
Department of Chemistry, GITAM Institute of Science, Visakhapatnam 530045, Andhra Pradesh, India
Email: rrcbabu7@yahoo.in
Received: 04 Jan 2016 Revised and Accepted: 11 Feb 2016
ABSTRACT
Objective: To develop a rapid, sensitive, accurate, precise and linear Reverse-Phase High-Performance Liquid Chromatographic (RP-HPLC) method and validate as per ICH guidelines for the quantitative estimation of Pazopanib Hydrochloride (PBH) drug substance along with two process impurities.
Methods: The developed method uses a reverse phase Zorbax RP18 column (50 mm×4.6 mm; 5.0 µm), a mobile phase of 0.015M Potassium dihydrogen orthophosphate buffer (pH 3.0 with orthophosphoric acid) and methanol in the proportion of 16:84 v/v. The mobile phase was set at a flow rate of 0.8 ml/min and the volume injected was 10μl for every injection. The detection wavelength was set at 215 nm.
Results:Newly developed method resulted in eluting the two process impurities of PBH at 2.998 and 23.548 min respectively. The detection limits (LOD) were about 0.0061 and 0.0062 mg/ml and quantitation limit (LOQ) were about 0.024 and 0.021 mg/ml. The relative standard deviation was found to be 0.78 % and 1.38 % respectively for the two process impurities of PBH. The % recovery of the PBH impurities ranged from 97.3 to 100 % and 94.0 % to 99.0 % respectively.
Conclusion: Two new process impurities of PBH drug substance were determined and characterized by newly developed RP-HPLC method, and identified using LC–MS technique. Proposed structures of these impurities were confirmed by structural elucidation using NMR techniques. The HPLC method was validated as per ICH guidelines. The newly developed reversed-phase liquid chromatographic method was found to be accurate, simple, sensitive and selective. It was also found to exhibit excellent resolution for the two process impurities and the PBH drug substance indicating high sensitivity and selectivity of the validated method.
Keywords: RP‐HPLC, Pazopanib hydrochloride, Method development, Validation
© 2016 The Authors. Published by Innovare Academic Sciences Pvt Ltd. This is an open access article under the CC BY license (http://creativecommons.org/licenses/by/4.0/)
INTRODUCTION
Pazopanib Hydrochloride (PBH) chemically known as 5-[[4-[2, 3-dimethyl-2H-indazol-6yl) methylamino]-2-pyrimidinyl] amino]-2-methyl benzene sulfonamide monochloride fig. 1.
Fig. 1: Structure of Pazopanib Hydrochloride drug substance
It is potent and selective multi-targeted tyrosine receptor inhibitor of Vascular Endothelial Growth Factor Receptor-1 (VEGFR-1), VEGFR-2, VEGFR-3, Platelet Derived Growth Factor Receptor (PDGFR-α/β) [1]. It also behaves as a stem cell growth factor receptor (c-kit) that blocks tumor growth and ceases angiogenesis [2]. It has been approved for soft tissue sarcoma and also active in ovarian cancer [3]. It is a second-generation multi targeted tyrosine kinase inhibitor against vascular endothelial growth factor receptor targets the angiogenesis pathway that facilitates the formation of tumor blood vessel for tumor survival and growth [4]. Few analytical methods were reported for the determination of Pazopanib hydrochloride by UV [5], HPLC [6-7] in bulk as well as in tablets and an LC-MS/MS [8] method in mouse plasma and brain tissue homogenate.
The presence of impurities in drug substance can have a significant impact on the quality, safety and efficacy Literature survey reveals that no reference exists for the quantitative determination and characterization of process impurities of PBH drug substance. Hence, it was felt necessary to develop an accurate, rapid, selective and sensitive RP-HPLC method for the determination of PBH and its process impurities. The newly developed method was validated as per ICH guidelines [9-11]. The newly identified process related impurities along with PBH drug substance have been isolated and characterized by Mass spectrometry. The two process impurities were identified with the help of NMR technique.
MATERIALS AND METHODS
Chemicals and reagents
Potassium dihydrogen orthophosphate and orthophosphoric acid AR grade, Methanol HPLC grade (Merck Speciality Chemicals, India) and Water (Milli-Q water purification system, Millipore Synergy, France) were used. Pazopanib hydrochloride drug substance and process related compounds 5-amino-2-methyl benzene sulphonamide [PBHRC01] and N-(2-chlorophyrimidin-4-yl) N-2,3-trimethyl-2H-indazol-6-amine [PBHRC02] were obtained from Synthetic Division of Ogene Systems Private Ltd, Hyderabad, India.
Instrument
The HPLC analysis was carried out on Shimadzu HPLC system (Shimadzu, Kyoto, Japan) with two LC-20AD separation modules, and SPD-20A UV detector were used. The chromatographic and integrated data were recorded using LC solution data acquisition software. An electronic analytical weighing balance (0.1 mg sensitivity, Shimadzu AY 220), digital pH meter (DELUX model 101), a Sonicator (Sonica, model 2200 MH)
Methods
Chromatographic conditions
The main target of this study was to develop an RP-HPLC method to get fine resolutions between PBH and its process related impurities. Better results were obtained by employing a Zorbax RP18, (50 mm×4.6 mm, 5.0 µm) column with buffer: methanol in the ratio (16:84) and adjusting the pH to 3.0 with orthophosphoric acid. The mobile phase was set at a flow rate of 0.8 ml/min and the volume injected was 10μl for every injection. The detection wavelength was set at 215 nm.
Preparation of buffer
2.04g of potassium dihydrogen orthophosphate was taken into 1000 ml volumetric flask and dissolved to make 0.015M solution by diluting up to the mark with water. pH of the solution was adjusted to 3.0 with orthophosphoric acid. It is degassed and filtered through 0.45 µm membrane filter.
Standard preparation
50 mg of Pazopanib HCl was accurately weighed and transferred into a 100 ml volumetric flask, dissolved and diluted up to the mark with diluent.(0.5 mg/ml solution)
Impurities blend
7.5 mg of each of the related compounds PBHRC01 and PBHRC02 were weighed accurately and transferred into a 100 ml volumetric flask and diluted up to the mark with diluents.
1.0 ml of the above solution was transferred into a 100 ml volumetric flask and diluted up to the mark with diluents, i.e., 0.15 %of each impurity with respect to the test concentration.
Method validation
The optimized method was validated as per ICH guidelines. The validation parameters include specificity, limit of detection, and limit of quantification, accuracy, precision, linearity and robustness.
Specificity
Specificity is the ability to assess the analyte unequivocally in the presence of components which may be expected to be present. For this purpose, the sample of PBH was spiked with its impurities at a concentration of 0.03 mg/ml w. r. t. PBH concentration of 0.5 mg/ml.
Detection limit and Quantitation limit
Both DL and QL were evaluated based on standard deviation of the response and slope using the linearity curve.
The formula used for DL and DQ were 3.3/S and 10/S respectively, whereby is the standard deviation of the response while S is the slope of the calibration curve.
Precision
The repeatability expresses the precision under the same operating conditions over a short interval of time. It expresses the closeness of agreement between a series of measurements obtained from multiple sampling of the same homogeneous sample. System precision was performed by six replicate injections of PBH at specification level i.e. 0.03 mg mL-1 impurities spiked with respect to 0.5 mg/ml PBH and the relative standard deviation was found. The precision of the method was determined by analyzing a sample of PBH with process impurities at 100 % of the specification limit. PBH spiked with process impurities for six times at the specification limit by different analysts, different instruments using different columns on different days to assess the intermediate precision.
Accuracy
The study of the accuracy of PBH and its process impurities for quantification was carried out in triplicate at 3µg/ml (LOQ), 15 µg/ml, 30 µg/ml and 45 µg/ml with respect to specification level viz 30 µg/ml.
Linearity
Linearity test solutions for related compounds were prepared individually by diluting the stock solution at six concentration levels in the range of LOQ to 150 % of the specification level viz. 0.15 %. Tests were carried out on three consecutive days in the same concentration range and % RSD value for slope, Y-intercept and correlation coefficient of the calibration curve were calculated.
Robustness
Robustness of the assay method was studied by introducing small changes in the chromatographic conditions which included mobile phase flow rate (±0.2 ml/min), pH (±0.2) and column temperature (±2 °C).
RESULTS AND DISCUSSION
Method development
The main target of this study was to develop an RP-HPLC method to get fine resolutions between PBH and its process related impurities. Better results were obtained by employing a Zorbax RP18, (50 mm×4.6 mm, 5.0 µm) column and adjust the pH to 3.0 with orthophosphoric acid. Finally, the experiment was preceded with the chromatographic conditions mentioned above.The impurities were well resolved from PBH with good peak shapes.
Fig. 2: Blend chromatogram for impurities spiked to Pazopanib Hydrochloride drug substance
Method validation
The newly developed method was validated as per ICH guidelines for specificity, limit of detection, limit of quantification, sensitivity, linearity, precision, accuracy, and robustness.
Specificity
Specificity was established by injecting samples of PBH spiked with its impurities at a concentration of 0.03 mg/ml w. r. t. PBH concentration of 0.5 mg/ml. It is evident from fig.2 that the impurities were well resolved from each other and PBH, which indicated the specificity of the method.
Detection limit and quantitation limit
Detection limit and Quantitation Limitwere determined by getting S/N ratio 3:1 and 10:1 respectively, after performing a series of diluted injections of PBHRC01 and PBHRC02 impurities with known concentration. The detection limits (LOD) were about 0.0061 and 0.0062 mg/ml and quantitation limit (LOQ) were about 0.024 and 0.021 mg/ml of PBH concentration i.e. 0.5 mg/ml were given in table 1.
Precision
System precision was determined by analyzing six replicate injections for PBH at specification level i.e. 0.03 mg/ml impurities spiked with respect to 0.5 mg/ml PBH and the relative standard deviation was found to be 0.78 %, 0.29 %, and 1.38 %respectively. The precision was checked by injecting 0.03 mg/ml of impurities from individual preparations with respect to 0.5 mg/ml of PBH. The % RSD of peak area for each impurity was reported in table 2. Precision at LOQ was also determined by injecting individual preparations of PBH spiked at LOQ level of its impurities. The intermediate precision of the method was also verified on six different days in the same laboratory using the specification and LOQ levels. Assay method precision was evaluated by carrying out independent assays of a test sample of PBH at 0.5 mg/ml, against a qualified reference standard.
Table 1: Detection limit and Quantitation limit for Pazopanib hydrochloride process related impurities
Parameter |
PBHRC-01 (mg/ml) |
PBHRC-02 (mg/ml) |
LOD |
0.0061 |
0.0062 |
LOQ |
0.024 |
0.021 |
Table 2: Precision data of peak areas for Pazopanib Hydrochloride process impurities
Injection No |
PBH |
PBHRC01 |
PBHRC02 |
1 |
9026 |
6161 |
9709 |
2 |
8990 |
6155 |
9817 |
3 |
9046 |
6161 |
9475 |
4 |
9031 |
6175 |
9761 |
5 |
9130 |
6190 |
9855 |
6 |
9175 |
6200 |
9725 |
Average area |
9066 |
6174 |
9724 |
SD |
70.68 |
18.06 |
133.72 |
%RSD |
0.78 |
0.29 |
1.38 |
Table 3: Accuracy data for PBHRC01 and PBHRC02
Conc |
PBHRC01 |
PBHRC02 |
||||||
%added |
%found |
%recovery |
Average |
%added |
%found |
%recovery |
Average |
|
LOQ Level |
0.020 |
0.0196 |
98.0 |
98 |
0.197 |
0.187 |
94.9 |
94.7 |
0.020 |
0.0196 |
98.0 |
0.197 |
0.186 |
94.4 |
|||
0.020 |
0.0196 |
98.0 |
0.197 |
0.87 |
94.0 |
|||
50 % |
0.100 |
0.100 |
100.0 |
99.3 |
0.098 |
0.097 |
99.0 |
98.7 |
0.100 |
0.200 |
99.5 |
0.098 |
0.097 |
99.0 |
|||
0.100 |
0.200 |
99.0 |
0.098 |
0.096 |
98.0 |
|||
100 % |
0.200 |
0.199 |
99.5 |
99 |
0.197 |
0.194 |
98.5 |
98.5 |
0.200 |
0.198 |
99.0 |
0.197 |
0.194 |
98.5 |
|||
0.200 |
0.197 |
98.5 |
0.197 |
0.194 |
98.5 |
|||
150 % |
0.300 |
0.294 |
98 |
97.7 |
0.2950.3 |
0.29 |
98.3 |
98.3 |
0.300 |
0.292 |
97.3 |
0.295 |
0.289 |
98 |
|||
0.300 |
0.293 |
97.7 |
0.295 |
0.291 |
98.6 |
|||
Accuracy
The % recovery of the PBH impurities ranged from 97.3 to 100 % for PBHRC01 and 94.0 %to 99.0 %for PBHRC02 respectively, which shows that the developed method is accurate and suitable for its intended use. The results were given in table 3.
Linearity
Linearity test solutions for related compounds were prepared individually by diluting the stock solution at six concentration levels in the range of LOQ to 150 % of the specification level viz. 0.15 %. Tests were carried out on three consecutive days in the same concentration range and % RSD value for slope, Y-intercept and correlation coefficient of the calibration curve were calculated. The peak area versus concentration data was subjected to least-squares linear regression analysis and the results are summarized in table 4. The linearity plots were as shown in fig 3 and fig 4 for PBHRC01 and PBHRC02 respectively.
Robustness
Robustness of the assay method was studied by introducing small changes in the chromatographic conditions which included mobile phase flow rate (±0.2 ml/min), pH (±0.2) and column temperature (±2 °C). The results revealed that these alterations did not have any impact on the chromatographic performance. The results were given in table 5.
Table 4: Linearity data for PBHRC01 and PBHRC02
%of level |
PBHRC01 |
PBHRC02 |
||
Conc.(mg/ml) |
Peak area |
Conc.(mg/ml) |
Peak area |
|
LOQ |
0.102 |
6174 |
0.098 |
9724 |
50 |
0.510 |
30880 |
0.492 |
50576 |
75 |
0.764 |
45965 |
0.738 |
75828 |
100 |
1.019 |
60671 |
0.985 |
100568 |
125 |
1.274 |
77012 |
1.231 |
126866 |
150 |
1.529 |
90528 |
1.477 |
152803 |
(R) |
0.9998 |
1.0000 |
||
Slope |
59410.93 |
103518.2 |
||
Intercept |
401.9967 |
-566.628 |
||
Fig. 3: Linearity plot for PBHRC-01
Fig. 4: Linearity plot for PBHRC-02
Table 5: Robustness data for PBHRC-01 and PBHRC-02
Parameter |
PBHRC-01 |
PBHRC-02 |
||||||
Variation |
%RSD |
Theoretical plates(N) |
Asymmetry |
Variation |
%RSD |
Theoretical plates(N) |
Asymmetry |
|
Flow (ml/min) |
0.6 |
1.12 |
14235 |
0.99 |
0.6 |
1.11 |
24134 |
1.05 |
0.8 |
1.18 |
15421 |
1.01 |
0.8 |
1.13 |
25312 |
1.04 |
|
1.0 |
1.05 |
14834 |
1.03 |
1.0 |
1.17 |
24147 |
1.03 |
|
Temperature ( °C) |
38 |
1.14 |
17647 |
0.99 |
38 |
2.74 |
23147 |
0.99 |
40 |
0.98 |
18924 |
1.02 |
40 |
2.15 |
21457 |
1.01 |
|
42 |
2.12 |
18437 |
1.02 |
42 |
2.14 |
22467 |
1.05 |
|
pH |
2.8 |
1.42 |
19017 |
1.01 |
2.8 |
1.08 |
25134 |
1.01 |
3 |
1.14 |
18345 |
1.01 |
3.1 |
1.47 |
24456 |
1.02 |
|
3.2 |
1.45 |
18754 |
1.02 |
3.2 |
1.43 |
23147 |
1.03 |
|
Solution stability
The solution stability of PBH and its impurities in diluent was determined by leaving 0.15 % spiked sample solution in a tightly capped volumetric flask at room temperature for 48 h and measuring the amounts of the compounds for every 12 h and comparing the results with those obtained from freshly prepared solution. The mobile phase was prepared at the beginning of the study period and was not changed during the experiment. All the samples were found to be stable up to 48 h. The results are shown in table 6.
Table 6: Solution stability data for Pazopanib Hydrochloride and its process impurities
Compound |
Peak area |
|||
Initial |
12 h |
24 h |
36 h |
|
PBHRC01 |
65124 |
64387 |
66472 |
64387 |
PBHRC02 |
110234 |
100234 |
105473 |
115463 |
PBH |
75134 |
74321 |
75214 |
74987 |
Characterization
PBH process related impurities were characterized by Mass Spectrometry to identify the mass of the two process impurities. The structural elucidation was performed with the help of NMR spectroscopic technique.
Mass spectrometry (LC–MS) studies
Quattro Micro TMAPI mass spectrophotometer (Waters-Micro mass, Manchester, UK), was used to perform Mass Spectral (MS) analysis using electron spray ionization at a voltage of 4.0 KV at a desolvation gas temperature of 100 °C and a source temperature of 400 °C. The desolvation gas flow was fixed at 450 l/hr.
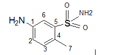
Mass spectral data identified the structures of process impurities of PBH as PBHRC01 and PBHRC02, which were reported in fig 5. A [M+H]+ molecular ion peak was identified in positive ionization mode at m/z 209.12 corresponding to PBHRC01 and another [M+H]+ was observed in positive ionization at 310.11 corresponding to PBHRC02.
PBHRC01 |
|
Fig. 5: Structures of Pazopanib impurities
Table 7: NMR data for NMR data for Pazopanib Hydrochloride related compound 01
Carbon No |
Multiplicity |
1H NMR (ppm) |
7 (3H) |
S |
2.494 |
4(1H) |
Dd |
6.768-6.803 |
3 (1H) |
D |
7.036-7.063 |
6 (1H) |
D |
7.323-7.331 |
Table 8: NMR data for NMR data for Pazopanib
Carbon No |
Multiplicity |
1H NMR (ppm) |
8 (3H) |
S |
2.648 |
10 (3H) |
S |
3.531 |
9 (3H) |
S |
4.130 |
5’(1H) |
D |
6.167-6.188 |
5 (1H) |
Dd |
6.807-6.842 |
7 (1H) |
D |
7.470-7.474 |
4 (1H) |
Dd |
7.643-7.672 |
6’ (1H) |
D |
7.824-7.845 |
NMR spectroscopic studies
Proton NMR experiments were performed using 300 MHz FT-NMR spectrometer (Bruker, BioSpin Corporation, Billerica, MA, USA) in CDCl3 at 25 °C temperature. The chemical shifts of protons were reported on the δ scale in ppm relative to TMS and CDCl3 respectively. The 1H NMR spectrum of PBHRC01 fig. 6, exhibits a characteristic amino proton (s–2H) and (s–2H) chemical shift at 6.768-6.803 and 5.418-5.347. The 1H NMR spectrum of PBHRC02 fig. 7 exhibits a characteristic 3-methyl proton (3s–9H) chemical shift at 2.648, 3.531 and 4.130. The NMR data for the two process impurities were given in table 7 and table 8.
Hydrochloride related to compound 02

Fig. 6: NMR spectrum of NMR data for Pazopanib Hydrochloride related compound 01
Fig. 7: NMR spectrum of NMR data for Pazopanib Hydrochloride related compound 02
CONCLUSION
In this study, two new process impurities of Pazopanib HCL drug substance were determined and characterized by newly developed RP-HPLC method and identified using LC–MS technique. Proposed structures of these impurities were confirmed by structural elucidation using NMR techniques. The HPLC method was validated as per ICH guidelines. Newly developed HPLC method was found to be simple, sensitive, and selective. It was found to have an excellent resolution for the two impurities and PBH drug substance indicating high sensitivity and selectivity of the validated method.
ACKNOWLEDGEMENT
The authors would like to thank department of chemistry, GITAM University Visakhapatnam, for providing the HPLC facility to carry out of this research work. The authors are grateful to Ogene (p) Limited, Hyderabad for providing gift sample of PBH and its impurities.
CONFLICT OF INTERESTS
Declared none
REFERENCES