
1Bhagyodaya tirth pharmacy college, 2Adina Institute of Pharmaceutical Sciences, Sagar, M. P., India, 470002
Email: poorvajainbtpc@gmail.com
Received: 21 Jul 2015, Revised and Accepted: 03 Sep 2015
ABSTRACT
Objective: The objective of this research was to synthesize azo conjugates of fenoprofen (FP) for treatment of inflammatory bowel disease through colon targeting.
Methods: Six prodrugs of FP were synthesized by diazotisation with ethyl esters of amino acids, namely, glycine, tyrosine L-phenylalanine, L-tryptophan, L-valine, L-alanine, amino acid. Methyl ester hydrochloride prepared by thionyl chloride, methanol and amino acids, followed by diazotization and then Coupling of diazotized amino acid methyl ester with fenoprofen. Six azo prodrug of fenoprofen was synthesized by using amino acid. Further, the synthesized prodrugs were characterized by TLC, IR, NMR spectroscopic analysis and subjected to in vitro drug release, TNBS induced ulcerative colitis and ulcerogenic index.
Results: All synthesized prodrugs showed excellent pharmacological response and targeting to colon. The FTIR and NMR study confirmed the structure of all azo linkage prodrugs. In vitro drug release studies revealed that FP was not release in gastric fluid. 12-15% drug were released in intestinal fluid and 65-85% drug was released in the colon because of azo reductases enzyme, secreted by colonic microflora. The azo prodrugs proved their potential in reducing the inflammation proved by the histopathology of the resected colon from every group of animals.
Conclusion: The results obtained in this research work clearly indicated a promising potential for treatment of inflammatory bowel disease through colon targeting for the effective treatment of IBD.
Keywords: Fenoprofen, Prodrugs, Azo conjugates, Pharmacokinetics, Pharmacodyanamics.
INTRODUCTION
Fenoprofen (FP) is a non-steroidal drug used as anti-inflammatory drug. It is used in the treatment of osteoarthritis, rheumatoid arthritis and ankylosing spondilytis [1]. In the recent years, a number of NSAIDs have been introduced into clinical practice. Though it is rapidly being absorbed after oral administration, it undergoes significant first-pass metabolism. It has a very short half life of about 2-3 h and is associated with gastro-intestinal side effects like nausea, gastric irritation etc [2-4]. To extend drug action, to improve delivery of drug into colon, the present study was undertaken with the aim to develop and evaluate azo prodrug of FP using various amino acids [5].
Inflammatory bowel diseases (IBDs) are chronic relapsing conditions with a high morbidity and remain largely incurable. Ulcerative colitis (UC) and Crohn's disease (CD) are collectively known as IBD. Even though these two illnesses have been shown to be related, they have distinctive features. UC is characterized by chronic mucosal inflammation of the large intestine and the rectum and is limited to the first two layers of the intestinal lining, the mucosa and submucosa. CD is a chronic transmural inflammation of all or any part of the gastrointestinal tract (GIT) involving the mucosa, submucosa, muscular and connective tissue layers of the intestinal wall. This inflammatory process leads to the development of ulcerations, resulting in diarrhea, abdominal pain and fecal blood loss. Over the course of disease, these symptoms give way to more serious complications, such as the hemorrhage, obstruction, perforation or cancer (5-amino salicylic acid [6-8].
The systemic approach for the management of IBD primarily involves the use of FP. But only a very small fraction of the total dose is actually available in the colon which calls for administration of very high dosage to reach an effective concentration at the site of action. This increases the risk of significant adverse effects like ulcerogenicity [9]. Prodrug approach has evolved as an effective alternative to this systemic approach in the form of colon-targeted azo prodrugs of FP that get activated by azo reductases secreted by colonic microflora. So, mutual prodrug design was adopted in the present work for synthesis of colon-targeted azo conjugates of FP with essential amino acids like glycine, l-tyrosine, d-phenylalanine and l-tryptophan, Valine, L-alanine with an objective of evaluating their ameliorating effect on the disrupted colonic cytoarchitecture induced by 2,4,6-trinitribenzene sulfonic acid in rat colitis model [10].
The salient features of the usefulness of conjugation of amino acids with drugs are as follows:
Amino acids are normal dietary constituent and they are non-toxic in moderate doses as compared to other promoities. Amino acids have healing effect on gastric toxicity. A drug with the free carboxyl group can be derivatized into corresponding esters or amide of amino acids, so as to alter the physical properties of a parent drug with one or more of the hydrolase enzymes serving as the in-vivo reconversion site(s). Being a nutritional substance, the use of amino acids as a derivatizing group might also permit more specific targeting site for enzymes involved in the terminal phase of digestion. Many amino acids possess marked anti-inflammatory activity against carrgeenan induced hind paw edema in rats. By using different types of amino acids viz. non-polar, polar, acidic and basic, the drug molecule can be made more or less polar, or more or less soluble in given solvent [11, 12].
Thus present work aims to synthesize azo prodrugs of FP using amino acid ester with the expectation to get colon targeting prodrugs with minimized IBDs while maintaining the useful biological activities. Various proteolytic enzymes will help in release of FP by azo reductases azo linkage, within serum or GIT. The list of synthesized prodrugs along with product codes, chemical names, possible trivial names and Molecular structures is given as table 1.
MATERIALS AND METHODS
Materials
All the amino acids, namely, L-tyrosine, glycine, D-phenylalanine, L-tryptophan, L-valine, L-alanine, were procured from M/S Hi-Media Ltd., Mumbai. Drug FP was obtained as the gift sample from Medico Remedies Pvt. Ltd. Mumbai, Maharashtra. Other reagents and solvents used were of Analytical/spectroscopic/HPLC grade as the case desired.
Synthesis of amino acid methyl ester hydrochloride
Freshly distilled thionyl chloride (0.05 mol) was slowly added to methanol (100 ml) with cooling and amino acid (0.1 mol) was added to it. The mixture was refluxed for 7 h at 60–70 °C with continuous stirring on a magnetic stirrer. Excess of thionyl chloride and solvent was removed under reduced pressure giving crude methyl ester hydrochloride of amino acid. The crude product was triturated with 20 ml portions of cold ether at 0 °C, until excess dimethyl sulphite was removed. The resulting solid product was collected and dried under high vacuum. The product was then recrystallized from hot methanol by slow addition of 15–20 ml of ether, followed by cooling at 0 °C. Crystals were collected on the next day and washed twice with ether: methanol mixture (5:1) followed by pure ether and dried under vacuum to give pure AA·HCl.
Diazotization of amino acid methyl ester hydrochloride
This step involves Diazotization of amino acids (l-tyrosine, d-phenylalanine and l-tryptophan) AA·HCl (0.01 mol) was dissolved in a suitable volume of water containing 2.5–3 equiv. of hydrochloric acid (0.02 mol of 35% HCl), by the application of heat if necessary and then the solution was cooled in ice. The temperature was maintained at 0–5 °C on a cryostatic bath and an aqueous solution of sodium nitrite (0.02 mol in 10 ml) was added portion wise, through syringe making sure that the tip of the syringe was always dipped completely in the solution. The addition of sodium nitrite solution was continued till the solution gave an immediate positive test for excess of nitrous acid with an external indicator i.e. moist potassium iodide–starch paper. Proper condition of acidity was maintained throughout, by adding excess of acid (0.5–1 equiv.). The reaction mixture was kept in cryostatic bath at 0–5 °C during the course of reaction, in order to avoid the hydrolysis of diazonium salt to the corresponding phenol.
Coupling of diazotized amino acid methyl ester with fenoprofen
The reaction is an electrophilic aromatic substitution reaction; therefore, the mechanism is similar to that for the nitration of benzene (i.e., it is a two-step reaction in which the first step is rate determining). Amino acid (100 mM) in ethanolic hydrogen chloride (100 ml) was taken in a round bottom flask and the reaction mixture was kept over a water bath, using a quick fit reflux condenser, for 24 h. After repeated evaporation of the solvent at reduced pressure, it gave crude ethyl ester hydrochloride. Crude product was dried in vacuum desiccator to get the solid product, which was recrystallized by dissolving the product in minimum volume of absolute alcohol by slow addition of ether followed by cooling at 0 °C. Recrystallized product was washed with anhydrous ether and dried under high vacuum. This method was utilized for syntheses of ethyl ester hydrochloride salts of L-tryptophan, L-isoleucine and L-alanine.
Coupling of fenoprofen with diazotized amino acid methyl ester was carried out. Salicylic acid (0.01 mol) was completely dissolved in sodium hydroxide solution (0.02 mol/ml). The solution was cooled below 5 °C. Then slowly diazotized salt of amino acid methyl ester was added with continuous stirring, through syringe. Alkaline condition was constantly maintained. After completing the reaction, water was evaporated and crude product was recovered. It was recrystallized by dissolving in methanol and cooling at 0 °C. Purified product was dried under vacuum. The data of m. p. and % yield was shown in table 1. And reaction was monitored by TLC using chloroform: methanol (4:1.5) as a solvent system.
Characterization of the synthesized prodrugs
Solubility
Approximately 10 mg of the compound was dissolved in 0.1 ml of each solvent at 37 ± 1°C in glass test tubes. Test tubes were gently shaken and solubilities were observed. In case of any observed insoluble fraction, the known amount of solvent was further added to ascertain the solubility of the compound.
Partition coefficient and TLC
A 10 mg of prodrug was weighed and dissolved in 10 ml chloroform. This solution was divided in two parts and in each part was added 5 ml acidic buffer (pH 1.2) and phosphate buffer (pH 7.4) separately. The contents were thoroughly shaken for 24 h at room temperature followed by transferring in separating funnel. The chloroform layer was dried under high vacuum and the residue obtained was again dissolved in methanol (10 ml). A 10 µl of this solution was further diluted to 500 µL with methanol. From this solution an aliquot of 250 µL was withdrawn and was mixed with 45 µl solution of acidic buffer (pH 1.2) or phosphate buffer (pH 7.4) and acetonitrile in 44:1. Volume was finally made to 1000 µL by an addition of methanol. A 20 µL of this solution was filtered and injected into HPLC column (C18 ODS reversed phase). The mobile phase acetonitrile: water 50:50 was used for FP prodrugs. The peak area for drug as well as prodrug was observed at 311 nm for EC prodrugs using UV detector (DAD, SPD-M10A with D2 lamp).
IR and NMR spectroscopic analysis
The IR spectra of the compounds were obtained on IR spectrophotometer (Schimadzu 820 IPC) in KBr phase and data are shown in table ir. The NMR spectral analyses of the synthesized prodrugs were done on NMR spectrophotometer (Bruker DRx300) using CDCl3 as solvent and data are shown in table ir nmr.
In-vitro drug release studies
Stability of synthesized prodrugs was checked in aqueous buffers (pH 1.2 and 7.4) and. The reduction of azo linkage by azo reductase secreted by intestinal microflora was tested in rat fecal matter at 37±1 °C. All the kinetic studies were carried out in triplicate. The k values from the plots were calculated separately and average k and S. D. value was determined. The process was validated as per U. S. P. XXIV edition for different parameters like accuracy, selectivity, sensitivity and reproducibility.
Prodrugs (10 mg) were introduced in 900 ml of HCl buffer taken in separate baskets kept in a constant temperature bath at 37±1 °C, stirring occasionally. At various time intervals, 5 ml aliquots were withdrawn and shaken with equal amount of chloroform in order to remove the interference by Fenoprofen which was supposed to be released by the synthesized prodrugs and the aliquots were estimated on UV spectrophotometer for the amount of prodrugs remaining.
Same procedure as described earlier was followed; except that the HCl buffer was replaced by phosphate buffer. The kinetics were monitored by the decrease in prodrug concentration with time at 280 and 288 nm for FT; 246 and 284 nm for FP and 274 and 282 nm for TF in HCl buffer and phosphate buffer respectively.
Pharmacological evaluations
Trinitrobenzenesulfonic acid (TNBS) induced experimental-colitis
The ameliorating effect of prodrugs of fenoprofen on the chronically inflamed tissue of the colon was evaluated in trinitrobenzenesulfonic acid (TNBS)-induced experimental colitis model in rats [13, 14]. Detailed experimental protocols as previously reported by us were followed. Wistar rats (average weight 200–230 g; 12–15 w; n = 6/group) were used and experimental colitis was induced by TNBS; an immunological hapten at a dose of 100 mg/kg of body weight in 50% v/v ethanol. Throughout the study, every day the animals of all groups were examined for three parameters viz; weight loss, stool consistency and rectal bleeding. Colitis activity was quantified with a clinical activity score assessing these parameters by clinical activity scoring rate. The clinical activity score was determined by calculating the average of the above three parameters for each day, for each group and was ranging from 0 (healthy) to 4 (maximal activity of colitis). On 11th day (24 h after the last drug administration) animals were sacrificed by isoflurane anesthesia and 8 cm long segments of colon were excised and colon/body weight ratio was determined to quantify the inflammation. Histopathological studies of the colon were carried out on tissue segments 1 cm in length after fixing in 10% buffered formalin followed by staining with haematoxylin and eosin stains. Colored microscopical images of the colon sections were taken on Zeiss optical microscope, Stemi 2000-C, with resolution 10 × 45X, attached with trinocular camera.
Ulcerogenic index
Rainsford's cold stress method was utilized for determination of ulcerogenic potential of synthesized prodrugs [15]. The standards Fenoprofen and the test compounds were administered orally at ten time’s higher doses, as fine particles suspended in carboxymethylcellulose. Wistar rats of either sex weighing between 120 and 150 g were randomly distributed in control and experimental groups of six animals each. The ulcers were scored according to the method reported by Cioli et al. All ulcers larger than 0.5 mm were counted. Average of six readings was calculated and was expressed as mean±SD.
RESULTS AND DISCUSSION
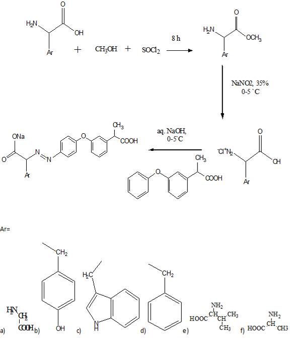
Schematic representation of the reaction used for the synthesis is given as the scheme in Figure.1. Six mutual azo prodrugs (J-1 to J-6) were synthesized by coupling Fenoprofen with diazonium salts of various essential amino acids using standard procedures with yields ranging between 73 and 78%. Their purity of synthesized prodrugs was ascertained by TLC using silica gel G using chloroform: methanol (4:1.5 v/v). Melting points and % yields were shown in table 1. Single spots obtained confirmed that the prodrugs were pure.

Fig. 1: Schematic representation of synthesis of azo prodrug of FP by using amino acids
Table 1: List of synthesized prodrugs of fenoprofen

| S. No. | Ar | m. p. ( °C) | Yield (%) |
| J-1 | ![]() |
178-180 | 71 |
| J-2 | ![]() |
190-194 | 75 |
| J-3 | ![]() |
210-212 | 78 |
| J-4 | ![]() |
193-195 | 73 |
| J-5 | ![]() |
191-193 | 74 |
| J-6 | ![]() |
195-197 | 71 |
Estimation of IR and NMR spectral analyses were in confirmation of desired structure. All the results of elemental analysis were in an acceptable error range. spectroscopy showed characteristic peaks for unbonded phenolic OH (3640–3219 cm−1), carboxylate ion (1597–1375 cm−1) and N=N stretching (1494–1485 cm−1) which were in accordance with the anticipated structures.
1H NMR spectroscopy showed characteristic chemical shifts for aromatic OH which were found to be diminished in D2O exchange thus confirming that the aromatic OH was unbonded. The other chemical shifts were in accordance with the anticipated structures. The data of IR and NMR analysis were shown in table 2.
The synthesized prodrugs of EC were subjected to solubility, partition coefficient, and in-vitro drug release studies. The enhanced aqueous solubility of all the prodrugs (0.32±0.02–0.38±0.06 g/ml) and decreased partition coefficients (log P) in n-octanol/phosphate buffer (pH 7.4) (0.26±0.05–0.32±0.02) as compared to Fenoprofen (aqueous solubility = 1.80±0.06 mg/ml, log P = 0.8±0.04) suggest that their absorption from the upper GIT would be minimum thus facilitating the passage of prodrugs directly to colon. In vitro drug release studies revealed that FP was not release in gastric fluid. 12-15% drugs were released in intestinal fluid and 65-85% drug was released in colon because of azo reductases enzyme, secreted by colonic microflora. The data of in vitro drug release studies were shown in table 3.
Table 2: IR, NMR interpretation of synthesized prodrug of Fenoprofen
| S. No. | Compound | IR and NMR data |
| 1. | (J-I): | IR: N=N = 1481 cm-1, C-N=1071 cm-1,C-C=1200.16 cm-1,C-H=2815 cm-1,C=O=1685 cm-1,C-O=1279 cm-1,C=C=1620 cm-1,N-H=3500. NMR: 1.45 (s,3H), 2.75 (t, 1H), 2.78 (d,2H), 2.90(d,1H), 4.9(s, 1H), 5.80(d,1H), 6.24(d,1H), 6.54(d,1H), 6.78(s,1H), 6.80(d,1H), 6.85(d,1H), 7.07(t,1H), 7.12(d,1H), 10.95(s,1H). |
| 2. | (J-2): | IR: N=N=1491 cm-1, C-N=1075 cm-1,OH=3342 cm-1,C-C=1205.16 cm-1,C-H=2825 cm-1,C=O=1690 cm-1,C-O=1283 cm-1,C=C=1620 cm-1,N-H=3400. NMR: 1.46 (s,3H), 2.81 (t, 1H), 2.90 (d,2H), 3.83(d,1H), 5.0(s, 1H), 6.68(d,1H), 6.74(d,1H), 6.84(d,1H), 6.81(s,1H), 6.89(d,1H), 6.95(d,1H), 7.17(t,1H), 7.20(d,1H), 11.05(s,1H). |
| 3. | (J-3): | N=N=1484 cm-1,C-N=1011 cm-1,OH=3422 cm-1,C-C=1304 cm-1,C-H=2873 cm-1,C=O=1690 cm-1,C-O=1509 cm-1,C=C=1687 cm-1. NMR: 1.46 (s,3H), 2.81 (t, 1H), 2.90 (d,2H), 3.83(d,1H), 6.68(d,1H), 6.74(d,1H), 6.84(d,1H), 6.81(s,1H), 6.89(d,1H), 6.95(d,1H), 7.08(t, 1H), 7.17(t,1H), 7.20(d,1H), 11.05(s,1H). |
| 4. | (J-4): | N=N=1482 cm-1,C-N=1055 cm-1,OH=3662 & 3145 cm-1,C-C=1205 cm-1,C-H=2925 &2325 cm-1,C=O=1725 cm-1,C-O=1391 cm-1,C=C=1652 cm-1. NMR: 1.47(d,3H), 2.70(d,1H), 2.80(t,3H), 3.0(t,1H),3.1(s, 1H), 3.80(s,1H), 6.73(t,1H), 6.78(t, 1H), 6.80(s, 1H), 6.84(d,1H), 6.90(s, 1H), 7.07(d, 1H), 7.10(t,1H), 7.17(t,1H), 11.05(s, 1H). |
| 5. | (J-5): | IR: N=N=1490 cm-1, C-N=1020 cm-1,OH=3142 cm-1,C-C=1200.16 cm-1,C-H=2715 cm-1,C=O=1599 cm-1,C-O=1193 cm-1,C=C=1650 cm-1,N-H=3550. NMR: 1.26 (s,3H), 2.61 (t, 1H), 2.19 (d,2H), 2.93(d,1H), 5.1(s, 1H), 6.98(d,1H), 7.04(d,1H), 7.84(d,1H), 7.89(s,1H), 7.90(d,1H), 7.95(d,1H), 8.17(t,1H), 8.20(d,1H), 9.05(s,1H). |
| 6. | (J-6): | IR: N=N=1390 cm-1, C-N=1025 cm-1,OH=3232 cm-1,C-C=1200.15 cm-1,C-H=2806 cm-1,C=O=1599 cm-1,C-O=1290 cm-1,C=C=1520 cm-1,N-H=3550. NMR: 1.40 (s,3H), 2.72 (t, 1H), 2.89 (d,2H), 3.15(d,1H), 4.9(s, 1H), 6.95(d,1H), 7.04(d,1H), 7.84(d,1H), 7.91(s,1H), 8.09(d,1H), 8.05(d,1H), 8.17(t,1H), 8.21(d,1H), 11.10(s,1H). |
Table 3: In vitro drug release study of synthesized azo prodrug of FP
| S. No. | Dilutions | % Drug release | |||||
| J-1 | J-2 | J-3 | J-4 | J-5 | J-6 | ||
| 1. | Prodrug+HCl buffer (gastric fluid) | No release | No release | No release | No release | No release | No release |
| 2. | Prodrug+phosphate buffer (intestinal fluid) | 12.15 | 15.17 | 14.04 | 14.15 | 13.90 | 13.45 |
| 3. | Prodrug+Colonic fluid (rat fecal matter) | 67 | 87 | 89 | 85 | 81 | 72 |
Histology of the colon of rats when subjected to TNBS, colitis control showing mucosal injury characterized by absence of epithelium and a massive/submucosal infilteration of inflammatory cells. Fenoprofen, showing slight mucosal abscess and inflammatory infilterate on oral administration. All prodrug of FP J-1, J-2, J-3, J-4, J-5, J-6 showing morphology of colon with comparable results to that of sulfasalazine and all amino acids showing no mucosal injury with slight inflammatory infiltrate on oral administration. Histological diagramm of rats colon were shown in figure. 2 and data of TNBS induced rat colitis model were shown in Table. 4. Ulcerogenic index of all synthesized azo prodrug of FP was found to be between 5-6.5. When FP single dose given to the animal group, it shows 30.2 ulcer index and sulfasalazine shows 4.5. The ulcer index was shown in table 5.

Fig. 2: Histological diagramm of rats colon: (a)Healthy control, (b) Colitis control (c) Fenoprofen, (d) Sulfasalazine (e) FP-glycine (f) Glycine (g) FP-tyrosine (h) tyrosine (i) FP-tryptophan (j) tryptophan (k) FP-phenyl alanine (l) phenyl alanine (m) FP-valine (n) Valine (o) FP-alanine (p) Alanine
Table 4: TNBS activity of synthesized azo prodrug of FP
| S. No. | Group | Damage score (0-10) |
| 1. | Healthy control | |
| 2. | Colitis control | 3.06±0.02 |
| 3. | FP | 1.89±0.27 |
| 4. | Sulfasalazine | 0.85±0.42 |
| 5. | FP-glycine | 1.36±0.30 |
| 6. | FP+tyrosine | 1.22±0.39 |
| 7. | FP+tyrptophan | 1.27±0.15 |
| 8. | FP+phenylalanine | 1.16±0.02 |
| 9. | FP+valine | 1.28±0.09 |
| 10. | FP+alanine | 1.20±0.19 |
Table 5: Ulcer index of synthesized azo prodrug of FP
| Compound | Dose(mg/kg) | Ulcer index+-S. D. |
| Healthy control | 2+-1 | |
| Fenoprofen (FP) | 1145 | 30.2+-4.7 |
| salfasalazine | 1500 | 4.5+-2 |
| FP+Glycine | 1410 | 5+-1.1 |
| FP+tyrosine | 1412 | 6+-1.1 |
| FP+Tyrptophan | 1323.85 | 5+-0.5 |
| FP+Phenylalanine | 1525 | 5.2+-1.1 |
| FP+Valine | 1445 | 5.4+0.8 |
| FP+alanine | 1375.5 | 6.2+0.5 |
CONCLUSION
The higher anti-inflammatory and anti-edema activity of azo prodrugs, compared to sulfasalazine could be related to the azo moiety which upon biotransformation converted to amino moiety. This model will be interesting to clarify the inflammatory mechanisms associated with IBD in order to propose other pharmacological modulation of the inflammatory response than the currently known, with the main objective to facilitate a more effective and selective treatment for this disease.
ACKNOWLEDGEMENT
One of the author’s Ms. Poorva Jain thankful to Adina institute of pharmaceutical sciences, Sagar, M. P., India for providing financial support to carry out this work.
CONFLICT OF INTERESTS
Declared None
REFERENCES