Nanotechnology Research Laboratory, Department of Chemistry, Shri Shivaji Science College, Amravati 444602(M. S), India
Email: gnchaudhari@gmail.com
Received: 29 Dec 2015 Revised and Accepted: 17 May 2016
ABSTRACT
Objective: The main objective of this study to prepare the highly sensitive and high-performance biosensor using Nickel ferrite (NiFe2O4) nanoparticles and biological agent (enzyme) for the respective biosensor.
Methods: Nickel ferrite (NiFe2O4) nanoparticles were prepared by using the sol-gel method. Prepared nanoparticles were dispersed in polyvinyl alcohol (PVA) solution in order to fabricate nanocomposite film on gold (Au) plate. Urease (Ur) has been immobilized onto this (PVA/NanoNiFe2O4/Au) nanocomposite film via physical adsorption method. The PVA/NanoNiFe2O4/Au electrode and Ur/PVA-nanoNiFe2O4/Au bio-electrode have been characterized using scanning electron microscopy (SEM), electrochemical impedance spectroscopy (EIS) and cyclic voltammetry (CV). Synthesized nanoparticles were characterized by X-ray diffraction (XRD) and Fourier transform infrared (FT-IR) spectroscopy.
Results: The XRD of nanocrystalline NiFe2O4 shows spinel ferrites crystal structure and the average particle size of NiFe2O4 nanoparticles was found to be ~ 40 nm. The formation of NiFe2O4 was confirmed by FT-IR. The detecting performance of Nanocrystalline NiFe2O4 results in increased active surface area of PVA-nanoNiFe2O4/Au bioelectrode for immobilization of enzyme (Ur), enhanced electron transfer and increased shelf-life of bioelectrode. The Ur/PVA-nanoNiFe2O4/Au bioelectrode exhibits interesting characteristics such as detection range 5-50 mg/dl, response time as 2s with regression coefficient as 0.951. A Michalis-Menten constant (Km) as 2 mg/dl indicate high affinity of the enzyme (Ur) for urea detection.
Conclusion: The results obtained from this study indicated that the Ur/PVA-nanoNiFe2O4/Au bioelectrode reveals increased enzyme (urease)-substrate (urea) interactions indicating the distinct advantage of this matrix over other matrices used for urea biosensor fabrication. Efforts should be made to use this electrode for the detection of urea in blood serum.
Keywords: Biosensor, NiFe2O4nanoparticles, Urease (Ur), Polyvinyl alcohol (PVA), Nanobiocomposite, Sol-gel method
© 2016 The Authors. Published by Innovare Academic Sciences Pvt Ltd. This is an open access article under the CC BY license (http://creativecommons.org/licenses/by/4.0/)
INTRODUCTION
Novel analytical devices based on nanostructured metal oxides are known to be cost-effective and highly sensitive due to the large surface-to-volume ratio, show excellent selectivity and their optical and electrical properties arising from electron and phonon confinement. Many nanostructured metal oxide such as zirconium oxide (ZrO2), tin oxide (SnO2), cerium oxide (CeO2) and zinc oxide (ZnO) have been utilized for immobilization of proteins, enzymes and antigens for accelerated electron transfer between active sites of protein and electrode[1, 2]. Electrochemical biosensors has been considered to provide interesting alternatives due to their simplicity, low cost and high sensitivity [3, 4].
Among a more number of enzymes used for biosensor construction, urease is an important part in most enzyme-based sensor development of fulfilling the growing demand for urea detection. Urea ((NH2)2CO) is basically an organic compound of carbon, nitrogen, oxygen and hydrogen. Most organisms deal with the excretion of nitrogen waste originating from protein and amino acid catabolism. In urea biosensors (Ur), utilizing (Ur) are based on the catalytic conversion of urea to hydrogen bicarbonate and ammonium. It has been seen that ammonium ions easily diffuse in solution. Immobilization of Ur onto a suitable matrix is a crucial step for the fabrication of urea biosensor. Extensive efforts have been made to utilize nanomaterial’s to immobilize Ur for urea detection.
Polyvinyl alcohol (PVA) is a promising water soluble polymer for biomedical applications [5]. A synthetic polymer that has been extensively used for immobilization of biocatalysts in a membranous form is polyvinyl alcohol (PVA). It is a non-toxic and biocompatible synthetic polymer with good chemical and thermal stability [6]. Large numbers of hydroxyl groups in the PVA provide a biocompatible microenvironment for the enzyme [7]. Magnetic nanoparticles as special biomolecule immobilizing carriers are becoming the focus of research [8]. Recently, Sadiria S. M. et al. [9] synthesized (NiFe2O4NPs)/CHIT composite film shows an excellent electrocatalytic response to the oxidation of glucose. NiFe2O4 nanoparticles with inverse spinel structure show good biocompatibility, noncytotoxicity, and easy preparation process [10]. Metal oxide nanoparticles-chitosan (CH) based hybrid composites have attracted much interest for the development of the desired biosensor [11-13]. The loading of NiFe2O4 improves conducting network and electrochemical properties of PVA due to the interaction between the polymer chain and NiFe2O4 particles. In this manuscript, we report results of the studies carried out on immobilization and characterization of urease on PVA-NanoNiFe2O4 composite film deposited onto a gold plate. Optimized experimental conditions for the fabrication and operation of the biosensor have been established. The resulting biosensor has some advantage such as good stability, sensitivity and fast response time.
MATERIALS AND METHODS
Materials
Polyvinyl alcohol (PVA), Urease (Ur), Citric acid, ethyl alcohol, ferric nitrate (Fe(NO3)3.9H2O) and nickel nitrate (Ni(NO3)2.6H2O) were obtained from Sigma-Aldrich. For phosphate buffer solution 50 mM of (pH 7.0), including disodium mono hydroxy phosphate (Na2HPO4) and monosodium dihydroxy phosphate (NaH2PO4) were obtained from sigma. In all electrochemical tests double distilled deionized water was used. Other materials and tools used in the laboratory were obtained from reputable companies.
Methods
Preparation of PVA-NanoNiFe2O4/Au nanocomposite electrode
NiFe2O4 nanoparticles prepared using sol-gel method [14] is dispersed into 10 ml of PVA (0.5 mg/ml) solution in distilled water under continuous stirring and heating the mixture up to 95oC for an hour. Then the mixture was left to cool down to laboratory temperature while the stirring of the mixture was carried out to ensure a homogenous composition. Finally, viscous solution of PVA with uniformly dispersed NiFe2O4 nanoparticles is obtained. PVA-NanoNiFe2O4 composite films have been fabricated by uniformly dispersing solution of PVA-NanoNiFe2O4 composite onto a gold surface and allowing it to dry at room temperature for 12 h. The dry PVA-NanoNiFe2O4 nanocomposite film is wash out with deionized water to remove any unbound particles.
Immobilization of urease onto PVA-NanoNiFe2O4 nanocomposite film
10 µl of enzyme solution containing Ur (10 mg/ml) [prepared in phosphate buffer (50 mM) of pH 7.0] is immobilized onto PVA-NanoNiFe2O4nanobiocomposite/Au electrode. The Ur/PVA-Nano NiFe2O4/Au bioelectrode are kept undisturbed for about 12 h at 4oC. Finally, the dry bioelectrode is immersed in 5 mM PBS of (pH 7.0) in order to wash out any unbound enzymes from the electrode surface.
Characterization
The PVA-NanoNiFe2O4/Au electrode and Ur/PVA-NanoNiFe2O4/Au bioelectrode have been characterized using X-ray diffractometer (cu kα radiation), Fourier transform infrared (FT-IR), scanning electron microscopy (SEM) and cyclic voltammetric studies. Electrochemical experiments were performed on a CH instruments with a conventional three-electrode system. Ur/PVA-NanoNiFe2O4/Au bioelectrode as working electrode saturated calomel electrode (SCE) was used as the reference electrode and platinum (pt) wire acted as the counter electrode in KCL (0.1 M) containing 5 mM [Fe(CN)6]3−/4− as the electrolyte.
RESULTS AND DISCUSSION
Structural characterization
X-ray diffraction study
The X-ray diffraction data were recorded by using Cu Kα radiation (1.5406 Ao). The intensity data were collected over 2θ range of 20-70o. The X-ray diffraction (fig. 1) pattern of synthesized NiFe2O4 nanoparticles reflection planes are (2 2 0), (3 3 1), (2 2 2), (4 0 0), (4 2 2), (5 1 1), (4 4 0) shows spinel ferrites crystal structure. The particle size of NiFe2O4 nanoparticles estimated with the help of Scherrer formula has been estimated as ~ 40 nm using the diffraction intensity of (3 3 1) peak.
The average particle size of NiFe2O4 nanoparticles estimated with the help of Scherrer formula has been estimated as ~40 nm. X-ray diffraction studies confirmed that the synthesized materials were NiFe2O4 with all the diffraction peaks agreed with the reported JCPS data no.742081. It can be clearly seen from a XRD diffraction pattern that synthesized nickel ferrite nanoparticles have high purity and good crystal quality. The mean grain size (D) of the particles was determined from the XRD line broadening measurement using Scherrer equation [15].

Where λ is the wavelength (Cu Kα), β is the full width at the half-maximum (FWHM) of the NiFe2O4 (3 3 1) diffraction peak and θ is the diffraction angle. A definite line broadening of the diffraction peaks is an indication that the synthesized materials are in the nanometer range.

Fig. 1: X-ray diffraction pattern of NiFe2O4 particles
Fourier transformed infrared spectroscopy (FT-IR)
The FTIR spectra of the investigated NiFe2O4 sample are shown in (fig. 2). In the wave number range, 4000 to 400 cm-1, two main broad metal-oxygen (Fe-O) peaks are seen in infrared spectra of all spinels, especially ferrites. The higher one broad peak are observed at 600-550 cm-1 which correspond to intrinsic stretching vibrations of the tetrahedral metal-oxygen bond. The lowest peak usually observed in the range 450-385 cm-1. The higher one broad peak are observed at 600-550 cm-1 which correspond to intrinsic stretching vibrations of the tetrahedral metal-oxygen bond. The lowest peak usually observed in the range 450-385 cm-1, which correspond to the metal-oxygen vibrations in the octahedral sites.
The spectra show prominent bands at 3400 and 1600 cm-1, is correspond to stretching modes and H-O-H bending vibrations of the free or absorbed water. These absorption bands represent characteristic features of spinel ferrites in single phase [16].
The surface morphologies of PVA-NanoNiFe2O4/Au electrode and Ur/PVA-nanoNiFe2O4/Au bio electrode in [fig. 3 images (a) and (b)] have been investigated using scanning electron microscopy. The granular morphology of PVA-NanoNiFe2O4/Au electrode reveals incorporation of the NiFe2O4 nanoparticles in PVA indicating the formation of PVA-NanoNiFe2O4/Au nanobiocomposite. This may be due to electrostatic interactions between PVA and the surface charged NiFe2O4 nanoparticles. However, after the immobilization of Ur onto PVA-NanoNiFe2O4/Au (image b) electrode shows the granular morphology changes into spherical form. This suggests that NiFe2O4 nanoparticles provide a favorable environment for high loading of Ur moieties. These results are further supported by electrochemical studies.

Fig. 2: FTIR of NiFe2O4 particles

Fig. 3: SEM of (a): PVA-NanoNiFe2O4/Au electrode (b): Ur/PVAnanoNiFe2O4 /Au bio electrode
In the cyclic voltammetric studies were conducted in order to find and examine oxidation and reduction peaks in the PVA-nanoNiFe2O4/Au electrode and after immobilization of Ur onto PVA-NiFe2O4nanocomposite/Au bioelectrode. fig. 4 (A) shows the NanoNiFe2O4/Au electrode (curve a), and Ur/NanoNiFe2O4/Au bioelectrode (curve b) have been carried out in KCL (0.1 M) containing 5 mM [Fe(CN)6]3-/4-in the potential range-0.2 to 0.6 V at 0.1 V/s scan rate. The magnitude of current response of PVA-nanoNiFe2O4/Au electrode shows a well-defined redox behavior and the redox peak current is high (curve a). But the redox peak current decreases after immobilization of Ur (curve b). However, the magnitude of the current response decreases due to the immobilization of urease (Ur) onto Nano-NiFe2O4/Au electrode (curve b). This may be due to the insulating nature of urease enzyme that may perturb the electron transfer between the medium and the electrode resulting in the slowdown of redox process during the biochemical reaction. The reason is that an insulating layer of the non-conducting enzyme had been assembled on electrode surface, which act as an electron transfer barrier.
Fig. 4 (B) shows CV of Ur/NanoNiFe2O4/Au bioelectrode recorded at different scan rate from 0.1-0.6 V/s. It is observed that magnitude of both cathodic (Ic) and anodic (Ia) currents increases linerarly with the different scan. Besides this, the redox peak currents show linear behaviour with square root of scan rate (√), (see fig. 3(C)), revealing a diffusion controlled electron-transfer process and follow equation (1) and (2).
Ic (mA) = 20.51 (mA v-1 s-1)–1.52 (mA) *scan rate (V/s), R2=0.994-------------------- (1)
Ia(mA) =-23.62(mA v-1 s-1)+4.89 (mA)
*scan rate (V/s), R2=0.988------------------- (2)
The values of heterogeneous electron transfer rate constant (ks) of urease is immobilized PVA-nanoNiFe2O4/Au bioelectrode have been calculated using Laviron model [17].

Where m is peak-to-peak separation, F is Faraday constant, ν is scan rate (V/s), n is the number of transferred electrons and R is gas constant. The value of ks obtained as 6.50 s-1(T = 298 K, n = 1, m = 0.167 V and ν = 100 mV) is higher than that of other nanoparticles based bioelectrode [18,19] indicating fast electron transfer between immobilized Ur and electrode due to the presence of NiFe2O4 nanoparticles in the PVA-nanoNiFe2O4/Au bioelectrode.

[A]

[B]

[C]
Fig. 4: (A) Cyclic voltammogrammes of (a): PVA-NanoNiFe2O4/Au electrode (b): Ur/PVAnanoNiFe2O4/Au bioelectrode at 0.1V/s; (B) CV of Ur/PVAnanoNiFe2O4/Au (C) Line gradient and diagram plotted on the basis of square root of scan rate bioelectrode at different scan rate (0.1-0.6 V/s)
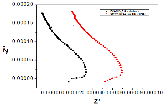
In the electrochemical impedance study shows the semicircle part corresponds to electron transfer limited process and its diameter is equal to the electron transfer resistance, RCT that controls electron transfer kinetics of the redox probe at the electrode interface. It is an effectual and constructive tool for characterizing the interfacial features of surface-modified electrodes. The modified electrode impedance can be presented as the sum of the real (Z’), and imaginary (-Z’’) components that originate mainly from the resistance and capacitance of the cell, respectively. The general electronic equivalent circuit (Randles and Ershler model), includes the ohmic resistance of the electrolyte solution (Rs), the Warburg impedance (D), resulting from the diffusion of ions from the bulk electrolyte to the electrode interface. The double layer capacitance (Cdl) and charge-transfer resistance (Rct) exists, if a redox probe is present in the electrolyte solution, where Rs and D denote bulk properties of the electrolyte solution and diffusion features
of the redox probe in solution, respectively. The other two components Cdl and Rct, depend on the dielectric and insulating features at the electrode/electrolyte interface. Fig. 5 shows the Faradaic impedance spectra, presented as Nyquist plots obtained from real (Z’’) and imaginary (-Z”) of PVA-NanoNiFe2O4/Au electrode and Ur/PVA-NanoNiFe2O4/Au bioelectrode have been carried out in KCL (0.1 M) containing 5 mM [Fe(CN)6]3-/4-. The values of Rct derived from the diameter of a semicircle of impedance spectra are obtained as 0.00003 KΩ for PVA-NanoNiFe2O4/Au, 0.00007 KΩ for the Ur/PVA-NanoNiFe2O4/Au bioelectrode, respectively. The PVA-NanoNiFe2O4/Au electrode reveals a small semicircle domain. After the immobilization of Ur onto NanoNiFe2O4/Au bioelectrode, an increase of Rct value and the shift of semicircle to a higher frequency. This suggests that immobilized Ur molecules strongly bind with hybrid nanocomposite and block charge carriers in the nanobiocomposite matrix.

Fig. 5: Nyquist plots of (a): PVA-NanoNiFe2O4/Au electrode (b):Ur/PVAnanoNiFe2O4/Au bioelectrode in KCL (0.1 M) containing 5 mM[Fe(CN)6]3-/4-
fig. 6 shows the variation of ac conductivity with the frequency of (a) PVA-nanoNiFe2O4/Au electrode (b) Ur/PVA-NiFe2O4/Au bio-electrode investigated in KCL (0.1 M) containing 5 mM [Fe(CN)6]3-/4-in the frequency range from 42 Hz to 5 MHz. It can be seen that conductivity values are greater for urease immobilized PVA-nanoNiFe2O4 based bioelectrode film deposited onto gold plate compare to PVA-nanoNiFe2O4 based electrode film deposited on the gold plate at lower. This is also revealed by the electrochemical studies. fig. also indicate that the conductivity values are greater at the lower frequency compare to the higher frequency.

Fig. 6: Variation of ac conductivity with frequency of (a): PVA-nanoNiFe2O4/Au electrode (b): Ur/PVA-NiFe2O4/Au bioelectrode in KCL (0.1 M) containing 5 mM [Fe (CN)6]3-/4-
Electrochemical response studies
Electrochemical response studies of the Ur/PVAnanoNiFe2O4/Au bioelectrode have been carried out as a function of urea concentration (5-50 mg/dl) using CV technique (fig. 7A) at a scan rate of 0.1 V/s. The magnitude of current response increases on the addition of urea concentration (fig. 7A). The calibration curve between the magnitude of current response for Ur/ PVAnanoNiFe2O4/Au bioelectrode and urea concentrations is shown in (fig. 7B). This is the clear evidence that the change in response is due to the urease immobilization. The catalytic reaction of urea–urease as below;
NH2CONH2+2H2O Urease2NH4++CO32-
This reaction results in the production of three ions i.e. two NH4+and CO32− from uncharged urea which increases the conductivity of the host material by providing an excess electron to the conduction band of the material. Ur/PVAnanoNiFe2O4/Au bioelectrode exhibits the detection limit 10 mg/dl and sensitivity was found to be 0.064mA/mg/dl. Sensitivity depends on the slope of the curve, material, polymer and concentration of urea. In prepared bioelectrode, PVA as a conducting polymer is used due to this reason the sensitivity of bioelectrode is lower compared to other systems as shown in (table 1). The response time of the Ur/ PVAnanoNiFe2O4/Au bioelectrode found to be about 2s is attributed to faster electron communication feature of the PVA-NanoNiFe2O4/Au electrode. The regression coefficient as 0.951 indicating the good electrocatalytic behavior of Urs/nano NiFe2O4/ITO bioelectrode. The value of the apparent Michaelis–Menten constant (Km) has been calculated to show the suitability of the enzyme in the hybrid nanobiocomposite matrix to urea. Using Lineweaver–Burke plot (1/I versus 1/[C]), Km value has been found to be 2 mg/dl for the immobilized Ur indicating maximal catalytic activity of the enzyme at low substrate concentration.
Table 1: Shows one the electrochemical method for detecting the linearity range and response time reported in the literatures and this work were summarized
| Bioelectrode | Response time (s) | Detection limit | Sensitivity | References |
| Ur-GLDH/CH-Fe3O4 | 10 | 5-100 mg/dl | 12.5 μA/mM cm-2 | 20 |
| Urs-PANi-Nafion/Au | - | 1–10 mM | 4.2 mA/mM cm-2 | 3 |
| Ur-GLDH/Nano-ZnO/ITO | - | 10-80 mg/dl | 1.44 mA/mg/dl | 21 |
| Ur/PVA-NiFe2O4/Au | 2 | 5-50 mg/dl | 0.064 mA/mg/dl | Present work |

Fig. 7: (A) Electrochemical response of Ur/PVAnanoNiFe2O4/Au bioelectrode as a function of urea concentration (B) Calibration curve between current response and different concentrations of urea in the range (5-50 mg/dl) KCL (0.1 M) containing 5 mM [Fe(CN)6]3-/4-
CONCLUSION
In this paper, Urease has been immobilized onto this PVA-NanoNiFe2O4 nanocomposite film via physical adsorption method. The suggested immobilization matrix provided a mild immobilization process for Ur and enhanced the electron transfer between the enzyme active sites and the electrode based on urea biosensor shows linearity of 5-50 mg/dl. Ur/PVAnanoNiFe2O4/Au bioelectrode exhibits the detection limit 10 mg/dl and the sensitivity were found to be 0.064 mA/mg/dl.
The response time of the Ur/PVAnanoNiFe2O4/Au bioelectrode found to be about 2s is attributed to faster electron communication feature of the PVA-NanoNiFe2O4/Au electrode. A relatively low value of Michalis-Menten constant (Km, 2 mg/dl) indicates high affinity of enzymes (Ur) for urea detection and value of regression coefficient of 0.951. The wide range of detection and high sensitivity may be assigned to amplification of the magnitude of current due to the alignment of NanoNiFe2O4 nanoparticles to the matrix. Efforts should be made to use this electrode for the detection of urea in blood serum.
ACKNOWLEDGEMENT
The authors are also indebted to Principal, Dr. V. G. Thakare, Shri Shivaji Science College Amravati, India for his kind cooperation during this research work. This work was financially supported by Major Research Project (No.43-224/2014(SR)) sanctioned by University Grants Commission (UGC), New Delhi, India.
CONFLICT OF INTERESTS
Declared none
REFERENCES
How to site this article