
1Quality Control Microbiology, Strides Shasun LTD, Cuddalore 607002, 2Department of Microbiology, Kakatiya University, Warangal 506009
Email: mascharya@gmail.com
Received: 29 Jan 2016 Revised and Accepted: 08 Apr 2016
ABSTRACT
Objective: The aim of the present study is to predict the interaction between selected ligand and different types of inflammatory and cancer target proteins.
Methods: In silico study of protein-ligand interaction involves molecular docking, where the binding energy and geometry of ligands, substrates or possible drug candidates to target proteins is predicted by using computational chemistry methods.
Results: A highest binding energy of-4.35 kcal/mol at 10th run was observed with C15H24O11 compound from dried stem methanolic extract on Nyctanthes arbor-tristis against 1JNX receptor protein. 4.37 kcal/mol at 10th run was observed with C21H14O4 compound from dried fruit methanolic extract against 1CX2. 2ITO lung cancer protein with ligand from dried fruit methanolic showed a highest binding energy of-6.77 kcal/mol at 10th run with different bond interactions. Among all the drugs 2ITO showed its effectiveness in binding with selected cancer target proteins.
Conclusion: The results reveal in silico study support the interaction of protein-ligand that is binding and interaction of ligands from N. arbor-tristis with inflammatory and cancer targets in molecular docking studies.
Keywords: Molecular Docking Studies, Nyctanthes arbor-tristis, Glycosides and Phenols, Methonolic extracts
© 2016 The Authors. Published by Innovare Academic Sciences Pvt Ltd. This is an open access article under the CC BY license (http://creativecommons.org/licenses/by/4.0/)
INTRODUCTION
Computational methods are useful to identify the structural disease mechanisms and helps in designing the drugs that disrupt pathogenesis. The tool that is used to predict the structure of protein-protein interfaces is known as protein docking. Among the biological macromolecules, proteins are one among them responsible for various biochemical reactions with their structure, signaling and catalyzing reactions. Adopting the free-energy confirmation at lowest level through the amino acid polymer after translation is called protein folding. Various molecular forces such as Vander Waals, electrostatics, and hydrogen-bonding energies are responsible for the confirmation.
Nowadays modern drug designing helps in designing the potent inhibitors [1], hence, the present study was carried to evaluate the selected ligand interaction with various inflammatory and cancer target proteins.
The most common type of diagnosed and hereditary cancer is breast cancer, a second major cause among women that even leads to death [2]. Homo sapiens are the biological sources of 1JNX and 2ITO receptor proteins. 1JNX is a Type 1 susceptibility Protein whereas 2ITO is an Epidermal Growth Factor Receptor (EGFR) [3, 4]. The pharmacological targets of NSAIDs are cyclooxygenase enzymes (COX). The addition of two oxygen molecules to arachidonic acid by COX with a set of reactions develops inflammation. The enzyme survives in two isoforms, among which COX-2 (1CX2) [5] helps in prostaglandin production in inflammatory diseases. Only 60% of the homology will be observed between two isoforms: COX1 and COX2. From a variety of species such as rat, sheep, and humans COX2 will be cloned. The molecular weight of COX2 is 72 kDa. Several growth factors, cytokines, and endotoxins (bacteria) will regulate the expression of COX-2. The iridoid glucosides from Nyctanthes arbor-tristis andidentified the increased reactive oxygen species and cellular redox homeostasis imbalance in Leishmania parasite [6]. The molecular modeling and network-based approach in explaining the medicinal properties of Nyctanthes arbor-tristis, Lippia nodifera for Rheumotoid arthritis [7] were well established. However, in view of diversified phytochemicals in different parts of the plants, their extensive studies are required to understand their characteristics and bio-prospects. Many more such investigations are needed to specify the nature and properties of ligands existing in various parts of the plants and add them to the list of chemicals useful for the development of drugs to treat inflammatory and cancer-related ailments.
MATERIALS AND METHODS
Preparation of protein structure
Using X-ray diffraction method the structures are determined and the crystal structure of receptors such as anti-inflammatory COX-2 protein (PDB ID: 1CX2), breast cancer protein (PDB ID: 1JNX) and lung cancer protein (PDB ID: 2ITO) are retrieved from the RCSB protein data bank. In the final stage, all the water molecules were removed, and hydrogen atoms were added to the target protein molecule.
Preparation of ligand structure
The advanced Java based chemical editor used in this study for drawing the chemical structures is Marvin Sketch. It supports various file types such as MOL, MOL2, SDF, SMILES, MRV, InChi, CML and PDB. Using this, the ligand generation and three-dimensional optimizations were done and saved in. mol file. Ligand geometry optimizations were performed by Autodock 4.0 software using Force-Field (FF) based scoring functions.
The protein-fixed, ligand-flexible docking calculations were performed using Autodock 4.0. It describes the target protein by docking the ligand to a set of grids. The end docking results were obtained by pre-calculating these grids by an auto grid.
Protein-ligand interaction using auto dock 4.0
Proteins such as 1CX2, 1JNX, 2ITO were docked against the obtained three ligands using Autodock 4.0 to find and explored the protein ligand interactions with binding geometries. The predicted active site i. e involved in the protein-ligand complex was mainly targeted by the docking process.
RESULTS AND DISCUSSION
The aim of the present study was to predict the interaction between selected ligand and different types of inflammatory and cancer target proteins. The Protein-Ligand interaction plays a significant role in structural based drug designing. In the present work, receptors such as Crystal structures of COX-2 receptor having protein ID: 1CX2, Breast cancer protein ID: 1JNX, Lung cancer protein ID: 2ITO were retrieved from the RCSB protein data bank. Based on the overall quality of the X-ray crystal structure and stereochemistry these proteins were selected. Docking simulation of N. arbor-tristis with ligands (1S,4aS,5R,6S,7S,7aS)-ethyl1,5,6-trihydroxy-7-(propionyl oxy) 1,4a,5,6,7,7a-hexahydrocyclopenta [c] pyran-4-carboxylate (317 (C14H20O8))from N. arbor-tristis leaves, 8-(5,7-dihydroxy-3-vinylnaphthalen-1-yl)-2H-chromen-2-one (331 (C21H14O4)) from N. arbor-tristis fruit and 7-ethyl-3a,7a-dihydroxy-3-(2,3,4,5,6-pentahydroxycyclohexyloxy) tetrahydro-2H-furo[3,2-c] pyran-6(3H)-one (381 (C15H24O11)) from N. arbor-tristis stem with three proteins 1CX2, 1JNX and 2ITO produced different binding complexes using flexible ligand searching methods with RMSD-tolerance of 2.0 Å out of 10 docking runs.
Fig. 1: Molecular docking of ligand from dried leaf methanolic extract of N. arbor-tristis (C14H20O8) with receptor proteins
The main chemical compound (1S,4aS,5R,6S,7S,7aS)-ethyl1,5,6-trihydroxy-7-(propionyloxy) 1,4a,5,6,7,7a-hexahydrocyclopenta [c] pyran-4-carboxylate (M. Wt. 317 (C14H20O8)) obtained from N. arbor-tristis leaves.
Was docked against three receptors (1CX2, 1JNX and 2ITO) and analyzed for binding energy values. The glycoside obtained from DLM showed highest binding energy of-2.43 kcal/mol at 10th run against 1JNX receptor protein followed by 2ITO with-2.24 kcal/mol and 1CX2 with-1.67 kcal/mol. As shown in table 1 these ligands interact at different sites in modeled proteins and visualized the docked complex in fig. 1 and table 1.
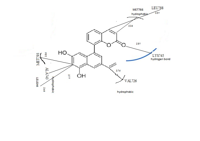
The main chemical compound 8-(5,7-dihydroxy-3-vinylnaphthalen-1-yl)-2H-chromen-2-one (M. Wt. 331 (C21H14O4)) obtained from N. arbor-tristis fruit was docked against three receptors (1CX2, 1JNX and 2ITO) and analyzed for binding energy values. The phenolic compound obtained from DFM showed highest binding energy of-6.77 kcal/mol at 10th run against 2ITO receptor protein followed by 1CX2 with-4.37 kcal/mol and with 1JNX-3.69 kcal/mol. As shown in table 2, these ligands interact at different sites in modeled proteins and visualized the docked complex in fig. 2 and table 2.
Fig. 2: Molecular docking of ligand from dried fruit methanolic extract of N. arbor-tristis with receptor proteins (C21H14O4)


Fig. 3: Molecular docking of ligand from dried stem methanolic extract of N. arbor-tristis with receptor proteins (C15H24O11)
Table 1: Docking results of receptors with ligand of dried leaves methanolic extracts
Ligand |
Receptor |
Amino acids |
|
Ligand-1 |
1CX2 |
42 |
GLN |
166 |
LYS |
||
465 |
GLU |
||
468 |
LYS |
||
474 |
PRO |
||
499 |
ASP |
||
1JNX |
1699 |
ARG |
|
1701 |
LEU |
||
1704 |
PHE |
||
1774 |
ASN |
||
1775 |
MET |
||
1835 |
ARG |
||
1839 |
LEU |
||
2ITO |
718 |
LEU |
|
719 |
SER |
||
726 |
VAL |
||
745 |
LYS |
||
797 |
CYS |
||
844 |
LEU |
||
854 |
THR |
||
855 |
ASP |
||
Table 2: Docking results of receptors with ligand of dried fruit methanolic extract
Ligand |
Receptor |
Amino acids |
|
Ligand-2 |
1CX2 |
38 |
SER |
39 |
ASN |
||
40 |
PRO |
||
42 |
GLN |
||
68 |
ASN |
||
165 |
VAL |
||
166 |
LYS |
||
465 |
GLU |
||
468 |
LYS |
||
1JNX |
1699 |
ARG |
|
1700 |
THR |
||
1701 |
LEU |
||
1704 |
PHE |
||
1774 |
ASN |
||
1775 |
MET |
||
1839 |
LEU |
||
2ITO |
718 |
LEU |
|
719 |
SER |
||
726 |
VAL |
||
743 |
ALA |
||
745 |
LYS |
||
762 |
GLU |
||
766 |
MET |
||
788 |
LEU |
||
790 |
THR |
||
793 |
MET |
||
844 |
LEU |
||
854 |
THR |
||
855 |
ASP |
||
Fig. 4: Interactions between 2ITO receptor and ligand atom of DFM
Table 3: Docking results of receptors with ligand of dried stem methanolic extract
Ligand |
Receptor |
Amino Acids |
|
Ligand-3 |
1CX2 |
35 |
PRO |
38 |
SER |
||
40 |
PRO |
||
55 |
TYR |
||
67 |
GLU |
||
68 |
ASN |
||
165 |
VAL |
||
1JNX |
1699 |
ARG |
|
1700 |
THR |
||
1701 |
LEU |
||
1704 |
PHE |
||
1774 |
ASN |
||
1775 |
MET |
||
1835 |
ARG |
||
1836 |
GLU |
||
1839 |
LEU |
||
718 |
LEU |
||
2ITO |
719 |
SER |
|
726 |
VAL |
||
745 |
LYS |
||
797 |
CYS |
||
800 |
ASP |
||
844 |
LEU |
||
855 |
ASP |
||
The main chemical compound 7-ethyl-3a, 7a-dihydroxy-3-(2,3,4,5,6-pentahydroxycyclohexyloxy) tetrahydro-2H-furo[3,2-c] pyran-6(3H)-one (381 (C15H24O11)) obtained from N. arbor-tristis stem was docked against three receptors (1CX2, 1JNX and 2ITO) and analyzed for their binding energy values. The glycoside compound obtained from DSM showed highest binding energy of-5.73 kcal/mol at 10th run against 2ITO receptor protein followed by 1JNX with-4.35 kcal/mol and with 1CX2-3.45 kcal/mol. As shown in table 3 these ligands interacted at different sites in model proteins and visualized the docked complex in fig. 3 and table 3.
By using anticancer and anti-inflammatory receptors, the ligands of main chemical compounds from N. arbor-tristis methanolic extracts were docked, and the results were tabulated and showed in table 4. A highest binding energy of-4.35 kcal/mol at 10th run was observed with C15H24O11 compound from DSM against 1JNX,-4.37 kcal/mol at 10th run was observed with C21H14O4 compound from DFM against 1CX2 and of the three receptors used, 2ITO lung cancer protein with ligand from dried fruit methanolic extracts showed a highest binding energy of-6.77 kcal/mol at 10th run with different bond interactions at residues.
Table 4: Docking result of 1CX2, 1JNX, 2ITO receptors with ligands from Nyctanthes arbor-tristis methanolic extracts
Chemical structure |
Est. of free energy |
Inhibition constant Ki |
Vdw+Hbond+ obsl energy |
Electrostatic energy |
Total internal energy |
1JNX |
|||||
C14H20O8 |
-2.43 |
16.41 |
-4.27 |
-0.00 |
-4.28 |
C15H24O11 |
-4.35 |
647.46 |
-5.11 |
-0.00 |
-5.11 |
C21H14O4 |
-3.69 |
1.96 |
-4.90 |
-0.10 |
-5.01 |
1CX2 |
|||||
C14H20O8 |
-1.67 |
59.92 |
-3.45 |
-0.49 |
-3.74 |
C15H24O11 |
-3.45 |
2.97 |
-4.22 |
-0.07 |
-4.29 |
C21H14O4 |
-4.37 |
626.04 |
-5.20 |
+0.01 |
-5.19 |
2ITO |
|||||
C14H20O8 |
-2.24 |
22.69 |
-4.32 |
-0.29 |
-4.61 |
C15H24O11 |
-5.73 |
63.40 |
-6.77 |
-0.58 |
-7.35 |
C21H14O4 |
-6.77 |
10.97 |
-7.59 |
-0.10 |
-7.69 |
Among all the drugs 2ITO showed its effectiveness in binding with selected cancer target proteins. The results of the present in silico study support the interaction of protein-ligand that is binding and interaction of ligands (N. arbor-tristis) with inflammatory and cancer targets will be predicted by using these molecular docking studies. Similar to the present studies Radhakrishnan and Ismail (2015) [8] analyzed the in silico experiments and identified the cosmetic potential of Southeast Asian herbs. The bioassay-guided isolation of mosquito larvicidal compound from the acetone leaf extract of Elaeagnus indica Bull was evaluated and its detailed in silico study was reported [9]. Certain important compounds were isolated from medicinal plants and extensively studied their properties against inflammatory arthritis and regulatory effects of glucose and triglycerides in mice (Mus musculus) [10, 11]. The phytochemical and pharmacological potential ethanolic extracts of Nyctanthes arbor-tristis were investigatedthrough in silico experimentations, and their clear potentials on diabetes and cancer were proved [12-14]. In another study [15] the parameter for the identification of weak binding chemical entities, are illustrated with the discovery of a new lead compound for NF-kappaB. Further biochemical analyzes based on EMSA were performed, and biological effects were tested on the compound exhibiting the best docking score. All experimental analysis was in fairly good agreement with molecular modeling findings. In another study [16] they isolated two compounds Of the two compounds, taraxerol showed the greatest inhibition of GSK-3 protein in molecular docking and dynamics studies. As it showed minimum binding (−12.59 kJ mol−1) and docking (−11.25 kJ mol−1) energy with an acceptable affinity towards the active pocket, taraxerol can be considered a good inhibitor of GSK-3.
CONCLUSION
Docking simulation of N. arbor-tristis with ligands (1S,4aS,5R,6S,7S,7aS)-ethyl1,5,6-trihydroxy-7-(propionyloxy) 1,4a,5,6,7,7a-hexahydrocyclopenta [c] pyran-4-carboxylate (317 (C14H20O8)) from N. arbor-tristis leaves, 8-(5,7-dihydroxy-3-vinylnaphthalen-1-yl)-2H-chromen-2-one (331 (C21H14O4)) from N.arbor-tristisfruit and 7-ethyl-3a,7a-dihydroxy-3-(2,3,4,5,6-pentahydroxycyclohexyloxy) tetrahydro-2H-furo[3,2-c] pyran-6(3H)-one (381 (C15H24O11)) from N. arbor-tristis stem with three proteins 1CX2, 1JNX and 2ITO produced different binding complexes using flexible ligand searching methods with RMSD-tolerance of 2.0 Å out of 10 docking runs. This pre-study of dry lab procedure helps us to move on for wet lab or in vitro procedure to confirm the same as well to find out the exact compound responsible for its bioactivity. However, based on the results of these in silico studies, further studies are desirable to prove the anticancer and anti-inflammatory potential against different types either by in vitro or in vivo studies.
CONFLICT OF INTERESTS
Declared none
REFERENCES