
Department of Bio-Engineering, Birla Institute of Technology, Mesra, Ranchi 835215 Jharkhand, India
Email: kmukhopadhyay@bitmesra.ac.in
Received: 12 Dec 2015 Revised and Accepted: 13 Jan 2016
ABSTRACT
Objective: Rusts are among the most important fungal diseases of wheat all over the world responsible for losses in yield ranging from 25% to 90%. Bread wheat (Triticum aestivum L.) is one of the major staple food crops all over the world but is greatly affected by leaf rust. GRAS is a plant-specific stress responsive transcription factor gene family. The objective of the present study is to carry out expression profiling of GRAS TFs during leaf rust pathogenesis.
Methods: SOLiD SAGE library preparation.GRAS TFs were mapped to the four libraries using the CLC genomics workbench to study their expression profiles. A Co-expression network of these TFs has been constructed using WGCNA (weighted gene co-expression network analysis).
Results: The four libraries have been prepared: S-M, S-PI, R-M R-PI. GRAS TFs were mapped to these libraries, giving different expression profiles of the 63 GRAS TFs. Pearson correlation coefficients were 0.56, 0.34 and 0.24 for R-M vs. R-PI, S-M vs. S-PI and S-PI vs. R-PI respectively. Highest difference in expression of TaGRAS genes was between two libraries S-PI vs. R-PI. TaGRAS genes have been clustered into seven (blue, turquoise, red, green, black, maroon and yellow) different modules in signed correlation.
Conclusion: TaGRAS genes which are upregulated during leaf rust might be plays important roles to provide resistance to the plants. The difference in Pearson correlation coefficient indicates that susceptible and resistant-NILs utilize a different set of TaGRAS genes to counter leaf rust pathogenesis. The genes which are clustered together in coexpression network might be expressed together during leaf rust pathogenesis to provide resistance to the plant.
Keywords:Leaf rust, Wheat. GRAS, Transcription Factors, SAGE, WGCNA
© 2016 The Authors. Published by Innovare Academic Sciences Pvt Ltd. This is an open access article under the CC BY license (http://creativecommons.org/licenses/by/4.0/)
INTRODUCTION
Rusts are among the most important fungal diseases of wheat all over the world. This is due to their extensive distribution, the capacity to form new races that can attack previously resistant cultivars, the ability of spores to move long distances, and potential to germinate swiftly under wide environmental conditions. The rust fungi are among the most widely spread plant pathogens and cause diseases on many angiosperm and gymnosperm trees, cereal and legume crops [1] Leaf, stem, and stripe rust comprise the three important rust diseases of wheat. Leaf rust, caused by Puccinia triticina Erikss., and stripe (yellow) rust, caused by Puccinia striiformis Westend. f. sp. tritici Erikss., are major rust diseases in wheat. Leaf rust can cause losses in yield ranging from 25% to 90% [1] and stripe rust can cause 100% yield loss, but often ranges from 10% to 70% [2]. The wheat rust fungi are obligate parasites that require a living host to complete the life cycle and are biotrophs due to their method of extracting nutrients from living host cells [3]. The complete disease cycle is complex, involving two plant hosts (wheat and an alternate host) and several different spore types to complete the life cycle. Partly due to the characteristics of parasitism, most rust fungi are highly specialized pathogens specific to certain host species. Rust fungi can be widely distributed over wide geographic areas by wind-borne basidiospores, aeciospores, and urediniospores and are often highly genetically diverse for races or pathotypes differentiated by virulence/avirulence to differential host genotypes. Although fungicides can control rust diseases, other input costs and potential for negative environmental impacts are major drawbacks to this strategy. The use of resistant varieties is the most proficient and economical way to control these diseases.
Bread wheat (Triticum aestivum L.) is one of the major staple food crop all over the world and provides one-fifth of food calories and proteins (http:/www. faostat. fao. org). Its demand is anticipated to increase by 60% by the year 2050 [4]. At the same time biotic threats and climate change-induced rise in temperature and drought are estimated to decrease wheat production by 29% [5]. The rust diseases often affect wheat production worldwide [6]. Among the rust diseases, leaf rust, caused by the obligate biotropic fungus Puccinia triticina Eriks. has widespread occurrence accounting for approximately 10% decrease in wheat production annually [7, 8].
Stress gene induction occurs mainly at the level of transcription, and regulating the temporal and spatial expression patterns of specific stress genes is an important part of the plant stress response. Transcription factors (TFs) are proteins that act together with other transcriptional regulators, to employ or obstruct RNA polymerases to bind to the DNA template [9]. Plant genomes allocate approximately 7% of their coding sequence to TFs, which proves the complexity of transcriptional regulation [9]. TFs are proteins that bind to specific DNA sequences, generally to a motif in the target gene promoter, to control the transcription of the target gene. Plants being sessile organisms have to face with a wide range of environmental stresses. Signaling cascades governing developmental and stress switches converge at the gene expression level. Researchers have suggested that transcriptional regulation may play more important roles in plants than in animals, given a large number of TF-coding genes in plant genomes, ranging from 6% to 10%. Regulation of gene expression is critical for a variety of fundamental processes in plants, such as growth, development, differentiation, metabolic regulation, and adaptation to the environment. Transcription, the first step in the expression of any gene, plays a central role in the regulation of the expression of genes. Transcription appears to be controlled by numerous transcription factors that mediate the effects of intracellular and extracellular signals. Therefore, the analysis of transcription factors is essential for an understanding of mechanisms of gene expression.
GRAS is a plant-specific TF gene family whose name derives from its first three members identified, namely, gibberellic acid insensitive (GAI), a repressor of GA1 (RGA), and scarecrow (SCR) [10]. These TFs play various roles in root and shoot development, gibberellic acid (GA) signaling and in phytochrome A signal transduction [10]. GRAS proteins are typically composed of 400-770 amino acids and consist of distinct motifs at the C-termini []. These motifs are found in the following succession: leucine heptad repeat I (LHR I), valine, histidine, isoleucine, isoleucine and aspartic acid (VHIID), leucine heptad repeat II (LHR II), proline, phenylalanine, tyrosine, arginine and glutamate (PFYRE) and serine, alanine and tryptophan (SAW) motif (fig. 1). These conserved motifs can directly affect the functions of GRAS proteins.
Fig.1: Schematic presentation of the conserved domains of GRAS proteins. (N: N-Terminus; C: C Terminus; VHIID: Valine, histidine, Isoleucine, Isoleucine and aspartic acid; PFYRE: phenylalanine, tyrosine, arginine and glutamate, SAW: serine, alanine and tryptophan motif, LHR I: Leucine Heptade Repeat I, LHR II: Leucine Heptad Repeat II and RVER
MATERIALS AND METHODS
Plant and pathogen material, seedling inoculation
A pair of near-isogenic lines (NILs) was used in this study involving HD2329 and HD2329+Lr28 genes (conferring rust seedling resistance). The wheat NILs HD2329±Lr28 was used to isolate DNA and RNA for GRAS gene characterization studies. Lr28 gene is effective against all pathotypes of the pathogen in India [11, 12].
The leaf rust pathogen race Puccinia triticina pathotype 77-5, was selected as the experimental pathogen, it is reported to be the most predominant and devastating leaf rust pathogen in all parts of Indian subcontinent [13]. The race is avirulent against seedling leaf rust resistance gene Lr28. This pathogen race was used for inoculating the seedlings of the above wheat near-isogenic lines. The seedling avirulence/virulence formula for this race is P Lr9, Lr18, Lr19, Lr24, Lr25, Lr28, Lr29, Lr32, Lr41, Lr45/p, Lr1, Lr2, Lr3, Lr10, Lr11, Lr12, Lr13, Lr14, Lr15, Lr16, Lr17, Lr18, Lr20, Lr22, Lr23, Lr26, Lr27+Lr31, Lr33, Lr34, Lr36, Lr37, Lr42, Lr43, Lr44, Lr46, Lr48, Lr49 [14].
The pathogen inoculums were prepared by mixing urediniospores of P. triticina pathotype 77-5 and talcum powder (ratio 1:1) and applied gently on leaves of the NILs. Both plant types were mock inoculated using talcum powder and used as a control. After inoculation plants were placed under a high humidity of>90 % for 24 hpi (hours post inoculation) in the dark to facilitate infection. The pots were then transferred to the normal growth chamber [22 °C, daytime; 14 °C, night time, relative humidity (80 %)] at the National Phytotron Facility, Indian Agriculture Research Institute, New Delhi.
RNA isolation, SAGE library preparation, and next generation sequencing
Leaf tissues from 15 seedlings, each of mock and pathogen-inoculated NILs were taken at 24 hpi and stored in liquid nitrogen. Total RNA was isolated from leaf samples using TRI REAGENT (Molecular Research Center, Inc., USA) as per manufacturer’s instruction. The RNA isolation time-point was based on earlier studies on the development of infection structures [15] and activation of resistant signaling genes [16, 17]. The integrity of the isolated RNAs was confirmed using Agilent Bioanalyzer 2100. Four serial analysis of gene expression (SAGE) libraries were prepared from the isolated RNAs [coded as: (i) S-M: HD2329 mock inoculated, (ii) S-PI: HD2329 pathogen-inoculated, (iii) R-M: HD2329+Lr28 mock inoculated and (iv) R-PI: HD2329+Lr28 pathogen inoculated] using SOLiD–SAGE kit (Applied Biosystems, CA, USA) following the recommended protocol and sequenced using sequencing by oligonucleotide ligation and detection (SOLiD) technique at Bay Zoltán Foundation of Applied Research, Institute of Plant Genomics, Human Biotechnology and Bioenergy, Zagreb, Hungary. The sequences have been submitted to NCBI SRA061917 (Bio Sample accession as SAMM01820702, SAMM01820703, SAMM01820704 and SAMM01820705).
Expression analysis of GRAS TFs in wheat under leaf rust infection
Multiple database searches were performed to identify GRAS genes in wheat. The GRAS TF datasets of Zea mays, Sorghum bicolor, Brachypodium distachyon and Oryza sativa (both japonica and indica subspecies) were downloaded from Plant Transcription Factor DataBase (http://plntfdb. bio. uni-Potsdam. de/v3.0/) [18] and Gramineae Transcription Factor DataBase (http://gramineaetfdb. psc. riken. jp/) [19]. The retrieved protein sequences were used as queries for similarity search with wheat expressed sequence tags (ESTs) using TBLASTN at NCBI (https://blast. ncbi. nlm. nih. gov) with an e-value cutoff of 10 to predict GRAS TF genes in wheat [20]. Expression values for GRAS TFs in wheat were extracted from the four SOLiD–SAGE dataset using CLC Genomics Workbench 6.5. The differential expression of the identified GRAS transcripts among the wheat NILs in response to leaf rust pathogenesis was determined with log2 transformed values and represented through heat map, scatter plot and cluster analysis. Expression data were hierarchically clustered based on Euclidean distance in the sample with log2 transformed values.
Co-expression analysis using "weighted gene co-expression network analysis" (WGCNA)
Co-expression network analysis is based on the usage of network languages to describe pairwise relationships (correlations) between genes. WGCNA is a system biology approach to building robust networks and for module identification of highly correlated genes with module membership measures using the topological overlap measurements (TOM) [21]. This network was further transformed into an adjancy matrix using an adjancy function that measures the strength of the connection between modules. Both signed and unsigned co-expression networks were constructed.
RESULTS AND DISCUSSION
Expression analysis of identified TaGRAS TFs in wheat under leaf rust stress
To identify the differentially expressed TaGRAS genes in response to leaf rust pathogenesis, the GRAS genes were mapped to the reads from the four SOLiD–SAGE libraries using CLC Genomics Workbench 6.5.
Fig.2: Heat map representation of differentially expressed TaGRAS genes from wheat NILs showing major changes in gene expression in SAGE libraries corresponding to S-M (Susceptible Mock), S-PI (Susceptible Pathogen Inoculated), R-M (Resistant Mock) and R-PI (Resistant Pathogen Inoculated). Changes in expression levels are displayed from red (down-regulated) to purple (up-regulated) as shown in the color gradient at the bottom
Transcription factor |
S-M |
S-PI |
R-M |
R-PI |
S-M VS S-PI fold change |
R-PI VS S-PI fold change |
R-PI VS R-M fold change |
TaGRAS1 |
6 |
11 |
54 |
265 |
-1.11 |
-48.41 |
-3.65 |
TaGRAS2 |
11 |
5 |
6 |
24 |
3.61 |
-9.61 |
-2.96 |
TaGRAS3 |
2 |
21 |
2 |
14 |
-6.39 |
-1.23 |
-4.82 |
TaGRAS4 |
18 |
10 |
4 |
12 |
2.95 |
-2.4 |
-2.22 |
TaGRAS5 |
25 |
4 |
51 |
7 |
1.72 |
-4 |
8.58 |
TaGRAS6 |
104 |
5 |
29 |
63 |
34.13 |
-24.42 |
-1.56 |
TaGRAS7 |
21 |
8 |
18 |
13 |
4.3 |
-3.42 |
1.86 |
TaGRAS8 |
14 |
34 |
11 |
9 |
-1.47 |
1.88 |
1.64 |
TaGRAS9 |
5 |
25 |
3 |
4 |
-3.04 |
3.12 |
1.01 |
TaGRAS10 |
3 |
12 |
9 |
2 |
-2.43 |
1.99 |
4.04 |
TaGRAS11 |
4 |
3 |
7 |
14 |
2.18 |
-9.34 |
-1.84 |
TaGRAS12 |
12 |
4 |
10 |
2 |
-2.43 |
1 |
6.73 |
TaGRAS13 |
10 |
3 |
7 |
2 |
5.47 |
1.33 |
4.71 |
TaGRAS14 |
14 |
24 |
7 |
3 |
-1.04 |
-3.99 |
3.14 |
TaGRAS15 |
11 |
3 |
3 |
2 |
6.01 |
-2 |
1.34 |
TaGRAS16 |
4 |
12 |
4 |
3 |
-1.82 |
1.99 |
1.79 |
TaGRAS17 |
33 |
18 |
24 |
47 |
3 |
-5.45 |
-1.51 |
TaGRAS18 |
9 |
3 |
3 |
3 |
4.92 |
-2 |
1.34 |
TaGRAS19 |
14 |
2 |
20 |
4 |
11.48 |
-4 |
1.79 |
TaGRAS20 |
6 |
5 |
2 |
6 |
1.96 |
-2.4 |
-1.51 |
TaGRAS21 |
7 |
4 |
11 |
2 |
2.87 |
-1.5 |
1.34 |
TaGRAS22 |
9 |
10 |
7 |
11 |
1.47 |
-2.2 |
6.73 |
TaGRAS23 |
2 |
64 |
2 |
9 |
-19.49 |
3.55 |
-2.22 |
TaGRAS24 |
3 |
2 |
5 |
6 |
1.64 |
-7 |
4.93 |
TaGRAS25 |
86 |
5 |
13 |
2 |
28.22 |
1.24 |
-1.16 |
TaGRAS26 |
32 |
91 |
13 |
15 |
-1.73 |
2.99 |
-3.34 |
TaGRAS27 |
2 |
8 |
5 |
7 |
-2.43 |
-1.75 |
-1.03 |
TaGRAS28 |
10 |
5 |
2 |
5 |
3.28 |
-2 |
8.75 |
TaGRAS29 |
10 |
9 |
5 |
2 |
1.82 |
2.24 |
1.45 |
TaGRAS30 |
3 |
2 |
2 |
3 |
2.46 |
-4 |
-1.03 |
TaGRAS31 |
23 |
25 |
3 |
2 |
1.5 |
6.24 |
-1.85 |
TaGRAS32 |
2 |
11 |
2 |
3 |
-3.35 |
1.83 |
3.36 |
TaGRAS33 |
15 |
17 |
10 |
13 |
1.44 |
-1.5 |
-1.48 |
TaGRAS34 |
15 |
3 |
6 |
12 |
1.74 |
-1.53 |
2.02 |
TaGRAS35 |
15 |
3 |
7 |
4 |
1.97 |
-2.4 |
-1.11 |
TaGRAS36 |
2 |
19 |
3 |
6 |
-5.78 |
1.18 |
1.03 |
TaGRAS37 |
5 |
2 |
6 |
10 |
4.1 |
-9.01 |
1.23 |
TaGRAS38 |
16 |
9 |
12 |
22 |
2.91 |
-4.89 |
-2.22 |
TaGRAS39 |
4 |
12 |
7 |
2 |
-1.82 |
2.99 |
-1.97 |
TaGRAS40 |
2 |
12 |
3 |
7 |
-3.65 |
-1.16 |
-1.11 |
TaGRAS41 |
21 |
25 |
23 |
9 |
1.37 |
1.38 |
-1.36 |
TaGRAS42 |
40 |
54 |
7 |
10 |
1.21 |
2.69 |
4.71 |
TaGRAS43 |
2 |
69 |
2 |
6 |
2.46 |
1.88 |
-1.73 |
TaGRAS44 |
57 |
544 |
144 |
173 |
-5.81 |
1.57 |
3.44 |
TaGRAS45 |
3 |
5 |
3 |
5 |
-1.01 |
-2 |
-1.06 |
TaGRAS46 |
15 |
17 |
6 |
5 |
1.44 |
1.69 |
1.64 |
TaGRAS47 |
6 |
7 |
14 |
3 |
1.4 |
1.16 |
-1.12 |
TaGRAS48 |
14 |
160 |
4 |
7 |
-6.96 |
11.41 |
-1.23 |
TaGRAS49 |
5 |
26 |
4 |
4 |
9.85 |
3.24 |
1.61 |
TaGRAS50 |
2 |
15 |
3 |
2 |
1.4 |
3.74 |
6.28 |
TaGRAS51 |
18 |
2 |
8 |
30 |
1.23 |
11.41 |
-1.29 |
TaGRAS52 |
12 |
2 |
5 |
6 |
1 |
-6 |
1.34 |
TaGRAS53 |
9 |
17 |
13 |
9 |
1 |
1.16 |
-2.22 |
TaGRAS54 |
6 |
8 |
2 |
7 |
1.31 |
-1.74 |
-1.29 |
TaGRAS55 |
4 |
5 |
4 |
12 |
-1.94 |
-4.4 |
1.12 |
TaGRAS56 |
27 |
86 |
46 |
10 |
9.02 |
3.9 |
1.94 |
TaGRAS57 |
22 |
4 |
14 |
23 |
1.48 |
-11.51 |
6.28 |
TaGRAS58 |
47 |
52 |
2 |
2 |
1.77 |
-12.98 |
-1.29 |
TaGRAS59 |
18 |
2 |
8 |
30 |
14.87 |
-30.03 |
1.12 |
TaGRAS60 |
18 |
2 |
4 |
3 |
14.87 |
-3 |
1.94 |
TaGRAS61 |
4 |
5 |
6 |
3 |
1.31 |
-1.2 |
6.28 |
TaGRAS62 |
12 |
3 |
5 |
9 |
6.56 |
-6 |
-2.04 |
TaGRAS63 |
6 |
16 |
10 |
49 |
3.44 |
-4.4 |
5.63 |
The number of times each GRAS gene is represented in a particular library served as an index for estimation of their relative abundance (table I). The pairwise experiments were conducted between the four different libraries using differentially expressed reads with log 2 transformed values to obtain hierarchical clustering and were displayed as a heat map (fig. 2). The log2 transformed values were used because it equally treats differential up-and down-regulation and also has a continuous mapping space. A total of 63 differentially expressed tags could be extracted, and their corresponding TaGRAS genes were determined. In the susceptible NIL due to pathogen infection (S-PI), the maximum level of expression was observed in TaGRAS6, 25, 57, 59 and 60, whereas the minimum level of expression was observed in TaGRAS51, 36, 32, 9, 3 and 2. While in case of resistant NILs due to pathogen infection (R-PI) maximum level of expression was observed in TaGRAS5, 12, 19, 25, 47 and 54; minimum level of expression was observed in TaGRAS1, 3, 4, 19, 36, 50, 55, 59 and 63 (fig. 3).
Tags, based on their differential expression patterns were also clustered in each experiment (fig. 4). Five different clusters representing different TaGRAS genes were obtained, each representing a dynamic level of differential expression. TaGRAS9, 46 and 60 were clustered together in cluster 1 (fig. 4A); TaGRAS6, 25 and 45 formed cluster 2 (fig. 4B); cluster 3 consists of only TaGRAS11 (fig. 4C); nine TaGRAS genes (5, 17, 31, 34, 39, 48, 37, 51 and 58) were clustered in cluster 4 (fig. 4D) and the remaining 47 formed cluster 5 (fig. 4E).

Fig.3:Comparative expression profiles of differentially expressed TaGRAS genes in wheat NILs in response to leaf rust infectionTable I: Read counts obtained after mapping 63 GRAS genes to the four SOLiD SAGE libraries using CLC Genomics Workbench 6.5 and their corresponding fold change in different libraries
![]() |
![]() |
A |
B |
![]() |
![]() |
C |
D |
|
|
E |
|
Fig. 4: Clustering of TaGRAS genes into five different clusters based on their expression patterns (A-E)
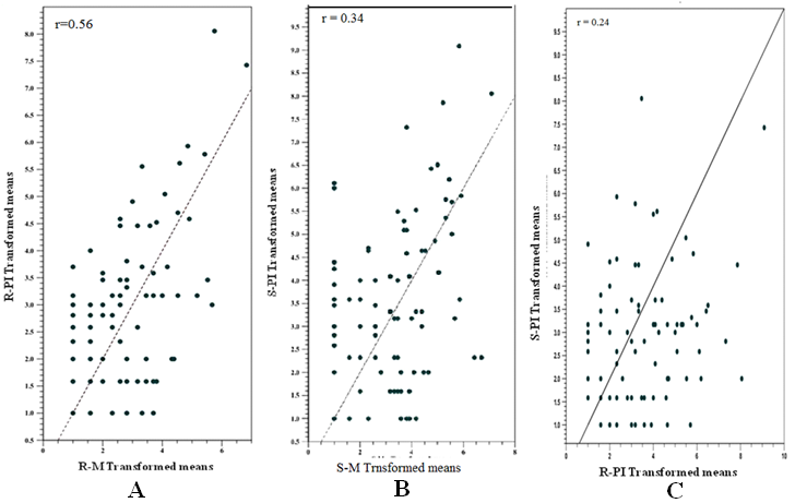
Fig.5: Quantitative comparison of differentially expressed TaGRAS genes during infection of wheat NILs using two-dimensional scatter plots A: R-M vs. R-PI; B: S-M vs. S-PI; C: S-PI vs. R-PI. Genes with equal expression values are on the diagonal identity line, with higher expression values further away from the origin. Points below the identity line represent genes with higher expression from the library plotted on x-axis and points above the diagonal represent genes with higher expression from the library plotted on the y-axis. Volcano plot of differentially expressed transcripts from wheat NILs D: R-M vs. R-PI; E: S-M vs. S-PI; F: S-PI vs. R-PI. Plotting points resulted in two regions of interest in the plot: points found towards the top of the plot that are far to either the left or the right-hand side and represents values that display large magnitude fold changes as well as high statistical significance (hence being towards the top); details mentioned in the text
![]() |
![]() |
A |
B |
Fig.6: Clustering by topological overlap reveals modules of genes that are characterized by distinct expression patterns. A: Cluster dendrogram of genes into distinct modules. The y-axis corresponds to distance determined by the extent of topological overlap. Dynamic tree cutting was used to identify the most parsimonious module definitions generally dividing modules at significant branch points in the dendrogram. The color scale bar to the right of the bottom trace represents the Pearson correlation ranging from-1 (green) to 1 (red). B: MMSE (Mini Mental State Examination) score (x-axis) plotted vs. Module eigengene (y-axis) for all seven modules that are significantly correlated with MMSE score. Each point represents a single subject, and the line illustrates the line of best fit as determined by linear regression across subjects
![]() |
![]() |
A |
B |
|
![]() |
C |
D |
![]() |
![]() |
E |
F |
|
|
G |
|
Fig.7: Heat map plots depicting relationships among significant genes identified by network screening. The plots A-F. depicts the signed correlations. Each column and row of the heatmap correspond to a single gene; light colors denote low correlations or low topological overlaps (negative correlation in signed correlation plots); progressively darker colors correspond to higher correlations or higher topological overlaps. G. The heat map plot of the topological overlap matrix. The corresponding gene dendrograms and module assignment are shown on the left and top
Quantitative comparison of the differentially expressed TaGRAS genes during pathogen infection in wheat NILs was also performed using two-dimensional scatter plots showing Pearson correlation coefficients between the SAGE libraries (fig. 5A-C). Pearson correlation coefficients were 0.56, 0.34 and 0.24 for R-M vs. R-PI (fig. 5A), S-M vs. S-PI (fig. 5B) and S-PI vs. R-PI (fig. 5C) respectively. Among all the three experiments, highest difference in expression of TaGRAS genes was between two libraries S-PI vs. R-PI. This analysis suggests that wheat NILs utilize different sets of TaGRAS genes to counter leaf rust pathogen-mediated infection. Another type of scatter plot, the volcano plot, was constructed by plotting the negative log of P-value on the y-axis (base 10) where the x-axis is the log of the fold changes between the two conditions that change in both upward and downward directions and appear equidistant from the center (fig. 5D-F). Data points with low p-values, appeared towards the top of the plot. Experiment between S-M vs. S-PI showed TaGRAS59 and 60 to have lowest p-value and appeared towards the top of the plot (fig. 5D). Similarly, TaGRAS1 and 6 have the lowest p-value and hence present towards the top in S-PI vs. R-PI experiment plot (fig. 5E). Likewise, TaGRAS10, 61 and 37 had lowest p-value in the R-M vs. R-PI experiment and appeared towards the top of the plot (fig. 5F). Here, we conclude that genes with the lowest p-value appear at the top of the plot and hence their expression values are significant.
There are no reports describing the role of GRAS transcription factors during biotic stress in plants. Xu et al. 2015 described OsGRAS23 in rice having role in abiotic stress which belongs to LISCL subfamily of GRAS TF. To the best of our knowledge, this is the first report on GRAS TFs having role in biotic stress.
Expression profiling and construction of co-expression network
A comprehensive gene expression analysis revealed differential expression of TaGRAS genes in response to leaf rust pathogenesis. Based on the expression data in four SAGE libraries (S-M, S-PI, R-M and R-PI), co-expression networks, both signed and unsigned, were constructed for studying the correlation between TaGRAS genes (fig. 6).
Seven different modules have been defined for the complete network using topological overlap measure (TOM) (fig. 7). In signed co-expression network only positive correlation values were used for network construction while in the unsigned network the absolute correlation values were considered. TaGRAS genes have been clustered into seven (blue, turquoise, red, green, black, maroon and yellow) different modules in signed correlation (fig. 7), each representing genes which are co-expressed during leaf rust pathogenesis. The turquoise module contains the maximum number of 19 genes that are expressed together while green and red modules represent the lowest number of genes. The darker the color, the more closely related the genes. The unsigned co-expression network resulted in clustering of GRAS genes in four different modules (fig. 8). Here also turquoise module contained a maximum number of 26 genes. Modules are assigned based on statistical analysis of expression data. Hence, the network approach identified seven different modules that show genes which are expressed together during leaf rust pathogenesis.
![]() |
![]() |
A |
B |
![]() |
![]() |
C |
D |
|
|
E |
|
Fig.8: Heat map plots depicting the relationships among the significant genes identified by network screening. The plots A-D depict, the unsigned correlation plots of different modules. Each column and row of the heatmap correspond to a single gene; light colors mean low correlations or topological overlaps (negative correlation in signed correlation plots); progressively darker colors correspond to higher correlations or topological overlaps. E. The heat map plot of the topological overlap matrix. The corresponding gene dendrograms and module assignment are shown on the left and top
CONCLUSION
To the best of our knowledge, this is the first report of GRAS TFs in response to leaf rust pathogenesis in wheat. The up-and down-regulation of GRAS TFs has been studied during leaf rust pathogenesis. In the susceptible plants the maximum level of expression after pathogen infection was observed in five TaGRAS genes (TaGRAS6, 25, 57, 59 and 60) and minimum level of expression was observed in six TaGRAS genes (TaGRAS2, 3, 9, 32, 36 and 51) while in the case of resistant plants maximum level of expression was obtained in six TaGRAS genes (5, 12, 19, 25, 47 and 54) and minimum level of expression was obtained in 9 TaGRAS genes (TaGRAS1, 3, 4, 19, 36, 50, 55, 59 and 63). In both susceptible and resistant plants, the TaGRAS25 is observed as a highly expressed gene, whereas TaGRAS3 and TaGRAS36 are found to have reduced expression. TaGRAS25, 3 and 36 genes can be considered as genes having a minimal role in infection. Therefore, the rest of the TaGRAS genes might have some role during Puccinia infection, which could be revealed by conducting further studies. Differential clustering had clustered TaGRAS11 in a single cluster i.e. Cluster 3 proving its unique features that can be utilized to study leaf rust pathogenesis in wheat. Pearson correlation coefficient showed the highest difference in expression between S-PI and R-PI libraries indicating that susceptible and resistant-NILs utilize a different set of TaGRAS genes to counter leaf rust pathogenesis. From volcano plot, it was concluded that seven GRAS genes (TaGRAS1, 6, 10, 37, 59, 60 and 61) have significant expression values. Co-expression analysis clustered the TaGRAS genes in seven different modules, of which turquoise module has the highest number of genes clustered together (19 genes). These genes might be expressed together during leaf rust pathogenesis.
ACKNOWLEDGEMENT
The authors acknowledge CoE-TEQIP-II (Grant no. NPIU/TEQIP II/ FIN/31/158) for financial support, BTIS Net SubDIC (BT/BI/ 04/ 065/04) and Department of Agriculture, Government of Jharkhand (5/B. K. V/Misc/12/2001) for providing infrastructure development fund.
CONFLICT OF INTERESTS
Declare none
REFERENCES