
Department of Pharmaceutical Chemistry, MAEER’S Maharashtra Institute of Pharmacy, MIT Campus, Kothrud, Pune 411038
Email: archanacontact@yahoo.co.in
Received: 29 Jan 2016 Revised and Accepted: 20 April 2016
ABSTRACT
Objective: To develop and validate stability indicating HPTLC method for simultaneous quantitative determination of candesartan cilexetil (CDT) and hydrochlorothiazide (HCT) in pharmaceutical dosage form.
Methods: The present study deals with development and validation of stability indicating HPTLC method for simultaneous estimation of CDT and HCT. Chromatographic separation was performed on aluminum plate precoated with Silica Gel 60 F254 using toluene: chloroform: ethanol: glacial acetic acid (2:7:1:0.1 v/v) as mobile phase. The wavelength selected for densitometry scanning was 270 nm. Regression plots revealed linear relationships in the concentration range of 500-5000 and 400-2000 ng/band for CDT and HCT respectively. The correlation coefficient of calibration curves was found to be more than 0.99 for both analytes.
Results: The chromatographic conditions gave compact spots at Rf value (±SD) 0.12 (±0.01) and 0.70 (±0.02) for HCT and CDT respectively. The method was validated as per International Conference on Harmonization (ICH) guidelines, demonstrating to be accurate and precise within the corresponding linearity range of titled analytes. Inherent stability of these drugs was studied by exposing drug substances to various stress conditions as per ICH guidelines namely oxidative, photolysis and hydrolytic conditions under different pH. Relevant degradation was found to take place under these conditions.
Conclusion: A new simple, accurate, precise, sensitive and economic stability-indicating HPTLC method has been developed and validated for the simultaneous determination of CDT and HCT in pharmaceutical dosage form. The proposed method can be used for the routine estimation of CDT and HCT in bulk and formulation and can be employed for stability-indicating analysis.
Keywords: Candesartan cilexetil, Hydrochlorothiazide, HPTLC, Stability indicating method, Forced degradation, Stress studies, Validation
© 2016 The Authors. Published by Innovare Academic Sciences Pvt Ltd. This is an open access article under the CC BY license (http://creativecommons.org/licenses/by/4.0/)
INTRODUCTION
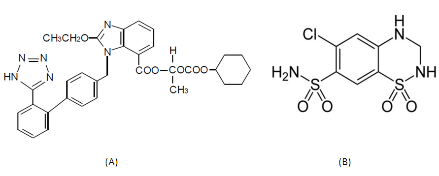
CDT is the highly selective antagonist of angiotensin II type I receptor (AT1), chemically as (±)-l-Hydroxyethyl-2-ethoxy-l-[p-(o-1H-tetrazol-5-ylphenyl)benzyl]-7-benzimidazole benzimidazole carboxylate cyclohexyl carbonate (fig. 1A). It is used for the treatment of hypertension. It is administered orally and gets rapidly converted to the active substance, candesartan, by ester hydrolysis during absorption from the gastrointestinal tract [1]. Chemically, HCT is 6-chloro-1,1-dioxo-3,4-dihydro-2H-1,2,4-benzothiadiazine-7-sulfonamide, which is a first line diuretic drug of the thiazide class (fig. 1B). It acts by lowering blood pressure initially by increasing sodium and water excretion. This causes a decrease in extracellular volume, resulting in a decrease in cardiac output and renal blood flow [2].
Literature survey reveals that several methods are reported for the simultaneous estimation of CDT and HCT. Various stability indicating methods using UPLC [3], HPLC [4-11], simultaneous estimation methods using HPTLC [12, 13] and UV spectrophotometric method [14] are available for the estimation of CDT and HCT individually or in combination with other drugs. There are few analytical methods such as HPLC [15], HPTLC [16, 17], reported for simultaneous estimation of the CDT and HCT in pharmaceutical preparations and biological fluids [18, 19] while few stability indicating HPLC methods are also reported [20, 21] for estimation of CDT and HCT in combination. Literature survey also reveals that there is not a single stability indicating HPTLC method available for simultaneous estimation of CDT and HCT in combined pharmaceutical dosage form in the presence of their degradation products. The HPTLC method has an advantage of handling a large number of samples at a time, and it is sensitive enough to detect a small amount of degradation products formed under stress conditions. Moreover, HPTLC is widely employed for the quantification of drugs because it has several advantages over liquid chromatographic methods such as low maintenance cost, short run time, low mobile phase consumption per sample and multiple/repeated scanning of chromatograms. It also facilitates automated sample application and scanning of the plate [22]. Thus, the aim of the present study was to develop an accurate, precise, specific, reproducible, sensitive and stability indicating HPTLC method for the simultaneous estimation of titled analytes. These analytes were purposely degraded by acid, base, oxide, heat and photodegradation to check the stability and to develop a stability indicating assay method [23-25]. The developed analytical method was validated for linearity, accuracy, precision, sensitivity and robustness as per ICH guidelines [26, 27].

Fig. 1: Structure of CDT (A) and HCT (B)
MATERIALS AND METHODS
Chemicals and reagents
CDT and HCT standards were kindly provided by Mylan Laboratories, Nasik and IPCA Laboratories Ltd., Mumbai respectively. The pharmaceutical dosage form used in this study was Candesar–H (Ranbaxy Laboratories Ltd, India) procured from the local market, labeled to contain 16 mg of CDT and 12.5 mg of HCT per tablet. The solvents and chemicals used in the study were of AR grade purchased from Merck Pvt. Ltd., Mumbai. The standard solution of CDT and HCT in methanol was scanned over the wavelength range 200 to 400 nm by using a UV-Visible spectrophotometer.
Instrumentation
Camag HPTLC system consisting Linomat V sample applicator, chromatogram development chambers (Twin Trough Chambers 20 x 10 cm), pre-coated silica gel 60 F254 aluminium plates (20.0 x 10.0 cm, 250 µm thickness; Merck, Germany), TLC scanner III and win CATS version 1.4.4 Software, (Sr. No. 1508W015) was used for development of chromatographic separation.
Optimized chromatographic conditions
Precoated silica gel 60 F254 TLC plates were used as stationary phase. TLC plates were prewashed with methanol and activated at 110 °C for 10 min prior to application. Suitable volumes of standard and sample solutions were applied to the HPTLC plates using CAMAG Linomat V sample applicator (Muttenz Switzerland) equipped with 100 μl syringes (Hamilton, Reno, Nevada, USA) with spraying speed as 150 nl/s. Sample and standard zones were applied to the plates as bands (10 mm from the bottom and 8 mm from the side edges) with band length of 6 mm. The chromatographic separation was achieved using toluene: chloroform: ethanol: glacial acetic acid (2:7:1:0.1 v/v) as mobile phase with chamber saturation time of 10 min and the migration distance of 80 mm. Separation was achieved within 10 min. The plates were dried to eliminate mobile phase. The wavelength used for detection was 270 nm where both the analytes showed optimum absorbance (fig. 2). Densitometric scanning was performed using Camag TLC scanner III in the reflectance/absorbance mode at 270 nm with a slit dimension 4.00 x 0.45 mm, scanning speed 20 mm/s and data resolution 100 μm/step. Data was integrated using winCATS Software.

Fig. 2: Overlay UV spectra of CDT and HCT
Preparation of solutions
Standard solution
Standard stock solutions were prepared by dissolving 10 mg of CDT and HCT each in 10 ml of methanol separately to obtain a concentration of 1000 µg/ml. A series of solutions containing a mixture of drugs was prepared by transferring appropriate aliquots from stock standard solutions and diluting to volume with methanol. The concentration was fixed, taking into account the proportion in which CDT and HCT are present in the tablet formulation.
Sample solutions (Assay)
Twenty tablets were weighed and crushed to fine powder. An accurately weighed powder sample equivalent to 100 mg of CDT (78.12 mg of HCT) was transferred to a 100 ml volumetric flask and volume was made up to 50 ml with methanol. The solution was sonicated for about 20 min and volume was made with methanol. The resultant solution was filtered through Whatman filter paper No. 42. Working sample solutions were freshly prepared by diluting suitable volumes of the sample stock solution with methanol. The sample solution was analyzed six times under the optimized chromatographic conditions described above. A number of drugs was determined using a calibration curve.
Forced degradation studies
The study was intended to ensure the effective separation of CDT and HCT and their degradation peaks at the retention time of CDT and HCT. Forced degradation studies were performed to evaluate the stability indicating properties and specificity of the method. The objective of stress study was to generate the degradation products under various stress conditions and to verify that the degradation peaks are well resolved from the main peaks by the developed method [23, 24]. The stock solutions were prepared separately in methanol that contains 100 μg/ml of CDT and HCT. These solutions were subjected to stress degradation separately as per the procedures described below. The degradation was carried out in the dark, to exclude the possible degradation due to the effect of light. For thermal degradation and photolytic degradation, the solutions were prepared using 10 mg of exposed sample. The resulting solutions were applied on TLC plates, and the chromatograms were run under the conditions described above. The stress degradation studies were performed on the bulk drugs separately and in combination. It was also applied to tablet formulation to study the generation of additional degradation products that may arise from drug excipient interaction.
Acid, base, wet degradation
To 1 ml of working standard solution of CDT and HCT, 5 ml of 1N HCl/1N NaOH/HPLC grade water was added. The solution was refluxed at 60 °C for 2 h. The resultant solution was neutralized except wet degradation and diluted up to 10 ml.
Peroxide oxidation
To 1 ml of working standard solution of CDT and HCT, 5 ml of 6 % H2O2 was added and refluxed at 60 °C for 2 h. The resultant solution was diluted up to 10 ml with methanol.
Dry heat and photo-degradation
50 mg of CDT and HCT powder was spread as a thin layer in two separate Petri dishes (50 mm diameter) in two sets. The first set of petri dish was heated in an oven at 80 °C for 5 h. The second petri dish was exposed to UV radiation 200 Watt h/m2 for 28 h in the UV chamber [25].
Validation
The method was validated as per ICH guidelines [22, 26, 27].
Linearity
The appropriate volume of standard mixtures was spotted on a TLC plate to cover the range of 500–5000 ng/band and 400–4000 ng/band of CDT and HCT, respectively. The analytes were resolved under optimized chromatographic conditions, and the standard calibration graph of peak area vs. concentration was plotted. The whole procedure was repeated thrice starting from weighing of analytes to preparation of the standard solution as described under standard solution preparation. The linearity of the method was evaluated by linear regression analysis, using the least square method. The slope and intercept were calculated. To further confirm linearity, F test was applied. The value of experimental Fischer ratio was compared against the critical value found in statistical tables, at the 95% confidence level. Also, the residual plot of relative response against concentration was plotted, and the trend was observed [28].
Accuracy (Recovery study)
Recovery studies were performed by the standard addition method where known amounts of the standard substances were spiked to the analyzed dosage form in triplicate. The resulting mixtures were analyzed by the developed method as per the procedure is given under assay. The base level quantity of formulation containing CDT and HCT used for spiking was 1600ng/band and 1250ng/band respectively. The % RSD (relative standard deviation) and the mean recovery were calculated.
Precision
The precision of proposed analytical method was demonstrated by repeatability (Intraday) and intermediate (Interday) precision studies. The sample preparations are containing 1600ng/band of CDT and 1250ng/band of HCT; obtained from a homogenous sample, were analyzed six times on the same day (intraday precision) and on different days by different analysts (Interday precision). Each time the sample solution was prepared starting from weighing the tablet triturate as per the procedure described under assay. The % RSD value was calculated to determine any intraday and Interday variation.
Method sensitivity (Limit of detection and limit of quantification)
The LOD and LOQ of the developed method were calculated using the regression equation. A series of standard preparations containing 100-450 and 80-360ng/band of CDT and HCT was prepared over different levels. Calibration graphs were plotted for the obtained area under the curve of each level against the concentration. The LOD and LOQ were calculated using equations, LOD =3.3 x σ/S; LOQ =10 x σ/S, respectively where σ is the standard deviation of the y-intercepts and S is the slope of the calibration curve. Thus, obtained LOD and LOQ values were further confirmed by applying different volumes of stock solution (10 μg/ml) of CDT and HCT respectively in three replicate separately on a TLC plate and % RSD values were calculated.
Specificity
Specificity is the capacity of the method to measure the analyte response in the presence of its degradation products. These studies were performed in two parts. In Part-A, separation and resolution were observed between CDT and HCT. Peak purity of both CDT and HCT was assessed to evaluate the specificity of the method. The sample and standard bands were scanned at three different levels, i.e., peak start (S), peak apex (M), and peak end (E) positions. Peak purity was determined by winCATS software. In part-B, analytes were subjected to various stress conditions, namely, Oxidative, photolytic, thermolytic and hydrolytic conditions under different pH values. Degraded samples were applied on the TLC plates and developed as mentioned previously. Developed densitograms were observed for resolution of degraded products and spots were evaluated for peak purity.
Robustness
The robustness of an analytical method is its capacity to remain unaffected by small but deliberate variations in method parameters, and it provides an indication of its reliability during routine use. The HPTLC method parameters like the composition of the mobile phase, the volume of the mobile phase, time from spotting to development and time from development to scan were evaluated in this study. One factor at a time was changed, and the effect on the Rf and peak area of the drugs (1600ng/band CDT and 1250ng/band HCT) was studied. The % RSD was calculated.
RESULTS AND DISCUSSION
Development and optimization
For the selection of an appropriate mobile phase for the effective separation of CDT and HCT, several runs were made by using mobile phases containing solvents of varying polarity, at different concentration levels. Several different composition of mobile phase systems like toluene: methanol: chloroform: Glacial acetic acid, ethyl acetate: chloroform: ammonia, chloroform: ethyl acetate: acetic acid, acetone: chloroform: ethyl acetate: methanol at different concentration levels/ratio were tried to achieve optimum separation of two component and their degradation products. The mobile phase consisting of toluene: chloroform: ethanol: glacial acetic acid in a ratio 2:7:1:0.1 V/V/V was found to give the optimum resolution with sharp well-defined peaks at Rf values of 0.12±0.006 and 0.70±0.009 for HCT and CDT, respectively. Dendrograms with well-resolved peaks were obtained without any interference from analytes or tablet excipients (fig. 3). The peak purity of more than 0.999 indicates that the method is specific for these analytes, which enable reliable results to be obtained (fig. 4).

Fig. 3: Representative 3D densitograms acquired with A-Mobile phase, B-Diluent, C-HCT, D-CDT, E-CDT and HCT, F to M-Linearity band, N to Q sample solution

A B
Fig. 4: Peak purity spectra of CDT (A) and HCT (B) at 270 nm
Forced degradation studies
The results of the forced degradation studies are summarized in table 1. Under the optimized chromatographic conditions; degradation products of both analytes were well resolved which was further confirmed by peak purity study. Peak purity r (s, m) and r (s, e) values were above 0.999; indicating homogeneous peaks. Thus developed method is demonstrated to be specific. The percentage degradation of CDT and HCT was calculated by area normalization technique [22].
During stress degradation experiments it was observed that CDT was more sensitive towards alkaline hydrolysis, photolysis, and oxidative degradation than acid hydrolysis and wet heat degradation. The analyte was found quite stable towards dry heat condition with negligible degradation. On the other hand, HCT was susceptible to alkaline and oxidative degradation; while, it showed stability towards acid hydrolysis, thermal degradation (wet and dry) and photolysis. Overall, CDT was found to be more sensitive towards degradation conditions than HCT, but both the drugs were highly susceptible to alkaline hydrolysis.
Table 1: Summary of Forced Degradation Study for CDT and HCT
Analyte→ Stress condition ↓ |
CDT |
HCT |
||||||
tR of Degraded Product |
Recovery [%] |
Degradation |
Peak Purity r(S,M), r(S,E) |
tR of Degraded Product |
Degradation |
Recovery |
Peak Purity r(S,M), |
|
Acid (1 N HCL, reflux 2 h., 60 ° C) |
0.28, |
91.34 |
7.32, 1.32 |
0.9998, |
--- |
--- |
99.73 |
0.9999, |
Base(1 N NaOH, reflux, 2 h, 60 ° C) |
0.45 |
78.84 |
21.16 |
0.9997, |
0.07 |
10.45 |
89.54 |
0.9995, 0.9999 |
Wet Heat (reflux, 2 h, 60 ° C) |
0.43 |
96.52 |
3.71 |
0.9999, |
---- |
---- |
100.25 |
0.9998, 0.9993 |
Dry Heat (80 °C, 5 h) |
0.29 |
98.04 |
1.96 |
0.9997, 0.9998 |
--- |
--- |
100.48 |
0.9997, 0.9999 |
Hydrogen peroxide 6 % (reflux, 1 h, 60 ° C) |
0.45 |
82.28 |
17.72 |
0.9996, 0.9999 |
0.16, 0.28, 0.61 |
8.08, 3.46, 4.13 |
84.33 |
0.9999, 0.9989 |
Photo stability |
0.47 |
78.92 |
21.08 |
0.9999, |
--- |
--- |
101.32 |
0.9997, |

Fig. 5: Representative densitogram showing degradation under acid hydrolysis

Fig. 6: Representative densitogram showing degradation under basic hydrolysis

Fig. 7: Representative densitogram showing degradation under wet heat

Fig. 8: Representative densitogram showing degradation under dry heat

Fig. 9: Representative densitogram showing degradation under oxidation degradation

Fig. 10: Representative densitogram showing degradation under photo degradation
Validation of the developed stability-indicating method
The developed method was validated as per ICH guidelines for parameters like linearity, accuracy, precision, specificity, sensitivity and robustness [22, 26-28]. The 3D densitograms showed well-resolved peaks (fig. 3). Peak purity values were found to be greater than 0.999 which demonstrate that there is no interference of any other peak of degradation products or excipients (table 1 and 4) indicating the specificity of the method. The linearity was evaluated by regression analysis, F-test and residual plots. The correlation coefficient was found greater than 0.99 for both the analytes. The calculated experimental F value was less than the critical tabulated F value at 95% confidence level for both the analytes (table 1). The plot for residuals of both the analytes did not show any tendency in it. These results proved that an excellent correlation existed between peak areas and concentration of the drugs within the selected concentration range. The low values of LOD and LOQ indicate that the developed method is sensitive to be used as a stability indicating. Satisfactory % mean recovery values (99 to 102%) and lower % RSD (< 2) obtained in accuracy, precision and robustness studies (Table 1, 2 and 3). Thus, indicate the proposed method is robust to minor changes in the experimental conditions during routine analysis and can give accurate and precise results without any interference from the tablet excipients in the simultaneous analysis of the drugs in the formulation.
The ICH Q1A guideline states that the validated stability indicating testing methods must be employed to monitor the characteristic features of drug substance which are susceptible to change during storage and are likely to affect the quality, safety and/or efficacy of the formulation [24]. Therefore an attempt has been made in the present research work, to develop stability indicating method for simultaneous estimation of the titled analytes. From the development and validation studies, it was apparent that the proposed method can resolve both the drug substances and their degradation products in short run time with optimum resolution and sensitivity. The published stability indicating HPLC method has high run-time [21] and more LOD and LOQ values indicating lower sensitivity in comparison to the proposed method [20, 21]. Extensive literature revealed that there are two HPTLC methods available for simultaneous estimation of and in bulk and pharmaceutical dosage form [16, 17]. Although these methods estimate both the analytes simultaneously and are sensitive with short run time but are not stability indicating to detect analytes in the presence of their degradation products and hence cannot be utilized in forced degradation studies. Thus, presented stability indicating HPTLC method is simple, reproducible and economical with the appropriate level of sensitivity to be utilized for the simultaneous estimation of CDT and HCT in stability studies.
Table 2: Result of linearity, range, precision, method sensitivity and specificity study
| Parameter / Analytes | CTD | HCT |
| Concentration range [ng/band] | 500 to 5000 | 400 to 4000 |
| Retention factor [min] | 0.70 | 0.12 |
| Regression equation | y = 3.9617x - 9.5653 | y = 7.4732x - 83.018 |
| Correlation coefficient [ R²] | 0.996 | 0.997 |
| F ratio experimental | 3.118 | 3.036 |
F ratio tabulated (95% confidence level) |
3.259 | |
| Precision | ||
| Repeatability MR[% RSD] | 100.62[NMT 1.0] | 100.59[NMT 0.70] |
| Intermediate precision MR[% RSD] | 101.56 [NMT 1.28] | 99.36 [NMT 1.05 %] |
| Method sensitivity | ||
| LOD [ng] | 18.46 | 10.28 |
| LOQ [ng] | 55.96 | 31.15 |
| Specificity [Typical Peak purity data] | ||
| r[s,m] | 0.9999 | 0.9990 |
| r[s,e] | 0.9998 | 0.9998 |
Table 3: Results of accuracy (Recovery) study by standard-addition method (n=3)
Standard solution spiked in sample [%] |
CDT |
HCT |
||
Recovery level |
MR [%] |
RSD [%] |
MR [%] |
RSD [%] |
80 % |
99.33 |
0.63 |
100.89 |
0.29 |
100 % |
100.73 |
0.72 |
99.15 |
0.97 |
120 % |
98.86 |
0.50 |
101.44 |
0.95 |
MR [%]: mean recovery, n-Number of repetitions

Fig. 11: Residual plot for CDT and HCT
Table 4: Robustness study for the developed method (n=3)
Condition |
Parameter |
CDT |
HCT |
||||
MR [%] |
RSD [%] |
Rf |
MR [%] |
RSD [%] |
Rf |
||
Mobile phase |
+0.1 ml |
99.68 |
0.69 |
0.69 |
100.18 |
1.41 |
0.11 |
-0.1 ml |
100.03 |
0.81 |
0.69 |
99.28 |
1.20 |
0.11 |
|
Amount of |
+5 % |
99.82 |
1.02 |
0.70 |
100.16 |
1.03 |
0.11 |
-5 % |
101.06 |
0.69 |
0.71 |
99.22 |
0.92 |
0.12 |
|
Time from spotting |
+10 min |
99.36 |
0.92 |
0.70 |
98.49 |
1.20 |
0.10 |
-10 min |
100.02 |
1.07 |
0.71 |
101.03 |
0.92 |
0.12 |
|
Time for development |
+10 min |
98.77 |
1.14 |
0.70 |
100.80 |
1.29 |
0.11 |
-10 min |
100.06 |
0.71 |
0.69 |
98.79 |
0.91 |
0.12 |
|
CONCLUSION
The HPTLC method was developed on pre-coated silica gel plates using toluene: chloroform: ethanol: glacial acetic acid (2:7:1:0.1 v/v) as mobile phase with densitometric detection at 270 nm. This study found that stability indicating HPTLC method for simultaneous determination of CDT and HCT in the combined dosage form is accurate, precise, linear, highly sensitive, specific and robust. The developed method was found suitable for determination of analytes in bulk and tablet dosage form without any interference from excipients. The forced degradation carried out as per recommendations of ICH guidelines shows that CDT and HCT undergo degradation to a different extent under different, mentioned stress conditions. The developed HPTLC method was found to be capable to resolve analytes in presence of their degradation products. In the peak purity profile studies, it was confirmed that the peak of the degradation product was not interfering with the response of the analytes. From the above study, we can conclude that the developed method can be employed in the preformulation studies, stability studies and in routine analysis of pharmaceutical dosage form. Thus, the presented method can be employed in industry and research laboratories.
ACKNOWLEDGMENT
Authors are thankful to Anchrom Enterprises Ltd. Mulund, Mumbai for providing lab facility for carrying out HPTLC work.
CONFLICT OF INTERESTS
Declared none
REFERENCES