
Reproductive Physiology Section, Center for Advanced Studies, Department of Zoology, University of Rajasthan, Jaipur
Email: gupta_rs@hotmail.com
Received: 01 Jan 2016 Revised and Accepted: 15 Mar 2016
ABSTRACT
Objective: Plant–derived male antifertility agents need to address the basic requirements of fertility suppression without affecting libido. This study was undertaken to evaluate the male antifertility potential of the β-sitosterol (BS) which is an active component isolated from the methanolic root extract of Barleria prionitis in the male albino rats.
Methods: β-sitosterol was extracted using silica gel column chromatography from the methanolic root extract of Barleria prionitis and characterized by IR and NMR spectral analysis. Extracted BS was further used to determine its antifertility activity. The rats were orally administered olive oil (Group-I, control), BS at the dose level of 5 (Group II), 15 (Group III) and 25 mg/kg body weight (Group IV) for 60 d. Body weight was measured weekly. At the end of the experimental duration, treated males were sacrificed and subjected to biochemical, hormonal and sperm analysis. Fertility was assessed by mating treated rats with normally cycling virgin females.
Results: Average weight of reproductive organs, serum levels of Testosterone, Follicular stimulating hormone (FSH) and Luteinizing hormone (LH), levels of Protein, Ascorbic acid, Glycogen, Fructose, sperm motility and sperm density was decreased significantly as compared to control group. While, Cholesterol level was increased significantly. Fertility percentage was also decreased in treated groups. Body weight remained unchanged.
Conclusion: The results show that β-sitosterol from the roots of Barleria prionitis causes suppression of spermatogenesis and fertility thereby suggesting the potential of β-sitosterol for the development of male contraceptive which has very limited options available.
Keywords: Libido, Fertility, Active component, NMR, Sperm, Testosterone, Contraceptive, Spermatogenesis ,
© 2016 The Authors. Published by Innovare Academic Sciences Pvt Ltd. This is an open access article under the CC BY license (http://creativecommons.org/licenses/by/4.0/)
INTRODUCTION
The future of life on the planet is under the pressure of the population explosion, which is a major cause of pollution and poverty, dwelling especially in the developing countries [1]. Fertility regulation has, thus, become the major concern of people of all walks of life. Contraceptive methods can be applied to prevent unwanted pregnancies either temporarily or permanently. The development of new and improved contraceptive agent for men has lagged far behind than the development of female birth control devices. The male reproductive system, especially the process of spermatogenesis, sperm development, transport and the sperm-egg interaction is thus complex that it delivers not so far been possible to obtain an efficacious intervention for fertility control [2]. Hence, in that respect is a clear demand for the research and development of novel and improved medical contraceptive methods for men that satisfy the substantive standards of safety, efficacy, economy and no side effects [3].
Plants play a significant part in fertility regulation. Plants can act as antifertility agents; these include antispermatogenic plants, spermicidal, semen coagulant and fertility inhibiting plants. [4, 5]. In the recent past, a number of plants have been keyed out, and evaluation of extracts and active principles from different divisions of plants like seeds, stem, leaves, flowers, root or stem barks has been performed by several researchers. A number of plants have been screened for the growth of an effective agent to determine male fertility [6]. One advantage of getting a male antifertility agent from a plant origin, rather than through the complete synthesis of fresh drugs, is that a plant used as a prophylactic agent in an indigenous medical system is probably to take in a long ethnobotanical history and established low toxicity potential.
Although hormones or hormone antagonists have been employed for regulating male fertility, they also exert their effects on non-reproductive tissues. Thus, it would be of great interest to develop fertility inhibitors that are completely selective for the reproductive system and enzymes, and it is possible that a plant-derived drug may induce this issue.
Among several medicinal plants, Barleria prionitis (B. prionitis) L. of Acanthaceae family is significant and clearly accepted herb possessing healing & curative qualities. It is commonly known as Porcupine flower, Barleria, Kundan, Mullu guarantee, Pilikantashelio, etc. The flora is especially well recognized for caring for bleeding gums and toothache. Because of its anti odontalgic property, it is also recognized as ‘Vajradanti’ [7]. The whole plant or its specific parts (leaf, stem, root, bark and flower) have been utilized for the treatment of catarrhal affections [8], ulcer, whooping cough, inflammations, glandular swellings, urinary infection, jaundice, fever, stomach disorders and as diuretic and tonic. Extracts and isolated phytochemicals from this plant have been found to have a wide scope of pharmacological activities like antimicrobial [9], Anti-nociceptive [10], antispermatogenic [11], antihelmintic, antioxidant [12], antidiabetic [13], anti-inflammatory [14], anti-arthritic, cytoprotective, hepatoprotective [15], diuretic, antidiarrheal, and enzyme inhibitory activities without any toxic effects [16]. The aqueous bioactive fractions are reported to possess hepatoprotective, antistress, and immuno restorative properties [17]. Male rats treated with isolated fractions of the B. prionitis root methanolic extract (100 mg/kg for 60 d) showed a significant reduction in spermatogenesis without affecting general body metabolism. Sperm motility as well density in cauda epididymides was reduced significantly. The population of various spermatogenic cells, such as primary spermatocytes, secondary spermatocytes, and round spermatids was declined significantly in treated animals [18]. This tempted us to isolate the active component from B. prionitis and to determine whether it can be responsible for its antifertility activity in male rats.
Therefore, the objective of this study was to identify and characterize the bioactive principle from the roots ofB. prionitis and determine its antifertility activity in male rats. Herein we reported the isolation of β-sitosterol (BS) from the roots of B. prionitis which is one of the most ubiquitous substances in plant extracts [19]. Scientific research has proven that β-sitosterol is a safe and nontoxic plant nutrient for maintaining health and for protection against many serious health disorders and diseases. β-sitosterol posse’s genotoxicity effect [20], antidiabetic [21-23], antibacterial [24], antimicrobial [25], antihelminthic and antimutagenic [26] activities. It is also utilized for the Prostatic cancer treatment [27, 28]. Since β-sitosterol has been isolated and characterized from the medicinal plant i.e. B. prionitis. In future, these chemical entities can be extracted and synthesized herbally according to their structural and functional activity and considered for the development of new drugs in clinical trial studies.
MATERIALS AND METHODS
Collection and authentication of the plant material
The plant material (root part) of Barleria prionitis was collected from the hilly area of Ajmer, Rajasthan. The plant was taxonomically identified and authenticated by the Department of Botany, University of Rajasthan, Jaipur. (RUBL NO. 211575). A Voucher specimen was preserved in the reproductive physiology laboratory, Department of Zoology, University of Rajasthan, Jaipur for further verification.
Extraction and isolation of the compound
The shade dried plant material (1.5 kg) was finely powdered and extracted with methanol in a 5 liter round bottom flask for 72 h on a water bath. The extract was filtered hot and the solvent was removed by distillation under reduced pressure where a semi-solid dark gray mass (27 g) was obtained. The solvent free extract was chromatographed over silica gel column built in petroleum ether and eluted with increasing amounts of benzene followed by eluting with benzene. Elutes of 200 ml were collected each time, and the solvent was distilled on a water bath. The homogeneity of the fractions was examined by TLC on silica gel plates. The spots developed were visualized under UV light and then by exposure to iodine vapor. Similar fractions were combined and purified. Fractions eluted with petroleum ether-benzene mixture (80:20) yielded a white solid with a Rf value of 0.47 on TLC in petroleum ether-benzene (4:1). The structure of the isolated compound was established on the basis of elemental analysis and spectroscopic evidence (IR, UV, 1HNMR, 13CNMR, MS).
Test for alcohol
Four grams of Ceric ammonium nitrate were dissolved in 10 ml of 2 N HNO3, on mild heating. A few crystals of the compound were dissolved in 0.5 ml of dioxane. The solution was added to 0.5 ml of Ceric ammonium nitrate reagent and diluted to 1 ml with dioxane and shaken well. The compound developed yellow to red color indicating the presence of an alcoholic hydroxyl group [28].
Test for steroid
Salkowski reaction
A few crystals of the compound were dissolved in chloroform, and a few drops of concentrated sulphuric acid were added to the solution, a reddish color in the upper chloroform layer was formed [28] indicating the presence of steroids.
Liebermann-burchard reaction
A few crystals of the compound were dissolved in chloroform, and a few drops of concentrated sulfuric acid were added to it followed by the addition of 2-3 drops of acetic anhydride. In this case, the color of the compound turned to violet blue and finally formed a green color which indicates the presence of steroids [28].
General experimental procedures
Melting points were determined in soft glass capillaries in an electrothermal melting point apparatus. Qualitative TLC was conducted on aluminum sheet Kieselgel 60 F254 (E. Merck). Silica gel (E. Merck, 60-120 mesh, 550 g) used for column (1.5 m × 4.0 cm) chromatography. The IR spectra were recorded on FTIR SHIMADZU 8400S spectrometer with KBr pellets. The 1H and [13]C NMR spectra were recorded in CDCl3 at 400 MHz and 100 MHz on a JEOL NMR instrument, respectively, using TMS as the internal standard. FAB mass spectra were recorded on JEOL SX 102/DA-6000 mass spectrometer using Argon/Xenon as FAB gas.
Animals
Healthy and fertile male albino rats (Body weight: 150 to 200 g) of “Wistar strain” were used for the present investigation. All animals were housed in the Animal room with alternating 12 hr. light and dark periods and controlled constant temperature and humidity. The animals were given routine laboratory feed and water ad libitum. All animal experiments were performed according to ethical guidelines suggested by the Committee for the Purpose of Control and Supervision of experiments on animals (CPCSEA), Ministry of Environment and Forest, Government of India (1678/GO/ a/12/CPCSEA Dated 09-01-2013).
Determination of LD50
The LD50 was determined using the fixed-dose procedure by Walum [29]. Briefly, BS was given at one of the four fixed doses (5, 50, 100, 2000 mg/kg BW) at a time to 5 male Wistar rats. The LD50 value of BS was found to be 105 mg⁄ kg body weight (BW). On the basis of these experiments, three doses of BS (i.e. 5, 15 and 25 mg⁄ kg BW per day) were used in subsequent experiments.
Experimental design
Animals were kept for 7 d for acclimatization prior to the experiment.
After 15 d of acclimatization, they were randomly divided into 4 groups of 5 animals in each group. The daily dose of the compound was prepared and administered to each animal for 60 d. The treatment schedule of each group was as follows:
Group I: Animals of this group received 0.5 ml of olive oil/day for 60 d. (Vehicle-treated control)
Group II: Rats received BS in a dose of 5 mg/kg body weight daily for 60 d (low dose).
Group III: Rats received BS in a dose of 15 mg/kg body weight daily for 60 d (moderate dose).
Group IV: Rats received BS in a dose of 25 mg/kg body weight daily for 60 d (High dose).
Fertility test
The fertility of each male rat was assessed by natural mating with two estrous females before and after five days of the treatment. The vaginal plug and presence of sperms in the vaginal smear were checked for positive mating. The mated females were allowed to complete the gestation period. Then fertility percentage according to the number of females got pregnant from the number of females mated, was calculated and compared with control.
Autopsy scheduled
After 24 h of last treatment, the final weight was recorded, and the animals were sacrificed using mild ether anesthesia. Blood was collected directly from the heart. Serum was separated by centrifugation at 3000 rpm for 10 min and stored at-20 °C until used for various biochemical assays. Then Testes, Epididymis, Vas deferens, Seminal Vesicle and Ventral prostate were dissected out, trimmed of extraneous and weighed accurately on a torsion balance.
Body and reproductive organ weight
From one side of the body part, reproductive organs were fixed in Bouin’s fixative for microtomy and the other side of the body part, reproductive organs (Testes, Epididymis, Vas deferens, Seminal vesicle and Ventral prostate) were maintained in-20 oC for biochemical studies.
Sperm counts and motility
Cauda epididymis was removed from each rat and quickly punctured with a disposable needle to obtain sperms. One hundred mg of each tissue was homogenized in 1 ml saline solution and filtered through muslin cloth. The filtrate was used up in a leukocyte pipette up to 0.5 and get up to the mark 11 with buffered saline. Then a drop of this filtrate was transferred to the Neubauer counting chamber (hemocytometer) beneath a coverslip. The sperms were counted in the five random fields according to the method [30]. The percentage motility was determined by counting both motile and immotile spermatozoa per unit area [30].
Biochemical parameters
Protein, glycogen, fructose, cholesterol, ascorbic acid was estimated in reproductive tissues.
Blood and serum analysis
Blood was collected, and the values of R. B. C., and W. B. C. counts, hematocrit, hemoglobin% and blood sugar were estimated. The serum was separated by centrifuging the blood at 3000 rpm. Total protein, cholesterol, HDL-Cholesterol, triglycerides and phospholipids, bilirubin, creatinine, SGOT, SGPT, alkaline phosphatase were estimated in serum according to the standard methods.
Hormonal assay
Serum was also analyzed for the estimation of testosterone, Luteinizing Hormone (LH), and Follicle-Stimulating Hormone (FSH). The quantitative determination of hormones was done by using the Enzyme Immunoassay Method (EIA).
Statistical analysis
The results were expressed as mean±SEM (Standard error of mean). The treated groups were compared to control using the Student's t-test. *p ≤ 0.05 and **p ≤ 0.01 was regarded as significant while ***p ≤ 0.001 was regarded as highly significant.
RESULTS
Physical and spectral analysis of β-sitosterol
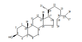
The compound is a white needle-shaped crystal with melting point 138-140 °C which gave positive Salkowski and Lieberman-Burchard test for the steroid. Based on its spectral data (fig. 1, fig. 2) and physical properties, the compound was identified as the known compound β-sitosterol, and its structure is given in fig. 3.
Spectroscopic data of isolated β-sitosterol from methanolic root extract of Barleria prionitisMS (m/z) |
: |
414 (M+), 397, 383, 369, 255 etc. |
||
Molecular formula calculated as |
: |
C29H50O |
||
IR (KBr, Cm–1) |
: |
3500-3445 (O–H stretching), 1590 (C=C stretching), 1050 (C-O stretching) |
||
1H NMR (δ ppm, CDCl3) |
: |
3.52 (m, 1H, H-3), 5.30 (t, 1H, H-6), 0.65 (s, 3H, H-18), 0.99 (s, 3H, H-19), 1.25 (d, 3H, H-21), 0.84 (d, 3H, H-26), 0.92 (d, 3H, H-27), 0.95 (t, 3H, H-29), 1.83 (m, 1H, H-25), 2.15 (dd, 2H, H-7), 1.45-1.85 (m, for remaining 26 protons) |
||
[13]C NMR (δ ppm, CDCl3) |
: |
31.30 (C-1), 32.00 (C-2), 72.00 (C-3), 42.20 (C-4), 140.01 (C-5), 122.14 (C-6), 32.02 (C-7), 46.11 (C-8), 49.80 (C-9), 36.12 (C-10), 20.98 (C-11), 28.20 (C-12), 42.34 (C-13), 57.00 (C-14), 24.32 (C-15), 40.12 (C-16), 56.20 (C-17), 12.00 (C-18), 19.50 (C-19), 36.20 (C-20), 19.50 (C-21), 36.15 (C-22), 24.67 (C-23), 39.90 (C-24), 36.00 (C-25), 23.40 (C-26), 23.41 (C-27), 32.20 (C-28), 29.45 (C-29) |
||
Fig. 1: 1H-NMR spectra of β-sitosterol

Fig. 3: Structure of β-sitosterol isolated from B. prionitis methanolic root extract
Body and organ weight
Non-significant changes in the body weight were observed in β-sitosterol treated groups when compared to the control group (table1). The weight of Testes, Epididymis, Seminal vesicle, Ventral prostate and Vas deferens was found to be significantly decreased in treated male rats when compared with the weight of the same organs obtained from control rats. (table 1).
The reduction was significant at p<0.01 in group II, but highly significant p<0.001 in group III and IV. While, the weight of vital organs i.e. Liver, Kidney, Heart, Adrenal gland showed non-significant changes as compared to control.
Table 1: Effect of β-sitosterol on body and organ weights of male albino ratsGroups |
Treatment |
Body weight (g) |
Organ weight (mg/100 g body weight) |
|||||||||||
Reproductive organs weight |
Vital organs weight |
|||||||||||||
Initial |
Final |
BW difference |
Testes |
Seminal |
Vas deferens |
Prostate |
Epididymis |
Liver |
Heart |
Kidney |
Adrenal gland |
|||
Group I |
Olive oil (Control) |
180.77± |
256.29± |
75.52± |
1337.04± |
427.57± |
186.59± |
74.41± |
272.89± |
3504.97± |
347.72± |
382.55± |
28.58± |
|
Group II |
BS 5 mg/kg |
180.40± |
261.52± |
81.12ns± |
1185.94*± |
360.75**± |
170.95*± |
65.37**± |
255.48*± |
3494.43ns± |
331.90ns± |
368.95ns± |
24.62ns± |
|
Group III |
BS 15 mg/kg |
177.96± |
245.29± |
67.33ns± |
1063.83**± |
301.44**± |
151.99**± |
50.44**± |
246.42**± |
3434.86ns± |
358.10ns± |
388.51ns± |
27.82ns± |
|
Group IV |
BS 25 mg/kg |
184.33± |
249.31± |
65.91ns± |
826.93***± |
273.49***± |
123.49***± |
45.16***± |
195.05***± |
3439.89ns± |
330.57ns± |
378.314ns± |
28.72ns± |
|
Duration: 60 d; Values are±SEM; five animals were maintained in each group, Level of significance-ns-non-significant, *p<0.05, **p<0.01
Fertility test
Daily oral administration of 25 mg/kg BW (Group IV) for 40 d caused 100% inhibition of fertility, whereas, in the case of group II and III animals, the treatment caused 60% and 30% inhibition of fertility respectively when compared to the control (table 2).
Table 2: Effect of β-sitosterol on fertility of male albino ratsGroups |
Treatment |
No. of mated male/females (1:2) |
No. of pregnant females |
Percentage of fertility |
Group I |
Olive oil (Control) |
5/10 |
10 |
100 |
Group II |
BS 5 mg/kg |
5/10 |
6 |
60 |
Group III |
BS 15 mg/kg |
5/10 |
3 |
30 |
Group IV |
BS 25 mg/kg |
5/10 |
0 |
0 |
Reproductive hormone profile
Serum testosterone level
BS (5, 15, 25 mg/kg body weight) repeated treatment daily for 60 d caused a significant decrease in the serum level of testosterone in male rats. The level of testosterone decrease was dose related (table 3). It was reduced significantly p<0.01 in group II and III, while highly significantly p<0.001 in group IV compared to group I.
Serum luteinizing hormone (LH) level
Repeated treatment of male rats with the BS for 60 d caused a dose-related decrease in the serum level of LH (table 3). The level of decrease was statistically significant in group II (p<0.05), group III (p<0.01) and highly significant in group IV (p<0.001).
Serum follicular stimulating hormone (FSH) level
The level of serum FSH was significantly decreased (p<0.01) in rats treated with BS isolated from the roots of B. prionitis in group II, III and highly significantly (p<0.001) in group IV. (table 3).
Sperm motility and sperm density
Sperm motility and sperm density in cauda Epididymis significantly decreased, and the reduction was highly significant in higher dose treated (Group-IV) p<0.001, followed by moderate dose treated (Group-III) p<0.01 and low dose treated (Group-II) p<0.05, compared to control group (table 3).
Tissue biochemical studiesGlycogen
The glycogen content of the testes, epididymis and vas deferens was highly significantly (p<0.001) decreased in group IV and significantly in group II (p<0.05) and III (p<0.01).
The glycogen content in liver and heart was non-significantly changed in the treated group of rats as compared to control rats. (Group I). (fig. 4).
Table 3: Effect of β-sitosterol on sperm motility, sperm density, and hormonal levelGroups |
Treatment |
Testosterone (ng/ml) |
FSH (mIU/ml) |
LH (mIU/ml) |
Sperm motility % |
Sperm density (Millions/ml) |
Group I |
Olive oil (Control) |
8.92±0.19 |
1.51±0.29 |
3.45±0.20 |
79.41±2.35 |
33.70±1.63 |
Group II |
BS 5 mg/kg |
6.23*±0.45 |
1.12*±0.54 |
2.67*±0.08 |
69.32*±7.67 |
28.65*±2.90 |
Group III |
BS 15 mg/kg |
5.87**±0.56 |
0.87**±0.04 |
1.89**±0.29 |
42.91**±7.85 |
20.30**±2.75 |
Group IV |
BS 25 mg/kg |
3.43***±0.36 |
0.23***±0.38 |
1.12***±0.01 |
29.07***±2.39 |
13.96***±1.99 |
Duration: 60 d; Values are±SEM; five animals were maintained in each group, Level of significance-ns-non-significant, *p<0.05, **p<0.01, ***p<0.001, when compared to control

Duration: 60 d; Values are±SEM; five animals were maintained in each group
Level of significance-ns-non-significant, *p<0.05, **p<0.01, ***p<0.001, when compared to control
Cholesterol
In the animals of group II and group III the cholesterol value in the testis and epididymis showed a statistically significant increase at the significance level of (P<0.05) and (P<0.01) respectively, when compared to the control group. While in group IV highly significant (p<0.001) elevation was observed. The cholesterol content of liver and heart showed non-significant changes as compared to control rats. (fig. 5).

Duration: 60 d; Values are±SEM; five animals were maintained in each group
Level of significance-ns-non-significant, *p<0.05, **p<0.01, ***p<0.001, when compared to control
Protein
There was a significant decrease in the protein content of all reproductive organs due to 5 (p<0.05) and 15 mg/kg (p<0.01) treatment of β-sitosterol from B. prionitis roots, but it is highly significant (p<0.001) due to administration of 25 mg/kg BW dose level as compared to control animals. (fig. 6).

Duration: 60 d; Values are±SEM; five animals were maintained in each group
Level of significance-*p<0.05, **p<0.01, ***p<0.001, when compared to control
Total ascorbic acid (TAA)
Highly significant (p<0.001), significant (P<0.01), (p<0.05) reduction was observed in the ascorbic acid content in the adrenal gland, after β-sitosterol treatment at the dose level of 5, 15 and 25 mg/kg BW respectively. (fig. 7).
Fructose
Highly significant (p<0.001) decline in seminal vesicular fructose in group IV was observed in β-sitosterol isolated from B. prionitis treated rats while a significant decrease in group III (P<0.01) and group II (p<0.05) was evaluated. (fig. 7).

Duration: 60 d; Values are±SEM; five animals were maintained in each group
Level of significance-*p<0.05, **p<0.01, ***p<0.001, when compared to control
Blood and serum biochemistry
RBC, WBC, hemoglobin, hematocrit, Blood sugar, and Blood urea, were found to be within the normal range (table-4). Serum protein, cholesterol, triglycerides, phospholipids, bilirubin, SGOT, SGPT, alkaline phosphatase, acid phosphatase, were within the normal range throughout the study period. (table 5).
Table 4: Effect of β-sitosterol on hematology, blood Urea, and blood sugarGroups |
Treatment |
Hb (g/dl) |
Hematocrit PCV % |
R. B. C (million/mm3) |
W. B. C. (million/mm3) |
Blood Sugar (mg/100 ml) |
Blood Urea (mg/100 ml) |
Group I |
Olive oil (Control) |
12.38±0.92 |
39.67±2.32 |
6.20±0.30 |
7560±23.39 |
87.92±1.98 |
26.92±1.89 |
Group II |
BS 5 mg/kg |
12.98ns±0.32 |
33.31ns±2.78 |
6.89 ns±0.92 |
7689.45ns±21.92 |
88.21ns±1.69 |
28.67ns±2.32 |
Group III |
BS 15 mg/kg |
12.26ns ±0.87 |
38.35ns±1.36 |
6.99 ns±0.38 |
7891.21ns±16.92 |
81.76ns±1.91 |
22.65 ns±1.92 |
Group IV |
BS 25 mg/kg |
12.52ns±1.39 |
37.98 ns±0.89 |
6.36 ns±1.23 |
8123.93ns±18.20 |
82.32ns±2.23 |
25.37 ns±1.08 |
Duration: 60 d; Values are±SEM; five animals were maintained in each group, Level of significance-ns-non-significant, *p<0.05, **p<0.01, ***p<0.001, when compared to control
Groups |
Treatment |
Cholesterol (mg/dl) |
Protein (mg/dl) |
Triglycerides (mg/dl) |
Alkaline Phosphatase (u/l) |
Acid Phosphatase (u/l) |
SGOT (u/l) |
SGPT (u/l) |
Creatinine (mg/dl) |
Phospholipid (mg/dl) |
Bilirubin (mg/dl) |
Group I |
Olive oil (Control) |
110.6±2.4 |
13804.5±122.2 |
104.9±5.5 |
167.78±4.39 |
156.88±3.78 |
33.14±4.32 |
38.91±2.31 |
1.23±1.98 |
112.78±9.45 |
0.43±0.29 |
Group II |
BS 5 mg/kg |
105.0 ns±5.56 |
13616.4ns±155.2 |
130.7ns±15.2 |
163.45ns±2.43 |
152.45ns±4.98 |
32.31ns±2.98 |
39.29ns±0.91 |
1.56ns±0.78 |
109.89ns±7.23 |
0.89ns±0.21 |
Group III |
BS 15 mg/kg |
113.32ns±4.21 |
11922 ns±140.7 |
113.8ns±2.7 |
167.22ns±2.89 |
154.62ns±6.28 |
39.82ns±5.59 |
31.20ns±1.56 |
1.65ns±0.23 |
110.27 ns±6.52 |
0.67ns±0.42 |
Group IV |
BS 25 mg/kg |
126.78 ns±3.29 |
12291ns±130.8 |
123.5ns±2.09 |
163.76ns±1.98 |
159.32ns±7.62 |
37.29ns±6.72 |
34.10 ns±3.32 |
1.78 ns±0.45 |
98.23 ns±9.20 |
0.82ns±0.78 |
Duration: 60 d; Values are±SEM; five animals were maintained in each group, Level of significance-ns-non-significant, *p<0.05, **p<0.01, ***p<0.001, when compared to control
DISCUSSION
Medicinal plants have been utilized as remedies for human diseases for a very long time because they incorporate elements of therapeutic values [31, 32]. Many drugs like aspirin, digoxin, quinine, and opium, etc., used in Medicare are synthesized copies of chemicals found naturally in plants or are modified from the initial natural product. The population explosion is one of the biggest challenges prevalent in the world especially developing countries like India, having severe consequences in every aspect of development, such as employment, sanitation, and environment, education, housing and healthcare [33]. Very few options are available for male contraception in comparison to females, having an herbal background. This led us to study the pharmacological effect of β-sitosterol which is an active component isolated from the roots of Barleria prionitis on the male reproductive system.
During the research endeavor, β-sitosterol was isolated from the roots of Barleria prionitis by the soxhlet extraction and silica gel chromatography method. Presence of β-sitosterol has been reported in various plants, such as areal parts of Ageratum conyzoides [34], leaves of Rubus suavissimus [35], fruits of Corylus colurna Linn [36] and root bark of Terminalia glaucescens [37] as well as in the tissue cultures of Adhatoda vasica and Ageratum conyzoides [38] and cell suspension culture of Chrysanthemum coronarium L [39].
The results revealed non-significant changes in the body weight and vital organ weight (Liver, Adrenal gland, Heart, Kidney) of rats treated with β-sitosterol isolated from Barleria prionitis. This showed the absence of toxic side effects on the plants. However, a significant weight reduction was seen in the reproductive organs i.e. testes, caput and caudal epididymis, seminal vesicle, vas deferens, prostate and the weight reduction were dose dependent, which is known to be mostly related to the number of spermatids and spermatozoa present in the tissues. This relationship was also concluded by [40-45] in their treatment with various extracts and drugs in male albino mice and rats. Reduced availability of androgen can be an indirect reason for the weight reduction of these reproductive organs [46].
Thejashwini et al. [47] in their study, which was conducted on cyamposis psoralioides in male swiss albino mice concluded that testosterone is an important steroidal androgen, plays a central role in maturation, spermatogenesis and the maintenance of accessory sex organs and Testes. Like other steroid hormones, testosterone is also a derivative of cholesterol, which is in the agreement with previous studies [48]. β-sitosterol is a primary steroid used in traditional medicine, which is structurally similar to cholesterol. So, β-sitosterol may inhibit the conversion of cholesterol to testosterone by blocking the side chain cleavage of cholesterol by CYP11A(a mitochondrial cytochrome P450 oxidase) or any other step of testosterone biosynthesis. Therefore, any small change in testosterone content may result in the reduction of reproductive organs weight.
Analysis of cauda epididymal fluid of treated rats on hemocytometer revealed a significant decrease in the sperm count which might be a reflection of the inhibition of spermatogenesis by BS treatment. Generation of reactive oxygen species (ROS) that caused oxygen stress can be another possibility of low sperm concentration by the β-sitosterol treatment. Ghosh et al. [49] also reported about a generation of oxidative stress by alpha-tocopherol-succinate (provitamin-E) in cyclophosphamide-induced testicular gametogenic and steroidogenic disorders. Reduced testicular weight and decreased testosterone level may also be one of the reasons for the reduction in the sperm count [50]. The present study also revealed a significant decrease in sperm motility, which focuses on the direct effect of the β-sitosterol on mature and stored sperms in Epididymis. Sperm motility may be decreased due to alteration in energy metabolism. The sperm axoneme engine requires a continuous supply of ATP to maintain motility in the male and female reproductive tract. The initiation of the flagellar movement of sperm is dependent on the phosphorylation of a contractile protein dynein. Brokaw [51] described in their studies that after phosphorylation, the dynein ATPase is activated. The energy released by the hydrolysis of ATP converted to force, causes the microtubules to slide past one another. Interference with enzymatic reactions involved in uncoupling of oxidative phosphorylation may be a reason for reduced sperm motility by BS treatment. This can lead to the incompetence of the spermatozoa to reach the Fallopian tubes and fertilize the egg, thus causing sterility [52].
The sera of animals treated with BS showed a significant decrease in the level of assayed gonadotropins (FSH and LH) compared with control. This indicated interference in the feedback mechanism among hypothalamus, pituitary, and testes. These hormones are synthesized and secreted under the influence of Gonadotropin-releasing hormone (GnRH) from the pituitary gland under the control of the hypothalamus. Treatment with BS possibly decreased the levels of FSH and LH by inhibiting GnRH. FSH and LH are the key enzymes, which trigger the Testosterone biosynthesis from the seminiferous tubules. Low levels of these hormones reduced testosterone secretion from the Testes by suppressing testicular steroidogenesis and spermatogenesis [53] since the pituitary-testicular axis is a central regulatory unit for the normal functioning of the testes and the production of spermatozoa [54].
Decreased Levels of Protein, Fructose, Glycogen and Ascorbic acid and an increased level of Cholesterol in reproductive organs of treated rats, supported physiological changes. The low level of Protein in reproductive organs is an indication of inhibition of spermatogenesis. Protein is the main component of cell formation, a decrease in the Protein content of reproductive organs indicated the poor growth rate. The conversion of Cholesterol to Pregnenolone is dependent upon pituitary LH/ICSH [55]. Lower availability of these hormones restricts this conversion and lead to increase Cholesterol content. According to the previous studies of Gonzales et al. [56], Fructose, which is a main secretory product from Seminal vesicle (SV) provides nutrition to the sperms. Reduction in fructose content in Seminal vesicle supported the inhibition of androgen production by BS because fructose synthesis in Seminal vesicle is directly androgen dependent which can inhibit the sperm motility by a deficient generation of ATP.
This led to the depletion of the nutritional requirements of sperms. Significant depletion in glycogen content of the testes by BS treatment is possibly due to the inhibition of phosphorylase inactivation or the depletion of certain other enzymes which are required for glycogenesis. Sertoli cells and spermatogonia contain Glycogen and provide nourishments to the seminiferous tubular cells and the Glycogen content is found to be directly proportional to the steroid hormone levels. A decrease in glycogen content of the Testes reduced the energy source for spermatogenic activity, which might have resulted in the spermatogenic arrest. Ascorbic acid prevents DNA damage induced by scavenging the ROS generated in testes [57]. Decreased Ascorbic acid content represents the hypo-functioning of the Testes and the degeneration of the germinal epithelium due to vitamin C deficiency.
100 % inhibition of fertility was observed in the high dose (25 mg/kg BW) treated group which was mainly due to reduced testosterone level, which might be sufficient for normal mating behavior, but insufficient for the maintenance of fertilizing ability of the epididymal spermatozoa.
Non-significant changes in serum biochemical and hematological parameters supported non-toxic nature of β-sitosterol.
CONCLUSION
In the present study, dose-dependent treatment of β-sitosterol isolated from the roots of Barleria prionitis caused marked alterations in the male reproductive organs, which were reflected by the reduced Testosterone, FSH, LH, sperm motility, sperm density in reproductive organs. These effects altogether lead to the suppression of the spermatogenesis and finally infertility to the male rats. On the basis of these effects, we can conclude that BS has a potential to develop a cheap, acceptable, easily available, non-toxic, safe, herbal male contraceptive drug. However, further pharmacological and molecular studies are needed to find out the exact mechanism of action and to investigate whether these alterations are reversible or permanent after cessation of the treatment. Further studies are planned in this direction.
ACKNOWLEDGMENT
The authors are thankful to the Centre for Advanced Studies, Department of Zoology, University of Rajasthan, Jaipur, for providing necessary facilities and UGC-BSR, New Delhi for financial support.
CONFLICT OF INTERESTS
Declared none
REFERENCES