Department of Pharmaceutical Chemistry, Faculty of Pharmacy (Girls), Al-Azhar University, Cairo, Egypt
Email: amelfarrag@ymail.com
Received: 05 Feb 2016 Revised and Accepted: 20 Apr 2016
ABSTRACT
Objective: The present work aimed to synthesize New series of pyrazoles 3 and pyrazolo[1,5-a]pyrimidines 5, 7, 9 in order to evaluate their antiproliferative activity against human breast adenocarcinoma MCF-7cell line and study the cell cycle progression of the most active compounds. In addition, Pharmacophore modeling and QSAR Studies of these new compounds were done.
Methods:The diazonium salt of 4-aminoacetophenone 1 was coupled with malononitrile in ethanol using sodium acetate affords 2-[(4-acetylphenyl)diazenyl] malononitrile Cycloaddition of hydrazine hydrate, in molar ratios 1:1 or 1:2, on compound 2, furnished 3,5-diaminopyrazolederivatives 3a and 3b respectively. Moreover, new pyrazolo[1,5-a]pyrimidine derivatives 5a-f were obtained upon cyclocondensation of 3a, b with different chalcones 4a-c in EtOH/piperidine,while compounds 7a-f were prepared via cycloaddition of 3a, b with various arylidene malononitriles 6a-c in the same reaction condition. Finally, treatment of 3a, b with ethyl 2-cyano-3-ethoxyacrylate 8a or 2-(ethoxymethylene)malononitrile 8b in EtOH/TEA yielded the novel pyrazolo[1,5-a]pyrimidine derivatives 9a, b respectively. These target compounds were screened for their cytotoxic activity against MCF-7 (human breast Cell Line) followed by study cell cycle of 7a. Finally, Pharmacophore modeling and QSAR Studies was carried out.
Results:The pyrazolopyrimidine7a was the most active compound (IC50 = 3.25 µM), whereas, some of the tested compounds exploited moderate growth inhibitory activity. Its effect was further studied on cell cycle progression; results showed that compound 7a induced cell cycle arrest at S-phase verifying this compound as a promising selective anticancer agent.
Conclusion:Compound 7a was found to be the most active member against MCF-7 breast cancer (IC50= 3.25 μM), Further biological assessment of 7a using flow-cytometric analysis, revealed that it induced cell cycle arrest at S phase.
Keywords: Pyrazole, Pyrazolo[1,5-a]pyrimidine, MCF-7 breast cancer cell line, Cell cycle profile, 3D pharmacophore,1 QSAR study
© 2016 The Authors. Published by Innovare Academic Sciences Pvt Ltd. This is an open access article under the CC BY license (http://creativecommons.org/licenses/by/4.0/)
INTRODUCTION
Cancer is one of the most devastating diseases responsible for human loss worldwide. Although there have been great advances in the detection and treatment of cancer, it remains one of the greatest medical challenges [1]. Breast cancer is one of the most common cancers in women. Despite the advances in the treatment of most types of solid tumors (e. g. breast and ovarian cancers) the survival rates are still significantly low [2].
Additionally, chemotherapy in breast cancer treatment has many undesirable side effects. These facts clearly emphasize the need to develop novel effective chemotherapeutic agents [3, 4]. One of the new approaches to cancer therapy is targeting the cell cycle regulation. The cell cycle is controlled and regulated by various mechanisms in mammalian cells. The cell cycle is divided into four phases, G1, S, G2, and M phase. Between these phases are the checkpoints, which control the commitment of the cell to further progress. The two extensively studied checkpoints appear at the G1/S and G2/M boundaries. When checkpoint arrest controls are compromised, this leads to cell cycle dysregulation leading to cancerous cells. Hence, molecules that act as decision makers at these checkpoints are good targets for the cancer treatment [5].
Pyrazole and pyrazolo [1,5-a]pyrimidine have emerged as potential pharmacophore scaffolds and have been extensively used to design various antitumor agents (fig. 1). For example, the two aryl pyrazoles in the market, Ruxolitinib (Jakavi®, Novartis) I [6] and Crizotinib (XALKORI®) II [7], (Fig.1), in addition to the N'-(1-{1-[4-nitrophenyl]-3-phenyl-1H-pyrazol-4-yl} methylene)-2-chlorobenzo-hydrazide III which displayed significant activity against MCF-7 cell line [8].
Fig. 1: Pyrazole and pyrazolo [1,5-a] pyrimidine scaffolds based potential candidates and drugs
Moreover, several pyrazolopyrimidines were effective against different cellular and enzymatic targets involved in dysregulated signaling, for example, the B-Raf kinase inhibitor IV [9] and the cyclin-dependent kinase inhibitor V [10]. It has also been demonstrated that the pyrazolo [1,5-a]pyrimidine scaffold itself interacts with the hinge region of many kinase enzymes [11].
Based on these findings and with the attempt to obtain potent anticancer agents the synthesis of new series of pyrazoles and pyrazolo [1,5-a] pyrimidines was adopted and evaluated as anticancer agents.
In the present work, position 5 of the pyrazolo[1,5-a]pyrimidine scaffold, was replaced by a phenyl moiety, compounds 5a-f, or an amino group, compounds 7a-f, 9a, b, instead of the piperidinyl group in the previously prepared pyrazolopyrimidines VI-VIII. Position 3 was occupied by arylazo moiety whereas position 2 had an amino group in all the series. Finally, generation of a 3D-pharmacophore model and a 2D QSAR model were combined to explore the structural requirements controlling the cytotoxic activities.
MATERIALS AND METHODS
General
All chemicals were purchased from VWR International Merck, Germany or Sigma-Aldrich and used without further purification. Melting Points were carried out by open capillary tube method using Stuart SMP3 Melting Point apparatus and they are uncorrected. Elemental Microanalysis was carried out at the Regional Center for Mycology and Biotechnology, Al-Azhar University. Infrared spectra were recorded using potassium bromide discs on Bruker ATR/FTIR Spectrophotometer at the Armed Forces Laboratories. 1H NMR spectra were recorded on a Varian Gemini 300 MHz Spectrophotometer; the spectra were run at 300 MHz in deuterated dimethyl sulfoxide (DMSO-d6) at the Armed Forces Laboratories. 13C NMR Spectra were recorded on a Varian Gemini 300 MHz Spectrophotometer; the spectra were run at 300 and 400 MHz in deuterated dimethyl sulfoxide (DMSO-d6) at the Armed Forces Laboratories. Chemical shifts were expressed in δ units and were related to that of the solvents. As for the proton magnetic resonance, D2O was carried out for NH and OH exchangeable protons. Mass Spectra were recorded using Shimadzu Gas Chromatograph Mass spectrometer-Qp 2010 plus (Japan). All the reactions were followed by TLC using silica gel F254 plates (Merck), and were visualized by UV-lamp.2-[(4-Acetylphenyl)diazenyl] malononitrile 2 [12], 1,3-diarylprop-2-en-1-ones 4a-c 13,2-(substituted benzylidene)-malononitriles 6a-c [14],2-(methoxy methylene) malononitrile 8a and ethyl 2-cyano-3-ethoxyacrylate 8b [15]were prepared according to the previously reported procedures.
Synthesis
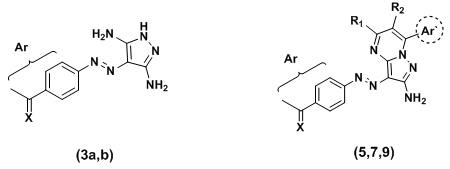
Synthesis of 1-(4-[(3,5-Diamino-1H-pyrazol-4-yl) diazenyl] phenylethanone 3a
A mixture of 2 (0.01 mol) and hydrazine hydrate 98% (0.01 mol) was heated in 30 ml ethanol (95%) under reflux for 2 h. The solid product so formed was filtered off and crystallized from ethanol. Yield: 42%; mp 257-260 °C; IR (KBr): 3381, 3268 (NH2, NH), 1673 (C=O), 1616 (C=N), 1551 (N=N) cm-1; 1HNMR (300 MHz, DMSO-d6): δ 2.56 (s, 3H, CH3), 6.35 (br. s, 2H, NH2, D2O-exchangeable), 7.72-7.75 (d, 2HAr-H2, 6,J = 8.4 Hz), 7.94-7.96 (d, 2H, Ar-H3, 5, J = 8.4 Hz), 10.80 (s, 1H, NH, D2O-exchangeable.);13C NMR (400 MHz, DMSO-d6) δ (ppm): 27.09, 114.79, 120.63, 125.54, 129.73, 134.46, 152.91, 157.40, 197.38; MS [m/z, %]: 244 [M+, 100]; Anal. calcd. for C11H12N6O (%): C, 54.09; H, 4.95; N, 34.41. Found: C, 54.22; H, 4.99; N, 34.70.
Synthesis of 4-[(4-(1-Hydrazonoethyl)phenyl)diazenyl]-1H-pyrazole -3,5-diamine 3b
A mixture of 2 (0.01 mol) and hydrazine hydrate 98% (0.02 mol) was heated in 30 ml ethanol (95%) under reflux for 2 h. The solid product so formed was filtered off and crystallized from ethanol. Yield: 43%; mp252-255 °C; IR (KBr): 3398, 3296 (NH2, NH), 1614 (C=N),1589 (N=N)cm-1; 1HNMR (300 MHz, DMSO-d6) δ: 2.56 (s, 3H, CH3), 6.38 (s, 6H, 3NH2, D2O-exchangeable), 7.73-7.75 (d, 2H, Ar-H2, 6, J = 8.4 Hz), 7.94-7.97 (d, 2H, Ar-H3, 5, J = 8.4 Hz), 10.79 (s, 1H, NH, D2O-exchangeable); 13C NMR (300 MHz, DMSO-d6) δ (ppm): 26.63, 99.49, 116.64, 120.20, 125.06, 128.60, 129.28, 134.04, 156.82, 156.87, 167.60; MS [m/z, %]: 258 [M+, 71.27]; Anal. calcd. for C11H14N8 (%): C, 51.31; H, 5.49; N, 43.62. Found: C, 51.15; H, 5.46; N, 43.38.
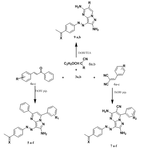
General procedure for the synthesis of pyrazolo [1, 5-a] pyrimidines 5a-f
A mixture of equimolar amounts of 3a or 3b and the appropriate substituted chalcones4a-c were refluxed for 5 h in ethanol (20 ml) containing 3 drops of piperidine. The separated crystalline product was filtered, dried and recrystallized from ethanol.
1-(4-[(2-Amino-7-(4-chlorophenyl)-5-phenylpyrazolo [1,5-a]pyrimidin-3-yl)diazenyl] phenylethanone 5a
Yield: 38%; mp157-160 °C; IR (KBr): 3406, 3296 (NH2), 1672 (C=O), 1614 (C=N,N=N) cm-1; 1HNMR (300 MHz, DMSO-d6) δ: 2.62 (s, 3H, CH3), 6.51 (s, 2H, NH2, D2O-exchangeable), 7.78 (s, 1H, pyrimidine-H), 7.81-8.40 (m, 13H, Ar-H, Ar`-H, Ph-H); 13C NMR (300 MHz, DMSO-d6) δ (ppm): 25.73, 88.05, 104.21, 121.00, 125.27, 127.32, 128.32, 128.84, 129.42, 131.68, 135.72, 136.38, 144.31, 147.56, 152.18, 155.89, 197.10; MS [m/z, %]: 468 [M++2, 14.57], 466 [M + , 40.46]; Anal. calcd. for C26H19ClN6O (%): C, 66.88; H, 4.10; N,18.00. Found: C, 67.03; H, 4.14; N, 18.18.
1-(4-[(2-Amino-5-phenyl-7-(p-tolyl)pyrazolo[1,5-a]pyrimidin-3-yl)diazenyl] phenylethanone 5b
Yield: 50%; mp 153-155 °C; IR (KBr): 3406 (br. NH2), 1676, (C=O), 1608 (C=N,N=N) cm-1; 1HNMR (300 MHz, DMSO-d6): 2.46 (s, 3H, CH3), 2.62 (s, 3H, CH3-CO), 6.50 (s, 2H, NH2, D2O-exchangeable), 7.43-7.46 (d, 2H, Ar`-H3, 5), 7.78 (s, 1H, pyrimidine-H), 7.97-8.39 (m, 11H, Ar-H, Ph-H); 13C NMR (400 MHz, DMSO-d6) δ (ppm): 21.57, 27.22, 115.52, 121.47, 121.51, 125.77, 127.86, 128.15, 128.66, 128.88, 129.36, 129.94, 130.21, 130.25, 130.28, 136.99, 140.19, 141.54, 146.04, 152.31, 152.65, 156.70, 197.00; MS [m/z, %]: 446 [M+, 34.74]; Anal. calcd. for C27H22N6O (%): C, 76.63; H, 4.97; N,18.82. Found: C, 72.89; H, 5.08; N, 19.04.
1-(4-[(2-Amino-5-phenyl-7-(3,4,5-trimethoxyphenyl)pyrazolo[1,5-a]pyrimidin-3-yl)diazenyl]phenylethanone 5c
Yield: 33%; mp 222-225 °C; IR (KBr): 3412, 3280 (NH2), 1676 (C=O), 1622 (C=N,N=N) cm-1; 1HNMR (300 MHz, DMSO-d6) δ: 2.63 (s, 3H,CH3), 3.79 (s, 3H, OCH3), 3.91 (s, 6H, 2OCH3), 7.09 (s, 2H, NH2, D2O-exchangeable), 7.44 (s, 2H, NH2, D2O-exchangeable), 7.54 (s, 2H, H2, 6, Ar`-H) 7.59-7.80 (m, 5H, Ph-H), 7.96, (s, 1H, pyrimidine-H), 7.98-7.96 (d, 2H, Ar-H,2, 6J = 8.4 Hz), 8.10-8.12 (d, 2H, Ar-H3, 5, J = 8.4 Hz);13C NMR (300 MHz, DMSO-d6) δ (ppm): 26.67, 48.98, 56.26, 60.12, 106.37, 107.82, 107.93, 116.17, 121.02, 125.42, 127.41, 128.88, 129.43, 130.76, 135.65, 136.32, 139.79, 145.57, 147.98, 152.10, 152.55, 155.95, 156.61, 197.07; MS [m/z, %]: 522 [M+, 26.31]; Anal. calcd. for C29H26N6O4(%): C, 66.66; H, 5.02; N,16.08. Found: C, 66.89; H, 5.11; N, 16.31.
7-(4-Chlorophenyl)-3-[(4-(1-hydrazonoethyl)phenyl)diazenyl]-5-phenylpyrazolo[1,5-a]pyrimidin-2-amine 5d
Yield: 28%; mp 220-222 °C; IR (KBr): 3417, 3377(2NH2), 1614 (C=N,N=N) cm-1; 1HNMR (300 MHz, DMSO-d6) δ: 2.05 (s, 3H, CH3), 6.40 (s, 2H, NH2, D2O-exchangeable), 6.49 (s, 2H, NH2, D2O-exchangeable), 7.27-7.46 (m, 3H, Ph-H), 7.58-7.80 (m, 7H, 2 Ph-H, 4Ar-H) & pyrimidine-H), 8.22-8.25 (d, 2H, Ar-H2, 6), 8.38-8.42 (d, 2H, Ar-H3, 5);13C NMR (400 MHz, DMSO-d6) δ (ppm): 11.74, 58.82, 115.52, 121.50, 125.77, 126.61, 127.82, 128.95, 129.30, 129.38, 129.87, 131.21, 132.19, 132.70, 136.23, 136.88, 141.73, 142.08, 144.82, 147.90, 152.27, 156.77; MS [m/z]: MS [m/z, %]: 482 [M+2 +, 31.11], 480 [M + , 24.78]; Anal. calcd. for C26H21ClN8 (%): C, 64.93; H, 4.40; N, 23.30. Found: C, 65.08; H, 4.46; N, 23.45.
3-[(4-(1-Hydrazonoethyl)phenyl)diazenyl]-5-phenyl-7-(p-tolyl)pyrazolo[1,5-a]pyrimidin-2-amine 5e
Yield: 40%; mp 185-190 °C; IR (KBr): 3379, 3278 (NH2), 1616 (C=N,N=N) cm-1; 1HNMR (300 MHz, DMSO-d6) δ: 2.28 (s, 3H, CH3), 2.38 (s, 3H, N=C-CH3), 6.49 (s, 2H, NH2, D2O-exchangeable), 7.19-7.22 (d, 2H, Ar`-H3, 5), 7.28 (s, 2H, NH2, D2O-exchangeable), 7.40-7.46 (m, 3H, Ph-H), 7.58-7.80 (m, 5H, 2 Ar-H2,6+2 Ar`-H2,6+pyrimidine-H), 8.11-8.14 (d, 2H, Ph-H), 8.39-8.42 (m, 2H, Ar-H3, 5);13C NMR (300 MHz, DMSO-d6) δ (ppm): 11.22, 26.54, 58.82, 101.34, 120.19, 124.86, 125.09, 128.34, 128.75, 129.03, 129.39, 129.89, 131.21, 132.19, 132.70, 136.23, 137.92, 141.84, 144.72, 147.00, 152.41, 168.00; MS [m/z, %]: 461 [M++1, 4.29]; Anal. calcd. for C27H24N8 (%): C, 70.42; H, 5.25; N, 24.33. Found: C, 70.60; H, 5.29; N, 24.47.
3-[(4-(1-Hydrazonoethyl)phenyl)diazenyl]-5-phenyl-7-(3,4,5-trimethoxyphenyl) pyrazolo[1,5-a]pyrimidin-2-amine 5f
Yield: 35%; mp 138-140 °C; IR (KBr): 3293 (br. 2NH2), 1600 (C=N,N=N) cm-1; 1HNMR (300 MHz, DMSO-d6) δ: 2.34 (s, 3H, CH3), 3.79 (s, 3H, OCH3), 3.91 (s, 6H, 2OCH3), 6.53 (s, 2H, NH2, D2O-exchangeable), 7.44 (s, 2H, NH2, D2O-exchangeable), 7.54 (s, 2H, Ar`-H2, 6), 7.49-7.62 (m, 9H, Ar-H, Ph-H), 8.41 (s, 1H, pyrimidine-H); 13C NMR (300 MHz, DMSO-d6) δ (ppm): 26.78, 56.25, 56.31, 71.20, 106.49, 107.80, 107.97, 116.17, 121.04, 125.44, 127.41, 128.94, 129.45, 135.66, 136.33, 145.58, 147.98, 152.11, 152.57, 155.95, 156.63, 197.09; MS [m/z, %]: 536 [M+, 8.89]; Anal. calcd. for C29H28N8O3 (%): C, 64.91; H, 5.26; N, 20.88. Found: C, 65.12; H, 5.30; N, 21.09.
General procedure for the synthesis of pyrazolo [1, 5-a] pyrimidines 7a-f
Equivalent amounts of 3a or 3b and appropriate arylidene-malononitriles 6a-c were heated under reflux in ethanol (20 ml) and piperidine (3-4 drops) for 4 h, pyrazolo[1,5-a]pyrimidines were precipitated on hot, filtered, dried and crystallized from absolute ethanol.
3-[(4-Acetylphenyl)diazenyl]-2,5-diamino-7-(4-chlorophenyl) pyrazolo[1,5a]pyrimidine-6-carbonitrile 7a
Yield: 48%, mp 227-230 °C; IR (KBr): 3402, 3302 (2NH2), 2212 (CN), 1660 (C=O), 1616 (C=N,N=N) cm-1; 1HNMR (300 MHz, DMSO-d6): 2.60 (s, 3H, CH3), 7.23 (s, 2H, NH2, D2O-exchangeable), 7.67-7.74 (m, 4H, Ar`-H), 7.90-8.15 (m, 4H, 4-Cl-Ar-H), 8.67 (s, 2H, NH2, D2O-exchangeable); 13C NMR (300 MHz, DMSO-d6) δ (ppm): 26.64, 117.64, 120.13, 127.42, 128.53, 129.75, 130.43, 134.02, 134.96, 136.05, 148.79, 151.91, 154.97, 155.57, 156.86, 186.77, 197.36; MS [m/z, %]: 432 [M++2, 1.07], 430 [M+, 1.31]; Anal. calcd. for C21H15ClN8O (%): C, 58.54; H, 3.51; N, 26.01. Found: C; 58.71 H, 3.49; N, 26.28.
3-[(4-Acetylphenyl)diazenyl]-2,5-diamino-7-(4-methoxyphenyl) pyrazolo[1,5-a]pyrimidine-6-carbonitrile 7b
Yield: 57%; mp 162-165 °C; IR (KBr): 3398, 3300 (2NH2), 2210 (CN), 1674 (C=O), 1614 (C=N, N=N) cm-1; 1HNMR (300 MHz, DMSO-d6) δ: 2.57 (s, 3H, CH3), 3.87 (s, 3H, OCH3), 7.12-7.14 (d, 2H, Ar`-H3, 5,), 7.18 (s, 2H, NH2, D2O-exchangeable), 7.21 (s, 2H, NH2, D2O-exchangeable), 7.86-7.89 (m, 2H, H2, 6, Ar`-H), 7.95-7.97 (d, 2H, Ar-H2, 6, J = 8.4 Hz), 8.08-8.06 (d, 2H, Ar-H 3, 5,J = 8.4 Hz); 13C NMR (400 MHz, DMSO-d6) δ (ppm): 27.08, 55.86, 76.18, 114.20, 116.78, 118.06, 120.72, 121.61, 127.60, 129.91, 130.88, 136.40, 147.13, 149.44, 152.40, 156.14, 157.36, 161.55, 197.36; MS [m/z, %]: 426 [M+, 72.60]; Anal. calcd. for C22H18N8O2 (%): C, 61.96; H, 4.25; N, 26.28. Found: C, 62.08; H, 4.31; N, 26.57.
3-[(4-Acetylphenyl) diazenyl]-2,5-diamino-7-(2,3-dimethoxy-phenyl)pyrazolo[1,5-a]pyrimidine-6-carbonitrile 7c
Yield: 48%; mp 225-227 °C; IR (KBr): 3450, 3340 (2NH2), 2233 (CN), 1674 (C=O), 1614 (C=N), 1589 (N=N) cm-1; 1HNMR (300 MHz, DMSO-d6): 2.59 (s, 3H, CH3), 3.74 (s, 3H, OCH3), 3.89 (s, 3H, OCH3), 7.0-7.23 (m, 3H, Ar`-H), 7.86-7.89 (d, 2H, Ar-H2, 6, J = 8.4 Hz), 8.02-8.05 (d, 2H, Ar-H3, 5, J = 8.4 Hz), 8.60 (s, 2H, NH2, D2O-exchangeable); 13C NMR (300 MHz, DMSO-d6) δ (ppm): 26.66, 55.85, 78.69, 115.18, 121.22, 129.39, 132.16, 136.05, 148.01, 147.00, 151.91, 152.29, 155.57, 197.11; MS [m/z, %]: 456 [M+, 6.01]; Anal. calcd. for C23H20N8O3 (%): C, 60.52; H, 4.42; N, 24.55. Found: C, 60.74; H, 4.49; N, 24.69.
2,5-Diamino-7-(4-chlorophenyl)-3-[(4-(1-hydrazonoethyl) phenyl)diazenyl]pyrazolo[1,5-a] pyrimidine-6-carbonitrile 7d
Yield: 34%; mp 215-220 °C; IR (KBr): 3396, 3296, 3184 (3NH2), 2208 (CN), 1614(C=N),1595 (N=N) cm-1; 1HNMR (300 MHz, DMSO-d6) δ: 2.41 (s, 3H, CH3), 6.34 (s, 2H, NH2, D2O-exchangeable), 7.55-7.58 (d, 2H, Ar`-H2, 6, J = 8.4 Hz), 7.63-7.66 (d, 2H, Ar`-H3, 5, J = 8.4 Hz), 7.71-7.74 (d, 2H, Ar-H2, 6, J = 8.4 Hz), 7.89-7.92 (d, 2H, Ar-H3, 5, J = 8.4 Hz), 10.76 (s, 2H, NH2, D2O-exchangeable); 13C NMR (300 MHz, DMSO-d6) δ (ppm): 14.75, 115.19, 120.15, 126.88, 127.45, 128.87, 129.72, 133.33, 134.97, 147.00, 148.61, 152.03, 153.47, 154.97, 156.41, 163.80, 169.00; MS [m/z, %]: 446 [M++2, 0.47], 444 [M+, 1.13]; Anal. calcd. for C21H17ClN10 (%): C, 56.70; H, 3.85; N, 31.48. Found: C, 56.87; H, 3.92; N, 31.67.
2,5-Diamino-3-[(4-(1-hydrazonoethyl)phenyl)diazenyl]-7-(4-methoxyphenyl)pyrazolo[1,5-a]pyrimidine-6-carbonitrile 7e
Yield: 41%; mp 190-192 °C; IR (KBr): 3427, 3303, 3223 (3NH2), 2199 (CN), 1605 (C=N,N=N) cm-1; 1HNMR (300 MHz, DMSO-d6) δ: 2.50 (s, 3H, CH3), 3.83 (s, 2H, NH2, D2O-exchangeable), 3.87 (s, 3H, OCH3), 7.08-8.63 (m, 8H, Ar-H);13C NMR (300 MHz, DMSO-d6) δ (ppm): 22.49, 55.30, 87.80, 113.76, 114.38, 117.06, 121.12, 126.98, 127.58, 128.58, 130.40, 148.91, 153.77, 157.91, 160.45, 161.55, 162.90, 169.9; MS [m/z, %]: 439 [M+-1, 4.28]; Anal. calcd. for C22H20N10O (%): C, 59.99; H, 4.58; N, 31.80. Found: C, 60.17; H, 4.66; N, 32.07.
2,5-Diamino-7-(2,3-dimethoxyphenyl)-3-[(4-(1-hydrazonoethyl) phenyl)diazenyl] pyrazolo[1,5-a] pyrimidine-6-carbonitrile 7f
Yield: 48%; mp 288-290 °C; IR (KBr): 3392, 3298, 3168 (3NH2), 2179 (CN) cm-1; 1HNMR (300 MHz, DMSO-d6) δ: 2.34 (s, 3H, CH3), 3.83, 3.86 (2s, 6H, 2OCH3), 6.21 (s, 2H, NH2, D2O-exchangeable), 7.63 (m, 3H, Ar`-H), 7.72-7.75 (d, 2H, Ar-H2, 6, J = 8.4 Hz), 7.97-7.94 (d, 2H, Ar-H3, 5, J = 8.4 Hz), 10.75 (s, 2H, NH2, D2O-exchangeable); 13C NMR (300 MHz, DMSO-d6) δ (ppm): 14.64, 66.3, 114.99, 120.16, 125.06, 127.13, 127.45, 135.64, 154.53, 157.56; MS [m/z, %]: 470 [M+, 4.16];Anal. calcd. for C23H22N10O2 (%): C, 58.71; H, 4.71; N, 29.77. Found: C, 58.97; H, 4.76; N, 29.8
General procedure for the synthesis of pyrazolo[1,5-a]pyrimidines 9a, b
Equimolar amounts of 3a and ethyl 2-cyano-3-ethoxyacrylate 8a or 3b and ethoxymethylenemalononitrile 8b were heated under reflux for 6 h in ethanol (20 ml) and 5 drops of triethylamine. The precipitate was filtered on hot, dried and crystallized from ethanol.
Ethyl3-[(4-acetylphenyl) diazenyl]-2,5-diaminopyrazolo[1,5-a]pyrimidine-6-carboxylate 9a
Yield: 45%, mp 291-293 °C; IR (KBr): 3425, 3309 (2NH2), 1720 (C=O ester),1670 (C=O),1616 (C=N),1589 (N=N) cm-1; 1HNMR (300 MHz, DMSO-d6) δ: 1.33-1.37 (t, 3H, CH2CH3), 2.61 (s, 3H, CH3), 4.34-4.37 (q, 4H, CH2CH3), 7.18 (s, 2H, NH2, D2O-exchangeable), 7.88-8.09 (m, 4H, Ar-H), 8.69 (s, 1H, pyrimidine-H);13C NMR (400 MHz, DMSO-d6) δ (ppm): 14.67, 27.25, 61.18, 110.00, 121.63, 127.02, 127.12, 129.93, 136.47, 147.83, 152.24, 152.79, 156.14, 161.50, 197.00; MS [m/z, %]: 367 [M+, 1.75]; Anal. calcd for C17H17N7O3 (%): C, 55.58; H, 4.66; N, 26.69. Found: C, 55.81; H, 4.69; N, 26.78.
2,5-Diamino-3-(4-(1-hydrazonoethyl) phenyl) diazenyl) pyrazolo[1,5-a]pyrimidine-6-carbonitrile 9b
Yield: 55%, mp 293-295 °C; IR (KBr): 3396, 3302, 3265 (2NH2), 2214 (CN), 1612 (C=N,N=N) cm-1; 1HNMR (300 MHz, DMSO-d6) δ: 2.34 (s, 3H, CH3), 6.38 (s, 2H, NH2, D2O-exchangeable), 7.64 (s, 1H, pyrimidine-H), 7.75-7.97 (m, 4H, Ar-H), 10.79 (s, 4H, 2NH2, D2O-exchangeable);13C NMR (300 MHz, DMSO-d6) δ (ppm): 14.64, 66.95, 115.00, 120.18, 121.13, 127.09, 127.42, 135.63, 147.84, 151.80, 154.53, 157.56, 168.26; MS [m/z]: 334[M+, 5.91] ; Anal. calcd. for C15H14N10 (%): C, 53.89; H, 4.22; N, 41.89. Found: C, 54.08; H, 4.26; N, 42.13.
Biological assay
Cell culture
Cancer cells from breast cancer cell line (MCF-7, human breast adenocarcinoma) was purchased from American type Cell Culture collection (ATCC, Manassas, USA) and grown on the appropriate growth medium Dulbecco's modified Eagle's medium (DMEM) or Roswell Park Memorial Institute medium (RPMI 1640) supplemented with 100 mg/ml of streptomycin, 100 units/ml of penicillin and 10% of heat-inactivated fetal bovine serum in a humidified, 5% (v/v) CO2 atmosphere at 37 °C.
Cell growth inhibitory assay
Cytotoxicity was determined using 3-[4,5-dimethylthiazole-2-yl]-2,5-diphenyltetrazolium bromide (MTT) method. Exponentially growing cells were trypsinized, counted and seeded at the appropriate densities (2000-1000 cells/0.33 cm2 well) into 96-well microtiter plates. Cells then were incubated in a humidified atmosphere at 37˚C for 24 h. Then, cells were exposed to different concentrations of compounds (0.1, 10, 100, 1000 µM) for 72 h. Then the viability of treated cells was determined using MTT technique as follow. Media were removed; cells were incubated with 200 μl of 5% MTT solution/well (Sigma-Aldrich, MO) and were allowed to metabolize the dye into colored-insoluble formazan crystals for 2 h. The remaining MTT solution was discarded from the wells, and the formazan crystals were dissolved in 200 µl/well-acidified isopropanol for 30 min, covered with aluminum foil and with continuous shaking using a MaxQ 2000 plate shaker (Thermo Fisher Scientific Inc, MI) at room temperature. Absorbances were measured at 570 nm using a Stat FaxR 4200 plate reader (Awareness Technology, Inc., FL). The cell viability was expressed as a percentage of control and the concentration that induces 50% of maximum inhibition of cell proliferation (IC50) were determined using Graph Pad Prism version 5 software (Graph Pad software Inc, CA) [16, 17].
Cell cycle analysis (DNA-Flow Cytometry Analysis)
MCF-7 cells at a density of 4 x106 cell by T 75 flasks were exposed to (Compound X) at its IC50for 24 h. The cells then were collected by trypsinization, washed in PBS and fixed in absolute ice-cold alcohol. Thereafter, cells were stained using Cycle TESTTM PLUS DNA Reagent Kit (BD Biosciences, San Jose, CA) according to the manufacturer’s instructions. Cell-cycle distribution was determined using a FACS Caliber flow cytometer (BD Biosciences, San Jose, CA).
Datasets
All molecular modeling studies (3D-QSAR and pharmacophore model) were performed using the molecular modeling software package DS 2.5 software (Discovery Studio 2.5, Accelrys, Co. Ltd).
A dataset of 16 of the synthesized compounds was used as a training set with heir inhibitory activities in IC50 (μM) was used in present study.
Development of QSAR model
A set of 13 of the synthesized compounds was used as a training set for the QSAR modeling. This test set displayed variable anticancer activities representing potent, moderate and weak anticancer activity. The most active compound 7a along with one of the moderate 5d and one of the week compounds 3b were used as statistical outliers. Molecular descriptors were calculated for each compound employing a “Calculate Molecular Properties” module which used for calculating different molecular properties for the training set compounds. 2D Descriptors involved: AlogP, molecular property counts, surface area and volume and topological descriptors while the 3D descriptors involved: Dipole, jurs descriptors, principle moments of inertia, shadow indices, and surface area and volume was employed. Genetic function approximation (GFA) was utilized to search for the best possible QSAR regression equation capable of correlating the variations in the biological activities of the training compounds with variations in the generated descriptors, i.e., multiple linear regression modeling (MLR). Different descriptors such as ES_Sum_dsN (Calculates the sums of the Electrotopological State (E-state) values of each atom type), Dipole_mag (3D electronic descriptors that indicates the strength and orientation behavior of a molecule in an electrostatic field), Jurs_WNSA_3 (the surface-weighted charged partial surface areas ''set of six descriptors'' (Jurs_WPSA_1, Jurs_WPSA_2, Jurs_WPSA_3, Jurs_WNSA_1, Jurs_WNSA_2 and Jurs_WNSA_3) obtained by multiplying descriptors 1 to 6 by the total molecular solvent-accessible surface area and dividing by 1000, Jurs descriptors are those ones that combine shape and electronic information to characterize molecules) were utilized in the models generated. Experimental anticancer activities, measured as IC50 in µM were used for the QSAR modeling.
The QSAR model was validated employing leave-one-out cross-validation by setting the folds to a number much larger than the number of samples, r2 (squared correlation coefficient value) and r2 prediction (predictive squared correlation coefficient value) [18], residuals between the predicted and experimental activity of the test set and training set. Statistical outliers were identified from experimental versus predicted plots.
Pharmacophore modeling
The 3D-QSAR Pharmacophore Generation protocol (Catalyst HypoGen algorithm) was used to derive structure-activity relationship hypothesis models (3D-QSAR pharmacophore models). HypoGen identifies features common to the active compounds and excludes features common to the inactive ones within conformationally allowable regions of space. It further estimates the activity of the newly synthesized and tested compounds using regression parameters. Thus, a training set of the 16 synthesized compounds were used in this study to construct a pharmacophore model using hydrogen bond acceptor (HBA), hydrogen bond donor (HBD), hydrophobic (H), ring aromatic (RA) and positive ionizable (PosIon) chemical features.
RESULTS AND DISCUSSION
The route adopted for the preparation of target pyrazoles 3 and pyrazolo[1,5-a]pyrimidine derivatives 5, 7 and 9 are depicted in Schemes 1 and 2 respectively.
Scheme 1: Synthesis of compounds 3a, b
The diazonium salt of 4-aminoacetophenone 1 was coupled with malononitrile in ethanol using sodium acetate, [12, 19-23] to afford 2-[(4-acetylphenyl)diazenyl] malononitrile 2 [12]. Cycloaddition of compound 2 with hydrazine hydratein molar ratios 1:1 [20-24] or 1:2, furnished 3,5-diaminopyrazolederivatives 3a and 3b respectively. The structures of 3a,b were well established from their microanalytical and spectral data. The IR spectrum of 3a revealed the appearance of two NH2 and NH at 𝞴max 3381 and 3268 cm-1 with the lack of CN band of the parent 2. Its 1HNMR spectrum (DMSO-d6) showed two singlet at δ 6.35 and 10.80 ppm corresponding to NH2 and NH (exchangeable with D2O). Moreover, new pyrazolo [1,5-a]pyrimidine derivatives 5a-f were obtained upon cyclocondensation of 3a, b with different chalcones 4a-c in EtOH/pip. [25], while compounds 7a-f were prepared via cycloaddition [19] of 3a, b with various arylidenemalononitriles 6a-c in the same reaction condition. Finally treatment of 3a, b with ethyl 2-cyano-3-ethoxyacrylate 8a or 2-(ethoxymethylene) malononitrile 8b in EtOH/TEA [19, 26] yielded the novel pyrazolo[1,5-a]pyrimidine derivatives 9a, b respectively. Elemental and spectral analysis of 5a-f, 7a-f and 9a, b were in agreement with their structures. Compound 5b displayed the appearance of two singl et at δ 2.46 and 2.62 ppm corresponding to two methyl protons and showed characteristic singlet for pyrimidine-H at δ 7.78 ppm. In addition its 13C NMR spectrum showed 2 singlet at δ 21.57 and 27.22 ppm corresponding to two methyl groups. The IR spectrum of 7brevealed a new band for CN at 𝞴max 2210, while its 1HNMR spectrum (DMSO-d6) showed singlet at δ 3.87 ppm corresponding to three protons of the OCH3 group. 9a IR spectrum demonstrated a band at 1720 cm-1 related to carbonyl ester in addition to the band at 1670 cm-1 corresponding to acetyl C=O. Its 1HNMR spectra showed the characteristic triplet and quartet signals attributed to the ethyl protons in the region of 1.33-1.37 and 4.34-4.37 respectively, in addition to signal at δ 8.69 ppm attributed to pyrimidine-H.
Scheme 2: Synthesis of compounds 5, 7, 9
Antitumor properties
The in vitro antitumor activity against human breast cancer cells (MCF-7) of the 16 test compounds was achieved in the cell culture lab, College of Pharmacy, Al-Azhar University, Cairo, Egypt. Doxorubicin was used as a reference standard, and it showed IC50 = 2.008 μM.
The anticancer MCF-7 profile suggested that the test compounds showed variable activities compared to reference drug as shown in (table 1).
It was observed that the 3, 5-diaminopyrazole 3a bearing a C=O group showed about 42 times the anticancer activity of its counterpart 3b (IC50 = 26.2, 1083.30 μM, respectively) which bears a C=NNH2 group instead. Additionally 3a was found to be approximately 1.27 times more potent than 4-[(3,5-diamino-1H-pyrazol-4-yl)diazenyl]phenol (IC50 = 33 μM)[20]. Similarly, in pyrazolo[1,5-a]pyrimidine derivatives the most active compound was the 3-((4-acetylphenyl)diazenyl)-2,5-diamino-7-(4-chloro-phenyl) pyrazolo[1,5-a]pyrimidine-6-carbonitrile 7a, with C=O group, IC50 = 3.25 μM; while its analog 7d showed poor anticancer activity (IC50 = 906.6 μM). The activity of the pyrazolo [1,5-a]pyrimidine 7a displayed a 5 fold decrease upon replacement of the 4-Cl-phenyl in position 7 with the 2,3-(OCH3)2Ph moiety as in 7c (IC50 = 15.4 μM). It is worth mentioning that the pyrazolopyrimidines 7a, c bearing a C=O group were by far much more effective antiproliferative activity than their counterparts 7d, f containing C=NNH2 (IC50 = 3.25, 15.4, 906.6, 871.9 μM, respectively).
Additionally, it was found that 7-Amino-N-(4-chlorophenyl)-6-cyano-5-(4-fluorophenyl)-2-(4-methoxy-phenyl-amino) pyrazolo[1,5-a] pyrimidine-3-carboxamide prepared by Hassan et al.[27] is slightly potent than 7a, this may be due to the presence of a primary amine in 7a while the other compound has lipophilic secondary amine .
On the contrary, pyrazolopyrimidines 5d, e, carrying C=NNH2, displayed more activity against human breast cancer MCF-7 cell line (IC50 = 40.2, 28.2 μM) than their analogs 5a, b (IC50 = 1083, 181 μM respectively).
Moreover, poor activity was elicited by pyrazolopyrimidines 9a, b .
Effect of 7a on cell cycle arrest in MCF-7 cells
The most active compound 7a was selected for further study due to its effect on cell cycle progression in the MCF-7 cell line. The MCF-7 cells were incubated with GI50 concentration of compound 7a for 24 h and its effect on the normal cell cycle profile was analyzed. Flow cytometric analysis was performed to measure the effect of compound 7a on induction of cell cycle. As shown in fig. 2, the cells in S phase in the MCF-7 control group accounted for about 23.59%, while after cells treated with compound 7a, the ratio was approximately 32.66%. This shows that the cells were arrested in the S phase. Such increase was accompanied by a reduction of cells at the G2/M phase of the cell cycle, which resulted in an interference with the normal cell cycle distribution of this cell line.
Table 1: IC50ʼs of the tested compounds against human breast cancer cells (MCF-7)

Compound |
R1 |
R2 |
Ar` |
X |
IC50(mean±SD) |
3a |
- |
- |
- |
O |
26.2±0.70 |
3b |
- |
- |
- |
NNH2 |
1083.3±28.8 |
5a |
Ph |
H |
4-ClPh |
O |
1083.3±28.8 |
5b |
Ph |
H |
4-CH3Ph |
O |
181±1 |
5c |
Ph |
H |
3,4,5(OCH3)3Ph |
O |
1250±50 |
5d 5e 5f |
Ph Ph Ph |
H H H |
4-ClPh 4-CH3Ph 3,4,5(OCH3) |
NNH2 NNH2 NNH2 |
40.2±0.64 28.2±0.68 97.5±0.51 |
7a |
NH2 |
CN |
4-ClPh |
O |
3.25±0.52 |
7b |
NH2 |
CN |
4-OCH3Ph |
O |
948±7.2 |
7c |
NH2 |
CN |
2,3-(OCH3)2Ph |
O |
15.4±0.51 |
7d |
NH2 |
CN |
4-ClPh |
NNH2 |
906.6±6.1 |
7e |
NH2 |
CN |
4-OCH3Ph |
NNH2 |
1243.3±40.4 |
7f |
NH2 |
CN |
2,3-(OCH3)2Ph |
NNH2 |
871.9±7.5 |
9a 9b |
NH2 NH2 |
COOEt CN |
H H |
O NNH2 |
1516±28.8 1196.6±15.2 |
IC50: Compound concentration required to inhibit the cell viability by 50%, SD= standard deviation; each value is the mean of three values.
Control 7a
Fig. 2: Bar chart shows the percentage of MCF7 cells at each phase of cell cycle in control cells and cells treated with compound 7a
QSAR studies
Equation one represents our best-performing QSAR model; Fig.3 shows the corresponding scatter plots of the experimental versus estimated bioactivity values for the training set compounds, against MCF-7 cell line. Interestingly, the predicted anti-tumor activity by the QSAR model was very close to the experimentally observed, indicating that these models can be applied for prediction of more effective hits having the same skeletal framework as that of the potent antitumor compound.
Equation 1 represents the best performing QSAR model for the activity against MCF-7 cell line.
-log IC50 =-4.2305+0.30198 ES_Sum_dsN+0.81231 Dipole_mag+0.14287 Jurs_WNSA_3
Fig. 3:Predicted versus experimental PIC50 values of the training set compounds against human breast cancer cell line (MCF-7) according to equation 1 (r2= 0.811)
According to equation 1, the QSAR model was represented graphically by scattering plots of the experimental versus the predicted bioactivity values–log IC50 for the training set compounds as shown in fig. 3. The method used to build the model was Least-Squares, r2= 0.811, r2 (adj) = 0.748, r2 (pred) = 0.604, where r2 (adj) is r2 adjusted for the number of terms in the model; r2 (pred) is the prediction r2, equivalent to q2 from a leave-1-out cross-validation.
Moreover, the MLR model developed in this work which involves three descriptors, reveals that the anticancer activity should correlate directly proportional with ES_Sum_dsN, Dipole_mag, Jurs_ WNSA_3. Additionally, the anticancer activities of the synthesized compounds are affected by these descriptors.
QSAR validation
Robustness of the established QSAR model was verified by using; Leave-one-out (LOO) internal validation r2= 0.811. Cross-validation was also employed where q2, which is equivalent to r2 (pred) was 0.94. In addition, validation was employed by measuring the residuals between the experimental and the predicted activities of the training set c. f. supplementary material Furthermore, compounds 7a, 5d, 3b were used as statistical outliers where their pIC50 values were-0.511,-1.609,-3.041 respectively, their expected pIC50 values were-0.388,-1.963,-2.811 respectively with residuals-0.123, 0.354,-0.230 respectively. The 2D QSAR studies, MLR model, showed high correlative and predictive abilities. Furthermore, the generated QSAR models performed to explore the structural features required for the observed antitumor property, revealed that the biological activities were influenced by the molecular descriptors: ES_Sum_dsN, Dipole_mag, Jurs_WNSA_3 of the synthesized compounds.
Pharmacophore modeling
It produced ten top-scored hypotheses based on the activity values of the training set molecules. The best ten hypotheses contained four features: HBD, HBA, H and RA. Hypo1 consisted of two HBA and one RA, as shown in Fig. 4 with constraint distances and angles between its features as described in (table 2), it also established the highest cost difference (118.89), lower errors (86.12), best correlation coefficient (0.86), maximum fit value (8.04) and lowest root mean square RMS of (2.45).
This pharmacophore hypothesis generated was developed with a total cost value of (103.78), null cost value of (222.67), and fixed cost value of (52.98). The Fixed total cost was dependent on a summation of the cost components: weight cost, error cost and configuration cost.
Fig. 4: Constraint distances and angles between features of the generated top pharmacophore model with the features considered hydrogen bond acceptors (HBA1 & HBA2) colored in green, and aromatic ring (RA) colored in orange
Table 2: Constraint distances and angles between features of the generated top pharmacophore model
Constraint distances (Ao) |
Constraint angles (o) |
(HBA1-HBA2):7.694 |
HBA1, HBA2, RA: 27.59 |
(RA-HBA1): 7.484 (RA-HBA2): 13.400 |
Two key values were used for cost analysis: one is the difference between the fixed and null costs and another one is the difference between null and total cost (cost difference). The fixed cost represents a cost of the ideal theoretical hypothesis, which could absolutely predict the activity of compounds in the training set with the lowest deviation while null cost represented the cost of hypothesis with no features that estimate every activity to be the average activity. The difference between these two costs should be greater than or equal 70 bits to show 98% statistical significance of the model. The cost difference should be greater than 60 bits to represent a true correlation data.
Higher cost difference and correlation value with low RMS and error values have been observed for Hypo1 when compared with the other hypotheses. Hence, Hypo1 was selected as the best hypothesis and employed for further analyzes, Fig. 4 shows, the Hypo1 chemical features with its geometric parameters. The most active compound 7a in the training set a ligned in Hypo1 was shown in fig. 5. To verify, the prediction accuracy of Hypo1, Hypo1 was also able to estimate the activities of compounds in their own activity ranges. The experimental and estimated activities by Hypo1 for 16 training set compounds are shown in (table 3).
The parameters were computed by regression analysis using the relationship of fit geometric value versus the activity. The better the geometric fit the greater the activity prediction of the compound. The fit function checks if the feature is mapped. It also contains a distance term, which measures the distance separating the feature on the molecule from the centroid of the feature in the pharmacophore hypothesis. Both terms are used to calculate the fit geometric value.
The Fischer validation confidence level chosen is 98%, and the best-generated pharmacophore significance was 82%. Further evaluation of the generated pharmacophore models was based on the correlation coefficient, which was found to be 0.86 that indicate the capability of the pharmacophore model to predict the activity of the training set compounds.
In addition to cost analysis and Fischer validation, the pharmacophore model was validated through activity prediction of the synthesized structures as a training set. The predicted activities through the pharmacophore model are represented in (table 3) as well as their fit values.
Fig. 5: The best-generated pharmacophore hypothesis with the features considered hydrogen bond acceptors (HBA1 and HBA2) colored in green, ring aromatic (RA) colored in orange and the synthesized structure 7a fitted in the pharmacophore with fit value 7.24
Validation of pharmacophore modeling
One of the significant methods in pharmacophore generation is validating the hypothesis. The generated hypotheses were mainly validated to check whether the best hypothesis selected the active compounds during the screening process such as the percentage of active compounds picked from the dataset, correlation between the predicted and estimated values of the set test along with its efficiency in reducing true negatives and false positives. The selected Hypo1 was validated using the following methods; cost analysis, activity prediction, Fischer validation test.
HypoGen selects the best hypotheses by applying a cost analysis. The overall cost of each hypothesis is calculated by summing three cost factors: a weight cost, an error cost, and a configuration cost. HypoGen also calculates two theoretical costs, the null and fixed costs that can be used to determine the significance of the selected hypothesis.
The cost values of the optimized hypothesis should lie somewhere between these two costs. A larger difference between the fixed and null costs than that between the fixed and total costs signifies the quality of a pharmacophore model.
Table 3: Fit values and estimated activities for the synthesized compounds mapped with the generated 3D-pharmacophore model
Compound |
Predicted activity (IC50 μM) |
Experimental activity (IC50, mean) μM |
Fit value |
3a |
361.22 |
26.2 |
5.33 |
3b |
1633.23 |
1083.3 |
4.67 |
5a |
396.08 |
1083.3 |
5.29 |
5b |
190.64 |
181 |
5.60 |
5c |
382.93 |
1250 |
5.30 |
5d |
55.19 |
40.2 |
6.14 |
5e |
32.79 |
28.2 |
6.37 |
5f |
484.64 |
97.5 |
5.20 |
7a |
4.41 |
3.25 |
7.24 |
7b 7c 7d 7e 7f 9a 9b |
417.51 13.85 705.06 674.15 820.41 369.89 1002.31 |
948 15.4 906.6 1243.3 871.9 1516.6 1196.6 |
5.26 6.74 5.04 5.06 4.97 5.32 4.88 |
IC50: Compound concentration required inhibiting the cell viability by 50%; each value is the mean of three values.
The closer the cost value to the fixed cost and the further away it is from the null cost, the more statistically significant the hypothesis is believed to be.
Fischer validation is another approach for pharmacophore model validation. This validation method checks the correlation between the chemical structures and biological activity. This method generates pharmacophore hypothesis using the same parameters as those used to develop the original pharmacophore hypothesis by randomizing the activity data of the training set compounds. The purpose of this study was not only to construct the pharmacophore model to predict the estimated activity of the compounds but also to employ the hypothesis on virtual screening to search novel scaffolds. In this work, we have built 3D pharmacophore models from 16 newly synthesized compounds and the best quantitative pharmacophore model, Hypo1, consisted of three features like two HBA and one RA.
For predicting activity, the correlation coefficient of Hypo1 was o.86, suggesting a good predictive power of the hypothesis for the majority of antitumor actives.
From the overall analysis, we conclude that theHypo1 pharmacophore could be used as the fast and accurate tool to assist discovery of novel anticancer agents.
CONCLUSION
In an effort to develop potent anticancer agents, pyrazoles 3a, b and pyrazolo[1,5-a]pyrimidines 5a-f, 7a-f, 9a, b were designed and synthesized. Anti-proliferative activity of the newly synthesized compounds was examined against MCF-7 breast cancer using MTT technique. Compound 7a was found to be the most active member against MCF-7 breast cancer (IC50= 3.25 μM), Further biological assessment of 7a using flow-cytometric analysis, revealed that it induced cell cycle arrest at S phase. 3D-QSAR pharmacophore modeling afforded a hypothesis with three chemical features: 2HBA, 1RA. QSAR studies showed good predictive and statistically significant descriptor model with r2 0.811. The most important descriptors in the QSAR equation were ES_Sum_dsN, Dipole_mag, Jurs_WNSA_3. The combination of 3D-pharmacophore modeling and QSAR provides as an effective technique for understanding the observed pharmacological properties and thus could be adopted for developing effective lead structures.
ACKNOWLEDGEMENT
The authors are grateful to Pharmacology Department, Faculty of Pharmacy, Al-Azhar University, Cairo, Egypt for carrying out the anticancer screening.
CONFLICT OF INTERESTS
The authors confirm that this article content has no conflicts of interest
REFERENCES