
1Department of Radiation Physics, Institute of Clinical Sciences, The Sahlgrenska Academy, University of Gothenburg, Gula Stråket 2B, 413 45 Gothenburg, Sweden, 2European Commission, Joint Research Centre, Institute for Transuranium Elements, Hermann-Von-Helmholtz-Platz 1, 76344 Eggenstein-Leopoldshafen, Germany, 3Department of Oncology, Institute of Clinical Sciences, The Sahlgrenska Academy, University of Gothenburg, Blå Stråket 2, 413 45 Gothenburg, Sweden
Email: sture.lindegren@radfys.gu.se
Received: 05 Feb 2016 Revised and Accepted: 08 Nov 2016
ABSTRACT
Objective: The aim of this study was to synthesise and evaluate polylysine-based effectors for pretargeted radioimmunotherapy and imaging. These molecules can readily be size-modified and charge-modified to decrease the renal uptake of radioactivity, which is often a major problem for small radiolabeled molecules. Several chelators and biotin molecules (for antibody-streptavidin-binding in vivo) are also easily incorporated into one structure because of the polylysine.
Methods: The effectors were synthesised using poly-L-lysine, NHS-LC-biotin, CHX-A’’-DTPA or p-SCN-Bn-DOTA and succinic anhydride. They were characterised, labelled with 213Bi for targeted α therapy, 68Ga for PET and 111In for SPECT, and evaluated in vitro. A kidney uptake study was performed as well with two different-sized 213Bi-labeled effectors, to evaluate how the difference in size affects the renal filtration.
Results: Radiochemical purities between 97.4±0.6 % and 99.6±0.1 % and decay-corrected yields of 80.2±2.4 % after purification were achieved with the radiolabeled molecules, as well as a specific activity of 7.6 × 103GBq/µmol. The avidin binding capacity was 94.4±1.9%. The kidney uptake study demonstrated a reduction of renal absorbed dose by 80% when modifying the molecular size and charge.
Conclusion: The synthesised polylysine-based effectors show potential for further in vivo evaluation in pretargeted radioimmunotherapy and imaging.
Keywords: Pretargeting, Radiometals, Polylysine, Radioimmunotherapy, Radioimmunoimaging, Kidney
© 2017 The Authors. Published by Innovare Academic Sciences Pvt Ltd. This is an open access article under the CC BY license (http://creativecommons.org/licenses/by/4. 0/)
DOI: http://dx.doi.org/10.22159/ijpps.2017v9i1.11109
INTRODUCTION
In radioimmunotherapy (RIT), tumor-specific antibodies are labelled with cytotoxic radionuclides. RIT has shown high potential as an adjuvant treatment in many types of malignancies [1-3]. However, a limitation of treatments with radiolabeled antibodies is that they typically require several hours after intravenous (i. v.) injection to localise the tumour cells. The main reason for the slow diffusion and tumour cell uptake in vivo is the large size of antibodies (150 kDa). The slow targeting process in RIT is an obstacle, particularly when employing short-lived radionuclides such as bismuth-213 (213Bi; t1/2 = 45.6 min).
In order to circumvent this drawback in RIT, pretargeted radio-immunotherapy (pRIT) has been developed [4-6]. pRIT is a strategy to decrease the required time for the radioactive complex to find the tumor sites. In many situations, the decreased distribution time in pRIT reduces the activity uptake in normal tissue, leading to an expansion of the therapeutic window. In pRIT, administration of the treatment is separated into two steps. First, the pretargeting molecule (often an antibody conjugate) is administered to localise and bind to the tumor cells. When a maximum amount of pretargeting molecules is bound to the tumors, an effector with high affinity for the pretargeting molecule should be administered. The effector is a radiolabeled molecule of very small size compared with antibodies, which gives it a rapid in vivo distribution. The high affinity and small size of the effector result in much faster radionuclide uptake in tumors in pRIT than is achievable in conventional RIT [7]. Additionally, the small effector molecule can more rapidly distribute within the tumor, resulting in more uniform activity distribution in the tumor for pRIT compared with RIT [8]. Fast and uniform intratumoral distribution can be crucial for efficient treatment, particularly when using short-lived radionuclides which emit short path length radiation, e. g., the α-emitter 213Bi.
The advantages of pRIT are also applicable for imaging purposes. Pretargeted radioimmuno imaging (pRII) has the potential to detect smaller tumors than is possible with conventional imaging methods. The small effector results in rapid activity uptake in the tumor, as well as rapid blood clearance. This can lead to a high tumor-to-background ratio and dramatic reduction of non-target radiation doses to patients [9]. In addition, pRII enables short-lived radionuclides suitable for imaging, e. g., flourine-18 (18F; t1/2 = 109.8 min) and gallium-68 (68Ga; t1/2 = 67.6 min), to be used with tumor-specific antibodies.
Generally, effectors for labelling with metal radionuclides are based on derivatives from a chelator, e. g., DOTA and DTPA, and biotin [7,10,4-6]. However, a disadvantage of using e. g., DOTA-biotin is that it results in a relatively high radiation dose to the kidneys. Additionally, it is difficult to achieve very high specific activity with these molecules. Therefore, the aim of this study was to synthesise and evaluate an effector based on a poly-L-lysine scaffold. There are several advantages of using a polylysine backbone. i.) Each effector molecule can incorporate several biotin groups and several radionuclides binding sites (in this case, several chelators). In this way, the avidity between the effector and the pretargeting molecule can be increased. Furthermore, by incorporating more chelators in the effector molecule, a higher specific activity is achievable. An increase in avidity and in specific activity can lead to an increased activity accumulation in the tumors. ii.) Variation of the molecular size becomes effortless, which should provide opportunities to optimise the biodistribution because of size-dependent renal filtration [11]. Thus, it can potentially decrease the radiation dose to the kidneys, which is often the dose-limiting organ for small radiolabeled molecules. iii.) Variation of the overall charge of the molecule becomes effortless. Since not only molecular size, but also charge influences the renal handling [11], the ability to vary charge also provides opportunities to optimize the biodistribution. Polylysine has formerly been used as a multicarrier in pretargeting as well as in other contexts in the field of targeted radionuclide therapy [12-15].
The hypotheses in this study were that polylysine-based effectors are easily synthesised and radiolabeled with a high specific activity that the effectors have a high avidity for streptavidin if conjugated with biotin and that radioactivity uptake in the kidneys can be altered when changing the size of the polylysine scaffold. The performed analyses indicate if polylysine-based effectors prospectively can increase tumour dose relative to normal tissue dose in future in vivo evaluation of pRIT and pRII, relative to more common effectors. In order to test our hypotheses, poly-L-lysine was conjugated with p-SCN-Bn-DOTA or CHX-A´´-DTPA to make the molecules suitable for labelling with a variety of radiometals. They were also conjugated with biotin, which enables employment of any streptavidin-conjugated pretargeting molecule. The synthesised effectors were analysed for composition and purity after synthesis. Subsequently, the effectors were labelled with 213Bi for future use in α therapy, 68Ga for use in positron emission tomography (PET) and indium-111 (111In) for single-photon emission computed tomography (SPECT). The radiolabeled effectors were analysed for radiochemical purity and tested for avidin binding capacity. A kidney uptake study in mice with two different-sized effectors labelled with 213Bi was performed as well, to see if moderate changes in molecular size would affect the renal uptake.
MATERIALS AND METHODS
Radionuclides
213Bi was produced by a 225Ac/213Bi generator (Institute for Transuranium Elements (ITU), Karlsruhe, Germany) as described previously [16, 17], and eluted according to the ITU standard protocol. Briefly, 600 μl of a 0.1 M HCl/0.1 M NaI solution was run through the generator column to elute the 213Bi. The pH of the eluate was adjusted to 5.3–5.5 with a 20% w/w L-ascorbic acid solution and 4 M sodium acetate. 68Ga was produced by a 68Ge/68Ga generator (Eckert and Ziegler Radiopharma GmbH, Berlin, Germany). The generator was eluted with 0.1 M HCl using an automated module (Eckert and Ziegler Radiopharma GmbH), and the pH of the eluate of 68Ga was adjusted to 5.3-5.5 in the same way as for the 213Bi. The decay chains of the 225Ac/213Bi generator and the 68Ge/68Ga generator used in this study are shown in fig. 1. 111In was purchased as a solution of 111InCl3 (Covidien Sverige AB, Solna, Sweden). The pH of the 111InCl3 solution was adjusted to 5.3-5.5 with 2 M ammonium acetate.

Fig. 1: Decay chains of the 225Ac/213Bi generator and the 68Ge/68Ga generator used in the study. Decay modes and half-lives of the radionuclides are indicated
Animals
Female BALB/c (nu/nu) mice (Charles River Laboratories International, Wilmington, MA, USA) were used in the in vivo experiments. The mice were housed at 22 °C in 50–60% humidity with a light/dark cycle of 12 h. The animals were kept under pathogen-free conditions and were given standard autoclaved food pellets, except for the 4 d before the experiment when they were given biotin-free food pellets. The mice were given water ad libitum. The animal experiments were approved by the Ethics Committee at the University of Gothenburg (approval number: 89-2014).
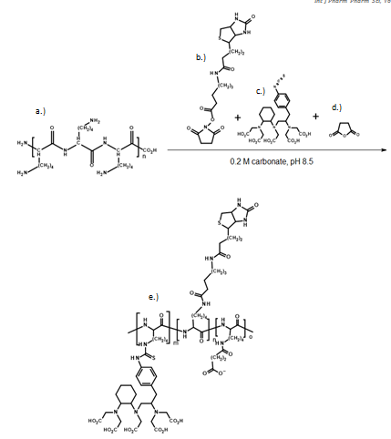
Synthesis of the CHX-A’’-DTPA-conjugated effector
The effectors were essentially produced in the same way as in previously reported studies of effectors used for astatine-211 (211At)-labelling, [12, 18] except for that chelators were attached to the polylysine instead of astatine-binding residues. Poly-L-lysine of high purity (98.5%) and well defined size of 30 or 50 lysine residues (Caslo ApS, Lyngby, Denmark) was dissolved to a concentration of 2 mg/ml in 0.2 M carbonate buffer, pH ~8.5, which had been filtered through Chelex 100 resin (Bio-Rad Laboratories, Hercules, CA, USA). Firstly, NHS-LC-biotin (Nordic Biolabs AB, Täby, Sweden) in DMSO (12 mg/ml; 0.026 M) was added to the poly-L-lysine in 5 x molar excess and the reaction proceeded for 30 min at room temperature (RT). Secondly, a solution of 0.02 M of CHX-A’’-DTPA in DMSO was added to the biotin-poly-L-lysine in 10 x molar excess and the reaction proceeded overnight at RT. The molecule was subsequently charge-modified with succinic anhydride, which was added in ~50 x molar excess relative to the ε-amino groups. The charge modification proceeded for 20-30 min while the pH was kept constant at ~8.5 by repeated addition of 1 M Na2CO3.
Purification of the CHX-A’’-DTPA-conjugated effector
Prior to the labelling, the effector molecule was purified and the buffer was exchanged to Chelex-filtered 0.1 M ammonium acetate, pH 5.2, or 0.1 M citrate, pH 5.5, using a 3-K Microsep Centrifugal Device (PALL Life Sciences, Ann Arbor, MI, USA). The reaction solution was centrifuged at 1680 x g until 10 ml of buffer had run through the filter and a concentration of 0.6 mg/ml of the effector molecule remained. The approximate size and concentration, as well as the purity of the produced effector molecule, was evaluated by size exclusion fast protein liquid chromatography (FPLC) using a Superdex-200 column and an ÄKTA FPLC system (GE Healthcare, Uppsala, Sweden). In order to evaluate the molar absorptivity (ε) of the effector molecule at 225 nm, a standard curve with solutions of a unpurified effector molecule (with known concentrations) was made. Solutions were diluted to different concentrations in the range of the final sample concentration and subsequently analysed by FPLC. The standard curve was produced from sample peaks in the chromatograms obtained from the FPLC analysis. The concentration of the purified effector molecule in the product solution was then evaluated using the standard curve.
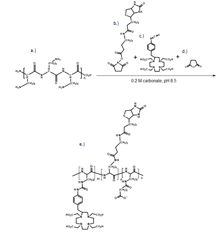
Synthesis and purification of the DOTA-conjugated effector
The DOTA-conjugated effector was produced and purified in the same way as the CHX-A’’-DTPA-conjugated effector, with the exception that 5, 10, or 15 x molar excess of p-SCN-Bn-DOTA was added to the biotinylated poly-L-lysine.
The syntheses of the CHX-A’’-DTPA-and DOTA-conjugated effectors are illustrated in fig. 2 and fig. 3.
Analysis of effector molecule composition
To analyse the number of free amino groups per molecule, 2,4,6-trinitrobenzene sulfonic acid (TNBS; G-Biosciences, St. Louis, MO, USA) was used [19]. Through this analysis, the number of biotin residues on each effector molecule was determined by measuring the amount of free amino groups left after the reaction between the polylysine and the biotin. The analysis was performed according to the G-Biosciences standard protocol. Briefly, TNBS was added to ~10 µg of the peptide, and the samples and standards were incubated for 2 h at 37 °C. Subsequently, spectrophotometry was used to evaluate the absorbance of the samples at 335 nm, which correlates to the number of free amines. The degree of succinylation for charge modification was analysed with TNBS in the same way. The number of chelators on the effectors was assessed by an arsenazo III (Sigma-Aldrich Sweden AB, Stockholm, Sweden) spectrophotometric assay [20].

Fig. 2: Synthesis of CHX-A’’-DTPA-conjugated effector. Poly-L-lysine (a.) is reacted with NHS-LC-biotin (b.) and CHX-A’’-DTPA (c.), and subsequently charge-modified with succinic anhydride (d.) to produce the effector (e.)

Fig. 3: Synthesis of the DOTA-conjugated effector. Poly-L-lysine (a.) is reacted with NHS-LC-biotin (b.) and p-SCN-Bn-DOTA (c.), and then charge-modified with succinic anhydride (d.) to produce the effector (e.)
Labelling with 213Bi
The labelling was essentially performed as previously reported [21]. The 213Bi-labelling of the effector molecules was performed in the pH-adjusted generator eluate (described under section “Radionuclides”) by adding 12 µg of the effector to the eluate. When labelling the CHX-A’’-DTPA-conjugated effector molecules, the reaction was conducted with vigorous agitation for 5 min at RT. In contrast, when labelling the DOTA-conjugated effector molecules, the reaction proceeded for 5 min at 95 °C in a water bath. To terminate the labelling reactions, the reaction solutions were quenched with 10 μl of 1.5 mg/ml DTPA. After cooling down to RT, purification and buffer exchanged into phosphate-buffered saline (PBS) were performed using a PD-10 column (GE Healthcare, Buckinghamshire, UK). The labelling yield directly after synthesis, as well as radiochemical purity (RCP) after purification, was analysed by instant thin layer chromatography (ITLC; PALL Life Sciences) using 0.1 M citrate buffer, pH 5.5, as the mobile phase.
Labelling with 68Ga
18 µg of DOTA-conjugated effector molecule produced with 10 x molar excess of p-SCN-Bn-DOTA was added to the pH-adjusted generator eluate (described under section “Radionuclides”). The labelling and subsequent purification/buffer exchange steps were performed in the same way as described in the 213Bi-labelling section. RCP was analysed by ITLC with 0.1 M citrate buffer, pH 5.5, as the mobile phase.
Labelling with 111In
12 µg of CHX-A’’-DTPA-conjugated effector molecule was added to the pH-adjusted 111InCl3 solution. The labelling reaction proceeded for 10 min with vigorous agitation, and the reaction was quenched with 10 μl of 1.5 mg/ml DTPA. Purification and buffer exchange into PBS were performed using an NAP-5 column (GE Healthcare, Buckinghamshire, UK). RCP was analysed by ITLC with 0.1 M citrate buffer, pH 5.5, as the mobile phase.
Avidin binding capacity
To evaluate the avidin binding capacity of the effectors, an analysis was essentially performed as reported previously [22]. 50 µl of avidin-linked agarose beads (Thermo Fisher Scientific, Rockford, IL, USA) were added to each of 3 microcentrifuge filter tubes (Corning Costar Spin-X; Sigma-Aldrich Sweden AB, Stockholm, Sweden), and the tubes were centrifuged for 1 min at 503 x g. In addition, 100 µl of PBS and 30 ng of labelled effector were added to the filter tubes. As controls, 100 µl of PBS were added to 3 empty filter tubes. The samples and controls were incubated for 1 h at RT with gentle agitation. The tubes were centrifuged for 1 min at 503 x g, and the filters were washed twice with PBS. The filters were extracted from the tubes and measured in a γ counter (Wizard 1480, PerkinElmer, Waltham, MA, USA) and the avidin binding capacity was determined as bead-associated activity divided by total applied activity.
Specific activity
Experiments were performed to evaluate the possibility to increase the specific activity with increasing amounts of chelators incorporated in the effector molecule. Decreasing amounts, as low as 120 ng, of effector conjugated with either 5 or 15 x molar excess of chelator were labelled with equal amounts of 213Bi. Consequently, the effect of the amount of chelator bound to the effector when the specific activity is increased was measured. When lower amounts of effector molecule were labelled, the reaction tube was first coated with 1-% bovine serum albumin in PBS to prevent adsorption of the effector to the walls of the reaction tube.
Renal uptake
The renal uptake was evaluated in mice for 213Bi-labeled effectors of 2 different sizes. The mice were subcutaneously inoculated with 1.25×107 human ovarian cancer cells (OVCAR-3) 1 mo prior to the experiment. All mice were given DMPS (sodium 2,3-dimercaptopropane-sulfonate monohydrate; 1.2 mg/ml) in the drinking water 24 h before injection of radioactivity to reduce kidney uptake further. All mice were also given streptavidin-MX35 antibodies (60 µg) at the same time point. Poly-L-lysine with the size of 30 or 50 L-lysine residues were reacted with 5 x molar excess of NHS-LC-biotin and 10 x molar excess of CHX-A’’-DTPA, and then completely succinylated to obtain a maximum negative net charge. The polylysine-based effectors were subsequently labeled with 213Bi (RCP: 98.4% and 98.8%, respectively). 12 mice were injected i. v. with around 1.0 MBq of the labeled effector based on 30 lysines in 100 µl PBS and 12 mice were injected i. v. with around 1.0 MBq of the labeled effector based on 50 lysines in 100 µl PBS. The animals were sacrificed to monitor tissue uptake 15 min, 45 min, 90 min and 180 min post injection, i.e., when up to 94% of the 213Bi had decayed.

Fig. 4: FPLC chromatograms are showing the UV absorbance at 225 nm. PBS was used as mobile phase, and the samples were purified using a 3-K Microsep Centrifugal Device with ~20 ml of PBS. The peaks in the chromatograms show the polylysine-based effector conjugated with a.) 10 × molar excess of CHX-A’’-DTPA, b.) 5 × molar excess of DOTA, c.) 10 × molar excess of DOTA and d.) 15 × molar excess of DOTA
RESULTS
Analysis of effector molecule composition
The number of biotin residues on each polylysine was evaluated by measuring the number of free amines on the polylysine after reaction with the amine-reactive biotin. The evaluation of a number of free amines was performed by reaction with TNBS. After the reaction of poly-L-lysine with NHS-LC-biotin, 85.1% of the amino groups were still free according to the TNBS analysis. Consequently, the effector had an average of 4 biotin residues attached. After reaction of the biotinylated polylysine with 5, 10, and 15 x molar excess of the chelator, the arsenazo III spectrophotometric assay showed that 5, 9, and 13 chelators, respectively, were attached to the effector molecule. Finally, the analysis of the charge modification showed complete succinylation of the effector, thus achieving maximum negative net charge. This is theoretically of advantage for decreasing the renal uptake.
Size exclusion fast protein liquid chromatography (FPLC)
As seen in fig. 4, the FPLC chromatograms indicate almost completely pure polylysine-based effectors after synthesis and purification. Minimal peaks can be seen on the right side of the product peaks which could be, e. g., small rests of unbound chelator (fig. 4). A small “shoulder” can also be seen on the left side of the peaks in c.) and d.), which could possibly be a small amount of aggregated product. Since the likely impurities, in this case, would absorb UV at the short wavelength of 225 nm, no other impurities in the product samples were expected.
Labelling with 213Bi, 68Ga and 111In
The labelling results are shown in table 1. The radiochemical yield (RCY) after purification of all compounds varied over a narrow range of 57-65.5%, with the exception of 111In-labeled effector, which was about one-third higher. Since the RCY is not decay-corrected, the longer half-life of 111In (t1/2 = 2.80 d) compared with 213Bi (t1/2 = 45.6 min) and 68Ga (t1/2 = 67.6 min) explains this. The decay-corrected yields of all compounds remained high, 80.2±2.4% (mean±SD). Radiochemical purities (RCP) were very high for all three radionuclides after labelling and subsequent purification. When labelling the CHX-A’’-DTPA-conjugated effector molecule with 213Bi, the RCP was 97. 4±0.6%, while all the other RCP values were over 99%, approaching unity, with values as high as 99.6±0.2%, as determined by ITLC. The yield after labelling was determined by ITLC from the crude reaction mixture before purification, at the end of the synthesis. The CHX-A’’-DTPA-conjugated effector molecule had a labelling yield of 94.0±0.6%. The labelling yield of the 213Bi-labeled DOTA-conjugated effector molecules was 98.8±0.2%.
Table 1: Results after labelling the effectors with 213Bi, 68Ga and 111In. RCY = radiochemical yield, RCP = radiochemical purity. The standard deviation (SD) is included when three or more analyses were performed
| Radionuclide (Amount of chelator in the effector synthesis) | RCY (%) | Decay-corrected yield (%) | RCP (mean value±SD (%)) |
| 213Bi (CHX-A’’-DTPA*10) | 61.0-61.8 | 77.8-81.9 | 97.4±0.6 |
| 213Bi (DOTA*5) | 57.1-57.6 | 77.4-80.4 | 99.1±0.1 |
| 213Bi (DOTA*10) | 62.7 | 83.8 | 99.2±0.1 |
| 213Bi (DOTA*15) | 57.1-57.6 | 77.4-80.4 | 99.6±0.2 |
| 68Ga (DOTA*10) | 65.5 | 79.6 | 99.1±0.1 |
| 111In (CHX-A’’-DTPA*10) | 83.3 | 83.3 | 99.2 |
Avidin binding capacity
The avidin binding capacity of the CHX-A’’-DTPA-conjugated effector molecule was 92.4±0.7%. The avidin binding capacity of the DOTA-conjugated effector molecule reacted with 5 x and 15 x molar excess of DOTA was 93.2±1.7% and 94.9±0.2%, respectively.
Specific activity
After labelling 120 ng of effector produced with 5 x molar excess of DOTA, the RCP was 82.3% without purification and buffer exchange. The labelling was performed with 86.0 MBq 213Bi, and the reaction was finished 14 min after elution. The specific activity was 5.0×103GBq/µmol at the end of the labelling reaction, corresponding to 1 in 31 effector molecules labeled with 213Bi. In contrast, when labelling 120 ng of effector produced with 15 x molar excess of DOTA, the RCP was 96.4% without purification and buffer exchange. The labelling was performed with 83.2 MBq 213Bi, and the reaction was completed 14 min after elution. The product exhibited a specific activity of 7.6×103GBq/µmol at the end of the labelling reaction, corresponding to 1 in 20 effector molecules labeled with 213Bi. The same procedure was performed with effectors synthesized with 5 or 15 x molar excess of CHX-A’’-DTPA. 120 ng of effector produced with 5 or 15 x molar excess of CHX-A’’-DTPA were labeled with 11.2 MBq and 12.4 MBq, respectively, and the labelling reactions were finished 9 min after 213Bi elution. The RCP values were 70.9% and 82.5%, which correspond to a specific activity of 6.1×102GBq/µmol for the effector produced with 5 x molar excess of CHX-A’’-DTPA, and a specific activity of 1.1×103GBq/µmol for the effector produced with 15 x molar excess of CHX-A’’-DTPA. The difference in specific activity achieved with different amounts of chelator attached to the effector is illustrated in fig. 5.
Renal uptake
The differences in renal uptake of the polylysine-based effector with a 30 lysine scaffold (total MW: 14 kDa) and the polylysine-based effector with a 50 lysine scaffold (total MW: 19 kDa) are shown in fig. 6. The molecule of larger size, and in this case more negative net charge, has an average kidney uptake of approximately 1/4, compared with the smaller-sized molecule during the period of time the evaluation was performed (up to 3 h post injection).

Fig. 5: Higher specific activity was achieved with a higher number of chelators bound to the effector

Fig. 6: Radioactivity uptake in the kidney of effectors of two different sizes (14 kDa and 19 kDa). n = 3 for each time point. Tissue concentration of radioactivity is expressed as a percentage of injected activity per gram (% IA/g). Means and standard error of the mean (SEM; error bars) are depicted
The area under the curves (AUCs) of the time-activity curves (TACs; i.e. the non-decay-corrected % IA/g values) were calculated as well, as an estimation of the absorbed dose to the kidneys for the two different 213Bi-labeled effectors. According to the AUCs, the 14 kDa effector results in 5 times higher absorbed dose to the kidneys, compared with the 19 kDa effector.
Statistical analysis
A statistical analysis was performed to evaluate if there was a significant difference between the two groups in the renal uptake study, using an unpaired two sample t-test. Since the variance was higher in the group receiving the 14 kDa effector, a variance stabilizing transformation of the data was performed prior to the t-test. The unpaired t-test revealed a significant difference between the two groups at the first 3 time points (p-values = 0.0002–0.0041). However, at the last time point, the p-value was 0.0259, which is not significant with a significance level of 0.05/4, which should be used when taking the multiple testing into account.
DISCUSSION
Pretargeted radioimmunotherapy (pRIT) and pretargeted radio-immunoimaging (pRII) are promising strategies to overcome some of the obstacles in conventional RIT and RII. Pretargeting strategies have been shown to result in faster distribution in vivo than RIT and RII, and a higher and more homogenous tumor uptake of radioactivity. Because of the more favourable pharmacokinetics, pretargeting is particularly useful when employing short-lived radionuclides such as 213Bi and 68Ga.
In the current study, poly-L-lysine-based effectors for pRIT and pRII were synthesised and evaluated. The poly-L-lysine scaffold enables several chelators and several biotins to be attached to each molecule, enabling a higher specific activity and increasing the avidity for streptavidin-conjugated antibodies. In addition, the size and charge of the polylysine-based effector can readily be varied, which is advantageous for optimising its biodistribution. Hence, the purpose of using this molecule is to offer a simple tool for optimizing tumour uptake relative to uptake insensitive normal tissues. Thereby, the therapeutic/diagnostic window could be improved.
The radiochemical purity was high in the labelling experiments, and the radiochemical yield was 94-99% even before purification and buffer exchange. This verifies excellent labelling efficacies of the effectors and could make kit preparation possible. The quantity of chelator was shown to be important to obtain the highest specific activity possible; a maximum specific activity of 7.6×103GBq/µmol was achieved with the largest amount of DOTA attached to the effector when labelling with 213Bi. This is, to our knowledge, not achievable with conventional effectors, e. g., DOTA-biotin. However, when determining the best molar ratio between the polylysine and the chelator, one must take into account that although an increased number of chelators give higher specific activity, it also changes the shape, size, and hydrophobicity of the effector. These variations in the physical properties will likely affect its biodistribution. Thus, the optimum amount of chelator bound to the effector molecule must be evaluated in vivo (as well as the optimum amount of the other groups incorporated in the effector molecule).
Kidney uptake was reduced to approximately 1/4 when changing the molecular size of the effector from 14 kDa to 19 kDa. Consequently, the absorbed dose was reduced to 1/5 using the larger effector. The large difference in kidney uptake between the two relatively similar sizes of the effectors was surprising for us, and the reduction of kidney uptake demonstrated in this study could also be important for the development of other radiopharmaceuticals. The increased size of the effector consequently increased the negative net charge of the molecule, since more negative succinyl groups were incorporated into the larger molecule. Thus, by size and charge modification of an effector molecule, the renal uptake can be decreased and the critical radiation dose to the kidneys can be mitigated. This is important since the kidneys are often the dose limiting organs for small radiolabeled molecules. Studies have previously been performed with polylysine-based molecules of different size labeled with 211At [12, 18, 23]. The study by Lindegren et al. [12] showed a decreasing kidney dose when increasing the size of the effector from 13 kDa to 386 kDa. However, a larger size may also decelerate the tumor uptake and increase whole body retention, thus underlining the importance of defining the optimum size. Furthermore, the charge selectivity of the glomerular barrier in the kidneys can affect renal uptake as well. That is, for molecules of the same size and shape, the more negatively charged ones are restricted from filtration to a greater extent [11]. Therefore, charge alterations by succinylation could be an additional tool for optimisation of tumor dose relative to kidney dose [24-26].
The biotin-conjugated effector molecules presented here are intended to target streptavidin-conjugated antibodies. A disadvantage of using streptavidin is the potential problem of immunogenicity, which may hamper fractionated multiple treatments. This problem can be mitigated by mutating surface residues of streptavidin that are prone to elicit an immune response [27]. Another approach to deal with the immunogenicity of streptavidin is to employ other pretargeting systems, e. g., systems using trans-cyclooctene (TCO) and tetrazine [28, 9, 29]. Polylysine-based effectors can equally well be used in TCO-tetrazine pretargeting systems as in systems employing streptavidin and biotin.
A limitation of the study is the analysis of the effector molecule structure. However, more conventional structure analyses such as mass spectrometry and NMR would be difficult since the synthesis does not render one defined molecule. That is, with this method of synthesis, a small range of different amounts of biotin and chelator attached to the effector is inevitably obtained.
CONCLUSION
Polylysine-based effector molecules suitable for pretargeted radioimmunotherapy (pRIT) and pretargeted radio immunoimaging (pRII) were successfully synthesised in this study. The polylysine makes a variation in molecular size and charge simple, and enables an increase in specific activity and avidity to streptavidin-conjugated pretargeting molecules. Radiolabelling of the effector molecule was demonstrated with 213Bi, 68Ga, and 111In, which are important radionuclides suitable for therapy and imaging. The labelling experiments resulted in high radiochemical purity and yield, the avidin binding capacity of the effector molecules was over 90%, and the absorbed dose to the kidneys could be reduced to 1/5 when increasing the molecular size of the effector from 14 kDa to 19 kDa. In conclusion, these results show high potential for further investigations of polylysine-based effectors in preclinical trials evaluating treatment and imaging of different types of cancer.
Acknowledgement
We would like to thank Elin Cederkrantz, Lars Jacobsson, and Ragnar Hultborn for general help and support in this work. We would also like to thank Oleksiy Itsenko and Jakobina Grétarsdottir for providing us with 68Ga. This study was supported by grants from the King Gustav V Jubilee Clinic Cancer Foundation in Gothenburg, the Swedish Cancer Foundation, the Swedish Research Council, the Assar Gabrielsson Foundation, the Sahlgrenska University Hospital Research Foundations, and the Swedish governmental grants for scientists working in health care (ALF).
CONFLICTS OF INTERESTS
Declared none
References
How to cite this article