
1Department of Pharmacy, Faculty Pharmaceutical Sciences, Krishna University, Machilipatnam, Andhra Pradesh 521002, 2University College of Pharmaceutical Sciences, Acharya Nagarjuna University, Nagarjuna Nagar, Guntur, Andhra Pradesh, India 522510, 3Chilkur Balaji College of Pharmacy, Aziznagar Post, Moinabad Road, Near A. P. Police Academy, Hyderabad, Telangana 500075, 4Faculty of Sciences, Directorate of Admissions, Krishna University, Machilipatnam, Andhra Pradesh 521002
Email: pharma_revathi@yahoo.com
Received: 14 Dec 2015 Revised and Accepted: 01 Mar 2016
ABSTRACT
Objective: A simple, rapid, accurate and precise stability-indicating UPLC analytical method has been developed and validated for the quantitative analysis of Emtricitabine, Tenofovir, Cobicistat and Elvitegravir in bulk drugs and combined dosage forms.
Methods: ACE C18 (50 mm x 3 mm, 2µ). The column temperature was maintained at 30oC and run time 8 min. The mobile phase was a mixture of Mobile Phase: A–0.1% TFA in Acetonitrile, B–0.1% TFA in Milli-Q-water. The injection volume of samples was 20μl. UV detection was carried out using a UV-PDA detector at 240 nm. The validation of this method was done as per ICH guidelines.
Results: The retention times were observed as 1.46, 3.59, 4.13, 4.64 min for Emtricitabine, Tenofovir disoproxyl fumarate, Cobicistat, and Elvitegravir respectively. Linearity ranges were observed 150-275 µg/ml Emtricitabine, 250-375 µg/ml Tenofovir, 100-225 µg/ml Cobicistat and 100-225 µg/ml Elvitegravir. Relative Standard Deviation did not exceed 2.
Conclusion: The newly developed UPLC method for separation of different degradation products along with the pure drugs were found to be capable of giving faster retention times while still maintaining good resolution than that achieved with conventional HPLC. The decreased flow rate 0.4 ml/min, in UPLC indicate more economical. This method exhibited an excellent performance in terms of sensitivity and speed. The results of stress testing undertaken according to the ICH guidelines reveal that the method is specific and stability-indicating. The proposed method has the ability to separate these drugs from their degradation products in tablet dosage forms and hence can be applied to the analysis of routine quality control samples and samples obtained from stability studies.
Keywords:Stability indicating assay, RP-UPLC, Emtricitabine, Tenofovir, Cobicistat, Elvitegravir, Forced degradation studies
© 2016 The Authors. Published by Innovare Academic Sciences Pvt Ltd. This is an open access article under the CC BY license (http://creativecommons.org/licenses/by/4.0/)
INTRODUCTION
Emtricitabine
The chemical name of Emtricitabine (EMCB)is 6-(3-Chloro-2-fluorobenzyl)-1-[(2S)-1 hydroxy-3-methylbutan-2-yl]-7-methoxy-4-oxo-1, 4-dihydroquinoline-3-carboxylic acid [9] Emtricitabine is the (-) enantiomer of a thio analog of cytidine, which differs from other cytidine analogs in that it has a fluorine in the 5-position.
MOA
Emtricitabine is a nucleoside reverse transcriptase inhibitor (NRTI) for the treatment of HIV infection in adults [1]. It has a molecular formula of C8H10FN3O3S and a molecular weight of 247.25. It has the following structural formula:
Fig. 1: Structure of Emtricitabine
It is a white to off-white crystalline powder with a solubility of approximately 112 mg per ml in water at 25 °C.
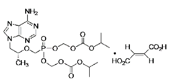
Tenofovir disoproxil fumarate
Tenofovir DF (TDF) is a fumaric acid salt of the bis-isopropoxy carbonyl oxy methyl ester derivative of tenofovir. The chemical name of Tenofovir DF is 9-[(R)-2-[[bis[[(isopropoxy carbonyl)oxy] methoxy] phosphinyl] methoxy]propyl] adenine fumarate.
MOA
Tenofovir disoproxyl fumarate [2] belongs to a class of antiretroviral drugs known as nucleotide analogue reverse transcriptase inhibitors (NRTIs).
It has a molecular formula of C19H30N5O10P • C4H4O4 and a molecular weight of 635.51. It has the following structural formula:
Fig. 2: Structure of tenofovir disoproxil fumarate
It is a white to off-white crystalline powder with a solubility of 13.4 mg per ml in water at 25 °C. All dosages are expressed in terms of Tenofovir DF except where otherwise noted.
Cobicistat
The chemical name for Cobicistat (COBI2)is 1, 3-Thiazol-5-ylmethyl [(2R,5R)-5-{[(2S)-2-[(methyl{[2-(propan-2-yl)-1,3-thiazol-4-yl]methyl} carbamoyl)amino]-4(morpholin-4-yl) butanoyl]amino}-1,6-diphenyl hexan-2-yl]carbamate [10].
MOA
Cobicistat acts as an HIV integrase inhibitor [3, 4].
It has a molecular formula of C40H53N7O5S2 and a molecular weight of 776.0. It has the following structural formula:
Fig. 3: Structure of cobicistat
It is adsorbed onto silicon dioxide. Cobicistat on silicon dioxide is a white to pale yellow solid with a solubility of 0.1 mg per ml in water at 20 °C.
Elvitegravir
The chemical name of Elvitegravir (ELVT) is 6-(3-Chloro-2-fluorobenzyl)-1-[(2S)-1hydroxy-3-methylbutan-2-yl]-7-methoxy-4-oxo-1, 4-dihydroquinoline-3-carboxylic acid.
MOA
Elvitegravir is a drug used for the treatment of HIV infection. It acts as an integrase inhibitor [5, 6]. It has a molecular formula of C23H23ClFNO5 and a molecular weight of 447.9. Elvitegravir is a white to pale yellow powder with a solubility of less than 0.3 micrograms per ml in water at 20 °C.
Fig. 4: Structure of Elvitegravir
Stribild, a medication to treat HIV-1 infection for treatment-naïve adults, has been approved by the Food and Drug Administration (FDA). Stribild is a pill combination of four active ingredients-150 mg of Elvitegravir, 150 mg of Cobicistat, 200 mg of Emtricitabine and 300 mg of Tenofovir disoproxil fumarate (equivalent to 245 mg of Tenofovir Disoproxil)-and is taken once a day. Stribild is commercially available marketed formulation.
The literature survey revealed that there are very few HPLC and spectroscopic [7, 8] methods available for the determination of Emtricitabine, Tenofovir disoproxyl fumarate, Cobicistat, Elvitegravir in pure and combined dosage forms. The present study was aimed to develop a new UPLC method for simultaneous estimation of Emtricitabine, Tenofovir disoproxyl fumarate, Cobicistat, Elvitegravir in bulk and their combined pharmaceutical dosage form using more economical chromatographic conditions.
MATERIALS AND METHODS
Drug substance
Working standardsEmtricitabine (99.7%), Tenofovir disoproxyl fumarate (99.5%), Cobicistat (99.5%) and Elvitegravir (99.4%) were procured from HETERO, Hyderabad, India.
Instrumentation
An Agilent-1290, Ultra Performance Liquid Chromatography consisting of Binary pump (GA220A), Column compartment (G1316C), Autosampler (G4226A), and Diode array detector (G4212A), supplied by M/s. Agilent technologies, USA. Mettler-Toledo analytical balance, model AG-245 capable of weighing 0.01 mg, supplied by M/s. Mettler AG, Switzerland. Sonicator supplied by M/s. Bandelin electronics, Germany. Digital pH meter supplied by M/s. Hanna instruments, USA.
Chemicals and reagents
HPLC grade Methanol and Acetonitrile were purchased from Merck India limited, Mumbai, India. AR grade Trifluoroacetic anhydride, supplied by M/s. Sigma-Aldrich, USA. AR grade Hydrochloric acid supplied by M/s. Merck, India. GR grade Sodium hydroxide and Hydrogen peroxide supplied by M/s. Merck, India.
Preparation of mobile phase
Mobile Phase: A–0.1% TFA in Acetonitrile, B–0.1% TFA in Milli-Q-water.
Preparation of standard solutions
Accurately weighed 100 mg of Emtricitabine, 150 mg of Tenofovir, 75 mg of Cobicistat and 75 mg of Elvitegravir into 50 ml capacity standard volumetric flasks. The content in the flask was dissolved using methanol and diluted up to the mark with methanol. A 5 ml aliquot of each stock solution was transferred into 50 ml volumetric flasks and diluted up to the mark using mobile phase.
Chromatographic conditions
The mobile phase was a mixture of Mobile Phase: A–0.1% TFA in Acetonitrile, B–0.1% TFA in Milli-Q-water. The contents of the mobile phase were filtered, before it was used, through 0.45μm membrane filter,degassed with a helium sparge for 15 min and pumped from the respective solvent reservoirs to the column at a flow rate of 0.4 ml/min, ACE C18 (50 mm x 3 mm, 2µ).The column temperature was maintained at 30oC and run time 8 min. The injection volume of samples was 20μl. UV detection was carried out using a UV-PDA detector at 240 nm. The chromatographic conditions were shown in table no 1.
Table 1: Gradient program
Time (min) |
Mobile phase A (%) |
Mobile phase B (%) |
||
0 |
10 |
90 |
||
3 |
90 |
10 |
||
6 |
90 |
10 |
||
6.1 |
10 |
90 |
||
8 |
10 |
90 |
Method development
After no. of trials, optimum chromatographic conditions were fixed for better separations. The separate standard calibration lines were constructed for each drug. A series of aliquots were prepared from the above stock solutions using mobile phase to get the concentrations 150-275 µg/ml Emtricitabine, 250-375 µg/ml Tenofovir, 100-225 µg/ml Cobicistat and 100-225 µg/ml Elvitegravir. Each concentration was injected 6 times into chromatographic system. Each time peak area and retention time recorded separately for the drugs. Calibration curves were constructed by taking average peak area on Y-axis and concentration on X-axis separately for all the four drugs. From the calibration curves, regression equations were calculated as shown in the fig. No. 5, 6, 7 & 8. These equations were used for the estimation of drug content in their combined tablet dosage form.
Estimation of pharmaceutical formulation
For the analysis of drugs, 20 tablets were weighed and triturated in a glass mortar and quantity of powder equivalent to 100 mg of Emtricitabine, 150 mg of Tenofovir, 75 mg of Cobicistat and 75 mg of Elvitegravir into a 50 ml capacity standard volumetric flask and dissolved in sufficient quantity of methanol and diluted up to the mark with methanol. It was sonicated for 10 min. This solution was then filtered through a nylon 0.45 mm membrane filter. From above solution 5 ml was transferred into 50 ml volumetric flasks. It was further diluted with mobile phase to get the required test concentrations of 200 μg/ml of EMCB, 300 μg/ml of TDF, 150 μg/ml of COBI and ELVT. This solution was injected 6 times into the column, chromatograms and respective peak areas were measured. The content of EMCB, TDF, COBI and ELVT were calculated by using the regression equation which was indicated as % Assay. The results are shown in table 2.
Table 2: Estimation of pharmaceutical formulation
Drug name |
Labelled claim (mg) |
Test concentration (μg/ml) |
Mean Amount estimated (μg/ml) n=6 |
%Estimated Amount |
Emtricitabine |
200 |
200 |
199.24 |
99.62 |
Tenofovir |
300 |
300 |
300.06 |
100.02 |
Cobicistat |
150 |
150 |
149.41 |
99.60 |
Elvitegravir |
150 |
150 |
150.37 |
100.24 |
Method validation
Validation is defined as establishing documented evidence, which provides a high degree of assurance that a specific analytical method will consistently produce results meeting its intended analytical applications. The method was validated as per ICH guideline. The method was validated by performing system suitability, linearity, and limit of detection (LOD), limit of quantification (LOQ), precision, accuracy, selectivity and robustness.
Accuracy
Accuracy was evaluated in triplicate, at three different concentration levels equivalent to 50, 100 and 150% of the target concentration of active ingredient, by adding a known amount of each of the Standard to a pre-analyzed concentration of all drugs (EMCB, TDF, COBI and ELVT) and calculating the % of recovery. The results were shown in table 3.
Precision
Method precision of the analytical method was determined by analyzing six sets of sample solution preparation. Assay of all six replicates sample preparations were determined and mean percentage of assay value, standard deviation and percentage of relative standard deviation for the same were calculated. The results were shown in table 4.
Precision is the level of repeatability of results as reported between samples analyzed on the same day (intra-day) and samples run on 3 different days (inter-day). To check the intra-day and inter-day variation of the method, solution containing 175, 200 & 225 µg/ml for Emtricitabine, 275, 300, 325 µg/ml for Tenofovir and 125,150 & 175 µg/ml for both Cobicistat, Elvitegravir drugswere subjected to the proposed UPLC method of analysis and the recoveries obtained were noted. The precision of proposed method i.e. the intra and inter-day variations in the peak area of the drug solutions were calculated in terms of % RSD and the results were presented in the table No.4; statistical results revealed that relative standard deviation of drugs at different concentration levels for 6 times was less than 2.0. The results are shown in table 5.
Linearity
The linearity of the method was determined in the concentration range of 150-275μg/ml for Emtricitabine, 250-375μg/ml for Tenofovir disoproxyl fumarate, 100-225μg/ml for both Cobicistat & Elvitegravir. Each solution was injected six times. The peak area versus concentration data was analyzed with least squares linear regression. The slope and intercept of the calibration curve were reported. The results were shown in table 6, 7.
Table 3: Results of the recovery studies
Drugs |
Pre analyzed concentration (µg/ml) |
% Recovery levels |
Amount added (µg/ml) |
Amount found(µg/ml) (n=6) |
%Recovery |
Emtricitabine |
200 |
75 100 125 |
150 200 250 |
349.1 398.6 450.2 |
99.7 99.6 100.4 |
Tenofovir |
300 |
75 100 125 |
225 300 375 |
524.9 597.4 669.9 |
99.9 99.5 99.1 |
Cobicistat |
150 |
75 100 125 |
112.5 150 187.5 |
265.7 303.4 335.1 |
101.4 101.1 99.2 |
Elvitegravir |
150 |
75 100 125 |
112.5 150 187.5 |
261.7 299.4 336.1 |
99.2 99.8 99.5 |
Table 4: Method precision
S. No. |
Emtricitabine |
Tenofovir |
Cobicistat |
Elvitegravir |
|||
200 µg/ml |
300 µg/ml |
150 µg/ml |
150 µg/ml |
||||
1 |
199.7 |
297.5 |
148.0 |
149.9 |
|||
2 |
201.4 |
295.6 |
149.7 |
147.2 |
|||
3 |
197.8 |
300.2 |
149.3 |
148.4 |
|||
4 |
199.4 |
298.6 |
150.8 |
149.8 |
|||
5 |
199.3 |
295.0 |
149.7 |
149.1 |
|||
6 |
200.1 |
293.4 |
150.1 |
150.2 |
|||
Mean |
199.4 |
295.8 |
149.6 |
149.1 |
|||
Standard Deviation |
0.97 |
1.01 |
0.79 |
0.69 |
|||
% RSD |
0.004 |
0.003 |
0.005 |
0.004 |
Table 5: Results of the intermediate precision studies
Intra-day |
Inter-day |
||||
Drugs |
Concentration (µg/ml) |
mean±SD (n=3) |
%RSD |
mean±SD (n=3) |
%RSD |
Emtricitabine |
175 200 225 |
174.5±0.30 199.4±0.42 224.7±0.01 |
0.001 0.002 0.005 |
173.9±0.026 199.2±0.034 223.9±0.021 |
0.002 0.013 0.015 |
Tenofovir |
275 300 325 |
274.8±0.30 295.5±0.18 323.6±0.21 |
0.003 0.002 0.005 |
274.1±0.054 297.5±0.056 324.2±.0023 |
0.006 0.003 0.012 |
Cobicistat |
125 150 175 |
124.1±0.010 148.9±0.021 173.9±0.01 |
0.003 0.001 0.006 |
124.1±0.30 148.9±0.11 173.9±0.51 |
0.053 0.026 0.064 |
Elvitegravir |
125 150 175 |
123.1±0.020 149.4±0.011 174.2±0.24 |
0.765 0.091 0.006 |
123.9±0.30 148.1±0.31 174.4±0.21 |
0.007 0.006 0.041 |
Table 6: Calibration data of the proposed method
Calibration |
|||||||
Emtricitabine |
Tenofovir |
Cobicistat |
Elvitegravir |
||||
Conc. (µg/ml) |
Average Peak area |
Conc. (µg/ml) |
Average Peak area |
Conc. (µg/ml) |
Average Peak area |
Conc. (µg/ml) |
Average Peak area |
275 |
3289 |
375 |
2714 |
225 |
891 |
225 |
8974 |
250 |
2950 |
350 |
2554 |
200 |
789 |
200 |
7725 |
225 |
2672 |
325 |
2372 |
175 |
692 |
175 |
6885 |
200 |
2397 |
300 |
2182 |
150 |
598 |
150 |
5905 |
175 |
2086 |
275 |
1987 |
125 |
490 |
125 |
4912 |
150 |
1790 |
250 |
1802 |
100 |
394 |
100 |
3927 |
Table 7: Optical characteristics of emtricitabine, tenofovir, cobicistat and elvitegravir
Parameters |
Emtricitabine |
Tenofovir |
Cobicistat |
Elvitegravir |
Linearity range (µg/ml) |
150-275 |
250-375 |
100-225 |
100-225 |
Regression line equation |
y = 11.89x+2.678 |
y = 7.272x-3.509 |
y = 39.40x-13.33 |
y = 39.40x-13.33 |
Correlation coefficient (r) |
0.999 |
0.999 |
0.999 |
0.999 |
LOD (µg/ml) |
0.032 |
0.028 |
0.059 |
0.007 |
LOQ (µg/ml) |
0.10 |
0.10 |
0.20 |
0.02 |
Fig. 5: Calibration curve for Emtricitabine
Fig. 6: Calibration curve for Tenofovir

Fig. 7: Calibration curve for Cobicistat
Fig. 8: Calibration curve for Elvitegravir
LOD and LOQ
Limit of detection and quantification were established based on the signal to noise ratio (S/N) 3:1 and 10:1 respectively. The results were shown in table 8.
Table 8: LOD and LOQ
Active |
LOD (µg/ml) |
LOQ (µg/ml) |
Emtricitabine |
0.032 |
0.10 |
Tenofovir |
0.028 |
0.10 |
Cobicistat |
0.059 |
0.20 |
Elvitegravir |
0.007 |
0.02 |
Robustness
The robustness of the assay method was established by introducing small changes in the chromatographic condition which included the percentage of acetonitrile in mobile phase (58% and 62%), flow rate (0.38 and 0.42 ml/min) and column oven temperature (25 °C and 35 °C).
The results were shown in table 9.
Solution stability
The solution stability of Emtricitabine, Tenofovir, Cobicistat and Elvitegravir in the assay method was carried out by leaving both the sample and reference standard solutions in tightly capped volumetric flasks at room temperature for 48 h. The same sample solution was assayed at 6-hour intervals over the study period. The percentage of RSD of the Emtricitabine, Tenofovir, Cobicistat and Elvitegravir assay was calculated for solution stability experiments. An additional study was carried out using the stock solution by storing it in a tightly capped volumetric flask at 4 °C.
System suitability parameters
For assessing system suitability, six replicates of working standards samples of Emtricitabine, Tenofovir, Cobicistat and Elvitegravir were injected and studied the parameters like plate number (N), tailing factor (K), resolution, relative retention time and peak symmetry of samples. The results were tabulated in table 10.
Table 9: Robustness studies of EMCB, TDF, COBI and ELVT
Method parameters |
Conditions |
Retention Time (RT) |
|||
Emtricitabine |
Tenofovir |
Cobicistat |
Elvitegravir |
||
Flow Rate+ |
+0.42 |
1.43 |
3.59 |
4.13 |
4.60 |
Flow Rate- |
-0.38 |
1.46 |
3.59 |
4.13 |
4.64 |
Organic in Mobile Phase+ |
+2 % |
1.40 |
3.49 |
4.10 |
4.61 |
Organic in Mobile Phase- |
-2 % |
1.49 |
3.52 |
4.10 |
4.60 |
Column oven temperature- |
28 °C |
1.41 |
3.54 |
4.09 |
4.59 |
column oven temperature+ |
32 °C |
1.36 |
3.49 |
4.10 |
4.54 |
Table 10: System suitability parameters
Parameter |
Emtricitabine |
Tenofovir |
Cobicistat |
Elvitegravir |
N |
6 |
6 |
6 |
6 |
Retention time |
1.46 |
3.59 |
4.13 |
4.64 |
Symmetry |
0.99 |
0.97 |
1.00 |
1.04 |
Plates |
20156 |
27451 |
36173 |
38745 |
Resolution |
- |
19.98 |
6.12 |
5.68 |
Selectivity |
- |
2.46 |
1.15 |
1.12 |
Specificity and selectivity
Specificity is the degree to which the procedure applies to a single analyte and is checked in each analysis by examining blank matrix samples for any interfering peaks. The specificity of the method was evaluated with regard to interference due to the presence of any other placebos. Two different samples were injected and studied with respective placebos. The UPLC chromatograms recorded for the drug matrix ( a mixture of the drug and placebos) showed almost no interfering peaks within retention time ranges. Figure. 5-8shows the respective chromatogram for Emtricitabine, Tenofovir, Cobicistat and Elvitegravir with a blank. The fig. shows that the selected drugs were cleanly separated. Thus, the UPLC method proposed in this study was selective.
Stress degradation studies
Preparation of stock solution
Accurately weighed 100 mg of Emtricitabine, 150 mg of Tenofovir, 75 mg of Cobicistat and 7 mg of Elvitegravir into 50 ml capacity standard volumetric flasks. The content in the flask was dissolved using methanol and diluted up to the mark with methanol.
Fig. 9: Blank chromatogram
Acid degradation
Accurately 5.0 ml aliquot of above stock solution was transferred into a 50 ml round bottom flask, and 2.5 ml of 0.1 N HCl was added. The flask was refluxed at 60 °C for 30 min using Buchi rota evaporator and then allowed to cool. Then neutralized with 0.1N NaOH solution. Finally, volume was made up to the mark with mobile phase, and percentage of degradation was calculated.
Alkali degradation
Accurately 5.0 ml aliquot of above stock solution was transferred into a 50 ml round bottom flask, and 2.5 ml of 0.1 N NaOH was added. The flask was refluxed at 60 °C for 30 min using Buchi Rota evaporator and then allowed to cool. Then neutralized with 0.1N HCl solution, finally volume was made up to the mark with mobile phase, and percentage of degradation was calculated.
Peroxide condition
Accurately 5.0 ml aliquot of above stock solution was transferred into a 50 ml volumetric flask, and 3.0 ml of 3% H2O2 was added. The flask was kept at room temperature for 30 min then allowed to cool, finally volume was made up to the mark with mobile phase, and percentage of degradation was calculated.
Thermal condition
200 mg of Emtricitabine, 300 mg of Tenofovir, 150 mg of Cobicistat and 150 mg of Elvitegravir were weighed accurately and transfer into four different Petri dish and kept in a hot air oven for 8 h at 105 °C. The samples were then placed in a desiccator till reaches the room temperature. From this Petri dish Accurately weighed 100 mg of Emtricitabine, 150 mg of Tenofovir, 75 mg of Cobicistat and 75 mg of Elvitegravir into 50 ml capacity standard volumetric flasks. The content in the flasks was dissolved using methanol and diluted up to the mark with methanol. A 5 ml aliquot of each stock solution was transferred into 50 ml volumetric flasks and diluted up to the mark using mobile phase.
Photolytic condition
A 5 ml aliquot of above stock solution was exposed to sunlight for about 6hours, and then the sample was diluted with 5 ml of mobile phase and percentage of degradation was calculated.
Fig. 10: Acid degradation

Fig. 11: Alkali degradation
Fig. 12: Peroxide condition
Fig. 13: Thermal condition
Fig. 14: Photolytic condition
Table 11: Results of stress degradation studies
Stress conditions |
Active present after degradation (%) |
||||||
Emtricitabine |
Tenofovir |
Cobicistat |
Elvitegravir |
||||
Acid |
10.00 |
59.99 |
65.65 |
65.36 |
|||
Base |
64.77 |
BDL |
64.06 |
64.83 |
|||
Oxidation |
98.12 |
92.67 |
94.45 |
90.87 |
|||
Thermal |
51.58 |
19.30 |
89.03 |
89.50 |
|||
Photolytic |
63.83 |
96.09 |
80.75 |
80.77 |
|||
*BDL = Below Detectable Level
RESULTS AND DISCUSSION
Optimized chromatographic conditions
The optimized chromatographic conditions are given in table 1. The best peak shape and maximum separation were achieved with mobile phase composition of: A–0.1% TFA in Acetonitrile, B–0.1% TFA in Milli-Q-water. The best separation, peak symmetry and reproducibility were obtained on ACE C18 (50 mm x 3 mm, 2µ). The optimum wavelength for detecting the analyte was found to be 240 nm, a flow rate of 0.4 ml/min yielded optimum separation and peak symmetry.
Most of all reported UPLC methods till date use C-8 or C-18 columns. Most of this use complex mobile phase compositions. Hence, attempts were directed towards the development of a Simple and better method on a commonly used C18 column with good resolution. Different logical Modifications were tried to get good separation among the drugs and the degraded products. These changes included a change in mobile phase composition in gradient modes on different C18 columns. The results were as shown in table 10.
Accuracy
The percentage recovery of Emtricitabine, Tenofovir, Cobicistat and Elvitegravir in the combined dosage forms were obtained in a range from 99.97% to 101.55%, respectively. Percentage of RSD value of replicated sets was less than 2.0 which indicates that this method is highly accurate. The results were as shown in table 3.
Table 10: System suitability parameters
Parameter |
Emtricitabine |
Tenofovir |
Cobicistat |
Elvitegravir |
N |
6 |
6 |
6 |
6 |
Retention time |
1.46 |
3.59 |
4.13 |
4.64 |
Symmetry |
0.99 |
0.97 |
1.00 |
1.04 |
Plates |
20156 |
27451 |
36173 |
38745 |
Resolution |
- |
19.98 |
6.12 |
5.68 |
Selectivity |
- |
2.46 |
1.15 |
1.12 |
Precision
The precision of the method was determined by repeatability (intraday-precision) and intermediate precision (Interday-precision) of Emtricitabine, Tenofovir, and Cobicistat and Elvitegravir standard solution. The obtained results of repeatability (intraday precision) and intermediate precision (interday-precision) were less than 2. Percentage of RSD value of replicated sets was less than 2.0 which indicates that this method is highly precise. The results were as shown in table 5.
Linearity
The calibration curve for the Emtricitabine, Tenofovir, Cobicistat and Elvitegravir were linear over the concentration range of 150-275µg/ml, 250-375µg/ml 100-225µg/ml, and 100-225 µg/ml respectively. The data for the peak area versus concentration were treated by linear regression analysis, and the correlation coefficient (r) was obtained (0.999). The regression equation for the calibration curve was calculated. The statistical analysis revealed that the proposed method was linear the results were as shown in table 6, 7.
LOD and LOQ
The results of LOD and LOQ data were within the acceptance criteria. The signal-to-noise ratio for the LOD and LOQ were well within the acceptance criteria. The results were as shown in table 8.
Robustness
The robustness of the assay method was established by introducing small changes in the chromatographic condition which included the percentage of acetonitrile in mobile phase (58% and 62%), flow rate (0.38 and 0.42 ml/min) and column oven temperature (28 °C and 32 °C).The developed method was unaffected by the small deliberated changes; it indicated the pro [posed method was robust. The results were shown in table 9.
Degradation studies
Acid hydrolysis (fig. 10)
Upon performance of acid degradation studies, 10% of Emtricitabine, 59.99% of Tenofovir, 65.65% of Cobicistat and 65.36% of Elvitegravir active were remaining after degradation.
Base hydrolysis (fig. 11)
Upon performance of base degradation studies, 64.77%, BDL, 64.06% and 64.83% of Emtricitabine, Tenofovir, Cobicistat and Elvitegravir respectively were active present after degradation (%)
Peroxide hydrolysis (fig. 12)
Upon performance of peroxide degradation studies, 98.12%, 92.67%, 94.45% and 90.87% of Emtricitabine, Tenofovir, Cobicistat, and Elvitegravir respectively were active present after degradation (%)
Thermal degradation (fig. 13)
Upon performance of Thermal degradation studies 51.58%, 19.30%, 89.03% and 89.50% of Emtricitabine, Tenofovir, Cobicistat, and Elvitegravir active were active present after degradation (%).
Photolytic degradation (fig. 14)
Upon performance of Photolytic degradation 63.83% of Emtricitabine, 96.09 % of Tenofovir, 80.75 % of Cobicistat and 80.77 % of Elvitegravir were active present after degradation (%).
Results were tabulated in table 11.
Stability studies
Emtricitabine degraded more in acid and photolytic condition. Tenofovir degraded more in alkali condition. Cobicistat degraded more in acid condition. Elvitegravir degraded more in peroxide condition.
Table 11: Results of stress degradation studies
Stress Conditions |
Active present after degradation (%) |
||||||
Emtricitabine |
Tenofovir |
Cobicistat |
Elvitegravir |
||||
Acid |
10.00 |
59.99 |
65.65 |
65.36 |
|||
Base |
64.77 |
BDL |
64.06 |
64.83 |
|||
Oxidation |
98.12 |
92.67 |
94.45 |
90.87 |
|||
Thermal |
51.58 |
19.30 |
89.03 |
89.50 |
|||
Photolytic |
63.83 |
96.09 |
80.75 |
80.77 |
|||
*BDL = Below Detectable Level
CONCLUSION
Stress testing (or forced degradation studies) is an important part of drug development process, and the pharmaceutical industry has much interest in this area. A simple, rapid, accurate and precise stability-indicating UPLC analytical method has been developed and validated for the quantitative analysis of Emtricitabine, Tenofovir, Cobicistat and Elvitegravir in bulk drugs and combined dosage forms. The newly developed UPLC method for separation of different degradation products along with the pure drugs was found to be capable of giving faster retention times while still maintaining good resolution than that achieved with conventional HPLC. The decreased flow rate 0.4 ml/min, in UPLC indicate more economical. This method exhibited an excellent performance in terms of sensitivity and speed. The results of stress testing undertaken according to the ICH guidelines reveal that the method is specific and stability-indicating. The proposed method has the ability to separate these drugs from their degradation products in tablet dosage forms and hence can be applied to the analysis of routine quality control samples and samples obtained from stability studies.
ACKNOWLEDGEMENT
Authors are very thankful to principal A. Prameela Rani University College of pharmaceutical sciences, Acharya Nagarjuna University, Guntur, for providing the library facilities for literature survey to carry out entire study. Authors also thankful to Hetero laboratories, Hyderabad, India. for providing Emtricitabine, Tenofovir, Cobicistat and Elvitegravir working standards as gift samples. Authors also thankful to Shree icon pharmaceutical laboratories, AP, India, for providing Instrumental facilities to carry out Research work.
CONFLICT OF INTERESTS
Declare none
REFERENCES