Int J Pharm Pharm Sci, Vol 8, Issue 7, 124-128Original Article


SEASONAL AND CIRCADIAN VARIATION OF BARBATUSIN IN SAMPLES OF PLECTRANTHUS GRANDIS WILLENSE GROWN IN NORTHEAST BRAZIL

ELAYNE B. F. PINHEIRO1, JULIANA G. A. SILVA1, CAROLINE G. SAMPAIO3, MARIA I. B FERNANDES1,
MARIA G. V SILVA1,2

1Departamento de Química Orgânica e Inorgânica, 2Departamento de Química Analítica e Físico-Química, Universidade Federal do Ceará, 60455-970, Fortaleza, Ceará, Brasil, 3Instituto Federal de Educação, Ciência e Tecnológia–IFCE, Maracanaú, Ceará, 61.939-140‎
Email: mgvsilva@ufc.br    

 Received: 02 Feb 2016 Revised and Accepted: 17 May 2016


ABSTRACT

Objective: This work includes the study of circadian and seasonal variation of barbatusin, active compound present in P. grandis (Plectranthus grandis), through the implementation and validation of an analytical method capable of detecting and quantifying this metabolite.

Methods: High-performance liquid chromatography (HPLC) was performed with a Phenomenex C18 column (250 mm x 4.60 mm-5 µm), a binary gradient of water and acetonitrile (8:2, v/v) at a constant flow rate of 0.8 ml min-1 and ultraviolet-visible spectroscopy (UV-VIS) at 254 nm as detector.

Results: The retention factor for barbatusin was found to be 18.34±0.05 min. The calibration curve was linear (r2>0.999). The intraday and interday precisions of the method were determined, the (Relative Standard Deviation) RSD (%) ranged from 0.74 to 3.53 and from 2.21 to 5.30, respectively. The limits of detection and quantification were 85.30 and 258.40 µg ml-1. The method is simple, precise, accurate and selective and can be routinely used for barbatusin analysis in P. grandis extracts.

Conclusion: The methodology can be applied to the quantification barbatusin of powdered samples P. grandis at any time of year. The method showed excellent results in all steps of the validation demonstrating the possibility of an extensive use of time for the determination with the largest amount of compound derivatization of the same order for future studies.

Keywords: Plectranthus grandis, Barbatusin, HPLC, Quantification, Diterpene


INTRODUCTION

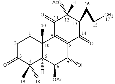
Plectranthus grandis (Cramer) Willens is a shrub popularly known in Brazil by the names of “boldo grande” [1] and this species is able to flourish in the Northeast in the mountain regions, coastal or central hinterland, as different from other species of the same genus that require milder weather or tempered to develop [2]. This plant is widely used by the population in fighting dyspepsia [3]. Still little is known about its chemical composition, but the barbatusin is a constituent identified in P. grandis which has pharmacological importance [4]. Barbatusin (9'-(acetyloxy)-10'-hydroxy-3,4'b,8',8'-tetramethyl-1',4',7'-trioxo-3',4',4'b,5',6',7',8',8'a,9',10'-decahydro-1'H-spiro[cyclopropane-1,2'-phenanthrene]-3'-yl acetate), (fig. 1), is a tetracyclic diterpene abietane found in the Plectranthus genus and two activities are reported, gastroprotective activity [5] and cytotoxic activity [6] for this compound being very promising for future pharmacological studies.

Fig. 1: Structural representation of barbatusin

In previous work [6] barbatusin was obtained in high content (% dry matter) and derivatization of barbatusin led to obtaining compounds with significant antitumor activity. With this, in order to obtain a larger amount of this compound to perform other reactions was performed barbatusin the isolation procedure using the same methodology. However, unexpectedly, the barbatusin was obtained in extremely small quantities. Many factors can influence the metabolic dynamics of various species of plants, including seasonal, circadian and phenological cycles, latitude, altitude and soil nutrients, level of radiation, air pollution, induced by mechanical stimuli, and herbivory attacks pathogens and getting evident even these factors do not act alone [7] and consequently promotes chemical variability.

The study of seasonal and circadian variation in P. grandis samples can be useful to indicate the optimal time for collection of the plant to production greatest amount of this diterpene, being necessary to develop a methodology as a tool suitable for use in quality control barbatusin in Plectranthus spp. This work includes the description by high-performance liquid chromatography (HPLC), of the study of circadian and seasonal variation of barbatusin present in P. grandis, through the implementation and validation of an analytical method capable of detecting and quantifying this metabolite.

MATERIALS AND METHODS

Plant materials

The collections of the leaves of P. grandis were held in the Garden of Medicinal Plants Prof. Francisco José de Abreu Matos of the Universidade Federal Ceará (3° 44' S; 38º 33' W) for a year (about 100-200 g of leaves), on a monthly basis starting in July 2013. A voucher specimen (28377) have been deposited in the herbarium of Departamento de Biologia da Universidade Federal do Ceará, Fortaleza, CE, Brazil.

Extraction

The plant material was collected each six hours for twenty-four hours. The leaves were dried in an oven at 50 °C, crushed and was made a cold extraction with ethanol distilled at room temperature. The solvents were eliminated, and the residues were dried and stored at 27 °C.

Isolation and identification of barbatusin

The dried leaves (425.0 g) of P. grandis were extracted with ethanol (3 x 8 l), and yielded 56.50 g of extract after solvent evaporation under reduced pressure. The extract was subjected to column chromatography on a silica gel and thereafter C18 as the stationary phase. Hexane, DCM, EtOAc and MeOH as eluents. The fraction (245.0 mg) was subjected to preparative thin layer chromatography (PTLC) using silica gel as the stationary phase obtained. As a result barbatusin (15.0 mg) which was identified by ¹H-NMR and ¹³C-NMR.

Chemicals and reagents

The HPLC solvents methanol and acetonitrile was purchased from Vetec and Teddia. The water was prepared in Milli Q system Purelab Option. The hexane, EtOAc and MeOH used as stationary phas, were purchased from Sigma-Aldrich. C18 (J. T. Baker), 40-60 µm, APD, 60 Å.

Equipment

High-performance liquid chromatograph (HPLC) Thermo Electron Corporation, UV-VIS detector, pump Finnigan Surveyor, and data acquisition via computer type Core2Duo 2.93GHz using ChromQuest 5.0 software. The standard analysis and the species studied extracts was performed using the analytical column Phenomenex Kinetex C18 (250 mm x 4.60 mm-5 µm) and the detector was used in the UV-VIS region, the chromatograms recorded at 254 nm.

Chromatographic conditions

Chromatographic detection of barbatusin from the ethanol extract of P. grandis was performed using a binary gradient of water and acetonitrile (table 1). The injected volume was 20 µl, wavelength of 254 nm and flow of 0.8 ml min-1.

Preparation of standard and sample solutions

The extracts of P. grandis were prepared at a concentration of 2.5 mg ml-1. The standard (barbatusin previously isolated) used for analysis was prepared at a concentration of 1 mg ml-1.

Validation of analytical method

To validate the method evaluated the selectivity of parameters, linearity, limits of detection and quantification, precision, accuracy and robustness [8-10].

Selectivity

The selectivity was observed according to the overlapping of the chromatograms obtained by evaluating the apical regions, ascending and descending from the peaks of the respective standard substance, considering pure with the occurrence of the exact overlap.

Linearity

For the study of the linearity, there was prepared a methanol stock solution of barbatusin at 1000 µg ml-1, dilutions were performed to obtain the following concentrations: 25; 50; 100; 250 and 500 µg ml-1. The calibration curve was constructed by plotting the average values of the areas of the chromatographic peaks according to concentrations.

Precision

The precision of the method was assessed by repeatability (interday and intraday precision), injecting the standard in triplicate in three different concentrations (25, 100 and 500 µg. ml-1), registering the values of the areas of the chromatographic peaks and calculating the standard deviation of the determinations.

Accuracy

For the assessment of recovery, the ethanol extract of P. grandis collected in March in a time of 18 pm was used, as this extract showed the lowest barbatusin content from the analyzed extracts. The extract was fortified with a standard is known concentrations in three concentration levels. The concentration of each solution determinations was made in triplicate and the calculated recovery percentages.

Limits of detection and quantification

The limits of detection (LOD) and quantitation (LOQ) were calculated by dividing the standard deviation of the calibration curve by its angular coefficient multiplied by 3.0 and 10.0, respectively. The determinations were calculated in triplicate.

Robustness

It was assessed by varying the following conditions analytical: the proportion of the mobile phase solvents and the maid flow in the analysis.

Determination of the content in samples barbatusin of Plectranthus grandis

For the quantitative analysis of the variability of barbatusin the circadian and seasonal cycles, it used the external standardization method which compared the area of the substance to be measured (barbatusin) in the sample with the areas obtained with known concentrations of the solutions prepared from barbatusin. The analytical curve was prepared from a standard solution of barbatusin to 1000 mg ml-1 at concentrations of 25, 50, 100, 250 and 500 µg ml-1. The solutions were obtained in triplicate.

RESULTS AND DISCUSSION

Optimization of chromatographic conditions

The primary target in developing this method, indicating HPLC stability is achieved the resolution between barbatusin and other compounds found in the samples of P. grandis. Separation was achieved using water: acetonitrile as the mobile phase and gradient program for the analysis of the extracts can be observed in table 1. The optimal wavelength for detection and quantification used was 254 nm. Representative chromatogram of the standard solution is shown in fig. 2.

Validation of analytical method

The parameters evaluated in this validation were needed to confirm the applicability of the method of quantitation in samples of seasonal and circadian cycles showing thus that the chromatographic profiles were reproducible.

Selectivity

The selectivity is considered the first step of the analytical validation because it must ensure that the components of the formulation such as excipients, does not interfere with the quantification of the drug [11, 12]. The selectivity was observed according to the overlapping of the chromatograms obtained by evaluating the apical regions, ascending and descending of the peak corresponding to the respective standard substance, considering the occurrence of pure exact overlap.

Table 1: Programming gradient for analysis of ethanol extracts of Plectranthus grandis

Time (min)

Water (Pump A)

Acetonitrile (Pump B)

Flow rate (ml min-1)

0.01

80

20

0.8

25

30

70

0.8

27

80

20

0.8

30

80

20

0.8


Fig. 2: Representative chromatogram (HPLC-UV-VIS) of the standard solution (barbatusin)

Linearity

The linearity was determined by the construction of calibration curves, which, from a stock solution was prepared barbatusin of solutions at different concentrations were later plotted curves in a ratio peak area versus concentration. These curves all points related to the different concentrations were considered. The linearity was evaluated by calculating the slope, y-intercept and correlation coefficient (r2) using the method of least squares. Detailed descriptions of the regression lines are shown in table 2, which shows a good linearity for the compound. The regression coefficient was r2>0.9988.

Table 2: Analytical parameters of linearity and limits of detection and quantification of barbatusin in Plectranthus grandis

Working concentration range (μg ml-1)

25-500

Slope

0.00005

Intercept

10.059

Correlation coefficient (r2)

0.9988

Limit of detection (μg ml-1)

85.3

Limit of quantification (μg ml-1)

258.4


Precision

For reliable analysis of the compound the method should show need, or submit small dispersion among results of reading the same concentration, and accurate, represented by the degree of agreement between individual results in one test procedure, or independent testing in relative to a reference value accepted as true [10].

The intraday and interday clarification methods were determined, and the results are shown in table 3. The intraday precision was evaluated in triplicate by injection three levels of concentration for the standard barbatusin solution; samples were prepared on the same day by the same analyst under the same chromatographic conditions. Since the interday precision was also evaluated by the injection in triplicate in three different concentrations barbatusin over two days of analysis. The results showed that the method is precise for both determinations where the standard deviations of intraday accuracy ranged from 0.74 to 3.53% and interday precision, of course, it showed higher standard deviations than the intraday precision, however, the three levels of concentration he was also an accurate method, as their relative standard deviations were within the recommended value.

Accuracy

The recovery method was carried out with the fortification of ethanolic extracts of P. grandis leaves with known amounts of a reference substance (barbatusin). The recovery procedure allows evaluating how much of the compound can be recovered from the analytical procedure, allowing calculations to determine the accuracy of the method. In assessing the results shown in table 3, it was observed that the percentage recovery barbatusin the ethanolic extract of P. grandis is between 99.05 and 99.69%, with standard deviations of less than 5%, are immediately consistent with adequate accuracy where the established criterion is between 90 and 107% [9].

Table 3: Precision and accuracy in Plectranthus samples

Precision

Accuracy

Amount (µg ml-1)

Intra-day RSD (%)

Inter-day RSD (%)

Amount added (µg ml-1)

Amount found (µg ml-1)

Recovery (mean±RSD, %)

25

3.53

4.48

158.21

157.30

99.42±1.50

100

0.74

5.30

183.21

181.48

99.05±1.75

500

1.61

2.21

233.21

232.50

99.69±2.05

RSD-Relative Standard Deviation


Limits of detection and quantification

The limits of detection (LOD) and quantification (LOQ) were calculated through the preparation of analytical curves similar to a linear process. Among the different ways to determine these parameters, the method based on the analytical curve parameters is right to allow the application of statistical analysis. Therefore, it is most reliable results. The parameters of calibration curves resulted in the estimate of the amount of sample that can be detected and quantified. Thus, detection values was 85.3 µg ml-1and quantification of 258.4 µg ml-1, where the correlation coefficients of the curves ranged from 0.9973 to 0.9991.

Robustness

Robustness of the method was determined by observing the influence of a small and deliberate change in the chromatographic parameters that may affect the performance of the method. It was determined by measuring the effect of changes in the analytical parameters on retention time and peak area counts. Only one parameter was changed at a time while the others were kept constant. The parameters that were taken into consideration were the proportion of the mobile phase solvents and flow rate. The (Relative Standard Deviaton) RSD of variation in the retention time (Rt) and peak area was<2% (RSD<2), which confirms the robustness of the method (table 4).

Table 4: Robustness study data of the newly developed HPLC method

Parameters

Variations (% RSD)

Retention

Peak area

Flow rate (0.7 ml min-1)

0.30

0.71

Flow rate (0.9 ml min-1)

1.27

1.72

Mobile phase (80.2:19.8 water: acetonitrile)

0.065

1.15

Mobile phase (79.8:20.2 water: acetonitrile)

0.34

1.03

RSD-Relative standard deviation


Determination of the content of barbatusin in samples of Plectranthus grandis

It is known that the chemical variability of plants is huge since the biosynthetic pathways responsible for the production of secondary metabolites in the plant are sensitive to many factors, such as climatic variations, environmental factors and, especially interactions with insects and predators [13]. The knowledge of the chemical variations is of great importance to the quality and preparation of medicinal species of therapeutic and/or industrial interest and is useful for the extraction and isolation of the desired active principles or for the determination of metabolites in crop production switching times toxic [14, 15].

Indeed, in this study of seasonality, it was not possible to evaluate all the factors that influence the production of P. grandis metabolites, however, one can evaluate the behavior of barbatusin over 12 consecutive months and throughout the day of collection of these months

The newly HPLC method developed and validated was applied to quantify the barbatusin in ethanol extracts of P. grandis in circadian and seasonal cycles. The retention time of the respective compound was used to ensure the identity of the compound in plant samples as shown in fig. 3.

The barbatusin contents varied 3.37-83.0 % on a dry weight basis. The detailed results for variation circadian and seasonal in the Plectranthus grandis are showed in fig. 4.

In this seasonal study was demonstrated that the barbatusin can be detected in the leaves extracts of P. grandis at any time of the year and in different amounts considering the plant metabolism. The time when a plant is collected is one of the most important factors, since the amount, and sometimes even the nature of the active constituents is not constant throughout the year. Are reported, for example, seasonal variations in the content of all classes of secondary metabolites: essential oils [16], flavonoids [17], coumarins [18], among others.

Fig. 3: Representative chromatogram (HPLC-UV-VIS) of the ethanol extracts of Plectranthus grandis (sample march 0 h)


Fig. 4: Variation circadian and seasonal of barbatusin contents in the Plectranthus grandis (n=3)

The percentage of barbatusin is calculated as percentage dry weight of the plant material.

Noting the results presented in the fig. 4 also found that despite the barbatusin be detected in the leaves of P. grandis at any time of the year there was a seasonal pattern of concentration of this compound with respect to two typical climatic periods of northeastern Brazil. The dry season and rainy season as with most plants and/or metabolites such as in leaves of Digitalis obscura have lower cardenolide concentrations in the spring and a phase of rapid accumulation in summer, followed by a reduction phase in the fall [19]. However, in studies aimed at determining the seasonality of taxoids, the main target paclitaxel (used in ovarian cancer therapy) is noted changes during the year in the concentration of this compound in Taxus brevifolia and Taxus baccata, but is not can determine a pattern of variation [20, 21].

In circadian cycle there was a significant variation in barbatusin content, for example, in March midnight plant showed a content of 83% (highest detected concentration) followed by a drop in concentration in time of 6 am subsequently a decrease to half a day, and finally again a decrease in the content coming just 3.37% (the lowest concentration detected) compound. There are more and more studies showing that the composition of the side of a plant metabolites can also vary considerably during the cycle day and night, for example in the literature is found a study which shows more than 80% variation in eugenol concentration in the oil essential Ocimum gratissimum, which reaches a maximum at around noon time at which accounts for 98% of the essential oil content, in contrast to a concentration of 11% around 5 pm [22].

So this seasonal and circadian evaluation can be considered a starting point for the development of new work, targeting the pharmacological study of this substance, which although known in the literature, there are only two reports of activities correlated to it the gastroprotective activity [5] and cytotoxic activity [6].

CONCLUSION

The methodology developed for the quantification of barbatusin in P. grandis samples showed that this compound can be detected at any time of year, and the month of March at the time of 0h a time for greater content of it. The method showed satisfactory results in every step of validation, so it is accurate, precise, specific and robust.

ACKNOWLEDGMENT

This work was supported by Conselho Nacional de Desenvolvimento Científico e Tecnológico (CNPq), Coordenação de Aperfeiçoamento de Pessoal de Nível Superior (CAPES), Fundação Cearense de Apoio ao Desenvolvimento Científico e Tecnológico (FUNCAP).

CONFLICT OF INTERESTS

The authors declare that there are no conflicts of interest.

REFERENCES

  1. Marques AM, Lima MCHP, Fo HAC, Passinho HS, Kaplan MAC. Chemical profile analysis of three different species of Plectranthus. Emirates J Food Agric 2012;24:137-41.
  2. Bandeira JM, Barbosa FF, Barbosa LMP, Rodrigues ICS, Bacarin MA, Peters JA, et al. Essential oil composition of four Plectranthus species. Rev Bras Plant Med 2011;13:157-67.
  3. Lorenzi H, Matos FJA. Plantas medicinais no Brasil nativas e exóticas. Inst Plantarum (Ed), (Nova Odessa-BR); 2002.
  4. Rodrigues PA, Morais SM, Souza CM, Silva ARA, Andrade GM, Silva MGV, et al. Gastroprotective effect of barbatusin and 3-betahydroxy-3-deoxibarbatusin, quinonoid diterpenes isolated from Plectranthus grandis, in ethanol-induced gastric lesions in mice. J Ethnopharmacol 2010;127:725-30.
  5. Albuquerque RL, Silva MGV, Machado MIL, Matos FJA, Morais SM, Stone Neto J. Chemical composition and antioxidant activity of Plectranthus grandis and P. ornatus essential oils from north-eastern Brazil. Flavour Fragrance J 2007;22:24-6.
  6. Lima LB, Mattos MC, Oliveira MC, Silva MGV. HPLC-DAD method for quantification of barbatusin and 3(beta)-hydroxy-3-deoxybarbatusin in Plectranthus species. 30th International Symposium on Chromatography (ISC); 2014;1:465-SF-WE.
  7. Gobbo-Neto L, Lopes NP. Plantas medicinais: Fatores de influência no conteúdo de metabólitos secundários. Quim Nova 2007;30:374-81.
  8. ANVISA, Guia para validação de métodos analíticos e bioanalíticos. Available from: http://www.anvisa.gov.br/ medicamentos/ RE_899_validacao.pdf. [Last accessed on 9 Mar 2016].
  9. Standard Format and Guidance for AOAC Standard Method Performance Requirement (SMPR) Documents; 2011.
  10. Harmonised Tripartite Guideline. Validation of analytical procedures: text and methodology. International Conference on Harmonization (ICH); 2005;Q2:R1.
  11. Leite F. Validação em análise química. 4ª nd ed. Átomo (Campinas-BR) 2002.
  12. Ribani M, Bottoli CBG, Collins CH, Jardim CSF, MELO LFC. Validation for chromatographic and electrophoretic methods. Quím Nova 2004;27:771-80.
  13. Pavarinia DP, Pavarinib SP, Niehuesa M, Lopes NP. Exogenous influences on plant secondary metabolite levels. Anim Feed Sci Technol 2012;176:5-16.
  14. Couto AG, Kunzler ML, Spaniol B, Magalhães PM, Ortega GG, Petrovick PR. Chemical and technological evaluation of the Phyllanthus niruri aerial parts as a function of cultivation and harvesting conditions. Rev Bras Farmacognosia 2013;23:36-43.
  15. Bauer R, Tittlel G. Quality assessment of herbal preparations as a preconization of pharmacological and clinical studies. Phytomedine 1996;2:193-8.
  16. Angelopoulou D, Demetzos C, Perdetzoglou D. Diurnal and seasonal variation of the essential oil labdanes and clerodanes from Citus monspeliensis L. leaves. Biochem Syst Ecol 2002;30:189-203.
  17. Brooks JS, Feeny P. Seasonal variation in Daucus carota leaf-surface and leaf-tissue chemical profiles. Biochem Syst Ecol 2004;32:769-82.
  18. Wilt FM, Miller GC. Seasonal variation of coumarin and flavonoid concentrations in persistent leaves of Wyoming big sagebrush (Artemisia tridentate ssp. Wyomingensis: Asteraceae). Biochem Syst Ecol 1992;20:53-67.
  19. Roca-Pérez L, Boluda R, Gavidia I, Pérez-Bermúdez P. Seasonal cardenolide production and Dop5βr gene expression. In natural populations of Digitalis obscura. Phytochemistry 2004;65:1869-78.
  20. Glowniak K, Mroczek T, Zobel AM. Seasonal changes in the concentrations of four toxoids in Taxus baccata L. during the autumn-spring period. Phytomedicine 1999;6:135-40.
  21. Hook I, Poupat C, Ahond A, Guénard D, Guéritte F, Adeline MT, et al. Seasonal variation of neutral and basic taxoid contents in shoots of European Yew (Taxus baccata). Phytochemistry 1999;52:1041-5.
  22. Silva MGV, Craveiro AA, Matos FJA, Machado MIL, Alencar JW. Chemical variation during daytime of constituents of the essential oil of Ocimum gratissimum leaves. Fitoterapia 1999;70:32-4.