
aPharmaceutical Chemistry Department, Faculty of Pharmacy, Cairo University, Kasr El-Aini Street, Cairo, Egypt, bPharmaceutical Chemistry Department, Faculty of Pharmacy, Misr University for Science and Technology, Al-Motamayez District, 6th of October City, Egypt, cMicrobiology Department, Faculty of Pharmacy, Misr University for Science and Technology, Al-Motamayez District, 6th of October City, Egypt, dDepartment of Pharmacognosy and Pharmaceutical Chemistry, College of Pharmacy, Taibah University, Al-Madinah Al-munawara, 30001, Kingdom of Saudi Arabia.
Email: rana.abdalnaby@must.edu.eg
Received: 09 Jan 2016 Revised and Accepted: 11 Feb 2016
ABSTRACT
Objective: Synthesize new series of 7-hydroxy-4-methylcoumarin and 7-alkoxy-4-methylcoumarin derivatives featuring thiosemicarbazone or thiazolidin-4-one moieties and to evaluate their antimicrobial activity against two strains of Gram-positive bacteria (Staphylococcus aureus and Bacillus subtilis), two Gram-negative bacteria (Escherichia Coli and Pseudomonas aeruginosa), and Candida albicans.
Methods: Preparation of the new coumarin derivatives was done by adopting Pechmann condensation and attaching different isothiocyanates to give coumarin-thiosemicarbazone hybrids. Thiosemicarbazones were cyclized into thiazolidine-4-ones using chloroacetic acid or diethyl bromo malonate.
Results: Compounds VIb, Xb, XIVb, and XVc gave the highest inhibition zones (>20 mm) against Staphylococcus aureus. Their MIC (minimum inhibitory concentration) values ranging from 0.19-0.36 µg/ml were better than the reference drug tobramycin with MIC= 2µg/ml.
Conclusion: The newly synthesized compounds with the 7-hydroxyl group showed better antimicrobial activity than those with the 7-alkoxy groups.
Keywords: Coumarin, Thiosemicarbazones, Thiazolidin-4-ones, Antimicrobial activity
© 2016 The Authors. Published by Innovare Academic Sciences Pvt Ltd. This is an open access article under the CC BY license (http://creativecommons.org/licenses/by/4.0/)
INTRODUCTION
Coumarins are a class of naturally occurring compounds, found in variable levels throughout the plant kingdom. Some important coumarins were isolated from microorganisms such as novobiocin 1 from Streptomycesspecies. They are used by plants as pesticides to protect themselves from predators[1, 2]. Applications of coumarins range from additives in food, perfumes, and cosmetics, to the preparation of insecticides, optical brighteners, and tunable laser dyes [3]. Today coumarins are very important in the pharmaceutical field due to their wide occurrence, and versatile pharmacological activity associated with low toxicity profile such as antimicrobial, anticoagulant, antioxidant, and anticancer activities [1-4]. Coumarin itself was reported to have an immunostimulatory activity on macrophages and other cells of the immune system. This results in the use of coumarin in chronic infections such as chronic brucellosis, mycoplasmosis, toxoplasmosis, and Q fever [1].
Novobiocin 1 and clorobiocin 2 are DNA-gyrase inhibitors having a strong activity against Gram-positive bacteria especially methicillin-resistant strains of Staphylococcus aureus (MRSA) [fig. 1]. But due to limitations regarding solubility, toxicity, and development of resistance, efforts were dedicated to designing an effective, orally bioavailable antimicrobial agents bearing coumarin nucleus [4]. Over the past decades, thiosemicarbazones attracted researchers for thorough investigation due to their diverse biological activity. They were known to have antiviral [5], antibacterial [6], anti-tuberculosis [7], anti-Trypanosoma cruzi [8] and antineoplastic activities [9]. This wide range of pharmacological activities was attributed to the strong chelating ability of thiosemicarbazones ligand to biologically important metals like iron, copper, nickel, and to their reductive capacities [10]. In 2011, Patil et al. reported the synthesis of new coumarin-8-yl-thiosemicarbazones 3, 4thatpossessed potential antibacterial activity against S. aureus, S. typhi, and E. coli [11]. Also, thiosemicarbazones act as key intermediates in the preparation of important compounds that in turn have a potential antimicrobial activity such as thiazolidin-4-one derivatives. Thiazolidine-4-one derivative 5possessed comparable activity to ampicillin and chloramphenicol at a concentration 25 µg/ml [12].
Also, 4-methylcoumarin-thiazolidine-4-one hybrids6 and 7 were reported to exhibit good antimicrobial activity; the former compound had comparable activity to ciprofloxacin and griseofulvin at 10 µg/ml [13, 14] and the later possessed potent antifungal activity with MIC value of 0.10 µg/ml [15] (fig. 1).
Thus, the purpose of this work was to study the effect of hybridizing 7-hydroxy-4-methylcoumarin and their 7-alkoxy analogs with different N4-substituted thiosemicarbazone that were cyclized into the C5-substituted-thiazolidine-4-one ring (fig. 2). The antimicrobial activity of new compounds VI-XVII was evaluated.
MATERIALS AND METHODS
Starting materials and reagents were purchased from Sigma-Aldrich and were used without further purification. Melting points were determined using Electrothermal capillary melting point apparatus 9100 and were uncorrected. IR spectra were recorded on a Shimadzu FT-IR Affinity-1 Spectrophotometer, using KBr discs at MUST University. 1H-NMR and 13C-NMR spectra were recorded in δ scale given in ppm and performed on a JEOL ECA 300, 400 MHz spectrometer using CDCl3 or DMSO as stated, using TMS as an internal standard at Cairo University.
Mass spectra were performed on Shimadzu Qp-2010 plus (70 eV) spectrometer at Cairo and Azhar University. Elemental analysis was performed at Azhar University. The microorganisms were purchased from Microbiological Resources Centre (MIRCEN), Faculty of agriculture, Ain-Shams University.
Synthesis of 8-Acetyl-7-alkoxy-4-methylcoumarin (IIIa-c): General Procedures: The 7-hydroxy Compound II (2.18 g., 0.010 mol) was stirred in dry acetone with anhydrous K2CO3 (1.5 g., 0.011 mol) for one hour, then the appropriate alkyl halide (ethyl iodide for IIIa, allyl bromide for IIIb, butyl bromide for IIIc) (0.050 mol) was added to the solution. The reaction mixture was refluxed for 8 h, concentrated and poured onto ice cold water. The solid formed was filtered and recrystallized from ethanol.
8-Acetyl-7-ethoxy-4-methylcoumarin (IIIa):Yield: 98%; m. p: 123-124 ᵒC; IR (ṽ max, cm-1): 3084 (CH, Ar), 2980 (CH, aliphatic), 1728 (CH3-C-C=O), 1705 (C=O, α–pyrone), 1598 (C=C, Ar).
Fig. 1:Some reported lead antimicrobials having the main pharmacophores under investigation
Fig. 2: Design strategy for the new compounds VI-XVII
8-Acetyl-7-allyloxy-4-methylchromen-2-one (IIIb): Yield: 97%; m. p: 118-120 ᵒC; IR (ṽ max, cm-1): 3088 (CH, Ar), 2991 (CH, aliphatic), 1724 (CH3-C-C=O), 1703 (C=O, α–pyrone), 1598 (C=C, Ar and allyl); MS (m/z): 258.
8-Acetyl-7-butoxy-4-methylcoumarin (IIIc): Yield: 97%; m. p: 89-90 ᵒC; IR (ṽ max, cm-1): 3084 (CH, Ar), 2987 (CH, aliphatic), 1716 (CH3-C-C=O), 1703 (C=O, α–pyrone), 1597 (C=C, Ar).
Synthesis of 8-Acetyl-7-substituted-4-methylcoumarin-hydrazones (IV and Va-Vc): General Procedures: 8-Acetyl-7-substituted-4-methylcoumarins II and IIIa-c (0.010 mol) were dissolved in 25 ml ethanol, poured onto hydrazine hydrate 99% (0.55 ml, 0.011 mole) and heated under reflux for 2 h. Light yellow crystals of the hydrazones were separated, collected by filtration and washed with water.
8-Acetyl-7-hydroxy-4-methylcoumarin-hydrazone (IV): Yield= 68%; m. p: 205-208 ᵒC; IR (ṽ max, cm-1): 3468 (OH), 3381 and 3381 (NH2), 2926 (CH, aliphatic), 1697 (C=O, α–pyrone), 1558 (C=C, Ar).
8-Acetyl-7-ethoxy-4-methylcoumarin-hydrazone (Va):Yield= 92%; m. p: 138-140 ᵒC; IR (ṽ max, cm-1): 3412 and 3234 (NH2), 3051 (CH, Ar), 2981 (CH, aliphatic), 1708 (C=O, α–pyrone), 1597 (C=C, Ar).
8-Acetyl-7-allyloxy-4-methylcoumarin-hydrazone (Vb):Yield= 99%; m. p: 84-86 ᵒC; IR (ṽ max, cm-1): 3379 and 3226 (NH2), 3088 (CH, Ar), 2968 (CH, aliphatic), 1724 (C=O, α–pyrone), 1597 (C=C, Ar); MS (m/z):247.
8-Acetyl-7-butoxy-4-methylcoumarin-hydrazone (Vc):Yield= 60%; m. p: 146-148 ᵒC; IR (ṽ max, cm-1): 3390 (NH), 3084 (CH, Ar), 2987 (CH, aliphatic), 1707 (C=O, α–pyrone), 1622 (C=N, imine), 1597 (C=C, Ar); Anal. Calc: C, 66.65; H, 6.99; N, 9.72; Found: C, 66.91; H, 7.12; N, 9.89.
Synthesis of thiosemicarbazones (VI-IX):General Procedures: The hydrazones IV and Va-Vc (0.005 mol) were dissolved in the minimal amount of dimethyl formamide diluted with 20 ml ethanol then the appropriate isothiocyanate derivative (0.005 mol) was added. The solution was refluxed for 8 h then diluted with iced cold water. A crystalline solid was separated, collected, and recrystallize from ethanol.
8-Acetyl-7-hydroxy-4-methylcoumarin-4-benzyl thiosemicarbazone (VIa): Yield= 74.9%; m. p: 220-222 ᵒC; IR (ṽ max, cm-1): 3466 (OH), 3406 and 3292 (2NH), 3040 (CH, Ar), 1720 (C=O, α–pyrone), 1616 (C=N imine), 1597 (C=C, Ar); 1HNMR (400 MHz, CDCl3): δ= 1.54 (s, 3H, N=C-CH3), 2.45 (s, 3H,-C=C-CH3), 4.56 (d, 2H,-CH2-Ph, J=4 Hz), 6.16 (s, 1H, 3-H), 6.94 (d, 1H, 6-H, J= 8 Hz), 7.29-7.32 (m, 5H, Ar), 7.52 (d, 1H, 5-H, J=8 Hz), 6.12 (s, 1H, OH, D2O exchangeable), 9.42 and 7.97 (s, 2H, 2NH, D2O exchangeable); MS (m/z): 381, 383; Anal calcd. C, 62.97; H, 5.02; N, 11.02; found: C, 63.14; H, 5.09; N, 11.17.
8-Acetyl-7-hydroxy-4-methylcoumarin-4-benzoyl thiosemicarbazone (VIb):Yield= 73%; m. p: 220-223 ᵒC; IR (ṽ max, cm-1): 3547 (OH), 3234 and 3473 (2NH), 3120 (CH, Ar), 1728 and 1662 (2C=O), 1635 (C=N imine), 1598 (C=C, Ar); 1HNMR (300 MHz, CDCl3): δ= 2.4 (s, 3H, N=C-CH3), 2.7 (s, 3H, C4-CH3), 6.15 (s,1H, H-3 of coumarin), 7.03 (d, 1H, C6-H of coumarin, J= 9 Hz), 7.59 (t, t, 2H, C3-H, C5-H of phenyl, J=6 Hz), 7.68 (d, d, 2H, C2-H,C6-H of phenyl, J=6 Hz), 7.93 (d, 1H, C6-H of coumarin), 9.29 and 13.85 (s, 2H, 2NH, D2O exchangeable); MS (m/z): 395; Anal calcd. C, 60.75; H, 4.33; N, 10.63; found: C, 60.89; H, 4.38; N, 10.79.
8-Acetyl-7-ethoxy-4-methylcoumarin-4-cyclohexyl thiosemicarbazone (VIIa):Yield= 92%; m. p: 190-191 ᵒC; IR (ṽ max, cm-1): 3244 and 3142 (2NH), 3014 (CH, Ar), 2931 (CH, aliphatic), 1728 (C=O), 1629 (C=N imine), 1597 (C=C, Ar); 1HNMR (300 MHz, CDCl3): δ= 1.47 (t, 3H, CH3-, J=6 Hz), 2.31 (s,3H, N=C-CH3), 2.37-2.43 (m, 6H,C3-2H,C4-2H, and C5-2H of cyclohexyl), 2.71 (s, 3H, C4-CH3), 2.82-2.89 (m, 4H, C2-2H, C6-2H of cyclohexyl), 3.22 (m, 1H, C1-H of cyclohexyl), 4.23 (q, 2H,-CH2-O, J=6 Hz), 5.99 (s,1H, NH, D2O exchangeable), 6.17 (s,1H, C3-H), 6.94 (d,1H, C6-H, J=9 Hz), 7.64 (d,1H, C5-H, J=9); MS (m/z): 401; Anal calcd. C, 62.82; H, 6.78; N, 10.47; found: C, 63.04; H, 6.86; N, 10.61.
8-Acetyl-7-ethoxy-4-methylcoumarin-4-phenyl thiosemicarbazone (VIIb): Yield= 98%; m. p: 110-112 ᵒC; IR (ṽ max, cm-1): 3444 and 3460 (2NH), 3055 (CH, Ar), 2981 (CH, aliphatic), 1734 (C=O), 1597 (C=C, Ar), 1174 (C-O ether); 1HNMR (300 MHz, CDCl3): δ= 1.45 (t, 3H, CH3-, J=6 Hz), 2.36 (s, 3H, N=C-CH3), 2.42,(s, 3H, 4-CH3), 4.22 (m, 2H,-CH2-O, J=6 Hz), 6.20 (s, 1H, C3-H), 6.95 (d, 1H, C6-H, J=9 Hz), 7.32 (t, 1H, C4-H of phenyl), 7.37 (d, 2H, C2-H, C6-H of phenyl, J=9 Hz), 7.65 (d, 2H, C3-H, C5-H of phenyl, J=9 Hz), 7.69 (d,1H, C5-H), 9.84 (s,1H, NH, D2O exchangeable), 10.46 (s,1H, OH, D2O exchangeable); 13CNMR (400 MHz, CDCl3): δ= 14.6 (CH3-), 18.6 (CH3-), 23.2 (CH3-), 32.6 (C5 of thiazolidin-4-one), 64.5 (-CH2-O), 107.9 (C3 of coumarin), 108.3 (C8 of coumarin), 112.0 (C6 of coumarin), 117.3 (C10 of coumarin), 125.0 (C2, C6 of phenyl), 127.3 (C4 of phenyl), 128.2 (C3, C5 of phenyl), 129.1 (C5 of coumarin), 134.5 (C1 of phenyl), 151.9 (C9 of coumarin), 152.1 (C4 of coumarin), 157.4 (C7 of coumarin), 159.2 (C2 of coumarin), 160.3 (C2 of thiazolidin-4-one), 161.1 (-C=N-), 171.5 (-C=O of thiazolidin-4-one); MS (m/z): 395; Anal calcd. C, 63.78; H, 5.35; N, 10.63; found: C, 63.97; H, 5.42; N, 10.88.
8-Acetyl-7-ethoxy-4-methylcoumarin-4-(4-methoxyphenyl) thiosemicarbazone (VIIc): Yield= 99%; m. p: 206-208 ᵒC; IR (ṽ max, cm-1): 3319 and 3278 (2NH), 3062 (CH, Ar), 2837-2981 (CH, aliphatic), 1722 (C=O), 1595 (C=C, Ar), 1182 (C-O ether); 1HNMR (300 MHz, CDCl3): δ= 1.45 (t, 3H, CH3-, J=8 Hz), 2.35 (s, 3H, CH3-), 2.45 (s, 3H, C4-CH3), 3.83 (s, 3H, CH3-O-Ph), 4.17-4.24 (m, 2H,-CH2-O, J=8 Hz), 6.20 (s, 1H, 3-H), 6.88-6.97 (m, 4H, Ar), 7.48 (d, 1H, C6-H, J=8 Hz), 7.67 (d,1H, C5-H, J=8 Hz), 8.27 and 9.19 (s,2H, 2NH, D2O exchangeable); MS (m/z): 426; Anal calcd. C, 62.10; H, 5.45; N, 9.88; found: C, 62.42; H, 5.51; N, 10.03.
8-Acetyl-7-allyloxy-4-methylcoumarin-4-cyclohexyl thiosemicarbazone (VIIIa): Yield= 96%; m. p: 206-208 ᵒC; IR (ṽ max, cm-1): 3354 and 3244 (2NH), 3053 (CH, Ar), 2962 (CH, aliphatic), 1724 (C=O), 1597 (C=C, Ar); 1HNMR (400 MHz, CDCl3): δ= 1.59 (s, 3H, N=C-CH3), 1.88-1.92 (m, C3-H, C4-H, and C5-H of cyclohexyl), 2.11-2.17 (m C2-H, C6-H of cyclohexyl), 2.37 (m, 1H, C1-H of cyclohexyl), 2.42 (s, 3H, C4-CH3), 4.77 (d, 2H,–CH2-O, J= 8 Hz), 5.23 and 5.31 (d, d, 2H, CH2=, J=8 Hz), 5.96-6.00 (m, 1H, =CH–), 6.12 (s, 1H, C3-H), 6.92 (d, 1H, C6-H, J=8 Hz), 7.53 (d, 1H, C5-H, J=8 Hz); MS (m/z): 413; Anal calcd. C, 63.90; H, 5.92; N, 10.16; found: C, 64.08; H, 5.97; N, 10.31.
8-Acetyl-7-allyloxy-4-methylcoumarin-4-benzyl thiosemicarbazone (VIIIb): Yield= 84%; m. p: 102-104ᵒC; IR (ṽ max, cm-1): 3419 and 3367 (2NH), 3084 (CH, Ar), 2980 (CH, aliphatic), 1732 (C=O), 1598 (C=C, Ar); 1HNMR (400 MHz, CDCl3): δ= 2.26 (s, 3H, N=C-CH3), 2.43 (s, 3H, C4-CH3), 4.50 (d, 2H,-CH2-O-, J= 8 Hz), 4.76 (d, 2H, Ph-CH2-), 5.33 and 5.36 (d, d, 2H, CH2=, J=8 Hz), 5.95-6.04 (m, 1H, =CH–), 6.20 (s, 1H, C3-H), 6.95 (d, 1H, C6-H, J=8 Hz), 7.25-7.40 (m, 5H, Ar), 7.54 (d, 1H, C5-H, J=8 Hz), 8.2 and 8.8 (s, 2H, 2NH, D2O exchangeable); 13CNMR (400 MHz, CDCl3): δ= 18.7 (CH3-), 23.5 (-CH3), 48.4 (-CH2-ph), 69.7 (-CH2-O-), 109.0 (C3 of coumarin), 110.0 (C8 of coumarin), 112.3 (C6 of coumarin), 114.7 (CH2=), 118.7 (C10 of coumarin), 125.7 (C4 of phenyl), 127.4 (C2, C6 of phenyl), 127.9 (C3, C5 of phenyl), 128.7 (C5 of coumarin), 131.6 (=CH-), 137.5 (C1 of phenyl), 142.9 (C9 of coumarin), 151.1 (C4 of coumarin), 152.1 (-C=N-), 157.1 (C2 of coumarin), 159.8 (C7 of coumarin), 177.6 (-C=S); MS (m/z): 421; Anal calcd: C, 65.54; H, 5.5; N, 9. 97; found: C, 65.73; H, 5.54; N, 10.08.
8-Acetyl-7-allyloxy-4-methylcoumarin-4-(4-methoxyphenyl) thiosemicarbazone (VIIIc): Yield= 95%; m. p: 186-187 ᵒC; IR (ṽ max, cm-1): 3319 and 3278 (2NH), 3032, (CH, Ar), 2970 (CH, aliphatic), 1720 (C=O), 1597 (C=C, Ar); 1HNMR (400 MHz, CDCl3): δ= 2.29 (s, 3H,-N=C-CH3), 2.43 (s, 3H, C4-CH3), 3.81 (s, 3H, CH3-O-Ph-), 4.69 (d, 2H,-CH2-O-, J= 8 Hz), 5.37 (d, 2H, CH2=, J=8 Hz), 6.02 (m, 1H, =CH–), 6.18 (s, 1H, C3-H), 6.88-6.97 (m, 4H, phenyl), 7.47-7.51 (d, 2H, C5-H, C6-H, J=8 Hz), 8.8 and 9.10 (s, 2H, 2NH, D2O exchangeable); MS (m/z): 437, 438 (M+1); Anal calcd. C 63.14; H 5.30; N 9.60; found: C 63.29; H 5.32; N 9.67.
8-Acetyl-7-butoxy-4-methylcoumarin-4-ethyl thiosemicarbazone (IXa): Yield= 99%; m. p: 170-169 ᵒC; IR (ṽ max, cm-1): 3448 and 3220 (2NH), 2954 (CH, aliphatic), 1732 (C=O), 1598 (C=C, Ar); 1HNMR (400 MHz, CDCl3): δ= 0.98 (t, 3H, CH3-, J= 8 Hz), 1.25 (t, 3H, CH3-, J= 8 Hz), 1.47 (m, 2H,-CH2-, J= 8 Hz), 1.78 (m, 2H,-CH2-, J= 8 Hz), 2.22 (s, 3H,-N=C-CH3), 2.43 (s, 3H, C4-CH3), 3.72 (q, 2H,-CH2-N-, J= 8 Hz), 4.09 (t, 2H,-CH2-O-, J= 8 Hz), 6.17 (s, 1H, C3-H), 6.92 (d,1H, C6-H), 7.58 (d, H, C5-H, J= 8 Hz), 8.64 (s, 1H, NH, D2O exchangeable); MS (m/z): 375; Anal calcd. C, 60.78, H, 6.71, N, 11.19; found: C, 60.91; H, 6.82; N, 11.31.
8-Acetyl-7-butoxy-4-methylcoumarin-4-benzyl thiosemicarbazone (IXb): Yield= 99%; m. p: 140-142 ᵒC; IR (ṽ max, cm-1): 3419 and 3253 (2NH), 3088 (CH, Ar), 2960 (CH, aliphatic), 1732 (C=O), 1602 (C=N imine), 1550 (C=C, Ar); 1HNMR (400 MHz, CDCl3): δ= 0.96 (t, 3H, CH3-, J= 8 Hz), 1.44 (m, 2H,-CH2-, J= 8 Hz), 1.74 (m, 2H,-CH2-, J= 8 Hz), 2.24 (s, 3H, N=C-CH3), 2.40 (s, 3H, C4-CH3), 4.05 (t, 2H,-CH2-O, J= 8 Hz), 4.92 (s, 2H,-CH2-ph), 6.15 (s, 1H, C3-H), 6.88 (d,1H, C6-H, J= 8 Hz), 7.26-7.37 (5H, phenyl), 7.55 (d, H, C5-H, J= 8 Hz), 8.79 (s, 1H, NH, D2O exchangeable) MS (m/z): 437; Anal calcd. C, 65.88; H, 6.22; N, 9.60; found: C, 65.98; H, 6.28; N, 9.72.
Synthesis of thiazolidine-4-ones (X-XIII): General procedures: The thiosemicarbazones VI-IX (0.005 mol) were reacted with chloroacetic acid (0.00505 mol, 0.618 g) in freshly fused sodium acetate (0.00505 mol, 0.414 g) and 30 ml ethanol. The solution was refluxed for 8 h, concentrated, and diluted with ice cold water. A crystalline solid was separated, collected, and recrystallized from ethanol.
3-Benzyl-2-{[1-(7-hydroxy-4-methylcoumarin-8-yl)-ethylidene] -hydrazono}-thiazolidin-4-one (Xa): Yield= 67%; m. p: 144-146 ᵒC; IR (ṽ max, cm-1): 3444 (OH), 3089 (CH, Ar), 2924 (CH, aliphatic), 1720 and1687 (2C=O), 1629 (C=N imine), 1597 (C=C, Ar); 1HNMR (400 MHz, CDCl3): δ= 1.56 (s, 3H, 4-CH3), 2.46 (s, 3H, N=C-CH3), 2.85 (s, 2H, S-CH2-CO), 4.57 (s, 2H, Benzyl CH2), 6.16 (s, 1H, C3-H), 6.95 (d,1H, C6-H), 7.35 (m, 5H, Ar), 7.62 (d, 2H, 4, C5-H, J= 8 Hz); MS (m/z): 421; Anal calcd. C 62.69; H 4.54; N 9.97; found: C 62.78; H 4.51, N 10.08.
3-Benzoyl-2-{[1-(7-hydroxy-4-methylcoumarin-8-yl)-ethylidene]-hydrazono}-thiazolidin-4-one (Xb): Yield= 75%; m. p: 128-130 ᵒC; IR (ṽ max, cm-1): 3446 (OH), 3066 (CH, Ar), 2980 (CH, aliphatic), 1728 and1670 (2C=O), 1624 (C=N imine), 1598 (C=C, Ar); 1HNMR (400 MHz, CDCl3): δ= 2.44 (s, 3H, 4-CH3), 2.84 (s, 3H, N=C-CH3), 3.83 (s, 2H, S-CH2-CO), 6.19 (s, 1H, C3-H), 6.95 (d,1H, C6-H, J=8 Hz), 7.50-7.62 (m, 3H, C3, C4, C5-H of phenyl), 7.70 (d,1H, C5-H, J=8 Hz); MS (m/z): 435; Anal calcd: C 60.68; H 3.93; N 9.65; found: C, 60.74; H, 3.96; N, 9.77.
3-Cyclohexyl-2-{[1-(7-ethoxy-4-methylcoumarin-8-yl)-ethylidene]-hydrazono}-thiazolidin-4-one (XIa): Yield= 56%; m. p: 246-247 ᵒC; IR (ṽ max, cm-1): 3059 (CH, Ar), 2978 (CH, aliphatic), 1716 (C=O), 1620 (C=N imine), 1597 (C=C, Ar); 1HNMR (400 MHz, DMSO): δ= 1.08 (t, 3H, CH3-CH2-O), 2.07 (s, 3H, 4-CH3), 2.16 (s, 3H, N=C-CH3), 2.27 (t, 4H, 2andC6-H of cyclohexyl), 3.65 (m, 1H, C1-H of cyclohexyl), 3.68 (s, 2H, S-CH2-CO), 3.93 (t, 2H, CH3-CH2-O, J= 8 Hz), 5.98 (s, 1H, C3-H), 6.91 (d,1H, C6-H, J=8 Hz), 7.52 (d, 2H, 4, C5-H, J=8 Hz); MS (m/z): 441; Anal calcd: C, 62.56; H, 6.16; N, 9.52; found: C, 62.67; H, 6.30; N, 9.61.
2-{[1-(7-Ethoxy-4-methylcoumarin-8-yl)-ethylidene]-hydrazono}-3-phenyl-thiazolidin-4-one (XIb): Yield= 89%; m. p: 257-260 ᵒC; IR (ṽ max, cm-1): 3064 (CH, Ar), 2980 (CH, aliphatic), 1732 and 1720 (2C=O), 1597 (C=C, Ar); 1HNMR (400 MHz, CDCl3): δ= 1.32 (t, 3H, CH3-CH2-O, J=8 Hz), 2.23 (s, 3H, C4-CH3), 2.39 (s, 3H, N=C-CH3), 3.92 (m, 4H, S-CH2-CO and CH3-CH2-O), 6.10 (s, 1H, C3-H), 6.71 (d,1H, C6-H, J=8 Hz), 6.95 (d, 2H, C2, C6-H of phenyl, J= Hz), 7.11 (m, 3H, C3,4,C5-H of phenyl), 7.41 (d, 2H, 4, C5-H, J=8 Hz); MS (m/z): 435; Anal calcd. C, 63.43; H, 4.86; N, 9.65; found: C 63.65; H 4.92; N 9.78.
2-{[1-(7-Ethoxy-4-methylcoumarin-8-yl)-ethylidene]-hydrazono}-3-(4-methoxy-phenyl)-thiazolidin-4-one (XIc): Yield= 89%; m. p: 170-172 ᵒC; IR (ṽ max, cm-1): 2980 (CH, aliphatic), 1718 (C=O), 1624 (C=N imine), 1598 (C=C); 1HNMR (400 MHz, CDCl3): δ= 1.34 (t, 3H, CH3-CH2-O, J=8 Hz), 2.19 (s, 3H, 4-CH3), 2.41 (s, 3H, N=C-CH3), 3.75 (s, 3H, CH3-O-Ph), 3.88 (s, 2H, S-CH2-CO), 4.05 (q, 2H, CH3-CH2-O), 6.10 (s, 1H, C3-H), 6.87 (d,1H, C6-H, J=8 Hz), 6.89-7.39 (m, 5H, Ar), 7.55 (d, 2H, 4, C5-H, J=8 Hz),; MS (m/z): 465; Anal calcd: C, 64.13; H, 5.16; N, 9.35; found: C, 64.28; H, 5.20; N, 9.43.
3-Cyclohexyl-2-{[1-(7-allyloxy-4-methylcoumarin-8-yl)-ethylidene]-hydrazono}-thiazolidin-4-one (XIIa): Yield= 91%; m. p: 114-116 ᵒC; IR (ṽ max, cm-1): 3080 (CH, Ar and allyl), 2962 (CH, aliphatic), 1720 (C=O), 1618 (C=N imine), 1598 (C=C, Ar, allyl); 1HNMR (400 MHz, CDCl3): δ= 2.10 (s, 3H, C4-CH3), 2.17 (s, 3H, N=C-CH3), 3.45 (s, 2H, S-CH2-C=O), 3.74-3.82 (m, 1H, C1-H of cyclohexyl), 4.40 (d, 2H, CH2=CH-CH2-O-, J= 8 Hz), 5.01-5.15 (d, d, 2H, CH2=CH-CH2-O-, J=8 Hz), 5.72-5.76 (m, 1H, CH2=CH–CH2-O-), 6.69 (d, 1H, C6-H, J=8 Hz), 7.31 (d, 1H, C5-H, J=8 Hz); MS (m/z): 453; Anal calcd.: C, 63.56; H, 6.00; N, 9. 26; found, C, 63.78; H, 6.13; N, 9.49.
3-Benzyl-2-{[1-(7-allyloxy-4-methylcoumarin-8-yl)-ethylidene]-hydrazono}-thiazolidin-4-one (XIIb): Yield= 81%; m. p: 182-184 ᵒC; IR (ṽ max, cm-1): 3005-3086 (CH, Ar and allyl), 2981 (CH, aliphatic), 1728 and 1710 (2C=O), 1622 (C=N imine), 1600 (C=C, Ar, allyl); 1HNMR (400 MHz, CDCl3): δ= 2.35 (s, 3H, C4-CH3), 2.41 (s, 3H, N=C-CH3), 3.77 (s, 2H, S-CH2-C=O), 4.56 (d, 2H, CH2=CH-CH2-O-, J= 8 Hz), 4.68 (d, 2H, Ph-CH2-NH-), 5.31 and 5.37 (d, d, 2H, CH2=CH-CH2-O-, J=8 Hz), 5.92-6.05 (m, 1H, CH2=CH–CH2-O-), 6.16 (s, 1H, C3-H), 6.88-7.56 (m, 5H, Ar); MS (m/z): 461; Anal calcd. C, 65.06; H, 5.02; N, 9.10; found: C, 65.24; H, 5.11; N, 9.31.
3-(4-Methoxy-phenyl)-2-{[1-(7-allyloxy-4-methylcoumarin-8-yl)-ethylidene]-hydrazono}-thiazolidin-4-one (XIIc): Yield= 97%; m. p: 200-202 ᵒC; IR (ṽ max, cm-1): 3057 (CH, Ar and allyl), 2966 (CH, aliphatic), 1724 (C=O), 1616 (C=N imine), 1597 (C=C, Ar, allyl); 1HNMR (400 MHz, CDCl3): δ= 2.3 (s, 3H, C4-CH3), 2.40 (s, 3H, N=C-CH3), 3.74 (s, 3H, methoxy), 3.89 (s, 2H, S-CH2-C=O), 4.50 (d, 2H, CH2=CH-CH2-O-, J=8 Hz), 5.20-5.31 (d, d, 2H, CH2=CH-CH2-O-), 5.85-5.94 (m, 1H, CH2=CH–CH2), 6.09 (s, 1H, C3-H), 6.75 (d, 2H, C3 and C5 of phenyl, J= 8 Hz), 6.72 (d, 1H, C6-H, J=8 Hz), 6.85 (d, 2H, C2 and C6 of phenyl, J= 8 Hz), 7.42 (d, 1H, C5-H, J=8 Hz); MS (m/z): 477; Anal calcd. C, 62.88; H, 4.85; N, 8.80; found: C, 63.01; H, 4.89; N, 8.92.
2-{[1-(7-Butoxy-4-methylcoumarin-8-yl)-ethylidene]-hydrazono}-3-ethyl-thiazolidin-4-one (XIIIa): Yield= 99%; m. p: 201-203 ᵒC; IR (ṽ max, cm-1): 3080 (CH, Ar), 2953 (CH, aliphatic), 1737 and 1722 (2C=O), 1571 (C=C, Ar); 1HNMR (400 MHz, CDCl3): δ= 0.96 (t, 3H, CH3-(CH2)3-O, J= 8 Hz), 1.34 (t, 3H, CH3-CH2-N, J= 8 Hz), 1.48 (m, 2H, CH3-CH2-(CH2)2-O, J= 8 Hz), 1.79 (m, 2H, CH3-CH2-CH2-CH2-O, J= 8 Hz), 2.36 (s, 3H, C4-CH3), 2.41 (s, 3H,-N=C-CH3), 3.73 (s, 2H, S-CH2-C=O), 3.94 (t,2H, CH3-CH2-N-, J= 8 Hz), 4.09 (t, 2H, CH3-CH2-CH2-CH2-O, J= 8 Hz), 6.14 (s, 1H, C3-H), 6.90 (d,1H, C6-H, J= 8 Hz), 7.54 (d, H, C5-H, J= 8 Hz); MS (m/z): 415; Anal calcd. C, 60.70; H, 6.06; N, 10.11; found: C, 60.37; H, 5.38; N, 10.69.
3-Benzyl-2-{[1-(7-butoxy-4-methylcoumarin-8-yl)-ethylidene]-hydrazono}-thiazolidin-4-one (XIIIb): Yield= 91%; m. p: 180-182 ᵒC; IR (ṽ max, cm-1): 3082 (CH, Ar), 2939 (CH, aliphatic), 1720 (C=O), 1589 (C=C, Ar); 1HNMR (400 MHz, CDCl3): δ= 0.91 (t, 3H, CH3-(CH2)3-O, J= 8 Hz), 1.39 (m, 2H, CH3-CH2-(CH2)2-O, J= 8 Hz), 1.68 (m, 2H, CH3-CH2-CH2-CH2-O, J= 8 Hz), 2.39 (s, 3H, C4-CH3), 2.43 (s, 3H, N=C-CH3), 3.76 (s, 2H, S-CH2-C=O), 3.91-3.95 (t, 2H, CH3-CH2-CH2-CH2-O, J= 8 Hz), 4.54 (s, 2H, CH2-N-), 6.12 (s, 1H, C3-H), 6.90 (d,1H, C6-H, J= 8 Hz), 7.05 (m, 3H, C2,6,4 of phenyl), 7.15 (t, 2H, C3,5 of phenyl), 7.55 (d, H, C5-H); MS (m/z): 474; Anal calcd. C, 65.39; H, 5.70; N, 8.80; found: C, 65.62; H, 5.78; N, 8.91.
Synthesis of thiazolidine-4-ones (XIV-XVII): General procedures: The thiosemicarbazones V-VIII (0.005 mol) were reacted with diethyl bromo malonate (0.00505 mol, 1.207 g) in freshly fused sodium acetate (0.00505 mol, 0.41400 g) and 30 ml ethanol. The solution was refluxed for 8 h, concentrated, and diluted with ice cold water. A crystalline solid was separated, collected, and recrystallized from ethanol.
3-Benzyl-2-{[1-(7-hydroxy-4-methylcoumarin-8-yl)-ethylidene]-hydrazono}-thiazolidin-4-one-5-carboxylic acid ethyl ester (XIVa): Yield= 91%; m. p: 137 ᵒC; IR (ṽ max, cm-1): 3088 (CH, Ar), 2981 (CH, aliphatic), 1737 and 1724 (2C=O), 1595 (C=C, Ar); 1HNMR (400 MHz, CDCl3): δ= 2.37 (s, 3H, C4-CH3), 2.45 (t, 3H, CH3-), 2.79 (s, 3H,-N=C-CH3), 4.42-4.91 (m, 4H, 2CH2-of benzyl and ethyl), 5.1 (s, 2H, S-CH2-C=O), 6.30 (s, 1H, C3-H), 6.95 (d,1H, C6-H, J= 8 Hz), 7.28-7.75 (m, 6H, Ar); MS (m/z): 493; Anal calcd. C, 60.84; H, 4.70; N, 8.51; found: C, 60.47; H, 4.89; N, 8.91.
3-Benzoyl-2-{[1-(7-hydroxy-4-methylcoumarin-8-yl)-ethylidene]-hydrazono}-thiazolidin-4-one-5-carboxylic acid ethyl ester (XIVb): Yield= 94%; m. p: 135 ᵒC; IR (ṽ max, cm-1): 3066 (CH, Ar), 2933 (CH, aliphatic), 1732 and 1724 (2C=O), 1598 (C=C, Ar); 1HNMR (400 MHz, CDCl3): δ= 2.44 (t, 3H, CH3-), 2.84 (s, 3H, C4-CH3), 2.98 (s, 3H, N=C-CH3), 4.23-4.39 (m, 4H, 2CH2-of benzyl and ethyl), 6.19 (s, 1H, C3-H), 6.94 (d,1H, C6-H, J= 8 Hz), 7.54-8.09 (m, 6H, Ar), 7.61 (d, H, C5-H); MS (m/z): 508; Anal calcd. C, 59.16; H, 4.17; N, 8.28; found: C, 58.73; H, 4.37; N, 8.63.
3-Cyclohexyl-2-{[1-(7-ethoxy-4-methylcoumarin-8-yl)-ethylidene]-hydrazono}-thiazolidin-4-one-5-carboxylic acid ethyl ester (XVa): Yield= 85%; m. p: 247-248 ᵒC; IR (ṽ max, cm-1): 3055 (CH, Ar), 2976 (CH, aliphatic), 1720 (C=O), 1598 (C=C, Ar); 1HNMR (400 MHz, CDCl3): δ= 1.22-1.36 (t, 6H, 2CH3-), 2.00-2.43 (m, 10H, cyclohexyl), 2.28 (s, 3H, C4-CH3), 2.44 (s, 3H,-N=C-CH3), 4.01 (t, 2H,-CH2-O), 4.12-4.28 (m, 3H, S-CH-C=O of thiazolidine and-CH2-O of ethyl ester), 6.21 (s, 1H, C3-H), 6.99 (d,1H, C6-H), 7.63 (d, H, C5-H); MS (m/z): 514; Anal calcd. C, 60.80; H, 6.08; N, 8.18; found: C, 60.55; H, 6.37; N, 8.61.
2-{[1-(7-Ethoxy-4-methylcoumarin-8-yl)-ethylidene]-hydrazono}-4-oxo-3-phenyl-thiazolidine-5-carboxylic acid ethyl ester (XVb): Yield= 86%; m. p: 196-198 ᵒC; IR (ṽ max, cm-1): 2983 (CH, aliphatic), 1745 and 1730 (2C=O), 1597 (C=C, Ar); 1HNMR (400 MHz, CDCl3): δ= 1.23-1.38 (m, 6H, 2CH3-), 2.21 (s, 3H, C4-CH3), 2.41 (s, 3H,-N=C-CH3), 3.85-3.91 (m, 2H,-O-CH2-), 4.19-4.41 (m, 2H,-O-CH2-), 4.67 (s, 1H, S-CH-C=O), 6.11 (s, 1H, C3-H), 6.68 (s, 1H, C6-H), 7.05-7.15 (m, 2H, C3-H, C5-H of phenyl), 7.39 (m, 2H, C2-H, C6-H of phenyl), 7.54 (s, 1H, C5-H); MS (m/z): 507; Anal calcd. C, 61.53; H, 4.96; N, 8.28; found: C, 61.32; H, 5.19; N, 8.73.
2-{[1-(7-Ethoxy-4-methylcoumarin-8-yl)-ethylidene]-hydrazono}-3-(4-methoxy-phenyl)-thiazolidin-4-one-5-carboxylic acid ethyl ester (XVc): Yield= 75%; m. p: 217-218 ᵒC; IR (ṽ max, cm-1): 3062 (CH, Ar), 2981 (CH, aliphatic), 1716 (C=O), 1595 (C=C, Ar); 1HNMR (400 MHz, CDCl3): δ= 1.18-1.35 (m, 6H, 2CH3-), 2.28 (s, 3H, C4-CH3), 2.41 (s, 3H, N=C-CH3), 3.31 (s, 3H,-O-CH3), 3.73 (q, 2H,-O-CH2-), 4.25 (q, 2H, CO-O-CH2-), 4.63 (s, 1H, S-CH-C=O), 6.24 (s, 1H, C3-H), 6.85 (d, 2H, C3-H, C5-H of phenyl), 6.90 (s, 1H, C6-H), 7.42 (d, 2H, C3-H, C5-H of phenyl), 7.75 (s, 1H, C5-H); MS (m/z): 537; Anal calcd. C, 60.32; H, 5.06; N, 7.82; found: C, 59.95; H, 5.30; N, 8.19.
2-{[1-(7-Allyloxy-4-methylcoumarin-8-yl)-ethylidene]-hydrazono}-3-cyclohexyl-4-oxo-thiazolidine-5-carboxylic acid ethyl ester (XVIa): Yield= 80%; m. p: 80-82 ᵒC; IR (ṽ max, cm-1): 3055 (CH, Ar and allyl), 2962 (CH, aliphatic), 1737 and1724 (2C=O), 1620 (C=N imine), 1597 (C=C, Ar, allyl); 1HNMR (400 MHz, CDCl3): δ= 1.19-1.42 (m, 9H, C3-2H, C4-2H, C5-2H of cyclohexyl and-CH3 of ethyl), 1.77-1.87 (m, 4H, C2-2H, C6-2H of cyclohexyl), 2.34 (s, 3H, C4-CH3), 2.42 (s, 3H, N=C-CH3), 3.40 (s, 1H, C1-H of cyclohexyl), 4.06-4.09 (m, 2H,-CH2-O), 4.56 (s, 1H, S-CH-C=O), 4.67 (d, 2H,-CH2-O), 5.22-5.42 (m, 2H, CH2=), 5.97-6.01 (m, 1H, =CH-), 6.15 (s, 1H, C3-H), 6.91 (d, 1H, C-6, J=8 Hz), 7.55 (d, 1H, C5-H, J=8 Hz); MS (m/z): 523; Anal calcd. C, 61.70; H, 5.94; N, 7.99; found C, 61.94; H, 6.01; N, 8.14.
2-{[1-(7-Allyloxy-4-methylcoumarin-8-yl)-ethylidene]-hydrazono}-3-4-methoxyphenyl-thiazolidin-4-one-5-carboxylic acid ethyl ester (XVIc): Yield= 87%; m. p: 188 ᵒC; IR (ṽ max, cm-1): 3066 (CH, Ar and allyl), 2968 (CH, aliphatic), 1730 and 1718 (C=O), 1598 (C=C, Ar, allyl); 1HNMR (400 MHz, CDCl3): δ= 2.35 (s, 3H, C4-CH3), 2.44 (s, 3H, N=C-CH3), 3.83 (s, 3H, CH3-O-Ph), 4.05-4.12 (m, 3H,-CH2-O and S-CH-C=O), 4.72 (d, 2H,-CH2-O), 5.35-5.40 (d, d, 2H, CH2=), 5.99-6.04 (m, 1H, =CH–), 6.17 (s, 1H, C3-H), 6.92-6.98 (m, 3H, C3-H, C5-H of phenyl and C6-H), 7.49 (d, 2H, C2 and C6 of phenyl, J= 8 Hz), 7.66 (d, 1H, C5-H, J=8 Hz); MS (m/z): 550; Anal calcd. C, 61.19; H, 4.95; N, 7.65; found: C, 61.09; H, 5.21; N, 8.08.
2-{[1-(7-Butoxy-4-methylcoumarin-8-yl)-ethylidene]-hydrazono}-3-ethyl-thiazolidin-4-one-5-carboxylic acid ethyl ester (XVIIa): Yield= 85%; m. p: 224-225 ᵒC; IR (ṽ max, cm-1): 2958 (CH, aliphatic), 1732 (C=O), 1627 (C=N, imine), 1593 (C=C, Ar); 1HNMR (400 MHz, CDCl3): δ= 0.96 (t, 3H, CH3-, J= 8 Hz), 1.35-1.38 (m, 3H, CH3-), 1.43-1.52 (m, 2H,-CH2-), 1.75-1.82 (m, 2H,-CH2-), 2.37 (s, 3H, C4-CH3), 2.40 (s, 3H, N=C-CH3), 3.50-3.53 (m, 2H,-CH2-N), 4.01 (t, 2H,-CH2-O), 4.06-H, J= 8 Hz), 7.54 (d, 1H, C5-H, J= 8 Hz); MS (m/z): 485, 487; Anal calcd. C, 59.12; H, 6.00; N, 8.62; found: C, 58.75; H, 6.26; N, 9.03. 4.10 (m, 2H,-CH2-O), 4.18 (s, 2H, S-CH-C=O), 6.13 (s, 1H, C3-H), 6.90 (d,1H, C6-
3-Benzyl-2-{[1-(7-butoxy-4-methylcoumarin-8-yl)-ethylidene]-hydrazono}-thiazolidin-4-one-5-carboxylic acid ethyl ester (XVIIb): Yield= 93%; m. p: charring; IR (ṽ max, cm-1): 3032 (CH, Ar), 2958 (CH, aliphatic), 1724 (C=O), 1627 (C=N, imine), 1597 (C=C, Ar); 1HNMR (400 MHz, CDCl3): δ= 0.95 (t, 3H, CH3-, J= 8 Hz), 1.39-1.48 (m, 2H,-CH2-), 1.75-1.79 (m, 2H,-CH2-), 2.32 (s, 3H, C4-CH3), 2.40 (s, 3H, N=C-CH3), 3.74 (t, 2H,-CH2-O, J= 8 Hz), 4.04-4.07 (m, 3H,-CH2-N-and S-CH-), 5.09 (s, 2H, CH2-), 6.12 (s, 1H, C3-H), 6.88 (d,1H, C6-H, J= 8 Hz), 7.30-7.37 (m, 3H, C2-H,C6-H, and C4-H of phenyl), 7.48 (t, 2H, C3-H, C5-H of phenyl), 7.53 (d, H, C5-H); MS (m/z): 549; Anal calcd. C, 63.37; H, 5.68; N, 7.65; found: C, 62.97; H, 5.89; N, 7.94.
Antimicrobial activity
Sensitivity test
The agar disc plate method using Hi-Media agar medium was employed to study the antimicrobial activity of the synthesized compounds with tobramycin as the reference drug. The prepared compounds were examined against two strains of Gram-positive (Staphylococcus aureus ATCC 25923 and Bacillus subtilis ATCC 14579), Gram-negative bacteria (Pseudomonas aeruginosa ATCC 27853 and Escherichia coli ATCC 25922) and Candida albicans ATCC 10231). Each test compound (50 mg) was dissolved in DMSO (dimethyl sulphoxide) (0.5 ml, 100 mg/ml), which was used as a sample solution. 6 mm discs were impregnated with 100 mg/ml solution of the test compound were placed on the solidified nutrient agar medium that had been inoculated with the respective microorganism and the Petri dishes were subsequently incubated at 37 ᵒC for 48 h. Tobramycin was used as reference drugs and DMSO as a negative control. Zones of inhibition produced by each compound were measured in millimetres [16].
Minimum inhibitory concentration test (MIC)
The agar cup plate method using Hi-Media agar medium was employed to study the antibacterial activity against Staphylococcus aureus. Each test compound (50 mg) was dissolved in dimethyl sulphoxide (100 mg/ml), which was used as a stock solution to carry out two-fold dilution technique. The sample size for all the compounds was fixed at 0.1 ml. Using a sterilized cork borer, cups were scooped out of Agar medium contained in a Petri dish which was previously inoculated with the microorganisms. The test compound solution (0.1 ml) was added to the cups, and the Petri dishes were subsequently incubated at 37 ᵒC for 48 h. MIC was defined as the lowest compound concentration preventing visible bacterial growth [16].
RESULTS AND DISCUSSION
Chemistry
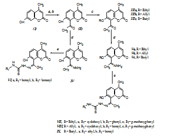
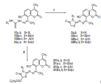
The starting compound 7-hydroxy-4-methylcoumarin (I) was prepared as reported in the literature via Pechmann-Duisburg reaction [17]. Then the 8-acetylcoumarin derivative (II) was prepared by acetylation of the 7-hydroxy group with acetic anhydride [18] followed by Fries rearrangement using anhydrous AlCl3 [19]. To study the effect of alkylation of the 7-hydroxyl group on antimicrobial activity, the 7-ethoxy (IIIa), 7-allyloxy (IIIb), and 7-butyloxy (IIIc) derivatives were prepared using the appropriate alkyl halide in dry acetone [20]. The 7-hydroxy (II) and the 7-alkoxy derivatives (IIIa-IIIc) were then treated with hydrazine hydrate to yield the hydrazones (IV and Va-Vc) [21, 22], that reacted with different isothiocyanates to give coumarin-thiosemicarbazones (VI-IX) in good yields [23]. Coumarin-thiazolidine-4-ones (X-XIII) were formed by cyclizing the thiosemicarbazone (VI-IX) with chloroacetic acid, freshly fused sodium acetate in absolute ethanol, while the thiazolidin-4-one-5-carboxylix acid ethyl ester derivatives (XIV-XVII) were prepared from intermediates (VI-IX) through cyclization with diethyl bromo malonate in refluxing absolute ethanol in the presence of fused sodium acetate [24].
The synthetic pathways are outlined in scheme 1 and 2. The structures of the synthesized compounds were confirmed by spectral data and elemental analysis, and they were in full agreement with the proposed structures.
Scheme 1: Reagent and conditions: a) acetic anhydride, reflux; b) Aluminum Chloride, fusion, 2 h, from 120 to 175 ᵒC; c) appropriate Alkyl halide, anhydrous K2CO3 in dry acetone, and reflux; d) Hydrazine hydrate, ethanol, and reflux; e) appropriate isothiocyanate derivatives, ethanol, and reflux
Scheme 2: Reagent and conditions: f) Chloroacetic acid and fused sodium acetate, ethanol, and reflux; g) diethyl bromo malonate and fused sodium acetate, ethanol, and reflux
Antimicrobial activity
The results (table 1) showed that compounds VIb, Xb, XIVb, XVa and XVc possessed strong inhibitory activity against S. aureus compared to the reference leads listed in table 2. While, compounds VIIa, VIIIa, IXa, IXb, and XIVa have moderate activitycompared to the reference compound tobramycin. Compounds XIII and XIVb have fair to moderate activity against B. subtilis. The synthesized compounds had no activity on the Gram-negative strains used. The active compounds Xb, XIVb, XVa, and XVc showed activity against C. albicans beside the antibacterial activity which was better than lead 7 that had only antifungal activity with MIC value of 0.1µg/ml.
Compounds VIb, Xb, XIVb, and XVc, showed better inhibitory activity in terms of lower MIC values (0.19-0.36 µg/ml) than the lead drug bearing the same nucleus novobiocin 1 (MIC= 1 µg/ml). Novobiocin is known for its potent inhibitory activity against S. aureus especially methicillin-resistant strains through DNA-gyrase inhibition. Thus, the newly synthesized compounds represent promising antibacterial agents, especially against this strain.
By comparing the minimum inhibitory concentration (MIC) (table 3) of the active compounds VIb, Xb, XIVb, and XVc to tobramycin (MIC= 2 µg/ml) and novobiocin (MIC= 1 µg/ml), they gave better values ranging from 0.195-0.390 µg/ml; which were also better values reported for lead 5 (MIC= 25 µg/ml) and lead 6 (MIC= 10 µg/ml).
Among the thiosemicarbazone series VI-IX, the 7-hydroxy derivative VIb with benzoyl group at N4 of thiosemicarbazone was the most active with a zone of inhibition value of 35 mm and MIC value of 0.195µg/ml. This result showed the importance of the free hydroxyl group at this position. On the other hand, the 7-alkoxy derivatives VIIa, VIIIa, and IXa were moderately active when compared to their aromatic analogs VIIb, VIIc, VIIIb, and VIIIc.
In thiazolidine-4-one series X-XIII, compound Xb had stronger activity against S. aureus with MIC value of 0.390 µg/ml and showed weak activity against C. albicans, which may be attributed to the presence of thiazolidine-4-one ring when compared to its precursor compound VIb. Also, compound XIIIa showed slight activity against B. subtilis. While, in the thiazolidine-4-one-5-carboxylic acid ethyl ester series XIV-XVII, compounds XIVb, XVa, XVc had strong antibacterial activity when compared to their analogs (Xb), (VIIa, XIa), and (VIIc, XIc) respectively. Compound XIVa possessed moderate activity over compound VIa, and Xa which may be attributed to the 5-carboxylic acid ethyl ester on the thiazolidine-4-one ring. In summary, it was evidenced that the presence of free 7-hydroxyl group on 4-methycoumarin ring was very important for activity. The hybridization with thiosemicarbazone substituted with benzoyl moiety as in compound VIb or thiazolidine-4-one-5-carboxylic acid ethyl ester as in compoundXIVb gave rise to promising antimicrobial agents.
Table 1: The mean* of zone of inhibition (mm) of the active compounds against gram-positive bacteria
Compound number |
R |
R1 |
R2 |
S. aureus |
B. subtilis |
C. albicans |
Tobramycin |
21 mm |
ND |
ND |
|||
VIb |
H |
Benzoyl |
35 mm |
- |
- |
|
VIIa |
Ethyl |
Cyclohexyl |
10 mm |
- |
- |
|
VIIIa |
Allyl |
Cyclohexyl |
14 mm |
- |
- |
|
IXa |
Butyl |
Ethyl |
14 mm |
ND |
ND |
|
IXb |
Butyl |
Benzyl |
10 mm |
ND |
ND |
|
Xb |
H |
Benzoyl |
H |
30 mm |
- |
8 mm |
XIIIa |
Butyl |
Ethyl |
H |
- |
8 mm |
- |
XIVa |
H |
Benzyl |
COOC2H5 |
13 mm |
- |
- |
XIVb |
H |
Benzoyl |
COOC2H5 |
30 mm |
12 mm |
14 mm |
XVa |
Ethyl |
Cyclohexyl |
COOC2H5 |
19 mm |
- |
9 mm |
XVc |
Ethyl |
P. methoxyphenyl |
COOC2H5 |
22 mm |
- |
11 mm |
*Presented are the mean of 3 separate experiments; Errors are in the range±10% of the reported values. Inactive: inhibition zone<5 mm; slightly active: inhibition zone = 5-10 mm; moderately active: inhibition zone = 10-15 mm; highly active: inhibition zone>15 mm, **ND; not determined, *** S. aureus: Staphylococcus aureus, B. subtilis: Bacillus subtilis, C. albicans: Candida albicans
Table 2: Comparison of the activity of the new active compounds to previously reported leads against Staphylococcus aureus
Compound number |
Zone of inhibition (mm) |
% inhibition* |
![]() |
15 mm |
71% |
![]() |
23 mm |
109% |
![]() |
18 mm |
85% |
![]() |
18 mm |
85% |
VIb (this work) |
35 mm |
166% |
Xb (this work) |
30 mm |
142% |
XIVb (this work) |
30 mm |
142% |
XVc (this work) |
22 mm |
104% |
* % Inhibition= zone of inhibition of compounds in mm/mm of tobramycin*100 [25]
Table 3: The mean* MIC (µg/ml) values of the active compounds VIb, Xb, XIVb, and XVc and the comparison of these values to the reported MIC values of compounds having similar pharmacophores
Compound number |
Minimum inhibitory concentration MIC (µg/ml) |
Tobramycin |
2 |
Novobiocin |
1 [27] |
5 |
25 [12] |
6 |
10 [13, 14] |
7 |
0.1 [15] |
VIb |
0.195* |
Xb |
0.390* |
XIVb |
0.195* |
XVc |
0.390* |
* Presented are the mean of 3 separate experiments; errors are in the range±10% of the reported values. MIC mean values for compounds with a zone of inhibition>20 mm was determined.
CONCLUSION
The novel series of 4-methylcoumarin bearing thiosemicarbazone moiety (VI-IX) and the series having thiazolidine-4-one (X-XVII) were synthesized, and their antimicrobial activity was evaluated. These novel coumarin derivatives showed potential activity against Gram-positive Staphylococcus aureus especially these with a free 7-hydroxy group (VIb, Xb, XIVb); that emphasize the importance of this position for antibacterial activity and compounds XIVa, XVa, and XVc with 5-carboxylic acid ethyl ester group on thiazolodin-4-one ring showed enhanced potency than their parent compounds. Hence, it can be concluded that these novel compounds are potential antibacterial agents better than the reference compounds and represent promising leads for further optimization and clinical studies.
CONFLICT OF INTERESTS
Declared none
REFERENCES