
Departamento Sistemas Biológicos, Universidad Autónoma Metropolitana-Xochimilco, México
Email: rmlopez@correo.xoc.uam.mx
Received: 25 Nov 2015 Revised and Accepted: 19 Dec 2015
ABSTRACT
Objective: To develop and validate a new and easy zero-crossing derivative method for the simultaneous determination of ketoprofen and acetaminophen in fixed-dose combination formulations and to demonstrate its application in dissolution studies.
Methods: Measurement was achieved using the first derivative signals at 243.2 nm for ketoprofen and at 260.5 nm for acetaminophen. The method was validated according to ICH guidelines. The proposed method was applied for the simultaneous quantification of both drugs in samples taken during the study of dissolution profiles (USP Apparatus 2, 75 rpm and 900 ml of 0.1 M phosphate buffer pH 7.4) of Bifebral® reference product (100/300 mg ketoprofen and acetaminophen, respectively). Samples were also analyzed by a previously validated HPLC-PDA method. Dissolution profiles were compared by similarity factor f2. Additionally values of: t50%, t85%, dissolution efficiency and mean dissolution time, obtained for ketoprofen and acetaminophen using UV and HPLC-PDA methods, were compared by Student’s t-test.
Results: The first derivative spectrophotometric method was linear in the range of 25–200 µg/ml for ketoprofen and 25–150 µg/ml for acetaminophen (R2>0.99, *P<0.05). The within-day and between-day precision and accuracy were within the acceptable criteria (RSD<3.4% and 100±3%). Similarity factor f2 was 85.85 and 88.49 for ketoprofen and acetaminophen, respectively. No significant differences between data obtained with UV and HPLC-PDA methods were found (*P>0.05).
Conclusion: The proposed method can be used for the simultaneous determination of ketoprofen and acetaminophen, from fixed-dose combination formulations, in dissolution studies. The method is rapid, simple, accurate, and precise without the need of high-cost investment.
Keywords: Ketoprofen, Acetaminophen, Derivative spectroscopy, Zero-crossing method, Dissolution studies.
© 2016 The Authors. Published by Innovare Academic Sciences Pvt Ltd. This is an open access article under the CC BY license (http://creativecommons.org/licenses/by/4.0/)
INTRODUCTION
Ketoprofen in a non-steroidal anti-inflammatory drug (NSAID) with analgesic, anti-inflammatory, and antipyretic properties [1]. Acetaminophen (also named as paracetamol) has analgesic and antipyretic properties as well as weak anti-inflammatory activity [2]. The combination of both drugs is used in the symptomatic management of postoperative pain [3, 4]. Previous reports suggest that a combination of acetaminophen with a NSAID may enhance analgesia compared with the effect produced by the drugs given alone [5, 6]. Chemical structures of both drugs are presented in fig. 1.
Fig. 1: Chemical structures of ketoprofen (left) and acetaminophen (right)
In Mexico, as in other parts of the world, immediate-release oral dosage forms containing ketoprofen and acetaminophen in fixed-dose formulations are widely marketed as generic products. Therefore, between commercial lots or in the development of a new formulation, dissolution studies are essential for quality control purposes. However, to date, no official dissolution test for ketoprofen and acetaminophen marketed as fixed-dose combination formulations is described in the United States or Mexican Pharmacopeia [7, 8].
Simultaneous determination of drugs in pharmaceutical products is currently performed by high-performance liquid chromatography (HPLC). Chromatography usually requires time-consuming methods, toxic solvents, and expensive equipment. On the other hand and as an alternative technique, derivative spectrophotometry has gained widely acceptance as an analytical tool for quantification of drugs mixtures. Derivative spectrophotometry is a useful technique for the suppression of additive interferences due to compounds with overlapping spectra. As acetaminophen is a widely used compound, some derivative methods to determine acetaminophen combined with other drugs (aceclofenac, drotaverine, ibuprofen, aspirin, salicylic acid, caffeine, ascorbic acid, and tramadol) have been previously published [9-12] but none derivative spectrophotometric method for the combination of ketoprofen and acetaminophen has been reported.
The main objective of this study was to develop and validate a simple, economic, and rapid zero-crossing first-derivative (1D) spectrophotometric method for the simultaneous determination of ketoprofen and acetaminophen in fixed-dose combination formulations. The method was applied to evaluate the dissolution profiles of marketed products containing both drugs. Results were compared with those obtained by an HPLC-photo diode array (PDA) detector analysis.
MATERIALS AND METHODS
Materials
Ketoprofen and acetaminophen standards were purchased from Sigma-Aldrich Co. (St. Louis MO, USA). Dissolution samples were filtered through 0.45 µm nitrocellulose Millipore® filters. Sodium phosphate monobasic and dibasic crystals, as well as methanol and acetonitrile HPLC grade, were purchased from J. T. Baker-Mexico. The fixed-dose combination formulation containing ketoprofen and acetaminophen (100/300 mg respectively) used was Bifebral® (Sanofi-Aventis de México, S. A. de C. V., Mexico). Mexican health authorities have established this brand as reference product [13].
Content uniformity and assay
Content uniformity and assay tests were performed by a previously validated HPLC-PDA method.
Standard solutions
Stock solutions of ketoprofen and acetaminophen (1 mg/ml) in 0.1 M phosphate buffer pH 7.4 were separately prepared. Standard solutions were prepared by serial dilutions of the stock solutions to contain the required concentrations for the calibration curves. Ketoprofen and acetaminophen calibration curves in 0.1 M phosphate buffer pH 7.4 were prepared in the concentration range of 25–200 µg/ml and 25–150 µg/ml, respectively.
Instruments
Dissolution studies were performed in a USP Apparatus 2 (Sotax AT-7 Smart, Switzerland) using a piston pump (Sotax CY7-50, Switzerland). Ketoprofen and acetaminophen intact tablets were added on 900 ml of 0.1 M phosphate buffer pH 7.4 at 37.0±0.5ºC as dissolution medium (n=12). The rotational speed of 75 rpm was tested. After addition of tablets, 5 ml of filtered dissolution sample was withdrawn at 5, 10, 20, 30 and 45 min. For spectrophotometric measurement, a double beam UV/VIS spectrophotometer (Perkin Elmer Lambda 35, Waltham MA, USA) with 0.1 cm quartz cells was utilized. The operating conditions for UV analysis were 1D mode with scan speed 240 nm/min, slit width 2.0 nm and sampling interval 1.0 nm.
HPLC-PDA analysis was performed on an Agilent infinity 1260 series, equipped with a quaternary pump, an autosampler, a column oven, and a PDA detector (Agilent, Waldbronn Germany). An Accucore C8 column (4.6 × 50 mm, 2.6 mm particle size) purchased from Thermo Scientific was used. The mobile phase consisted of water with 0.04 % of phosphoric ac. (v/v) (A), acetonitrile (B), and methanol (C). Separation was achieved by a gradient elution (0 min: 80% A, 5% B, 15% C maintained 1.5 min), (2.5 min: 40% A, 40% B, 20% C maintained for 3.5 min), (7.0 min: initial conditions), with a flow rate of 1.0 ml/min, 40 °C oven temperature, injection volume of 5 ml and detection wavelength at 250 nm.
Analytical method validation
The proposed analytical method was validated according to the International Conference on Harmonization (ICH) guidelines [14]. System linearity, accuracy, precision, and stability were determined.
Linearity
To verify the methodʼs linearity in the concentration range studied, three series of calibration curves in 0.1 M phosphate buffer pH 7.4 for ketoprofen and acetaminophen were determined. Then, 1D response at certain wavelength was recorded. Data obtained were fitted by linear regression analysis and the coefficients of regression and regression analysis of variance (ANOVA) were calculated. The response vs. concentration drug proportionality was demonstrated for each drug by calculating the percentage relative standard deviation (RSD): [((standard deviation)/mean) × 100] of the response factor across the entire range of the calibration curve.
Accuracy and precision
In order to verify the accuracy and precision of the proposed 1D analysis, the added standard method was used, thus, matrix effects can easily be removed. This method can be used for resolving binary mixtures in complex samples with unknown matrices as fixed-dose combination formulations have. Twenty tablets were accurately weighed and crushed in a mortar; then, quantities of powder of ketoprofen and acetaminophen tablets plus a quantity of ketoprofen or acetaminophen standard (10 mg) to finally give the equivalent of 80, 100 and 120% of the dose of each drug, were separately dissolved in 900 ml of 0.1 M phosphate buffer pH 7.4 at 37.0±0.5 °C. For this purpose, USP Apparatus 2 at 75 rpm was used. At 45 min, the amounts of ketoprofen and acetaminophen dissolved in each sample were calculated with reference to a calibration curve prepared on the day of the experiment. Each determination was performed in triplicate. The relative percentage error (RE): [((found–added)/added) × 100] was taken as a measure of the accuracy and the RSD as a measure of precision. Experiments were carried out in three consecutive days.
Stability
Stability of analytical solutions was evaluated analyzing a solution of ketoprofen (30 µg/ml) and a solution of acetaminophen (128 µg/ml) in 0.1 M phosphate buffer pH 7.4. These solutions were analyzed by the proposed 1D method at 0, 24 and 48 h after stored at 4ºC. At 24 and 48 h, the percentage absolute difference AD: [((initial–final)/initial) × 100] recovered of each drug was determined.
Data analysis
Dissolution profiles of ketoprofen and acetaminophen obtained with the proposed 1D method and by HPLC analysis were compared with similarity factor f2 [15]. Additionally, dissolution profiles of each drug were compared by model-dependent and independent methods [16]. For model-dependent comparisons, dissolution data were fitted to the hyperbola equation: y = ax/(b+x) using Sigma Plot software (Version 11.0). With a and b parameters values of t50% and t85% were calculated. Dissolution efficiency (DE) and mean dissolution time (MDT) values were used for model-independent comparisons [17]. For obtaining DE and MDT values, DD Solver add-in program was used [18]. Finally for data comparisons, Student’s t-test was used. Differences were considered significant if *P<0.05.
RESULTS AND DISCUSSION
Content uniformity and assay
The reference product met the content uniformity and assay standard criteria. The percentages of ketoprofen and acetaminophen on the content uniformity test ranged from 85 to 115% and the assay test was between 90 and 110%, table 1.
Table 1: Content uniformity and assay results, Ketoprofen (K) and acetaminophen (A)
Drug |
Content uniformity (min–max) |
Assay (%) |
K |
98.3–107.8 |
104.7±2.93 |
A |
98.3–104.0 |
101.6±2.21 |
Data are expressed as mean±standard deviation (n=10).
Absorption spectra
The zero-order spectra of ketoprofen (100 µg/ml) and acetaminophen (75 µg/ml) standard solutions in 0.1 M phosphate buffer pH 7.4 were measured alone or mixed at 200–320 nm using 0.1 M phosphate buffer pH 7.4 as blank, fig. 2a. The zero-order spectra demonstrated a marked overlapping.
As a result, simultaneous direct spectroscopy determination of ketoprofen and acetaminophen in fixed-dose combination formulations was not possible. Then, the 1D spectra of these solutions were obtained, fig. 2b. As seen in fig. 2b, the 1D spectra of ketoprofen and acetaminophen revealed four zero-crossing points for their simultaneous determination; these points were to be 216.3 and 243.2 nm for ketoprofen and 234.0 and 260.5 nm for acetaminophen.
The 1D spectra of ketoprofen (25–200 µg/ml) and acetaminophen (25–150 µg/ml) standard solutions were determined, fig. 3. The suitable zero-crossing points were selected based on the best linear response to the ketoprofen concentration in the presence of acetaminophen or the acetaminophen concentration in the presence of ketoprofen. Only the 1D response at 243.2 and 260.5 nm were proportional to the ketoprofen and acetaminophen concentrations, respectively.
Fig. 2: Zero-order spectra of (a) 100 µg/ml of ketoprofen (K), 75 µg/ml of acetaminophen (A) and their mixture (K+A) at the same concentrations and (b) first-derivative spectra of the same solutions. Lines indicate zero-crossing points
Fig. 3: First-derivative spectra of 25–200 µg/ml of ketoprofen (K) and 25–150 µg/ml of acetaminophen (A). Lines indicate 243.2 and 260.5 nm, respectively
Method validation
Linearity
The mean regression equation from three standard calibration curves was: y =–0.002x+0.001 for ketoprofen and y = 0.0024x+0.0012 for acetaminophen. Both linear regressions were significant (R2=0.999; *P<0.05). The RSD values of response factor were 2.7 and 1.6% for ketoprofen and acetaminophen ranges, respectively.
Accuracy and precision
In order to prove the accuracy and precision of the proposed 1D method, analysis of varying percentage of a dose of each drug was carried out for three days (n=3/d). The within-day and between-day precision and accuracy were calculated, and results are shown in table 2. The RSD obtained was in the range of 0.37–3.45% and the RE was lower than 2.84% for both drugs in all selected dose percentages which indicate good accuracy and precision of the method.
Stability
The stability of both drugs in 0.1 M phosphate buffer pH 7.4 was assessed analyzing one solution of ketoprofen and one solution of acetaminophen at different times. The absolute difference at 24 and 48 h are shown in table 3. As seen in table 3, ketoprofen solution was less stable.
Results indicate that the proposed 1D method, for simultaneous determination of ketoprofen and acetaminophen in fixed-dose combination formulations, is linear, accurate, and precise. According to complementary ICH guideline [19], limit of detection and limit of quantitation are characteristics not normally evaluated in dissolutions assays. For both drugs, lack of linearity, accuracy, and precision was found at concentrations out of the proposed ranges of the calibration curves.
Dissolution profiles
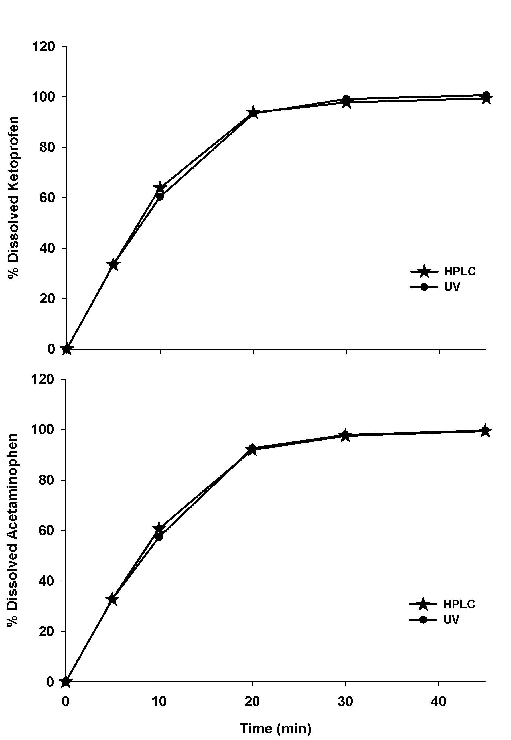
Ketoprofen and acetaminophen dissolution profiles of reference product were obtained according to the procedure previously described. Dissolution samples were analyzed by the proposed 1D method and the HPLC-PDA analysis. Results are shown in fig. 4.
As can be seen in fig. 4, dissolution profiles of ketoprofen and acetaminophen obtained with both analytical methods (UV and HPLC) were superimposable. For ketoprofen and acetaminophen, f2 values were 85.85 and 88.49, respectively. Dissolution profiles are considered similar when f2 values are 50-100 [15].
Model-dependent and independent parameters: t50%, t85%, DE, and MDT calculated to compare dissolution profiles of ketoprofen and acetaminophen are shown in table 4. No significant differences were found (*P>0.05) between data obtained with the proposed 1D method and HPLC-PDA analysis.
Table 2: Accuracy and precision data for simultaneous determination of ketoprofen (K) and acetaminophen (A) by the proposed 1D method
Within-day |
Between-day |
||||||
Drug/dose (mg) |
Added (mg) |
Found (mg) |
RSD (%) |
RE (%) |
Found (mg) |
RSD (%) |
RE (%) |
K/100 |
80.47 |
81.80±0.62 |
0.75 |
1.65 |
82.76±1.80 |
2.18 |
2.84 |
100.17 |
101.31±1.68 |
1.65 |
1.14 |
102.01±1.46 |
1.43 |
1.84 |
|
120.56 |
122.22±0.45 |
0.37 |
1.38 |
122.66±1.09 |
0.89 |
1.75 |
|
A/300 |
242.21 |
237.4±3.16 |
1.33 |
-1.99 |
242.20±7.77 |
3.21 |
0.0 |
307.0 |
304.09±9.05 |
2.98 |
-0.95 |
308.25±10.63 |
3.45 |
0.41 |
|
367.49 |
368.64±8.95 |
2.43 |
0.31 |
368.17±6.36 |
1.73 |
0.18 |
|
Data are expressed as mean±standard deviation (within-day n=3; between-day n=9).
Table 3: Absolute difference (%) respect zero time to evaluate stability at 4 °C of ketoprofen (K) and acetaminophen (A) in 0.1 M phosphate buffer pH 7.4
Drug |
Conc. (µg/ml) |
24 h |
48 h |
K |
30.6 |
0.14 |
0.77 |
A |
128.4 |
1.19 |
1.59 |
Data are expressed as mean (n=8).
Table 4: Results to compare dissolution profiles of ketoprofen (K) and acetaminophen (A)
Drug |
Analytical method |
Model-dependent |
Model-independent |
||
t50% (min) |
t85% (min) |
DE (%) |
MDT (min) |
||
K |
UV |
6.76±0.12 |
20.17±0.37 |
78.87±0.50 |
9.27±0.13 |
HPLC |
7.08±0.04 |
20.31±0.08 |
78.80±0.10 |
9.75±0.05 |
|
A |
UV |
7.20±0.15 |
21.05±0.37 |
77.77±0.47 |
9.78±0.16 |
HPLC |
7.43±0.03 |
21.30±0.06 |
77.52±0.09 |
9.97±0.05 |
|
Data are expressed as mean±standard error mean (n=12).
Fig. 4: Dissolution profiles of ketoprofen and acetaminophen obtained with the 1D spectrophotometric methods (UV) and chromatographic analysis (HPLC). Data are expressed as mean, n=12. Error bars were omitted for clarity
As none derivative spectrophotometric method for the simultaneous determination of ketoprofen and acetaminophen in fixed-dose combination formulations has been reported, we consider that the results obtained are adequate for the previously defined purposes. The results suggest that the1D spectrophotometric method could be applied with great success for the simultaneous determination of ketoprofen and acetaminophen without the interference of each other and the matrix effect. The most striking feature of the proposed 1D method is its simplicity and rapidity. The method does not require time-consuming sample preparation such as filtration, degassing or using toxic solvents as methanol or acetonitrile that are commonly used in HPLC analysis.
CONCLUSION
It was concluded that the zero-crossing 1D spectroscopic method could be used for simultaneous determination of ketoprofen and acetaminophen in fixed-dose combination formulations. This method could be used for the analysis of active pharmaceutical ingredients in dissolution studies or for routine quality control analysis. The method is rapid, simple, and economical without the need of high-cost investment.
CONFLICT OF INTERESTS
All authors have none to declare.
REFERENCES