(N,N dichloroethyl amino) phenyl] benzothiazole | ![]() |
| 5. | 1,3 benzothiazol-2-yl-4 Nitrobenzene carbothiaote | ![]() |
| 6. | 1,3 benzothiazol-2-yl-4 aminobenzene carbothiaote | ![]() |
| 7. | 2[3,5-(N,N tetrachloroethylamino)-4-flurophenyl] benzothiazole | ![]() |
Table 2: Physical data of synthesized compounds
| Compounds | Melting point | Rf value | Molecular weight | Molecular formula | Percentage Yield (%) |
| 1. | 121-123 °c | 0.86 | 228 | C13H12N2S | 70.3 |
| 2. | 107-109 ° | 0.87 | 263 | C13H7NCl2F | 63.1 |
| 3. | 113-115 ° | 0.92 | 352 | C17H16N2SCl2 | 58.2 |
| 4. | 113-115 °c | 0.89 | 430 | C17H16N2SCl2Br | 69 |
| 5. | 105-107 °c | 0.62 | 318 | C14H8N2S2O3 | 72.2 |
| 6. | 179-182 °c | 0.50 | 286 | C14H10N2S2O | 38.1 |
| 7. | 137-140 °c | 0.52 | 433 | C21H16N3SCl2F | 39 |
Table 3: Spectral study of synthesized compounds
| Compouds | IR spectra data | NMR spectral data in DMSO-d6 | Mass spectral data | X-ray diffraction study |
| 1. | Aromatic C-H 3133.44 Cm-1,C=C stretching–1402.1 Cm-1,C=N stretching 1652.88 Cm-1,C-C stretching 1558.38 Cm-1,C-N stretching 1320.18 Cm-1,N-H stretching 3534.31 Cm-1, | Ar. Ring: δ ppm 6.5-7.2 (2H) | 226, 210, 149, 134, 76, 69,57 | The different lattice arrangement of polymorphic form of compounds are reflected in different pattern indicates d-values and peak intensities showed compound is crystalline in nature. |
| 2 | Aromatic C-H 3152.43 Cm-1,C=C stretching–1420.15 Cm-1,C=N stretching 1642.27 Cm-1,C-F stretching 1050.17 Cm-1,C-Cl stretching 753.15 Cm-1, | Ar. Ring: δ ppm 7-7.75(7H) | 264, 210, 191,136, 108, 82, 76, 55 | The different lattice arrangement of polymorphic form of compounds are reflected in different pattern indicates d-values and peak intensities showed compound is crystalline in nature. |
| 3 | Aromatic C-H 2917.13 Cm-1,C=C stretching 1507.27 Cm-1,C-N stretching 1314.42 Cm-1,C-Cl stretching757.01 Cm-1, | Ar. Ring: δ ppm 7.1-8(8H) 2(CH2CH2): δ ppm 2.9-3.1(8H) | 352, 282, 256, 210, 178, 123, 76 | The lattice gives absence of peak intensities indicates compound is amorphous in nature. |
| 4 | AromaticC-2924.85 Cm-1,C=C stretching 1561.27 Cm-1,C-Nstretching 1333.68 Cm-1,C-Cl stretching 686.61 Cm1,C=Nstretching 1646.13 Cm-1,C-Br stretching 600 Cm-1, | Ar. Ring: δ ppm 7-7.9(7H) 2(CH2CH2): δ ppm 2.5,3.2,3.(8H) | 380, 382 | The different lattice arrangement of polymorphic form of compounds are reflected in different pattern indicates d-values and peak intensities showed compound is crystalline in nature. |
| 5 | Aromatic C-H 3117.72 Cm-1, C=C stretching 1419.51 Cm-1,C=O stretching 1687.66 Cm-1,C=N stretching 1607.56 Cm-1,C-N stretching 1541.98 Cm-1, | Ar. Ring: δppm 7-7.75(7H) | 318, 280, 241, 194, 167, 151, 137, 105, 77, 65 | The different lattice arrangement of polymorphic form of compounds are reflected in different pattern indicates d-values and peak intensities showed compound is crystalline in nature. |
| 6 | Aromatic C-H 2974.03 Cm-1,C=C stretching 1607.56 Cm-1,C=O stretching 1705.92 Cm-1,C-N stretching 1318.25 Cm-1,N-H stretching 1625.88 Cm-1, | Ar. Ring: δ ppm 7-7.8 (7H) | 288,209,171,137,120,108, 77,69 | - |
| 7 | Aromatic C-H 2958.60 Cm-1,C-F stretching 1278.72 Cm-1,C=C stretching 1523.66 Cm-1,C=N stretching 1718.46 Cm-1,C-N stretching 1349.11 Cm-1, | Ar Ring: δ ppm-32 (CH2CH2): δ ppm 3.7-3.8 (8H). | 509, 512 | - |
Antioxidant activity
Free radical scavenging is one of the best known mechanisms by which antioxidants inhibit lipid oxidation. DPPH and superoxide radical scavenging activity evaluations are standard assays in antioxidant activity studies. The antioxidant activity of the 2-aryl substituted benzothiazole derivatives was determined by these two methods using ascorbic acid (AA) and butylated hydroxy-anisole (BHA) as standards respectively [13].
DPPH radical scavenging assay
The free radical scavenging activity of the synthesized molecules was measured in terms of hydrogen donating or radical scavenging ability using the stable radical DPPH. The test samples (10–100 μL) were mixed with 1.0 ml of DPPH solution and filled up with methanol to a final volume of 4 ml. Absorbance of the resulting solution was measured at 517 nm in a visible spectrophotometer. Ascorbic acid was used as the reference compound. Lower absorbance of the reaction mixture indicated higher free radical scavenging activity. Radical scavenging activity was expressed as the inhibition percentage of free radical by the sample and was calculated using the following formula:
% inhibition=A0-At/A0 x100
Where A0 is the absorbance of the control (blank, without sample) At is the absorbance in the presence of the test samples. All tests were performed in triplicate and the results were expressed peroxide Radical Scavenging Assay [14].
Superoxide radical scavenging assay
Superoxide radical scavenging activity was measured as described by the reported method. The assay is based on the reduction of nitroblue tetrazolium (NBT) by superoxide ions generated by the xanthine-xanthine oxidase system (X-XO). The reaction system contains 0.2 mM xanthine and 0.6 mM NBT in 0.1 M phosphate buffer of pH 7.8. The tested compounds were dissolved in methanol, and the reaction was started by the addition of XO (0.07 U/ml). The extent of NBT reduction was followed spectrophotometrically by measuring the increase of absorbance at 560 nm. All experiments were replicated three times. The IC50 of each compound was defined as the concentration which inhibited 50% of the NBT reduction by O2-produced in the X-XO system [15].
Statistical analysis
All data were analyzed by using one way analysis of variance (ANOVA) and results are expressed as mean±SEM.
RESULTS AND DISCUSSION
DPPH radical scavenging activity
The in vitro antioxidant activity of 7 compounds was determined spectrophotometrically by DPPH radicals, and the results are given in table 4. DPPH radicals are stable free radicals, and there in the presence of molecules capable of donating H atoms, their radical character is neutralized. The reduction capacity of DPPH radicals was determined by the decrease in its absorbance at 517 nm, which is induced by antioxidants. On the other hand, it is well established that organic molecules incorporating an electron donating groups (amine, hydroxyl, and halogen) can act as free radical trapping agents and are capable of opposing oxidative challenges. It can be seen from table 4 that compounds (3, 4, 5) present the highest scavenging activity on DPPH, whereas the compounds (1, 2, 6, 7) exhibit moderate scavenging activity on DPPH, respectively.
Superoxide radical scavenging assay
Superoxide anion radical is normally initially formed, and its effects can be magnified because it produces other kinds of free radicals and oxidizing agents. The enzymatic superoxide anion radical was generated by the xanthine-xanthine oxidase reaction system. The generation of superoxide was estimated by the nitroblue tetrazolium (NBT) method. From table 4, it is evident that all the synthesized benzothiazole derivatives were found to be moderate to weak superoxide radical scavengers. The IC50 (half-maximal inhibitory concentration) values of these compounds were in the range of 20–31.34 μg/ml. It should be noted that the activity of the compounds (1, 6, and 7) was comparable to that of standard. Favorable superoxide radical scavenging was found for compounds (2, 3, 4, 5) 22.2 to 28.3 μg/ml.
Table 4: IC50 values for evaluated antioxidant assays of examined benzothiazole derivatives
| S. No. | DPPH | O2- |
| Ascorbic acid | 14.34±0.38 | - |
| Butylated hydroxyl anisole | - | 17.01±0.18 |
| 1. | 09.04±0.034 | 31.34±0.19 |
| 2. | 10.07±0.057 | 23.2±0.28 |
| 3. | 15.18±0.016 | 24.01±0.9 |
| 4. | 18.15±0.34 | 20.02±0.23 |
| 5. | 21.01±0.19 | 22.09±0.45 |
| 6. | 08.02±0.10 | 28.18±0.34 |
| 7. | 10.01±0.19 | 25.10±0.34 |
CONCLUSION
The present study was carried out for the synthesis of some effective therapeutics derivatives of 2-aryl substituted benzothiazole with the aim of some pharmacological activities such as antioxidant.
The spectral studies were performed for all the compounds synthesized for their confirmation and successes of the reaction followed. The compounds were purified by column and purity was determined by TLC method by using an appropriate solvent system. The purified compounds were further subjected to UV, IR, MASS and NMR study for confirmation of functional group, molecular weight, presence of total number of proton of compounds.
The present study indicate that synthesized benzothiazole derivatives shows Lower absorbance of the reaction mixture indicated higher free radical scavenging activity using the stable radical DPPH. Superoxide radical scavenging activity was also measured on the basis of reduction of nitroblue tetrazolium (NBT) by superoxide ions generated by the xanthine-xanthine oxidase system (X-XO). The extent of NBT reduction was measured spectrophotometrically by measuring the increase of absorbance at 560 nm. It can be seen from table 2 that compounds 3,4 and 5 present the highest scavenging activity, whereas the compounds 1,2,6 and 7 exhibit moderate scavenging activity on DPPH. Favorable superoxide radical scavenging was found for compounds 1, 6, 7 ranging from 25.10 to 31.34 μg/ml. While compound 2, 3, 4 and 5 showed moderate activities.
CONFLICT OF INTERESTS
Declared None
REFERENCES