
1Department of Pharmaceutical Chemistry, Faculty of Pharmacy, Cairo University, Kasr El-Aini Street, Cairo 11562, Egypt, 2Department of Pharmaceutical Chemistry, Faculty of Pharmacy, Misr University for Science and Technology, 6th October City, Egypt, 3Department of Pharmaceutical Chemistry, Faculty of Pharmacy, Misr International University, Cairo, P. O. Box 1, Holiopolis, Egypt, 4Department of Pharmacology and Toxicology, National Research Centre, Dokki, Cairo, Egypt
Email: mohammed.hamed@must.edu.eg
Received: 17 Jan 2016 Revised and Accepted: 18 Feb 2016
ABSTRACT
Objective: The objective of the present study was to synthesize novel benzopyrone derivatives with potential and safer anticonvulsant activity.
Methods: New benzopyrone derivatives have been synthesized and characterized by spectral and elemental analysis. These compounds tested for anticonvulsant activity using the maximal electroshock (MES) and subcutaneous pentylenetetrazole (scPTZ) screens (phase 1), which are the most widely employed seizure models for early identification of new anticonvulsant agents. Phase 2 including, neurotoxicity screening and quantitative determination of the median effective dose (ED50), median lethal dose (LD50) and protective index (PI) for the active compounds from phase 1.
Results: Compound 12b possessed potent anticonvulsant activity with ED50 values of 94.75 and 70.7 mg/kg in the MES and scPTZ screens respectively, and had LD50 value of 2546 mg/kg after intraperitoneal injection to mice, which provide compound 12b with a wide protective index of 26.87 and 36.01 for MES and scPTZ screens respectively compared to the reference drug Phenobarbital with PI of 12.16 and 20.08, respectively. In addition, compound 12b exhibited mild neurotoxicity at the maximum administrated dose (200 mg/kg).
Conclusion: Compound 12b possessed broad spectrum activity for the treatment of all types of seizures, with a wide protective index compared to Phenobarbital. Consequently, compound 12b can be selected as a new bio candidate lead for further study.
Keywords: Benzopyrone, Succinimide, 2-Iminothiazoline, Oxazine; Anticonvulsant.
© 2016 The Authors. Published by Innovare Academic Sciences Pvt Ltd. This is an open access article under the CC BY license (http://creativecommons.org/licenses/by/4.0/)
INTRODUCTION
According to the International League Against Epilepsy (ILAE), epilepsy is defined as a brain disorder characterized by an enduring predisposition to generate epileptic seizures and by the neurobiological, cognitive, psychological and social consequences of this condition [1]. World health organization (WHO) estimated that approximately 50 million people currently live with epilepsy worldwide [2]. Many patients have seizures that are resistant to available medical therapies. Despite the introduction of new anticonvulsant drugs, all currently approved antiepileptic drugs have a dose-related toxicity and idiosyncratic side effects. As a result, intensive research efforts aim to find new, more effective and safer antiepileptic drugs.
Surveying the literature reveals that, benzopyran-2-one derivatives are promising anticonvulsant candidates. Scoparone [3], osthole [4], esuprone [5] and 7-isopentenyloxycoumarin [6] have been found to possess moderate to strong anticonvulsant properties. In addition, succinimides [7] and 2-iminothiazolines [8, 9] ring systems have shown an anticonvulsant effect in pharmacological screening. Thus, the purpose of this work was to synthesize new derivatives of 3,4-cyclopentene-8-methyl-2H-1-benzopyran-2-one 4hybridized at 7-position with succinimides 7a-c and 2-iminothiazoline 9a,b, through oxy acetamido linker (fig. 1). The anticonvulsant activity of new compounds 7a-c and 9a, b was evaluated.
Pyranobenzoxazines derivatives showed anticonvulsant activity in the preliminary pharmacological screening (fig. 2). Compounds 1 and 3 showed anticonvulsant activity against seizures induced by strychnine sulphate [10] while compound 2 showed significant anticonvulsant activity at 100 mg/kg in MES screen (50 % protection) [11].
Fig. 1: Design strategy and structures of the target compounds
Consequently, the present work deals with the synthesis of novel derivatives of aryl pyrans benzoxazines 12 a, b (Scheme 2) aiming to produce potent and selective anticonvulsant candidates.
MATERIALS AND METHODS
Chemistry
Melting points were determined by an open capillary tube method using Stuart SMP10 melting point apparatus and were uncorrected. Microanalysis was carried out at The Regional Center for Mycology and Biotechnology, Al-Azhar University. Infrared Spectra were recorded as potassium bromide discs on Shimadzu FT-IR 8400S spectrophotometer (Shimadzu, Kyoto, Japan) and expressed in wave number (KBr) (cm-1). 1H-NMRspectra were recorded in δ scale given in ppm and performed on a JEOL ECA 300, 400 MHz spectrometer using CDCl3 or DMSO as stated, using TMS as an internal standard at Cairo University.
Fig. 2: Linear and angular aryl pyranobenzoxazines with anticonvulsant activity
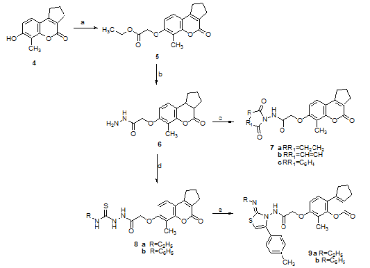
Mass spectra were performed as EI at 70eV on Hewlett Packard Varian (Varian, Polo, USA) and Shimadzu Gas Chromatograph Mass spectrometer-QP 1000 EX and TSQ quantum (Thermo Electron Corporation) instrument prepared with a triple, quadruple mass detector (Thermo Finnigan) and an ESI source. TLC was carried out using Macherey-Nagel AlugramSil G/UV254 silica gel plates with fluorescent indicator UV254 and chloroform/methanol 9.5:0.5 as the eluting system and the spots were visualized at 366, 254 nm by UV Vilber Lourmat 77202 (Vilber, Marne La Vallee, France). Compounds 4 and 5 were prepared according to reported procedure [12, 13].
General procedure for the synthesis of (3,4-cyclopentene-8-methyl-2-oxo-2H-1-benzopyran-7-yloxy) acetic acid hydrazide (6)
A solution of compound 5 (3.02 g, 0.01 mol) and hydrazine hydrate 99 % (1.00 g, 0.98 ml, 0.02 mol) in absolute ethanol (10 ml) was refluxed for 2 h. The reaction mixture was cooled and the precipitate 6 was filtered and dried (yield 87 %). The product was crystallized from 10 % acetic acid, mp above 300 °C. 1H-NMR (300 MHz)(DMSO-d6) δ: 2.08-2.13 (m, 2H, CH2 cyclopentene), 2.28 (s, 3H, CH3), 2.74 (t, 2H, J=7.1 Hz, CH2 cyclopentene), 3.05 (t, 2H, J=7.2 Hz, CH2 cyclopentene), 4.32 (s, 2H, NH2), 4.78 (s, 2H, OCH2), 6.99 (d, 1H, J=8.4 Hz, H-6 Ar), 7.41 (d, 1H, J=8.1 Hz, H-5 Ar), 10.21 (s, 1H, NH). IR (KBr) cm-1: 3460, 3417 (NH, NH2), 3045 (CH Ar), 2960, 2920 (CH aliphatic), 1728, 1689 (2 C=O), 1651, 1629, 1606, 1577 (NH, C=C). MS m/z: 288 (M+), 0.78 %. Anal. Calcd for C15H16N2O4; C, 62.49; H, 5.59; N, 9.72. Found: C, 62.63; H, 5.64; N, 9.87.
General procedure for the synthesis of compounds 7a-c
To a solution of the acid hydrazide derivative 6 (2.88 g, 0.01 mol) in glacial acetic acid (15 ml), cyclic acid anhydrides (0.01 mol), namely, succinic, maleic and phthalic anhydride, was added and the mixture was heated under reflux for 9 h. The solvent was concentrated then the mixture was poured onto ice-water, the precipitated product was filtered, dried and crystallized from isopropanol.
2-[(3,4-Cyclopentene-8-methyl-2-oxo-2H-1-benzopyran-7-yl)oxy]-N-(2,5-dioxopyrrolidin-1-yl) acetamide (7a)
Yield 76 %, mp 283-286 °C.1H-NMR (300 MHz) (DMSO-d6) δ: 2.08-2.20 (m, 2H, CH2 cyclopentene), 2.29 (s, 3H, CH3), 2.74 (t, 2H, J=7.2 Hz, CH2 cyclopentene), 2.80 (s, 4H, 2CH2 pyrrolidine), 3.06 (t, 2H, J=6.8 Hz, CH2 cyclopentene), 4.91 (s, 2H, OCH2), 7.02 (d, 1H, J=8.7 Hz, H-6 Ar), 7.43 (d, 1H, J=8.7 Hz, H-5 Ar), 10.69 (s, 1H, NH, D2O exchangable). IR (KBr) cm-1: 3344 (NH), 3095 (CH Ar), 2958, 2914 (CH aliphatic), 1735, 1722, 1707 (4 C=O), 1649, 1629, 1608, 1577 (NH, C=C). MS m/z: 370 (M+), 2.17 %. Anal. Calcd for C19H18N2O6; C, 61.62; H, 4.90; N, 7.56. Found: C, 61.84; H, 4.94; N, 7.67.
2-[(3,4-Cyclopentene-8-methyl-2-oxo-2H-1-benzopyran-7-yl)oxy]-N-(2,5-dioxo-2,5-dihydro-1H-pyrrol-1-yl) acetamide (7b)
Yield 79 %, mp 245-247 °C.1H-NMR (300 MHz) (DMSO-d6) δ: 2.09-2.16 (m, 2H, CH2 cyclopentene), 2.30 (s, 3H, CH3), 2.75 (t, 2H, J=6.8 Hz, CH2 cyclopentene), 3.06 (t, 2H, J=7.1 Hz, CH2 cyclopentene), 4.93 (s, 2H, OCH2), 7.01 (d, 1H, J=8.7 Hz, H-6 Ar), 7.20 (s, 2H, CH=CH pyrrole), 7.44 (d, 1H, J=8.7 Hz, H-5 Ar), 10.66 (s, 1H, NH, D2O exchangable). IR (KBr) cm-1: 3344 (NH), 3076 (CH Ar), 2958, 2929 (CH aliphatic), 1730, 1725, 1705 (4 C=O), 1631, 1610, 1575, 1550 (NH, C=C). MS m/z: 368 (M+), 8.05 %. Anal. Calcd for C19H16N2O6; C, 61.95; H, 4.38; N, 7.61. Found: C, 62.12; H, 4.45; N, 7.74.
2-[(3,4-Cyclopentene-8-methyl-2-oxo-2H-1-benzopyran-7-yl) oxy]-N-(1,3-dioxoisoindolin-2-yl) acetamide (7c)
Yield 81 %, mp 290-291 °C.1H-NMR (300 MHz) (DMSO-d6) δ: 2.09-2.14 (m, 2H, CH2 cyclopentene), 2.32 (s, 3H, CH3), 2.75 (t, 2H, J=7.4 Hz, CH2 cyclopentene), 3.07 (t, 2H, J=7.4 Hz, CH2 cyclopentene), 5.00 (s, 2H, OCH2), 7.06 (d, 1H, J=9 Hz, H-6 Ar), 7.46 (d, 1H, J=8.7 Hz, H-5 Ar), 7.93-8.00 (m, 4H, Ar-H), 10.92 (s, 1H, NH, D2O exchangable). IR (KBr) cm-1: 3363 (NH), 3095, 3066 (CH Ar), 2968, 2958 (CH aliphatic), 1788, 1735, 1712, 1678 (4 C=O), 1649, 1631, 1610, 1577 (NH, C=C). MS m/z: 418 (M+), 35.15 %. Anal. Calcd for C23H18N2O6; C, 66.40; H, 4.34; N, 6.70. Found: C, 66.17; H, 4.36; N, 6.82.
General procedure for the synthesis of compounds (8a, b)
To a solution of the acid hydrazide derivative 6 (2.88 g, 0.01 mol) in absolute ethanol (40 ml), the appropriately substituted isothiocyanate (0.01 mol) was added and the mixture was refluxed while stirring for 12 h. the separated solid was filtered, washed with ether and dried. The crude product was crystallized from ethanol.
1-(3,4-Cyclopentene-8-methyl-2-oxo-2H-1-benzopyran-7-yloxy)acetyl-4-ethyl thiosemicarbazide (8a)
Yield 80 %, mp 211-212 °C. 1H-NMR (300 MHz) (DMSO-d6) δ: 1.07 (t, 3H, J=7.2 Hz, CH2CH3), 2.08-2.13 (m, 2H, CH2 cyclopentene), 2.29 (s, 3H, CH3), 2.74 (t, 2H, J=7.2 Hz, CH2 cyclopentene), 3.05 (t, 2H, J=6.9 Hz, CH2 cyclopentene), 3.46 (q, 2H, J=6.6 Hz, CH2CH3), 4.74 (s, 2H, OCH2), 6.99 (d, 1H, J=8.4 Hz, H-6 Ar), 7.41 (d, 1H, J=8.7 Hz, H-5 Ar), 7.96 (s, 1H, NH, exchanged with D2O), 9.20 (s, 1H, NH, exchanged with D2O), 9.96 (s, 1H, NH, exchanged with D2O). IR (KBr) cm-1: 3416, 3324, 3238 (3 NH), 3065 (CH Ar), 2965, 2925 (CH aliphatic), 1713, 1666 (2 C=O), 1607, 1574, 1539 (NH, C=C), 1264 (C=S). MS m/z: 375 (M+), 0.45 %. Anal. Calcd for C18H21N3O4S; C, 57.58; H, 5.64; N, 11.19. Found: C, 57.76; H, 5.71; N, 11.34.
1-(3,4-Cyclopentene-8-methyl-2-oxo-2H-1-benzopyran-7-yloxy)acetyl-4-phenyl thiosemicarbazide (8b)
Yield 85 %, mp 255-256 °C. 1H-NMR (300 MHz) (DMSO-d6) δ: 2.05-2.12 (m, 2H, CH2 cyclopentene), 2.27 (s, 3H, CH3), 2.70 (t, 2H, J=7.2 Hz, CH2 cyclopentene), 2.99 (t, 2H, J=7.8 Hz, CH2 cyclopentene), 4.78 (s, 2H, OCH2), 5.17 (s, 2H, 2NH), 6.98 (d, 1H, J=8.4 Hz, H-6 Ar), 6.99 (d, 1H, J=8.7 Hz, H-5 Ar), 7.32-7.53 (m, 5H, Ar-H), 10.21 (s, 1H, NH). IR (KBr) cm-1: 3446, 3417, 3147 (3 NH), 3037 (CH Ar), 2920 (CH aliphatic), 1726, 1674 (2 C=O), 1651, 1606, 1606, 1571 (NH, C=C), 1282 (C=S). MS m/z: 423 (M+), 0.58 %. Anal. Calcd for C22H21N3O4S; C, 62.40; H, 5.00; N, 9.92. Found: C, 62.57; H, 5.13; N, 9.97.
General procedure for the synthesis of compounds (9a,b)
A mixture of acyl thiosemicarbazide derivative 8a,b (1 mmol) and methyl phenacyl bromide (0.32 g, 1.5 mmol) and anhydrous sodium acetate (0.1 g, 1.2 mmol) in absolute ethanol (10 ml) was refluxed for 24 h. The solvent was distilled under vacuum, and the residue was extracted with chloroform. The extract was washed with water, filtered over anhydrous sodium sulfate and evaporated under vacuum. The solid obtained was crystallized from glacial acetic acid.
N-[2-Ethylimino-4-(4-methylphenyl)thiazol-2H-3-yl]-2-(3,4-cyclopentene-8-methyl-2-oxo-2H-1-benzopyran-7-yloxy) acetamide (9a)
Yield 67 %, mp 219-221 °C. 1H-NMR (300 MHz) (CDCl3) δ: 1.32 (t, 3H, J=7.2 Hz, CH2CH3), 2.13-2.23 (m, 2H, CH2 cyclopentene), 2.30 (s, 3H, CH3 at C8), 2.41 (s, 3H, CH3 at C4′), 2.88 (t, 2H, J=7.4 Hz, CH2 cyclopentene), 3.02 (t, 2H, J=7.8 Hz, CH2 cyclopentene), 4.08 (q, 2H, J=7.2 Hz, CH2CH3), 5.31 (s, 2H, OCH2), 7.05-7.08 (m, 3H, H-3′,5′ Ar and C5-H thiazoline), 7.23-7.27 (m, 2H, H-5 and H-6 Ar), 7.96 (d, 2H, J=8.1 Hz, H-2′,6′ Ar), 10.11 (s, 1H, NH, D2O exchangable). IR (KBr) cm-1: 3446 (NH), 3064, 3032 (CH Ar), 2983, 2968 (CH aliphatic), 1705, 1680 (2 C=O), 1610, 1606, 1573, 1550 (C=N, NH, C=C). MS m/z: 489(M+), 1.00 %. Anal. Calcd for C27H27N3O4S; C, 66.24; H, 5.56; N, 8.58. Found: C, 66.43; H, 5.62; N, 8.67.
N-[4-(4-Methylphenyl)-2-phenyliminothiazol-2H-3-yl]-2-(3,4-cyclopentene-8-methyl-2-oxo-2H-1-benzopyran-7-yloxy) acetamide (9b)
Yield 71 %, mp 219-221 °C. 1H-NMR (300 MHz) (DMSO-d6) δ: 2.07-2.12 (m, 2H, CH2 cyclopentene), 2.26 (s, 3H, CH3 at C8), 2.40 (s, 3H, CH3 at C4′), 2.74 (t, 2H, J=7.2 Hz, CH2 cyclopentene), 3.04 (t, 2H, J=7.4 Hz, CH2 cyclopentene), 5.34 (s, 2H, OCH2), 6.98 (d, 1H, J=8.7 Hz, H-6 Ar), 7.02 (s, 1H, C5-H thiazoline), 7.29-7.99 (m, 10H, H-5 Ar, Ar-H), 9.77 (s, 1H, NH, D2O exchangable). IR (KBr) cm-1: 3444 (NH), 3053, 3026 (CH Ar), 2960, 2933 (CH aliphatic), 1693, 1680 (2 C=O), 1610, 1600, 1571, 1560 (C=N, NH, C=C). MS m/z: 537(M+), 0.83 %. Anal. Calcd for C31H27N3O4S; C, 69.25; H, 5.06; N, 7.82. Found: C, 69.42; H, 5.17; N, 7.98.
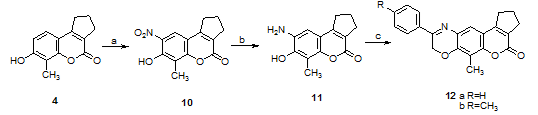
Synthesis of 3,4-cyclopentene-7-hydroxy-8-methyl-6-nitro-2H-1-benzopyran-2-one (1)
A solution of nitric acid (6.3 ml, 0.1 mol) in sulfuric acid (6.5 ml) was added to a stirred solution of compound 4 (21.6 g, 0.1 mol) in sulfuric acid (38.6 ml) at such a rate as to keep the temperature below 5 (ice-salt bath cooling). The reaction mixture was poured into a stirred ice-water mixture, and a yellow precipitate was collected by filtration and dried to yield 24.0 g (92 %). The product was crystallized from ethanol, mp 194-195 °C. 1H-NMR (300 MHz)(DMSO-d6) δ: 2.06-2.16 (m, 2H, CH2 cyclopentene), 2.25 (s, 3H, CH3), 2.76 (t, 2H, J=7.1 Hz, CH2 cyclopentene), 3.08 (t, 2H, J=7.2 Hz, CH2 cyclopentene), 8.05 (s, 1H, H-5 Ar), 10.94 (s, 1H, OH, exchanged with D2O). IR (KBr) cm-1: 3210 (OH), 3078 (CH Ar), 2957, 2854 (CH aliphatic), 1737 (C=O), 1620 (C=C), 1530, 1380 (NO2). MS m/z: 261 (M+), 100 %. Anal. Calcd for C13H11NO5; C, 59.77; H, 4.24; N, 5.36. Found: C, 59.89; H, 4.31; N, 5.42.
Synthesis of 6-amino-3, 4-cyclopentene-7-hydroxy-8-methyl-2H-1-benzopyran-2-one (11)A solution of sodium dithionite (7 g, 0.04 mol) in water (30 ml) was quickly added to a solution of the nitro compound 10 (2.61 g, 0.01 mol) in 30 % ammonium hydroxide solution (20 ml) and the reaction mixture was refluxed for 15 min. After cooling, the crude product was filtered off, washed and dried to yield 1.73 g (75 %). The product was crystallized from isopropanol, mp 222-223 °C. 1H-NMR (300 MHz)(DMSO-d6) δ: 2.02-2.12 (m, 2H, CH2 cyclopentene), 2.20 (s, 3H, CH3), 2.69 (t, 2H, J=7.1 Hz, CH2 cyclopentene), 2.94 (t, 2H, J=7.4 Hz, CH2 cyclopentene), 6.16 (s, 2H, NH2, exchanged with D2O), 6.60 (s, 1H, H-5 Ar), 10.20 (s, 1H, OH, exchanged with D2O). IR (KBr) cm-1: 3375, 3315 (NH2), 3238 (OH), 2957 (CH aliphatic), 1664 (C=O), 1577, 1503 (NH, C=C). MS m/z: 231 (M+), 100 %. Anal. Calcd for C13H13NO3; C, 67.52; H, 5.67; N, 6.06. Found: C, 67.76; H, 5.74; N, 6.19.
General procedure for the synthesis of compounds (12a, b)
To a solution of the amino derivative 11 (2.31 g, 0.01 mol) and sodium ethoxide (0.01 mol) in absolute ethanol (50 ml), the appropriate phenacyl bromide derivative (0.015 mol) was added and the solution was heated under reflux for 2 h. The reaction mixture was filtered, and the filtrate was concentrated then left to cool. The formed precipitate was filtered, washed, and dried. The crude product was crystallized from isopropanol.
6,7-Cyclopentene-10-methyl-3-phenyl-2,8-dihydropyrano[5,6-g]-1,4-benzoxazin-8-one (12a)
Yield 75 %, mp 230-231 °C. 1H-NMR (400 MHz) (CDCl3) δ: 2.15-2.25 (m, 2H, CH2 cyclopentene), 2.39 (s, 3H, CH3), 2.84 (t, 2H, J=9.3 Hz, CH2 cyclopentene), 3.09 (t, 2H, J=9.3 Hz, CH2 cyclopentene), 5.22 (s, 2H, CH2 oxazine), 7.35 (s, 1H, H-5 Ar), 7.50 (d, 2H, J=6 Hz, H-2′,6′ Ar), 7.78 (t, 1H, J=3.2 Hz, H-4′ Ar), 7.95 (d, 2H, J=6 Hz, H-3′,5′ Ar). IR (KBr) cm-1: 3058 (CH Ar), 2922, 2857 (CH aliphatic), 1716 (C=O), 1621, 1571 (C=N, C=C). MS m/z: 331 (M+), 64.07 %. Anal. Calcd for C21H17NO3; C, 76.12; H, 5.17; N, 4.23. Found: C, 76.29; H, 5.21; N, 4.29.
6,7-Cyclopentene-10-methyl-3-(4-methylphenyl)-2,8-dihydro-pyrano-[5,6-g]-1,4-benzoxazin-8-one (12b)
Yield 83 %, mp 210-211 °C. 1H-NMR (300 MHz) (CDCl3) δ: 2.19-2.26 (m, 2H, CH2 cyclopentene), 2.34 (s, 3H, CH3), 2.43 (s, 3H, CH3), 2.92 (t, 2H, J=7.1 Hz, CH2 cyclopentene), 3.07 (t, 2H, J=7.1 Hz, CH2 cyclopentene), 5.16 (s, 2H, CH2 oxazine), 7.30 (d, 2H, J=8.1 Hz, H-3′,5′ Ar), 7.35 (s, 1H, H-5 Ar), 7.81 (d, 2H, J=7.8 Hz, H-2′,6′ Ar). IR (KBr) cm-1: 3050 (CH Ar), 2922 (CH aliphatic), 1715 (C=O), 1610 (C=N, C=C). MS m/z: 345 (M+), 100 %. Anal. Calcd for C22H19NO3; C, 76.50; H, 5.54; N, 4.06. Found: C, 76.68; H, 5.61; N, 4.17.
Anticonvulsant screening
All the compounds prepared herein were evaluated for their potential in vivo anticonvulsant activity against scPTZ and MES-induced seizures in mice. The tested compounds were suspended in water and 1 % Tween 80 and administered to animals at a dose of 100 mg/kg ip. Standard drug used was Phenobarbital sodium at the dose of 30 mg/kg.
Adult albino mice weighing 20–25 g of both sexes (obtained from the animal house colony in the National Research) were used throughout this study. Animals were housed in groups of 6 and were allowed free access to food pellets (vit mix 1 %, mineral mix 4 %, corn oil 10 %, sucrose 20 %, cellulose 0.2 %, casein (95 %pure) 10.5 %, starch 54.3 %) and water except for the short time that animals were removed from their cages for testing. All behavioral experiments were conducted during the period between 10:00 and 13:00 with normal room light (12 h regular light/dark cycle) and temperature (22±18 OC). All Procedures involving animals and their care were performed after the Ethics Committee of the National Research Centre and in accordance with the recommendations for the proper care and use of laboratory animals, “Canadian Council on Animal Care Guidelines, 1984”. Additionally, all efforts were made to minimize animals suffering and to use only the number of animals necessary to produce reliable data.
Subcutaneous pentylenetetrazole (scPTZ)-induced seizures test
The tested compounds or the reference drug were given ip. to groups of 6 mice. Another group of 6 mice serves as a control. Sixty min after intraperitoneal administration, a dose of 85 mg/kg pentylenetetrazol (PTZ) was injected subcutaneously in a loose fold of skin on the back of the neck. Each animal is placed into an individual plastic cage for observation lasting 30 min. The incidence of tonic-clonic convulsions lasting for at least 5 seconds was recorded [14, 15]. Animal devoid of generalized convulsions were considered to be protected, and the results were represented as percentage protection, table 1. Besides that, the onset and duration of seizures were recorded, and statistics was done using chi-squared test with the aid of Graph pad Prism software, version 6 (inc., San Diego, USA).
Maximal electroshock seizure (MES) test
The procedure was carried out as described by Krall et al., [16] and Kitano et al., [17]. Electroshock was applied via ear-lip electrodes and generated by a stimulator (deliver an alternating 60 HZ current by Ugo Basile ECT Unit (Pulse generator 57800-001), the stimulus duration was 2.5 seconds, and the end point was tonic hind limb extension [18]. The maximum electroshock was determined. The drugs were administered orally 60 min before the test. The control animals were administered the vehicle. The mean threshold current for electroshock-induced tonic hind limb extensor seizure was calculated for each drug. The maximal seizures typically consist of a short period of initial tonic flexion and a prolonged period of tonic extension (especially of the hind limbs) followed by terminal clonus. The typical seizure lasts approximately 22 seconds failure to extend the hind limbs to an angle with trunk greater than 90o is defined as protection, table 1. The mean convulsion threshold of compounds under investigation as well as the standard error was calculated using chi-squared test with the aid of Graph pad Prism software, version 6 (inc., San Diego, USA).
Quantitative studies (phase 2)
The most potent anticonvulsant compound 12b, from phase 1, were subjected to phase 2, which include neurotoxicity screen and quantitative determination of median effective dose (ED50), median lethal dose (LD50) and protective index (PI), as shown in table 3.
Determination of the median effective dose (ED50)
Anticonvulsant activity was expressed in terms of the median effective dose (ED50), that is, the dose of drug required to produce the biological responses in 50 % of animals [19]. Compound 12b, that gave the highest protection at a dose of 100 mg/kg were studied at different doses (50, 100 and 200 mg/kg) to calculate the ED50 which was determined by log-linear regression analysis from the dose response curves to compare with ED50 of the reference drug Phenobarbital (10, 20 and 30 mg/kg), table 3.
Determination of the neurotoxicity (Rotarod test)
The neurotoxicity was assessed by rotarod test [20]. Prior to the experimental, male albino mice were placed on 3-centimeter rod (Ugo-Basile Accele. ROTA-ROD for mice, 7650) rotating at 6 rpm, in two training sessions that last 10 and 15 min respectively. The candidate under investigation was injected ip. (200 mg/kg in 1 % Tween 80), while Phenobarbital tested at 30 mg/kg. One hour later, the animals were again tested on the rotarod to assess the locomotor coordination and neurological deficit (e. g. ataxia, sedation, hyper-excitability), which are reflected by the inability of the animal to maintain equilibrium on the rod after the administration of the selected candidate, table 3. The end point for minimal neurotoxicity assessment was reflected by the inability of mice to maintain their equilibrium on accelerating rotarod in each of the five trials.
Determination of the median lethal dose (LD50)
Male albino mice weight 20-25 g was divided into groups each of 8 animals. Preliminary experiments were done to determine the minimal dose that kills all animals (LD100), and the maximal dose that fails to kill any animal. Several doses at equal logarithmic intervals were chosen in between these two doses, each dose was injected in a group of eight animals, the number of dead animals in each group after 24 h was recorded and LD50 was calculated according to the following formula using Spearman Karber method [21-23], Table 4.
M = Xk+1/2 d–dr/N
M = Log LD50, Xk = Log dose causing 100 % mortality, D = Logarithmic interval of doses, R = Sum of the number of dead animals at each of the individual dose levels, N = Number of animals at each of the dose level.
RESULTS AND DISCUSSION
Chemistry
The general methods for the synthesis of target compounds 7a-c-9a,b, and 12a,b are depicted in Schemes 1-2. The key intermediate 6 was synthesized from 3, 4-cyclopentene-7-hydroxy-8-methyl-2H-1-benzopyran-2-one 4 through etherification with ethyl chloroacetate to give the ether derivative5, followed by hydrazinolysis.
The target imides 7a-c was obtained by condensation of the acid hydrazide 6 with the appropriate acid anhydrides, succinic, maleic and phthalic anhydride in glacial acetic acid, respectively. Acyl thiosemicarbazides 8a, b were prepared by refluxing solution of the acid hydrazide 6 in absolute ethanol with different isothiocyanates. While, 2-iminothiazoline derivatives 9a, b were prepared by refluxing acylthiosemicarbazides8a,b with methyl phenacyl bromide and anhydrous sodium acetate in absolute ethanol.
The typical method for nitration of 3, 4-cyclopentene-7-hydroxy-8-methyl-2H-1-benzopyran-2-one 4 involves the use of nitric acid and sulfuric acid, so-called ''mixed acid''. Sulfuric acid acts as a catalyst as well as an absorbent for water. 6-Nitrobenzopyran-2-one 10 was reduced to the corresponding amino compound 11 using sodium dithionite in ammonia for 15 min. Pyranobenzoxazin-8-one derivatives 12a,b were synthesized in good yield by reaction of the amino compound 11 with the appropriate phenacyl bromide derivatives in the presence of absolute ethanol and sodium ethoxide. Both the analytical and spectral data (IR, 1H-NMR, MS) of all the newly synthesized compounds were in full agreement with the proposed structures.
Scheme 1 : Reagents and conditions: (a) ethyl acetoacetate, dry acetone, reflux; (b) hydrazine hydrate 99 %, absolute ethanol, reflux; (c) acid anhydrides, glacial acetic acid, reflux; (d) isothiocyanates, absolute ethanol, reflux; (e) methylphenacyl bromide, anhydrous sodium acetate, absolute ethanol, reflux
Scheme 2 : Reagents and conditions: (a) HNO3/H2SO4; (b) NaS2O4; (c) phenacyl bromide derivatives, sodium ethoxide, absolute ethanol, reflux
Biological evaluation
Preliminary anticonvulsant screening (phase 1)
The initial evaluation (phase 1) of anticonvulsant activity of the synthesized compounds included the maximal electroshock seizure (MES) and subcutaneous pentylenetetrazole (scPTZ) screens, which are the most widely employed seizure models for early identification of new anticonvulsant drugs. scPTZ test represents a valid model for generalized myoclonic seizures and also generalized seizures of the absence (petit mal) type and identify compounds that elevate seizure threshold [24]. On the other hand, the MES test is considered to be a predictor of likely therapeutic efficacy against generalized tonic-clonic seizures and identify clinical candidates that prevent seizure spread [25]. In the preliminary evaluation, the anticonvulsant activity was estimated at a dose of 100 mg/kg and the results are summarized in table 1.
The results of MES screen revealed that:
- Cyclization of the flexible thiosemicarbazide derivatives 7a,b into 2-iminothiazoline derivatives 8a,b, exhibited non-significant anticonvulsant activity. In addition cyclic imides 6a-c didn’t show activity. - Alkylation, the aryl group of pyranobenzoxazin-8-one 12b, gave potent anticonvulsant activity than the unsubstituted derivative 12a, which showed no significant activity, table 1. In addition, compound 12b showed potent significantly anticonvulsant activity in both MES and scPTZ screens compared to the previously reported linear pyrano-benzoxazine derivative 1 due to alkylation of the aryl group. Also, compound 12b showed promising activity than angular pyrano-benzoxazine derivative 2, table 2.Concerning scPTZ screen, three parameters were considered, percentage protection for animals devoid of generalized seizures, beside that the onset and duration of clonic seizures were recorded for the unprotected animals. Compound 12b exhibited promising anticonvulsant activity (66.67 % protection). Moreover, compound 12b delay the onset and decrease the time of clonic convulsion for the unprotected animals.
Quantitative studies (phase 2)
Based on the previous results from the preliminary study, compound 12b was selected for quantification of the pharmacological parameters, median effective dose (ED50), median lethal dose (LD50) and protective index (PI). Results of the quantitative and neurotoxicity screens, along with the data on the Phenobarbital, are reported in table 3.
Compound 12b possessed broad spectrum activity with ED50 values of 94.75 and 70.7 mg/kg in the MES and scPTZ screens respectively, and had LD50 value of 2546 mg/kg after intraperitoneal injection to mice, which provide compound 12b with a wide protective index of 26.87 and 36.01 for MES and scPTZ screens respectively compared to Phenobarbital with PI of 12.16 and 20.08, respectively. In addition, compound 12b showed mild motor impairment at the maximum administrated dose (200 mg/kg).
Table 1: Anticonvulsant activity of compounds using maximal electroshocks (MES) and subcutaneous pentylenetetrazole(scPTZ)-induced convulsion in mice
Compound number |
MES |
scPTZ |
|||
Mean convulsion threshold (Am±S. E)* |
% Potency** |
% Protection*** |
Mean onset of clonic convulsion (min.)* |
Mean duration of clonic convulsion* (sec.) |
|
control |
3.2±0.37 |
43.2 |
0 |
2.8±0.84 |
36±0.052 |
Phenobarbital |
7.4±0.40a |
----- |
83.3 |
8.4±0.19a |
3.6±0.028a |
7a |
3.2±0.20b |
43.2 |
0 |
3.0±0.45b |
31.2±0.040b |
7b |
3.8±0.37b |
51.4 |
0 |
3.4±0.49b |
30±0.028b |
7c |
3.3±0.21b |
44.6 |
0 |
2.9±0.67b |
28.8±0.036b |
8a |
3.2±0.20b |
43.2 |
0 |
3.1±0.50b |
29.4±0.042b |
8b |
3.4±0.24b |
45.9 |
0 |
2.7±0.42b |
30.6±0.032b |
9a |
3.6±0.24b |
48.6 |
16.67 |
3.1±0.42b |
30.6±0.032b |
9b |
3.4±0.40b |
45.9 |
16.67 |
2.8±0.46b |
31.8±0.040b |
12a |
3.2±0.20b |
43.2 |
0 |
3.2±0.52b |
31.8±0.041b |
12b |
6.0±0.68a |
81.1 |
66.67 |
10.2±0.85a |
±0.028a |
* Values represent the mean±standard error of 6 animals for each group, (a) Values are statistically significant (p<0.05) from the control group by using one-way ANOVA (followed by Tukey’s Multiple Comparison tests)., (b) Values are statistically non-significant (p<0.05) from the Phenobarbital group., ** %Potency ( %potency from Phenobarbital)., *** %Protection (number of animals devoid of convulsion/number of animals used).
Table 2: Comparison of the activity of the new active compound 12b to previously reported leads using maximal electroshock (MES) and subcutaneous pentylenetetrazole (scPTZ) screens
Compound number |
MES %protection |
scPTZ %protection |
1[10] |
--- |
--- |
2[11] |
50 |
--- |
12b (this work) |
81 |
66.7 |
Table 3: Quantitative studies for anticonvulsant activity (test drug administered ip.)
PI |
LD50 mg/kg (mmol/kg) |
Neurotoxicity Stability time (Ratio) |
ED50 |
Compound number |
||
scPTZ |
MES |
scPTZ mg/kg (mmol/kg) |
MES mg/kg (mmol/kg) |
|||
36.01 |
26.87 |
2546 (7.37) |
4.783±0.1797 (2/6) |
70.7 (0.21) |
94.75 (0.27) |
12b |
20.08 |
12.16 |
265 (1.14) |
4.167±0.5426 (1/6) |
13.2a (0.057) |
21.8a (0.09) |
Phenobarbital |
Median effective dose (ED50) determined in maximal electroshock (MES) and subcutaneous pentylenetetrazole (scPTZ) screens.
Values in neurotoxicity screen represent stability time/min, the mean±standard error of 6 animals for each group; statistics was done by one-way ANOVA. (Ratio=animals exhibited neurotoxicity/protected animals). Protective index (PI) = [median lethal dose (LD50)/median effective dose (ED50)]. (a) Data from reference [26].
Table 4: Median lethal dose (LD50) for the selected active compound 12b and phenobarbital using Spearman Karber method [21-23]
Compound number |
Log dose |
Dose |
mice |
Compound number |
Log dose |
Dose |
mice |
12b |
3.30 |
1995 |
0/8 |
Phenobarbital |
2.27 |
186 |
0/8 |
3.35 |
2238 |
2/8 |
2.32 |
209 |
1/8 |
||
3.40 |
2500 |
4/8 |
2.37 |
234 |
2/8 |
||
3.45 |
2818 |
5/8 |
2.42 |
263 |
4/8 |
||
3.50 |
3160 |
8/8 |
2.47 |
295 |
5/8 |
||
M=3.50+(0.5*0.05)-((0.05*19)/8)= 3.406 LD50 of 12b = antilog of M = 2546 mg/kg |
2.52 |
333 |
8/8 |
||||
M=2.52+(0.5*0.05)-((0.05*20)/8)= 2.42 LD50 of Phenobarbital = antilog of M = 265 mg/kg |
|||||||
CONCLUSION
In summary, Compound 12b possessed broad spectrum activity for treatment of all types of seizures induced by MES and scPTZ, with ED50 values of 94.75 and 70.7 mg/kg respectively, and had LD50 value of 2546 mg/kg after intraperitoneal injection to mice, which provide compound 12b with a wide protective index of 26.87 and 36.01 for MES and scPTZ screens respectively compared to Phenobarbital with PI of 12.16 and 20.08, respectively. In addition, compound 12b exhibited mild neurotoxicity at the maximum administrated dose (200 mg/kg). Consequently, compound 12b can be selected as a new bio candidate lead for further study.
CONFLICT OF INTERESTS
Declare none
REFERENCES